Analysis of a Heterogeneous Queuing Model with Intermittently Obtainable Servers under a Hybrid Vacation Schedule
Abstract
1. Introduction
Survey of Literature
2. Construction of the Model
- The arrival process: The arrival of the customer takes place according to a Poisson process with rate . Customers join the system in accordance with the availability of the server: server 1 is always available, whereas server 2 is only accessible in certain states, namely working vacation (WV), complete vacation (CV), intermittently attainable (IO), working (Wk), and breakdown (Bd).
- The service process: Two distinct servers provide the service at two different rates under the first-in-first-out policy. In our model, server 1 is always accessible whereas server 2 is either working or under WV, CV, IO, or Bd. Moreover, server 2 starts performing certain critical and unusual tasks when the line length seems to be larger than or equal to zero. Server 2 must finish the current job before performing any unusual tasks. Servers 1 and 2 have service rates of and , respectively, and they follow an exponential distribution.
- Vacation process: During the vacation time, server 2 automatically commences WV, which has an exponential distribution, with the slower service rate . When server 2 gets empty during WV, the server will switch to CV mode. After the CV has been executed, the server will revert to its regular busy state and begin serving customers. The CV duration has an exponential distribution with a mean . The retrieval capacity time on server 2 follows an exponential distribution with a rate of . Server 2 enters the working period in the CV state with the probability to provide service to the customer, which is always 1.
- Feedback rule: After obtaining a service, an unsatisfied customer can opt to enter for another service with probability , referred to as “feedback,” or they can choose to permanently leave the system with probability (=1−).
- Breakdown and repair policy: Server 2 may experience a breakdown, and therefore it is sent for repair immediately. In the meantime, the server stops serving consumers and waits for the repair to be completed. The breakdown rate of server 2 is and the repair rate is .
Qbd Process
3. Matrix Geometric Solution
3.1. The Rate Matrix and Steady-State Probability Computation
3.2. Special Cases
4. Performance Indicators
4.1. Calculation of Steady-State Probabilities
- Probability that the servers are idle: ;
- Probability that server 2 is in working vacation period = ;
- Probability that server 2 is in complete vacation period = ;
- Probability that server 2 is intermittently obtainable = ;
- Probability that server 2 is in regular busy period = ;
- Probability that server 2 is in breakdown period = .
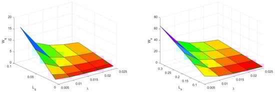
4.2. Calculation of the Mean Number of Customers in the System
- When server 2 is on working vacation = ;
- When server 2 is on complete vacation = ;
- When server 2 is intermittently obtainable = ;
- When server 2 is in regular busy period = ;
- When server 2 is in breakdown period = ;
- Mean no. of customers present in the system = .
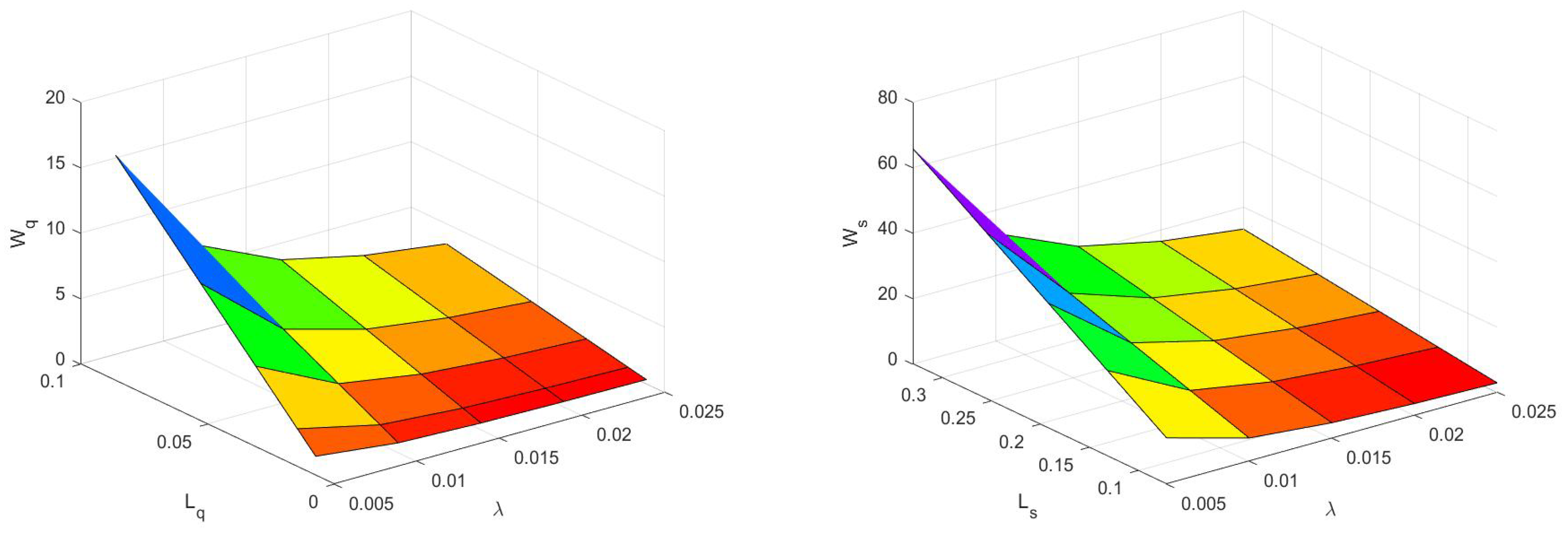
4.3. Calculation of the Mean Number of Customers in the Queue
- When server 2 is on working vacation = ;
- When server 2 is on complete vacation = ;
- When server 2 is intermittently obtainable = ;
- When server 2 is in regular busy period = ;
- When server 2 is in breakdown period = ;
- Mean no. of customers present in the queue = .
4.4. Practical Application of the Model
5. Numerical Illustrations
5.1. Calculation of Rate Matrix R
5.1.1. With Different Arrival Rate ()
| Algorithm 1 An algorithm for computing rate matrix. |
INPUT: , , , e is a column vector of 1s and OUTPUT: R Step 1: Set . Step 2: while k = 0, 1,... perform steps 3 and 4 Step 3: Set . k = 0, 1... Step 4: Continue Step 3 untill is close to . Step 5: set Step 6: OUTPUT |
| Algorithm 2 An algorithm for steady-state probability vectors/ |
INPUT: ,, , , , R, I, ,e is a column vector of 1s OUTPUT: Step 1: A ← Step 2: Solve A=0 Step 3: B ← Step 4: Solve B=1 Step 5: ← Solve (A,B) Step 6: Compute the steady-state probability vectors If compute Step 7: OUTPUT |
5.1.2. With Different Service Rate () of Server 1
5.1.3. With Different Service Rate () of Server 2
5.1.4. With Different Feedback Rate ()
6. Numerical Results
7. Conclusions
Author Contributions
Funding
Institutional Review Board Statement
Informed Consent Statement
Data Availability Statement
Acknowledgments
Conflicts of Interest
Nomenclature
| Arrival rate | |
| Server 1 service rate | |
| Server 2 service rate | |
| Lower service rate | |
| Mean of complete vacation duration | |
| The retrieval capacity rate | |
| Probability of server 2 entering the working period from the complete vacation state | |
| Feedback probability for an unsatisfied customer | |
| Feedback probability for a satisfied customer | |
| Breakdown rate | |
| Repair rate | |
| Two-state Markov process at time t | |
| No. of customers in the system at time t | |
| Server 2 status at time t | |
| H | Infinitesimal generator matrix |
| Sub-matrices of H | |
| G | Steady-state probability vector |
| R | Rate matrix |
| D | Least generator matrix |
| e | Column vector of 1s |
References
- Morse, P.M. Queues, Inventories and Maintenance: The Analysis of Operational Systems with Variable Demand and Supply; Courier Corporation: Sydney, Australia, 2004. [Google Scholar]
- Singh, V.P. Two-server Markovian queues with balking: Heterogeneous vs. homogeneous servers. Oper. Res. 1970, 18, 145–159. [Google Scholar] [CrossRef]
- Krishnamoorthy, A.; Sreenivasan, C. An M/M/2 queueing system with heterogeneous servers including one with working vacation. Int. J. Stoch. Anal. 2012, 2012, 145867. [Google Scholar] [CrossRef]
- Indra; Rajan, V. Queuing analysis of markovian queue having two heterogeneous servers with catastrophes using matrix geometric technique. Int. J. Syst. Sci. 2017, 12, 205–212. [Google Scholar]
- Leemans, H. Waiting time distribution in a two-class two-server heterogeneous priority queue. Perform. Eval. 2001, 43, 133–150. [Google Scholar] [CrossRef]
- Mohammadi, A.; Salehi Rad, M.R. An M/G/1 queueing model with k sequential heterogeneous service steps and vacations in the transient state. Qual. Technol. Quant. Manag. 2022, 19, 633–647. [Google Scholar] [CrossRef]
- Seenivasan, M.; Indumathi, M. Performance Analysis of Two Heterogeneous Server Queuing Model with Intermittently Obtainable Server Using Matrix Geometric Method. J. Phys. Conf. Ser. 2021, 1724, 012001. [Google Scholar] [CrossRef]
- Agarwal, N.N. Some Problems in the Theory of Reliability and Queues. Ph.D.Thesis, Kurukshetra University, Kurukshetra, India, 1965. [Google Scholar]
- Sharda. A queuing problem with intermittently available server and arrivals and departures in batches of variable size. ZAMM 1968, 48, 471–476. [Google Scholar] [CrossRef]
- Seenivasan, M.; Senthilkumar, R.; Subasri, K.S. M/M/2 heterogeneous queueing system having unreliable server with catastrophes and restoration. Mater. Today Proc. 2022, 51, 2332–2338. [Google Scholar] [CrossRef]
- Levy, Y.; Yechiali, U. Utilization of idle time in an M/G/1 queueing system. Manag. Sci. 1975, 22, 202–211. [Google Scholar]
- Doshi, T. Queueing systems with vacations—A survey. Queueing Syst. 1986, 1, 29–66. [Google Scholar] [CrossRef]
- Takagi, H. Queueing analysis: A Foundation of Performance Evaluation; Vacation Priority Systems 1; North-Holland: Amsterdam, The Netherlands, 1991. [Google Scholar]
- Servi, L.D.; Finn, S.G. M/M/1 queues with working vacations (M/M/1/WV). Perform. Eval. 2002, 50, 41–52. [Google Scholar] [CrossRef]
- Tian, N.; Zhao, X.; Wang, K. The M/M/1 queue with single working vacation. Int. J. Inf. Manag. 2008, 19, 621–634. [Google Scholar]
- Ke, J.C.; Wu, C.H.; Zhang, Z.G. Recent developments in vacation queueing models: A short survey. Int. J. Oper. Res. 2010, 7, 3–8. [Google Scholar]
- Bouchentouf, A.A.; Boualem, M.; Yahiaoui, L.; Ahmad, H. A multi-station unreliable machine model with working vacation policy and customers’ impatience. Qual. Technol. Quant. Manag. 2022, 19, 766–796. [Google Scholar] [CrossRef]
- GnanaSekar, M.M.N.; Kandaiyan, I. Analysis of an M/G/1 Retrial Queue with Delayed Repair and Feedback under Working Vacation policy with Impatient Customers. Symmetry 2022, 14, 2024. [Google Scholar] [CrossRef]
- Zhang, Z.J.; Xu, X.L. Analysis for the M/M/1 queue with multiple working vacations and N-policy. Int. J. Inf. Manag. 2008, 19, 495–506. [Google Scholar]
- Mytalas, G.C.; Zazanis, M.A. Performance analysis for Bernoulli feedback queues subject to disasters: A system with batch Poisson arrivals under a multiple vacation policy. Qual. Technol. Quant. Manag. 2022, 1–34. [Google Scholar] [CrossRef]
- Neuts, M.F. Matrix-Geometric Solutions in Stochastic Models; JHU: Baltimore, MD, USA, 1981. [Google Scholar]
- Xu, X.; Zhang, Z.; Tian, N. The M/M/1 queue with single working vacation and set-up times. Int. J. Oper. Res. 2009, 6, 420–434. [Google Scholar]
- Vijayashree, K.V.; Ambika, K. An M/M/1 queue subject to differentiated vacation with partial interruption and customer impatience. Qual. Technol. Quant. Manag. 2021, 18, 657–682. [Google Scholar]
- Shekhar, C.; Varshney, S.; Kumar, A. Matrix-geometric solution of multi-server queueing systems with Bernoulli scheduled modified vacation and retention of reneged customers: A meta-heuristic approach. Qual. Technol. Quant. Manag. 2021, 18, 39–66. [Google Scholar] [CrossRef]
- Aniyeri, R.; Nadar, C.R. A multiphase queuing system with assorted servers by using matrix geometric method. Int. J. Appl. Eng. 2017, 12, 12052–12059. [Google Scholar]
- Federgrune, A.; Green, L. Queueing system with service interruptions. Oper. Res. 1986, 34, 752–768. [Google Scholar] [CrossRef]
- Jain, M.; Jain, A. Working vacations queueing model with multiple types of server breakdowns. Appl. Math. Model. 2010, 34, 1–13. [Google Scholar] [CrossRef]
- Kalyanaraman, R.; Seenivasan, M. Multi-server retrial queuing system with unreliable server. Int. J. Comput. Cogn. 2010, 7, 113–120. [Google Scholar]
- Renisagaya Raj, M.; Chandrasekar, B. Matrix-Geometric Method for Queueing Model with Subject to Breakdown and N-Policy Vacations. Int. J. Math. Aeterna 2015, 5, 917–926. [Google Scholar]
- Subramanian, A.M.G.; Ayyappan, G.; Sekar, G. M/M/1 Retrial queueing System with Pre-emptive priority service. Int. J. Comput. Appl. 2010, 4, 2379–2389. [Google Scholar]
- Sharma, S.K.; Kumar, R. A single-server Markovian feedback queuing system with discouraged arrivals and retention of reneged customers. Am. J. Oper. Res. 2013, 4, 35–39. [Google Scholar]
- Anshul, K.; Jain, M. Cost Optimization of an Unreliable server queue with two stage service process under hybrid vacation policy. Math. Comput. Simul. 2022, 204, 259–281. [Google Scholar]
- Latouche, G.; Ramaswami, V. Introduction to matrix analytic methods in stochastic modeling. SIAM J. Comp. 1999. [Google Scholar] [CrossRef]
- Seenivasan, M.; Manikandan, H.; Subasri, K.S. Analysis of Heterogeneous Queueing Model with Unreliable Server and Working Vacation. Adv. Electr. Comput. 2022, 881, 331–345. [Google Scholar]






| 0.05 | 0.1 | 0.15 | 0.2 | 0.25 | |
|---|---|---|---|---|---|
| 0.9330 | 0.8833 | 0.8396 | 0.7982 | 0.7566 | |
| 0.0629 | 0.1031 | 0.1337 | 0.1584 | 0.1789 | |
| 0.0039 | 0.0121 | 0.0225 | 0.0343 | 0.0477 | |
| 0.0000 | 0.0012 | 0.0036 | 0.0072 | 0.0125 | |
| 0.0000 | 0.0000 | 0.0004 | 0.0013 | 0.0034 | |
| 0.0000 | 0.0000 | 0.0000 | 0.0000 | 0.0008 | |
| Total | 0.9998 | 0.9997 | 0.9998 | 0.9994 | 0.9999 |
| 2 | 2.5 | 3 | 3.5 | 4 | |
|---|---|---|---|---|---|
| 0.8959 | 0.9046 | 0.9110 | 0.9159 | 0.9198 | |
| 0.0927 | 0.0854 | 0.0799 | 0.0757 | 0.0722 | |
| 0.0101 | 0.0089 | 0.0082 | 0.0076 | 0.0072 | |
| 0.0008 | 0.0008 | 0.0007 | 0.0006 | 0.0006 | |
| 0.0000 | 0.0000 | 0.0000 | 0.0000 | 0.0000 | |
| Total | 0.9995 | 0.9997 | 0.9998 | 0.9998 | 0.9998 |
| 1 | 1.5 | 2 | 2.5 | 3 | |
|---|---|---|---|---|---|
| 0.9257 | 0.9269 | 0.9270 | 0.9389 | 0.9298 | |
| 0.0670 | 0.0659 | 0.0658 | 0.0641 | 0.0634 | |
| 0.0066 | 0.0065 | 0.0065 | 0.0062 | 0.0062 | |
| 0.0005 | 0.0005 | 0.0005 | 0.0005 | 0.0004 | |
| 0.0000 | 0.0000 | 0.0000 | 0.0000 | 0.0000 | |
| Total | 0.9998 | 0.9998 | 0.9998 | 0.9997 | 0.9998 |
| 0.2 | 0.3 | 0.4 | 0.5 | 0.6 | |
|---|---|---|---|---|---|
| 0.7080 | 0.7908 | 0.8314 | 0.8557 | 0.8718 | |
| 0.2112 | 0.1681 | 0.1417 | 0.1243 | 0.1121 | |
| 0.0590 | 0.0333 | 0.0227 | 0.0173 | 0.0141 | |
| 0.0160 | 0.0064 | 0.0034 | 0.0023 | 0.0015 | |
| 0.0042 | 0.0010 | 0.0004 | 0.0001 | 0.0015 | |
| 0.0010 | 0.0001 | 0.0000 | 0.0000 | 0.0001 | |
| Total | 0.9994 | 0.9997 | 0.9996 | 0.9997 | 0.9996 |
| 0.05 | 0.9330 | 0.3242 | 0.6513 | 0.0000 | 0.0195 | 0.0048 | 0.0120 | 0.0323 | 0.0000 | 0.0211 | 0.0053 | 0.0707 | 0.0004 | 0.0014 | 0.0000 | 0.0016 | 0.0039 | 0.0073 |
| 0.1 | 0.8833 | 0.4834 | 0.4778 | 0.0000 | 0.0312 | 0.0073 | 0.0370 | 0.0476 | 0.0000 | 0.0373 | 0.0090 | 0.1309 | 0.0025 | 0.0042 | 0.0000 | 0.0061 | 0.0017 | 0.0145 |
| 0.15 | 0.8396 | 0.5818 | 0.3681 | 0.0000 | 0.0407 | 0.0092 | 0.0695 | 0.0549 | 0.0000 | 0.0541 | 0.0126 | 0.1911 | 0.0072 | 0.0069 | 0.0000 | 0.0134 | 0.0034 | 0.0309 |
| 0.2 | 0.7982 | 0.6520 | 0.2871 | 0.0000 | 0.0499 | 0.0104 | 0.1083 | 0.057 | 0.0000 | 0.0731 | 0.0154 | 0.2538 | 0.0152 | 0.0092 | 0.0000 | 0.0232 | 0.0050 | 0.0526 |
| 0.25 | 0.7566 | 0.7089 | 0.2179 | 0.0000 | 0.0614 | 0.0117 | 0.154 | 0.0543 | 0.0000 | 0.1015 | 0.0196 | 0.3294 | 0.0274 | 0.0107 | 0.0000 | 0.0401 | 0.0079 | 0.0861 |
| 2 | 0.8959 | 0.4837 | 0.4837 | 0.0000 | 0.0260 | 0.0061 | 0.0291 | 0.0481 | 0.0000 | 0.0307 | 0.0074 | 0.1153 | 0.0015 | 0.0042 | 0.0000 | 0.0047 | 0.0117 | 0.0221 |
| 2.5 | 0.9046 | 0.4845 | 0.4874 | 0.0000 | 0.0225 | 0.0053 | 0.024 | 0.0486 | 0.0000 | 0.0266 | 0.0064 | 0.1056 | 0.001 | 0.0043 | 0.0000 | 0.0041 | 0.0011 | 0.0105 |
| 3 | 0.9110 | 0.4858 | 0.4895 | 0.0000 | 0.0198 | 0.0047 | 0.0206 | 0.0488 | 0.0000 | 0.0233 | 0.0057 | 0.0984 | 0.0008 | 0.0043 | 0.0000 | 0.0035 | 0.001 | 0.0096 |
| 3.5 | 0.9159 | 0.4872 | 0.4907 | 0.0000 | 0.0177 | 0.0042 | 0.018 | 0.0489 | 0.0000 | 0.0207 | 0.0051 | 0.0927 | 0.0006 | 0.0043 | 0.0000 | 0.003 | 0.0009 | 0.0088 |
| 4 | 0.9198 | 0.4888 | 0.4911 | 0.0000 | 0.0161 | 0.0038 | 0.0160 | 0.0489 | 0.0000 | 0.0189 | 0.0046 | 0.0884 | 0.0005 | 0.0043 | 0.0000 | 0.0028 | 0.0008 | 0.0084 |
| 1 | 0.9257 | 0.4927 | 0.4903 | 0.0000 | 0.0137 | 0.0031 | 0.0131 | 0.0488 | 0.0000 | 0.0162 | 0.0036 | 0.0817 | 0.0003 | 0.0043 | 0.0000 | 0.0025 | 0.0076 | 0.0147 |
| 1.5 | 0.9269 | 0.4955 | 0.4886 | 0.0000 | 0.0128 | 0.0029 | 0.0131 | 0.0487 | 0.0000 | 0.0152 | 0.0034 | 0.0804 | 0.0003 | 0.0043 | 0.0000 | 0.0024 | 0.0005 | 0.0075 |
| 2 | 0.927 | 0.4747 | 0.5097 | 0.0000 | 0.0126 | 0.0028 | 0.0115 | 0.0506 | 0.0000 | 0.0150 | 0.0032 | 0.0803 | 0.0003 | 0.0044 | 0.0000 | 0.0024 | 0.0004 | 0.0075 |
| 2.5 | 0.9289 | 0.5017 | 0.4841 | 0.0000 | 0.0114 | 0.0025 | 0.0133 | 0.0481 | 0.0000 | 0.0137 | 0.0029 | 0.0780 | 0.0003 | 0.0042 | 0.0000 | 0.0023 | 0.0004 | 0.0072 |
| 3 | 0.9298 | 0.5054 | 0.4812 | 0.0000 | 0.0108 | 0.0024 | 0.0134 | 0.0479 | 0.0000 | 0.0129 | 0.0028 | 0.0770 | 0.0003 | 0.0042 | 0.0000 | 0.0021 | 0.0004 | 0.0070 |
| 0.2 | 0.708 | 0.4837 | 0.3797 | 0.0000 | 0.1114 | 0.0246 | 0.1603 | 0.0381 | 0.0000 | 0.1648 | 0.0358 | 0.3990 | 0.0225 | 0.0009 | 0.0000 | 0.0534 | 0.0112 | 0.0880 |
| 0.3 | 0.7908 | 0.4825 | 0.4275 | 0.0000 | 0.0729 | 0.0168 | 0.0963 | 0.0426 | 0.0000 | 0.0970 | 0.0225 | 0.2584 | 0.0159 | 0.0038 | 0.0000 | 0.0241 | 0.0057 | 0.0495 |
| 0.4 | 0.8314 | 0.4821 | 0.4504 | 0.0000 | 0.0543 | 0.0128 | 0.0687 | 0.0449 | 0.0000 | 0.0686 | 0.0167 | 0.1989 | 0.0085 | 0.0040 | 0.0000 | 0.0143 | 0.0039 | 0.0307 |
| 0.5 | 0.8557 | 0.4823 | 0.4636 | 0.0000 | 0.0435 | 0.0103 | 0.0532 | 0.0462 | 0.0000 | 0.0537 | 0.0131 | 0.1662 | 0.0051 | 0.0041 | 0.0000 | 0.0102 | 0.0028 | 0.0222 |
| 0.6 | 0.8718 | 0.4828 | 0.4720 | 0.0000 | 0.0363 | 0.0085 | 0.0437 | 0.0469 | 0.0000 | 0.0441 | 0.0105 | 0.1452 | 0.0035 | 0.0041 | 0.0000 | 0.0078 | 0.0020 | 0.0174 |
Disclaimer/Publisher’s Note: The statements, opinions and data contained in all publications are solely those of the individual author(s) and contributor(s) and not of MDPI and/or the editor(s). MDPI and/or the editor(s) disclaim responsibility for any injury to people or property resulting from any ideas, methods, instructions or products referred to in the content. |
© 2023 by the authors. Licensee MDPI, Basel, Switzerland. This article is an open access article distributed under the terms and conditions of the Creative Commons Attribution (CC BY) license (https://creativecommons.org/licenses/by/4.0/).
Share and Cite
Kothandaraman, D.; Kandaiyan, I. Analysis of a Heterogeneous Queuing Model with Intermittently Obtainable Servers under a Hybrid Vacation Schedule. Symmetry 2023, 15, 1304. https://doi.org/10.3390/sym15071304
Kothandaraman D, Kandaiyan I. Analysis of a Heterogeneous Queuing Model with Intermittently Obtainable Servers under a Hybrid Vacation Schedule. Symmetry. 2023; 15(7):1304. https://doi.org/10.3390/sym15071304
Chicago/Turabian StyleKothandaraman, Divya, and Indhira Kandaiyan. 2023. "Analysis of a Heterogeneous Queuing Model with Intermittently Obtainable Servers under a Hybrid Vacation Schedule" Symmetry 15, no. 7: 1304. https://doi.org/10.3390/sym15071304
APA StyleKothandaraman, D., & Kandaiyan, I. (2023). Analysis of a Heterogeneous Queuing Model with Intermittently Obtainable Servers under a Hybrid Vacation Schedule. Symmetry, 15(7), 1304. https://doi.org/10.3390/sym15071304

