Phase Diagram of Dense Two-Color QCD at Low Temperatures
Abstract
1. Introduction
2. Theoretical Study of the Dense QCD Phase Diagram
2.1. QCD at Low Densities
2.2. QCD at Moderate Densities
2.3. QCD at Large Densities
3. Lattice Study of Dense QCD Phase Diagram
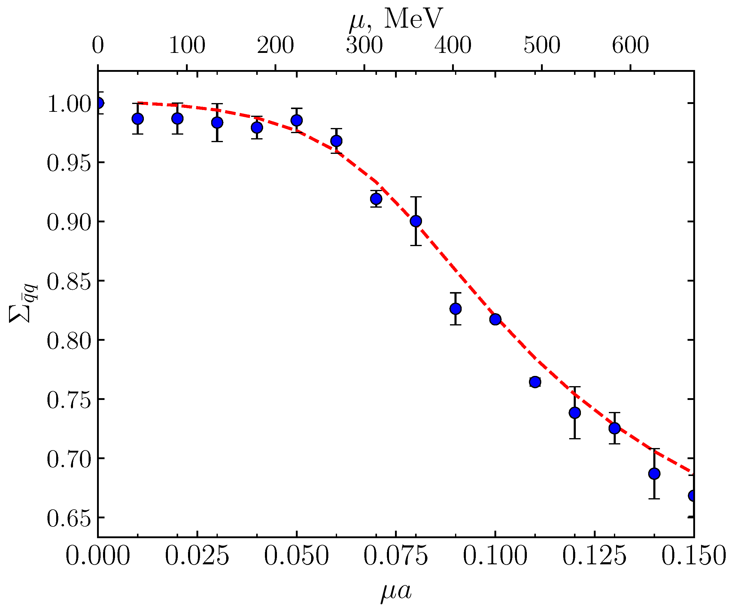
3.1. Lattice Study of Dense QCD Phase Diagram with Staggered Fermions
- The diquark condensate:
- The chiral condensate:
- The quark number density:
3.2. Lattice Study of Dense QCD Phase Diagram with Wilson Fermions
3.3. The Quarkyonic Phase and the Deconfinement in Dense Two-Color Quark Matter
4. Discussion and Conclusions
Funding
Data Availability Statement
Conflicts of Interest
Abbreviations
| QCD | Quantum Chromodynamics | 
| ChPT | Chiral Perturbation Theory | 
| BEC | Bose-Einstein condensate | 
| BCS | Bardeen-Cooper-Schrieffer | 
References
- Achenbach, P.; Adhikari, D.; Afanasev, A.; Afzal, F.; Al-bataineh, A.; Almaalol, D.K.; Amaryan, M.; Androi, D.; Armstrong, W.R.; Arratia, M.; et al. The Present and Future of QCD. 2023. Available online: https://arxiv.org/abs/2303.02579 (accessed on 20 July 2023).
- Marciano, W.J.; Pagels, H. Quantum Chromodynamics: A Review. Phys. Rept. 1978, 36, 137. [Google Scholar] [CrossRef]
- Klevansky, S.P. The Nambu-Jona-Lasinio model of quantum chromodynamics. Rev. Mod. Phys. 1992, 64, 649–708. [Google Scholar] [CrossRef]
- Brambilla, N.; Eidelman, S.; Foka, P.; Gardner, S.; Kronfeld, A.S.; Alford, M.G.; Alkofer, R.; Butenschoen, M.; Cohen, T.D.; Erdmenger, J.; et al. QCD and Strongly Coupled Gauge Theories: Challenges and Perspectives. Eur. Phys. J. C 2014, 74, 2981. [Google Scholar] [CrossRef] [PubMed]
- Tawfik, A. The Influence of strange quarks on QCD phase diagram and chemical freeze-out: Results from the hadron resonance gas model. J. Phys. G 2005, 31, S1105–S1110. [Google Scholar] [CrossRef][Green Version]
- Tawfik, A. QCD phase diagram: A Comparison of lattice and hadron resonance gas model calculations. Phys. Rev. D 2005, 71, 054502. [Google Scholar] [CrossRef]
- Khunjua, T.G.; Klimenko, K.G.; Zhokhov, R.N. QCD phase diagram with chiral imbalance in NJL model: Duality and lattice QCD results. J. Phys. Conf. Ser. 2019, 1390, 012015. [Google Scholar] [CrossRef]
- Fan, W.; Luo, X.; Zong, H. Probing the QCD phase structure with higher order baryon number susceptibilities within the NJL model. Chin. Phys. C 2019, 43, 033103. [Google Scholar] [CrossRef]
- Abdel Aal Diab, A.M.; Tawfik, A.N. Quark-hadron phase structure of QCD matter from SU(4) Polyakov linear sigma model. EPJ Web Conf. 2018, 177, 09005. [Google Scholar] [CrossRef][Green Version]
- Tawfik, A.N.; Diab, A.M.; Hussein, M.T. Quark–hadron phase structure, thermodynamics, and magnetization of QCD matter. J. Phys. G 2018, 45, 055008. [Google Scholar] [CrossRef]
- Tawfik, A.N.; Diab, A.M. Polyakov SU(3) extended linear- σ model: Sixteen mesonic states in chiral phase structure. Phys. Rev. C 2015, 91, 015204. [Google Scholar] [CrossRef]
- Nagata, K.; Nakamura, A. QCD Phase Diagram with Imaginary Chemical Potential. EPJ Web Conf. 2012, 20, 03006. [Google Scholar] [CrossRef]
- Seiler, E. Status of Complex Langevin. EPJ Web Conf. 2018, 175, 01019. [Google Scholar] [CrossRef]
- Scorzato, L. The Lefschetz thimble and the sign problem. PoS 2016, LATTICE2015, 251. [Google Scholar] [CrossRef]
- Langfeld, K. Density-of-states. PoS 2017, LATTICE2016, 256. [Google Scholar] [CrossRef][Green Version]
- Son, D.T.; Stephanov, M.A. QCD at finite isospin density. Phys. Rev. Lett. 2001, 86, 592–595. [Google Scholar] [CrossRef]
- Son, D.T.; Stephanov, M.A. QCD at finite isospin density: From pion to quark—anti-quark condensation. Phys. Atom. Nucl. 2001, 64, 834–842. [Google Scholar] [CrossRef]
- Splittorff, K.; Son, D.T.; Stephanov, M.A. QCD-like theories at finite baryon and isospin density. Phys. Rev. D 2001, 64, 016003. [Google Scholar] [CrossRef]
- Kogut, J.B.; Stephanov, M.A.; Toublan, D. On two color QCD with baryon chemical potential. Phys. Lett. B 1999, 464, 183–191. [Google Scholar] [CrossRef]
- Kogut, J.B.; Stephanov, M.A.; Toublan, D.; Verbaarschot, J.J.M.; Zhitnitsky, A. QCD-like theories at finite baryon density. Nucl. Phys. B 2000, 582, 477–513. [Google Scholar] [CrossRef]
- Maas, A.; von Smekal, L.; Wellegehausen, B.; Wipf, A. The phase diagram of a gauge theory with fermionic baryons. Phys. Rev. D 2012, 86, 111901. [Google Scholar] [CrossRef]
- Wellegehausen, B.H.; Maas, A.; Wipf, A.; von Smekal, L. Hadron masses and baryonic scales in G2-QCD at finite density. Phys. Rev. D 2014, 89, 056007. [Google Scholar] [CrossRef]
- Lucini, B.; Panero, M. SU(N) gauge theories at large N. Phys. Rept. 2013, 526, 93–163. [Google Scholar] [CrossRef]
- Bali, G.S.; Bursa, F.; Castagnini, L.; Collins, S.; Del Debbio, L.; Lucini, B.; Panero, M. Mesons in large-N QCD. JHEP 2013, 6, 71. [Google Scholar] [CrossRef]
- Alford, M.G.; Rajagopal, K.; Wilczek, F. QCD at finite baryon density: Nucleon droplets and color superconductivity. Phys. Lett. B 1998, 422, 247–256. [Google Scholar] [CrossRef]
- Alford, M.G.; Rajagopal, K.; Wilczek, F. Color flavor locking and chiral symmetry breaking in high density QCD. Nucl. Phys. B 1999, 537, 443–458. [Google Scholar] [CrossRef]
- Son, D.T. Superconductivity by long range color magnetic interaction in high density quark matter. Phys. Rev. D 1999, 59, 094019. [Google Scholar] [CrossRef]
- Schäfer, T. Patterns of symmetry breaking in QCD at high baryon density. Nucl. Phys. B 2000, 575, 269–284. [Google Scholar] [CrossRef]
- Sannino, F.; Schafer, W. Relativistic massive vector condensation. Phys. Lett. B 2002, 527, 142–148. [Google Scholar] [CrossRef]
- Sannino, F. General structure of relativistic vector condensation. Phys. Rev. D 2003, 67, 054006. [Google Scholar] [CrossRef]
- Kapusta, J.I.; Kharzeev, D.; McLerran, L.D. The Return of the prodigal Goldstone boson. Phys. Rev. D 1996, 53, 5028–5033. [Google Scholar] [CrossRef]
- Brauner, T.; Fukushima, K.; Hidaka, Y. Two-color quark matter: U(1)(A) restoration, superfluidity, and quarkyonic phase. Phys. Rev. 2009, D80, 074035, Erratum in Phys. Rev. 2010, D81, 119904. https://doi.org/10.1103/PhysRevD.81.119904. [Google Scholar] [CrossRef]
- Cotter, S.; Giudice, P.; Hands, S.; Skullerud, J.I. Towards the phase diagram of dense two-color matter. Phys. Rev. D 2013, 87, 034507. [Google Scholar] [CrossRef]
- Astrakhantsev, N.; Braguta, V.V.; Ilgenfritz, E.M.; Kotov, A.Y.; Nikolaev, A.A. Lattice study of thermodynamic properties of dense QC2D. Phys. Rev. D 2020, 102, 074507. [Google Scholar] [CrossRef]
- Boz, T.; Giudice, P.; Hands, S.; Skullerud, J.I. Dense two-color QCD towards continuum and chiral limits. Phys. Rev. D 2020, 101, 074506. [Google Scholar] [CrossRef]
- Boz, T.; Cotter, S.; Fister, L.; Mehta, D.; Skullerud, J.I. Phase transitions and gluodynamics in 2-colour matter at high density. Eur. Phys. J. A 2013, 49, 87. [Google Scholar] [CrossRef]
- Bornyakov, V.G.; Braguta, V.V.; Ilgenfritz, E.M.; Kotov, A.Y.; Molochkov, A.V.; Nikolaev, A.A. Observation of deconfinement in a cold dense quark medium. JHEP 2018, 3, 161. [Google Scholar] [CrossRef]
- Astrakhantsev, N.Y.; Bornyakov, V.G.; Braguta, V.V.; Ilgenfritz, E.M.; Kotov, A.Y.; Nikolaev, A.A.; Rothkopf, A. Lattice study of static quark-antiquark interactions in dense quark matter. JHEP 2019, 5, 171. [Google Scholar] [CrossRef]
- Bornyakov, V.G.; Kudrov, I.; Rogalyov, R.N. Decomposition of the SU(2) gauge field in the maximal Abelian gauge. Phys. Rev. D 2022, 105, 054519. [Google Scholar] [CrossRef]
- Begun, A.; Bornyakov, V.G.; Goy, V.A.; Nakamura, A.; Rogalyov, R.N. Study of two color QCD on large lattices. Phys. Rev. D 2022, 105, 114505. [Google Scholar] [CrossRef]
- Bornyakov, V.; Goy, V.; Kudrov, I.; Rogalyov, R. Decomposition of the static potential in the Maximal Abelian gauge. EPJ Web Conf. 2022, 258, 02009. [Google Scholar] [CrossRef]
- Boz, T.; Hajizadeh, O.; Maas, A.; Skullerud, J.I. Finite-density gauge correlation functions in QC2D. Phys. Rev. D 2019, 99, 074514. [Google Scholar] [CrossRef]
- Bornyakov, V.G.; Braguta, V.V.; Nikolaev, A.A.; Rogalyov, R.N. Effects of Dense Quark Matter on Gluon Propagators in Lattice QC2D. Phys. Rev. D 2020, 102, 114511. [Google Scholar] [CrossRef]
- Marques, J.; Kalusche, G.; Mendes, T.; Silva, P.J.; Skullerud, J.I.; Oliveira, O. The quark propagator and quark-gluon vertex from lattice QCD at finite temperature. PoS 2023, LATTICE2022, 280. [Google Scholar] [CrossRef]
- Iida, K.; Itou, E. Velocity of sound beyond the high-density relativistic limit from lattice simulation of dense two-color QCD. PTEP 2022, 2022, 111B01. [Google Scholar] [CrossRef]
- Buividovich, P.V.; Smith, D.; von Smekal, L. Electric conductivity in finite-density SU(2) lattice gauge theory with dynamical fermions. Phys. Rev. D 2020, 102, 094510. [Google Scholar] [CrossRef]
- Buividovich, P.V.; Smith, D.; von Smekal, L. Numerical study of the chiral separation effect in two-color QCD at finite density. Phys. Rev. D 2021, 104, 014511. [Google Scholar] [CrossRef]
- Kogut, J.B.; Sinclair, D.K. Quenched lattice QCD at finite isospin density and related theories. Phys. Rev. D 2002, 66, 014508. [Google Scholar] [CrossRef]
- Kogut, J.B.; Sinclair, D.K. Lattice QCD at finite isospin density at zero and finite temperature. Phys. Rev. D 2002, 66, 034505. [Google Scholar] [CrossRef]
- Kogut, J.B.; Sinclair, D.K. The Finite temperature transition for 2-flavor lattice QCD at finite isospin density. Phys. Rev. D 2004, 70, 094501. [Google Scholar] [CrossRef]
- De Forcrand, P.; Stephanov, M.A.; Wenger, U. On the phase diagram of QCD at finite isospin density. PoS 2007, LATTICE2007, 237. [Google Scholar]
- Cea, P.; Cosmai, L.; D’Elia, M.; Papa, A.; Sanfilippo, F. The critical line of two-flavor QCD at finite isospin or baryon densities from imaginary chemical potentials. Phys. Rev. D 2012, 85, 094512. [Google Scholar] [CrossRef]
- Detmold, W.; Orginos, K.; Shi, Z. Lattice QCD at non-zero isospin chemical potential. Phys. Rev. D 2012, 86, 054507. [Google Scholar] [CrossRef]
- Brandt, B.B.; Endrodi, G.; Schmalzbauer, S. QCD phase diagram for nonzero isospin-asymmetry. Phys. Rev. D 2018, 97, 054514. [Google Scholar] [CrossRef]
- Brandt, B.B.; Cuteri, F.; Endrodi, G. QCD thermodynamics at non-zero isospin asymmetry. PoS 2022, LATTICE2021, 396. [Google Scholar] [CrossRef]
- Cuteri, F.; Brandt, B.B.; Endrodi, G. Searching for the BCS phase at nonzero isospin asymmetry. PoS 2022, LATTICE2021, 396. [Google Scholar] [CrossRef]
- Brandt, B.B.; Cuteri, F.; Endrodi, G. Equation of state and speed of sound of isospin-asymmetric QCD on the lattice. JHEP 2023, 7, 55. [Google Scholar] [CrossRef]
- Velasco, E.G.; Brandt, B.B.; Cuteri, F.; Endrodi, G.; Markó, G. Anomalous transport phenomena on the lattice. PoS 2023, LATTICE2022, 173. [Google Scholar] [CrossRef]
- McLerran, L.; Pisarski, R.D. Phases of cold, dense quarks at large N(c). Nucl. Phys. A 2007, 796, 83–100. [Google Scholar] [CrossRef]
- Ecker, G. Chiral perturbation theory. Prog. Part. Nucl. Phys. 1995, 35, 1–80. [Google Scholar] [CrossRef]
- Pich, A. Chiral perturbation theory. Rept. Prog. Phys. 1995, 58, 563–610. [Google Scholar] [CrossRef]
- Scherer, S. Introduction to chiral perturbation theory. Adv. Nucl. Phys. 2003, 27, 277. [Google Scholar]
- Splittorff, K.; Toublan, D.; Verbaarschot, J.J.M. Diquark condensate in QCD with two colors at next-to-leading order. Nucl. Phys. B 2002, 620, 290–314. [Google Scholar] [CrossRef]
- Khunjua, T.G.; Klimenko, K.G.; Zhokhov, R.N. The dual properties of chiral and isospin asymmetric dense quark matter formed of two-color quarks. JHEP 2020, 06, 148. [Google Scholar] [CrossRef]
- Khunjua, T.G.; Klimenko, K.G.; Zhokhov, R.N. The Phase Structure of Two Color QCD and Charged Pion Condensation Phenomenon. Phys. Part. Nucl. 2022, 53, 461–469. [Google Scholar] [CrossRef]
- Khunjua, T.G.; Klimenko, K.G.; Zhokhov, R.N. Influence of chiral chemical potential μ5 on phase structure of the two-color quark matter. Phys. Rev. D 2022, 106, 045008. [Google Scholar] [CrossRef]
- Khunjua, T.G.; Klimenko, K.G.; Zhokhov, R.N. Chiral Asymmetry and Phase Diagram of the Two-Color QCD. Mosc. Univ. Phys. Bull. 2022, 77, 476–477. [Google Scholar] [CrossRef]
- Ratti, C.; Weise, W. Thermodynamics of two-colour QCD and the Nambu Jona-Lasinio model. Phys. Rev. 2004, D70, 054013. [Google Scholar] [CrossRef]
- Sun, G.f.; He, L.; Zhuang, P. BEC-BCS crossover in the Nambu-Jona-Lasinio model of QCD. Phys. Rev. 2007, D75, 096004. [Google Scholar] [CrossRef]
- He, L. Nambu-Jona-Lasinio model description of weakly interacting Bose condensate and BEC-BCS crossover in dense QCD-like theories. Phys. Rev. 2010, D82, 096003. [Google Scholar] [CrossRef]
- Strodthoff, N.; Schaefer, B.J.; von Smekal, L. Quark-meson-diquark model for two-color QCD. Phys. Rev. 2012, D85, 074007. [Google Scholar] [CrossRef]
- Strodthoff, N.; von Smekal, L. Polyakov-Quark-Meson-Diquark Model for two-color QCD. Phys. Lett. 2014, B731, 350–357. [Google Scholar] [CrossRef]
- Vanderheyden, B.; Jackson, A.D. Random matrix study of the phase structure of QCD with two colors. Phys. Rev. 2001, D64, 074016. [Google Scholar] [CrossRef]
- Kanazawa, T.; Wettig, T.; Yamamoto, N. Chiral random matrix theory for two-color QCD at high density. Phys. Rev. 2010, D81, 081701. [Google Scholar] [CrossRef]
- Son, D.T.; Stephanov, M.A. Inverse meson mass ordering in color flavor locking phase of high density QCD. Phys. Rev. D 2000, 61, 074012. [Google Scholar] [CrossRef]
- Muroya, S.; Nakamura, A.; Nonaka, C.; Takaishi, T. Lattice QCD at finite density: An Introductory review. Prog. Theor. Phys. 2003, 110, 615–668. [Google Scholar] [CrossRef]
- Nakamura, A. Quarks and Gluons at Finite Temperature and Density. Phys. Lett. B 1984, 149, 391. [Google Scholar] [CrossRef]
- Hands, S.; Kogut, J.B.; Lombardo, M.P.; Morrison, S.E. Symmetries and spectrum of SU(2) lattice gauge theory at finite chemical potential. Nucl. Phys. B 1999, 558, 327–346. [Google Scholar] [CrossRef]
- Hands, S.; Montvay, I.; Morrison, S.; Oevers, M.; Scorzato, L.; Skullerud, J. Numerical study of dense adjoint matter in two color QCD. Eur. Phys. J. C 2000, 17, 285–302. [Google Scholar] [CrossRef][Green Version]
- Iida, K.; Itou, E.; Lee, T.G. Two-colour QCD phases and the topology at low temperature and high density. JHEP 2020, 1, 181. [Google Scholar] [CrossRef]
- Hasenfratz, P.; Karsch, F. Chemical Potential on the Lattice. Phys. Lett. B 1983, 125, 308–310. [Google Scholar] [CrossRef]
- Hands, S.J.; Kogut, B.; Morrison, S.E.; Sinclair, D.K. Two-color QCD at finite fundamental quark number density and related theories. Nucl. Phys. B Proc. Suppl. 2001, 94, 457–460. [Google Scholar] [CrossRef]
- Kogut, J.B.; Toublan, D.; Sinclair, D.K. Diquark condensation at nonzero chemical potential and temperature. Phys. Lett. B 2001, 514, 77–87. [Google Scholar] [CrossRef][Green Version]
- Kogut, J.B.; Sinclair, D.K.; Hands, S.J.; Morrison, S.E. Two color QCD at nonzero quark number density. Phys. Rev. D 2001, 64, 094505. [Google Scholar] [CrossRef]
- Kogut, J.B.; Toublan, D.; Sinclair, D.K. The Phase diagram of four flavor SU(2) lattice gauge theory at nonzero chemical potential and temperature. Nucl. Phys. B 2002, 642, 181–209. [Google Scholar] [CrossRef][Green Version]
- Braguta, V.V.; Ilgenfritz, E.M.; Kotov, A.Y.; Molochkov, A.V.; Nikolaev, A.A. Study of the phase diagram of dense two-color QCD within lattice simulation. Phys. Rev. D 2016, 94, 114510. [Google Scholar] [CrossRef]
- Holicki, L.; Wilhelm, J.; Smith, D.; Wellegehausen, B.; von Smekal, L. Two-colour QCD at finite density with two flavours of staggered quarks. PoS 2017, LATTICE2016, 256. [Google Scholar] [CrossRef]
- Jung, C.; von Smekal, L. Fluctuating vector mesons in analytically continued functional RG flow equations. Phys. Rev. D 2019, 100, 116009. [Google Scholar] [CrossRef]
- Montvay, I.; Münster, G. Quantum Fields on a Lattice; Cambridge Monographs on Mathematical Physics; Cambridge University Press: Cambridge, UK, 1994. [Google Scholar]
- Hands, S.; Kim, S.; Skullerud, J.I. Deconfinement in dense 2-color QCD. Eur. Phys. J. C 2006, 48, 193. [Google Scholar] [CrossRef]
- Hands, S.; Kim, S.; Skullerud, J.I. A Quarkyonic Phase in Dense Two Color Matter? Phys. Rev. D 2010, 81, 091502. [Google Scholar] [CrossRef]
- Astrakhantsev, N.Y.; Braguta, V.V.; Kotov, A.Y. Temperature dependence of the bulk viscosity within lattice simulation of SU(3) gluodynamics. Phys. Rev. D 2018, 98, 054515. [Google Scholar] [CrossRef]














| Disclaimer/Publisher’s Note: The statements, opinions and data contained in all publications are solely those of the individual author(s) and contributor(s) and not of MDPI and/or the editor(s). MDPI and/or the editor(s) disclaim responsibility for any injury to people or property resulting from any ideas, methods, instructions or products referred to in the content. | 
© 2023 by the author. Licensee MDPI, Basel, Switzerland. This article is an open access article distributed under the terms and conditions of the Creative Commons Attribution (CC BY) license (https://creativecommons.org/licenses/by/4.0/).
Share and Cite
Braguta, V.V. Phase Diagram of Dense Two-Color QCD at Low Temperatures. Symmetry 2023, 15, 1466. https://doi.org/10.3390/sym15071466
Braguta VV. Phase Diagram of Dense Two-Color QCD at Low Temperatures. Symmetry. 2023; 15(7):1466. https://doi.org/10.3390/sym15071466
Chicago/Turabian StyleBraguta, Victor V. 2023. "Phase Diagram of Dense Two-Color QCD at Low Temperatures" Symmetry 15, no. 7: 1466. https://doi.org/10.3390/sym15071466
APA StyleBraguta, V. V. (2023). Phase Diagram of Dense Two-Color QCD at Low Temperatures. Symmetry, 15(7), 1466. https://doi.org/10.3390/sym15071466
 
        

