An Analysis of Global and Adaptive Thresholding for Biometric Images Based on Neutrosophic Overset and Underset Approaches
Abstract
1. Introduction
2. Preliminaries
3. Proposed Method
3.1. Neutrosophic Overset Global Threshold
- i.
- and
- ii.
- i.
- and
- ii.
- i.
- ii.
- iii.
3.2. Neutrosophic Overset Adaptive Threshold
- i.
- and
- ii.
- and
- i.
- and
- ii.
- and
- i.
- or
- ii.
- or
3.3. Neutrosophic Underset Global Threshold
- i.
- and
- ii.
- i.
- and
- ii.
- i.
- ii.
- iii.
3.4. Neutrosophic Underset Adaptive Threshold
- i.
- and
- ii.
- and
- i.
- and
- ii.
- and
- i
- or
- ii
- or
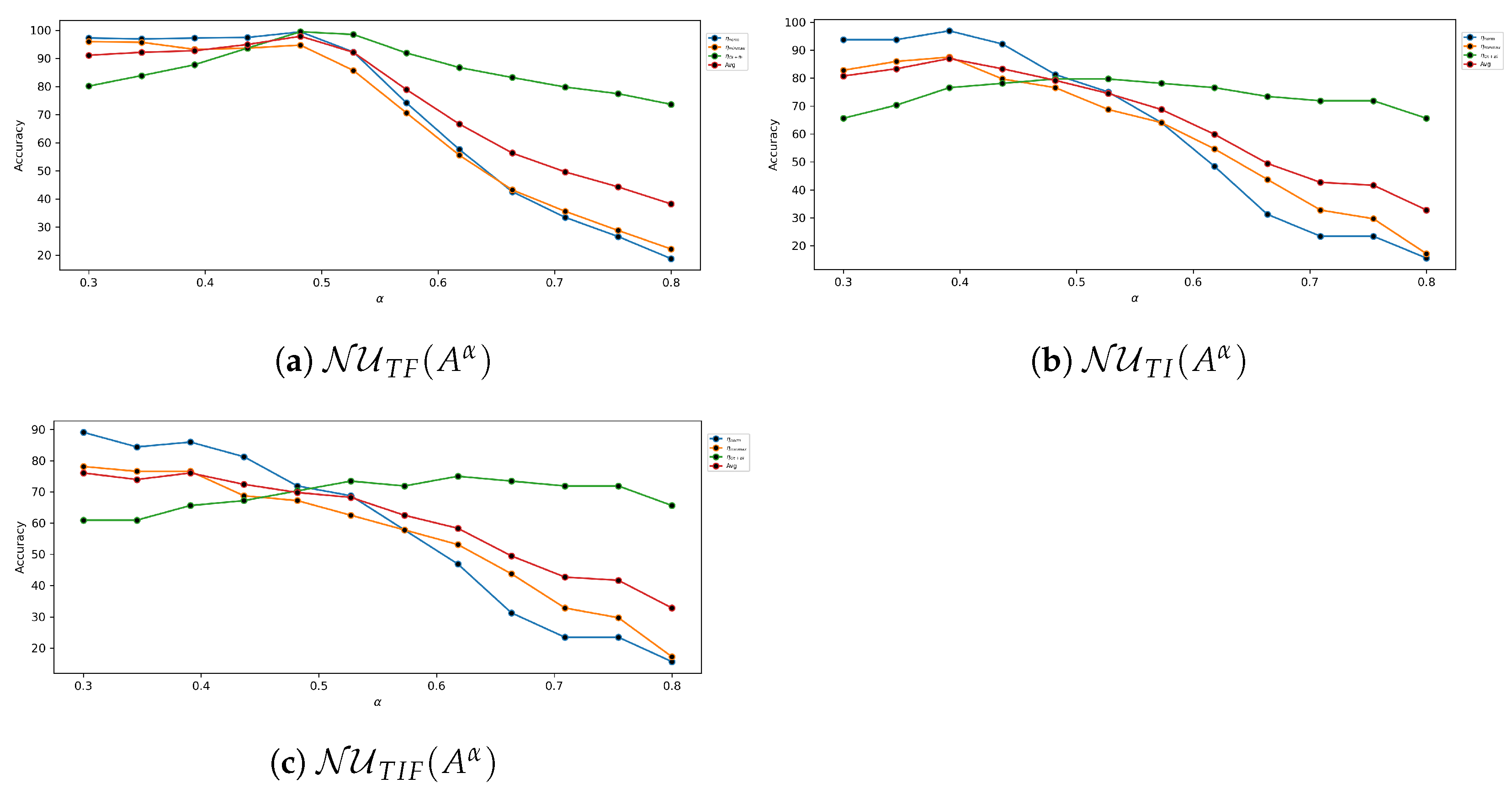
4. Results and Discussion
5. Conclusions
Author Contributions
Funding
Institutional Review Board Statement
Informed Consent Statement
Data Availability Statement
Acknowledgments
Conflicts of Interest
Abbreviations
| Abbreviations/Symbols | Definition |
| h | Block size |
| T | Truth membership |
| I | Indeterminacy membership |
| F | Falsity membership |
| Zero padding | |
| One padding | |
| Arithmetic mean function | |
| Standard deviation function | |
| Performance measure | |
| Global threshold value | |
| Adaptive threshold value | |
| Image with coordinates with m rows and n columns | |
| -based neutrosophic overset global threshold of image A | |
| -based neutrosophic overset global threshold of image A | |
| -based neutrosophic overset global threshold of image A | |
| -based neutrosophic overset adaptive threshold of image A | |
| -based neutrosophic overset adaptive threshold of image A | |
| -based neutrosophic overset adaptive threshold of image A | |
| -based neutrosophic underset global threshold of image A | |
| -based neutrosophic underset global threshold of image A | |
| -based neutrosophic underset global threshold of image A | |
| -based neutrosophic underset adaptive threshold of image A | |
| -based neutrosophic underset adaptive threshold of image A | |
| -based neutrosophic underset adaptive threshold of image A |
References
- Jha, S.; Kumar, R.; Priyadarshini, I.; Smarandache, F.; Long, H.V. Neutrosophic image segmentation with dice coefficients. Measurement 2019, 134, 762–772. [Google Scholar] [CrossRef]
- Yuan, Y.; Ren, Y.; Liu, X.; Wang, J. Approach to image segmentation based on interval neutrosophic set. Numer. Algebr. Control. Optim. 2020, 10, 1–11. [Google Scholar] [CrossRef]
- Song, S.; Jia, Z.; Yang, J.; Kasabov, N.K. A fast image segmentation algorithm based on saliency map and neutrosophic set theory. IEEE Photonics J. 2020, 12, 1–6. [Google Scholar] [CrossRef]
- Dhar, S.; Kundu, M.K. Accurate multi-class image segmentation using weak continuity constraints and neutrosophic set. Appl. Soft Comput. 2021, 112, 107759. [Google Scholar] [CrossRef]
- Ji, B.; Hu, X.; Ding, F.; Ji, Y.; Gao, H. An effective color image segmentation approach using superpixel-neutrosophic C-means clustering and gradient-structural similarity. Optik 2022, 260, 169039. [Google Scholar] [CrossRef]
- Yang, W.; Wang, Z.; Zhang, B. Face recognition using adaptive local ternary patterns method. Neurocomputing 2016, 213, 183–190. [Google Scholar] [CrossRef]
- Zhou, J. Research of SWNMF with New Iteration Rules for Facial Feature Extraction and Recognition. Symmetry 2019, 11, 354. [Google Scholar] [CrossRef]
- Alagarsamy, S.B.; Murugan, K. Multimodal of ear and face biometric recognition using adaptive approach runge–kutta threshold segmentation and classifier with score level fusion. Wirel. Pers. Commun. 2022, 124, 1061–1080. [Google Scholar] [CrossRef]
- Abaza, A.; Ross, A. Towards understanding the symmetry of human ears: A biometric perspective. In Proceedings of the 2010 Fourth IEEE International Conference on Biometrics: Theory, Applications and Systems (BTAS), Washington, DC, USA, 27–29 September 2010; pp. 1–7. [Google Scholar]
- Das, D. A fingerprint segmentation scheme based on adaptive threshold estimation. In Proceedings of the 2018 11th International Congress on Image and Signal Processing, Biomedical Engineering and Informatics (CISP-BMEI), Beijing, China, 13–15 October 2018; pp. 1–6. [Google Scholar]
- Wan, G.C.; Xu, H.; Zhou, F.Z.; Tong, M.S. Improved Fingerprint Segmentation Based on Gradient and Otsu’s Method for Online Fingerprint Recognition. In Proceedings of the 2019 PhotonIcs & Electromagnetics Research Symposium-Spring (PIERS-Spring), Rome, Italy, 17–20 June 2019; pp. 1050–1054. [Google Scholar]
- Smarandache, F. Neutrosophy: Neutrosophic Probability, Set, and Logic: Analytic Synthesis & Synthetic Analysis; American Research Press: Pasadena, CA, USA, 1998. [Google Scholar]
- Smarandache, F. Multispace & Multistructure. Neutrosophic Transdisciplinarity (100 Collected Papers of Sciences), Volume IV. 2010. Available online: https://digitalrepository.unm.edu/math_fsp/39/ (accessed on 27 May 2022).
- Guo, Y.; Cheng, H.D.; Zhang, Y. A new neutrosophic approach to image denoising. New Math. Nat. Comput. 2009, 5, 65. [Google Scholar] [CrossRef]
- Smarandache, F. Neutrosophic Overset, Neutrosophic Underset, and Neutrosophic Offset. Similarly for Neutrosophic Over-/Under-/Off-Logic, Probability, and Statistics. Infinite Study. 2016. Available online: https://digitalrepository.unm.edu/math_fsp/26 (accessed on 20 October 2022).
- Tizhoosh, H.R. Image thresholding using type II fuzzy sets. Pattern Recognit. 2005, 38, 2363–2372. [Google Scholar] [CrossRef]
- Maio, D.; Maltoni, D.; Cappelli, R.; Wayman, J.L.; Jain, A.K. FVC2000: Fingerprint verification competition. IEEE Trans. Pattern Anal. Mach. Intell. 2002, 24, 402–412. [Google Scholar] [CrossRef]
- Maio, D.; Maltoni, D.; Cappelli, R.; Wayman, J.L.; Jain, A.K. FVC2002: Second fingerprint verification competition. In Proceedings of the 2002 International Conference on Pattern Recognition, Quebec City, QC, Canada, 11–15 August 2002; Volume 3, pp. 811–814. [Google Scholar]
- Maio, D.; Maltoni, D.; Cappelli, R.; Wayman, J.L.; Jain, A.K. FVC2004: Third fingerprint verification competition. In Biometric Authentication: First International Conference, ICBA 2004, Hong Kong, China, 15–17 July 2004; Springer: Berlin/Heidelberg, Germany, 2004; pp. 1–7. [Google Scholar]
- Fiumara, G.P.; Flanagan, P.A.; Grantham, J.D.; Ko, K.; Marshall, K.; Schwarz, M.; Tabassi, E.; Woodgate, B.; Boehnen, C. NIST Special Database 302: Nail to Nail Fingerprint Challenge. 2019. Available online: https://www.nist.gov/publications/nist-special-database-302-nail-nail-fingerprint-challenge (accessed on 5 December 2022).
- Fiumara, G.; Schwarz, M.; Heising, J.; Peterson, J.; Flanagan, P.A.; Marshall, K. NIST Special Database 302: Supplemental Release of Latent Annotations. 2021. Available online: https://www.nist.gov/publications/nist-special-database-302-supplemental-release-latent-annotations (accessed on 5 December 2022).
- Shehu, Y.I.; Ruiz-Garcia, A.; Palade, V.; James, A. Sokoto coventry fingerprint dataset. arXiv 2018, arXiv:1807.10609. [Google Scholar]
- Li, F.-F.; Andreeto, M.; Ranzato, M.; Perona, P. Caltech 101 (1.0). In CaltechDATA; Computational Vision Group, California Institute of Technology: London, ON, Canada, 2022. [Google Scholar] [CrossRef]
- Weyrauch, B.; Heisele, B.; Huang, J.; Blanz, V. Component-based face recognition with 3D morphable models. In Proceedings of the 2004 Conference on Computer Vision and Pattern Recognition Workshop, Washington, DC, USA, 27 June–2 July 2004; p. 85. [Google Scholar]
- Nam, S.; Oh, S.W.; Kang, J.Y. Real and Fake Face Detection. January 2019. Available online: https://www.kaggle.com/datasets/ciplab/real-and-fake-face-detection (accessed on 24 November 2022).
- Watson, C.I. Multiple Encounter Dataset I (MEDS-I), NIST Interagency/Internal Report (NISTIR); National Institute of Standards and Technology: Gaithersburg, MD, USA, 2010. Available online: https://tsapps.nist.gov/publication/get_pdf.cfm?pub_id=904685 (accessed on 24 November 2022).
- Founds, A.; Orlans, N.; Genevieve, W.; Watson, C. NIST Special Databse 32—Multiple Encounter Dataset II (MEDS-II), NIST Interagency/Internal Report (NISTIR); National Institute of Standards and Technology: Gaithersburg, MD, USA, 2011. Available online: https://tsapps.nist.gov/publication/get_pdf.cfm?pub_id=908383 (accessed on 24 November 2022).








| Lena Image | Method | Avg | |||
|---|---|---|---|---|---|
![]() | 99.378 | 93.524 | 98.787 | 97.23 | |
| 99.578 | 93.724 | 98.587 | 97.296 | ||
| 99.107 | 95.04 | 97.271 | 97.139 | ||
| 99.378 | 93.524 | 98.787 | 97.23 | ||
| 99.36 | 93.507 | 98.804 | 97.224 | ||
| 99.147 | 93.293 | 99.018 | 97.153 |
| Sudoku Image | Method | Avg | ||
|---|---|---|---|---|
![]() | 92.791 | 90.844 | 91.818 | |
| 92.729 | 90.782 | 91.756 | ||
| 92.653 | 90.707 | 91.68 | ||
| 85.013 | 83.067 | 84.04 | ||
| 84.947 | 83 | 83.973 | ||
| 84.947 | 83 | 83.973 |
| Dataset | ||||||
|---|---|---|---|---|---|---|
| Global Threshold | ||||||
| SD302a | 0.331 ± 0.022 | 0.934 ± 0.054 | 0.921 ± 0.053 | 0.886 ± 0.054 | 0.925 ± 0.054 | 0.888 ± 0.053 |
| 0.324 ± 0.034 | 0.927 ± 0.003 | 0.905 ± 0.005 | 0.923 ± 0.079 | 0.923 ± 0.003 | 0.906 ± 0.003 | |
| 0.312 ± 0.027 | 0.939 ± 0.016 | 0.932 ± 0.016 | 0.893 ± 0.07 | 0.934 ± 0.015 | 0.91 ± 0.015 | |
| SD302d | 0.312 ± 0.025 | 0.945 ± 0.021 | 0.934 ± 0.023 | 0.911 ± 0.064 | 0.943 ± 0.021 | 0.924 ± 0.021 |
| 0.29 ± 0.021 | 0.945 ± 0.023 | 0.942 ± 0.023 | 0.924 ± 0.052 | 0.943 ± 0.023 | 0.929 ± 0.024 | |
| 0.946 ± 0.028 | 0.944 ± 0.028 | 0.929 ± 0.027 | 0.946 ± 0.028 | 0.935 ± 0.028 | 0.894 ± 0.028 | |
| Soco | 0.429 ± 0.002 | 0.989 ± 0.009 | 0.964 ± 0.009 | 0.664 ± 0.006 | 0.995 ± 0.009 | 0.991 ± 0.008 |
| 0.464 ± 0.009 | 0.98 ± 0.031 | 0.957 ± 0.03 | 0.533 ± 0.017 | 0.982 ± 0.031 | 0.977 ± 0.031 | |
| 0.39 ± 0.01 | 0.979 ± 0.028 | 0.951 ± 0.029 | 0.777 ± 0.023 | 0.984 ± 0.028 | 0.978 ± 0.027 | |
| FVC2000 | 0.382 ± 0.018 | 0.965 ± 0.036 | 0.936 ± 0.035 | 0.795 ± 0.039 | 0.966 ± 0.036 | 0.953 ± 0.034 |
| 0.394 ± 0.046 | 0.937 ± 0.095 | 0.893 ± 0.091 | 0.805 ± 0.096 | 0.938 ± 0.095 | 0.936 ± 0.094 | |
| 0.972 ± 0.031 | 0.969 ± 0.031 | 0.938 ± 0.029 | 0.972 ± 0.032 | 0.972 ± 0.032 | 0.97 ± 0.03 | |
| FVC2002 | 0.924 ± 0.08 | 0.921 ± 0.081 | 0.896 ± 0.083 | 0.924 ± 0.08 | 0.918 ± 0.08 | 0.893 ± 0.078 |
| 0.445 ± 0.003 | 0.977 ± 0.005 | 0.933 ± 0.006 | 0.701 ± 0.015 | 0.982 ± 0.006 | 0.968 ± 0.005 | |
| 0.948 ± 0.037 | 0.944 ± 0.037 | 0.925 ± 0.037 | 0.948 ± 0.037 | 0.945 ± 0.037 | 0.931 ± 0.037 | |
| FVC2004 | 0.427 ± 0.0 | 0.999 ± 0.0 | 0.982 ± 0.0 | 0.608 ± 0.0 | 1.0 ± 0.0 | 1.0 ± 0.0 |
| 0.408 ± 0.016 | 0.938 ± 0.053 | 0.92 ± 0.053 | 0.657 ± 0.039 | 0.938 ± 0.054 | 0.938 ± 0.054 | |
| 0.411 ± 0.005 | 0.991 ± 0.014 | 0.974 ± 0.015 | 0.648 ± 0.01 | 0.992 ± 0.014 | 0.992 ± 0.014 | |
| Adaptive Threshold | ||||||
| SD302a | 0.835 ± 0.002 | 0.835 ± 0.002 | 0.849 ± 0.001 | 0.837 ± 0.002 | 0.837 ± 0.002 | 0.837 ± 0.002 |
| 0.686 ± 0.002 | 0.686 ± 0.002 | 0.851 ± 0.002 | 0.846 ± 0.003 | 0.846 ± 0.003 | 0.846 ± 0.003 | |
| 0.858 ± 0.004 | 0.858 ± 0.004 | 0.805 ± 0.004 | 0.794 ± 0.004 | 0.794 ± 0.004 | 0.794 ± 0.004 | |
| SD302d | 0.869 ± 0.006 | 0.869 ± 0.005 | 0.788 ± 0.005 | 0.778 ± 0.005 | 0.779 ± 0.006 | 0.779 ± 0.006 |
| 0.752 ± 0.001 | 0.752 ± 0.001 | 0.88 ± 0.001 | 0.874 ± 0.002 | 0.874 ± 0.002 | 0.874 ± 0.002 | |
| 0.883 ± 0.004 | 0.883 ± 0.004 | 0.856 ± 0.003 | 0.843 ± 0.004 | 0.843 ± 0.004 | 0.843 ± 0.004 | |
| Soco | 0.852 ± 0.004 | 0.854 ± 0.004 | 0.838 ± 0.001 | 0.791 ± 0.003 | 0.793 ± 0.003 | 0.793 ± 0.003 |
| 0.824 ± 0.008 | 0.825 ± 0.008 | 0.834 ± 0.005 | 0.802 ± 0.004 | 0.803 ± 0.004 | 0.803 ± 0.004 | |
| 0.718 ± 0.003 | 0.72 ± 0.004 | 0.856 ± 0.003 | 0.81 ± 0.004 | 0.81 ± 0.004 | 0.81 ± 0.004 | |
| FVC2000 | 0.901 ± 0.004 | 0.901 ± 0.004 | 0.909 ± 0.001 | 0.903 ± 0.003 | 0.903 ± 0.003 | 0.903 ± 0.003 |
| 0.858 ± 0.009 | 0.858 ± 0.009 | 0.889 ± 0.001 | 0.851 ± 0.009 | 0.851 ± 0.009 | 0.851 ± 0.009 | |
| 0.633 ± 0.01 | 0.634 ± 0.01 | 0.645 ± 0.0 | 0.754 ± 0.014 | 0.755 ± 0.014 | 0.755 ± 0.014 | |
| FVC2002 | 0.847 ± 0.007 | 0.845 ± 0.006 | 0.846 ± 0.006 | 0.831 ± 0.006 | 0.829 ± 0.006 | 0.829 ± 0.006 |
| 0.728 ± 0.004 | 0.738 ± 0.005 | 0.851 ± 0.004 | 0.849 ± 0.008 | 0.853 ± 0.008 | 0.854 ± 0.007 | |
| 0.937 ± 0.006 | 0.94 ± 0.006 | 0.921 ± 0.006 | 0.871 ± 0.008 | 0.87 ± 0.008 | 0.87 ± 0.008 | |
| FVC2004 | 0.848 ± 0.006 | 0.848 ± 0.006 | 0.942 ± 0.001 | 0.77 ± 0.006 | 0.77 ± 0.006 | 0.77 ± 0.006 |
| 0.644 ± 0.003 | 0.645 ± 0.004 | 0.848 ± 0.002 | 0.8 ± 0.005 | 0.8 ± 0.005 | 0.8 ± 0.005 | |
| 0.832 ± 0.01 | 0.832 ± 0.009 | 0.898 ± 0.001 | 0.764 ± 0.007 | 0.764 ± 0.008 | 0.764 ± 0.008 | |
| Dataset | ||||||
|---|---|---|---|---|---|---|
| Global Threshold | ||||||
| CWF | 0.365 ± 0.027 | 0.94 ± 0.054 | 0.925 ± 0.056 | 0.759 ± 0.072 | 0.941 ± 0.053 | 0.94 ± 0.054 |
| 0.469 ± 0.008 | 0.955 ± 0.04 | 0.934 ± 0.039 | 0.489 ± 0.031 | 0.957 ± 0.04 | 0.95 ± 0.036 | |
| 0.424 ± 0.005 | 0.988 ± 0.016 | 0.973 ± 0.015 | 0.606 ± 0.012 | 0.984 ± 0.015 | 0.977 ± 0.015 | |
| CBCL | 0.958 ± 0.028 | 0.952 ± 0.028 | 0.94 ± 0.028 | 0.958 ± 0.028 | 0.958 ± 0.028 | 0.957 ± 0.027 |
| 0.979 ± 0.018 | 0.979 ± 0.018 | 0.978 ± 0.018 | 0.979 ± 0.018 | 0.979 ± 0.018 | 0.978 ± 0.018 | |
| 0.987 ± 0.013 | 0.987 ± 0.013 | 0.971 ± 0.013 | 0.987 ± 0.013 | 0.987 ± 0.013 | 0.987 ± 0.013 | |
| RF | 0.915 ± 0.073 | 0.915 ± 0.073 | 0.91 ± 0.074 | 0.915 ± 0.073 | 0.915 ± 0.073 | 0.914 ± 0.073 |
| 0.961 ± 0.003 | 0.96 ± 0.003 | 0.956 ± 0.004 | 0.961 ± 0.003 | 0.961 ± 0.003 | 0.958 ± 0.003 | |
| 0.971 ± 0.041 | 0.971 ± 0.041 | 0.964 ± 0.04 | 0.971 ± 0.041 | 0.971 ± 0.041 | 0.971 ± 0.041 | |
| MEDS-I | 0.961 ± 0.029 | 0.961 ± 0.029 | 0.954 ± 0.029 | 0.961 ± 0.029 | 0.961 ± 0.029 | 0.958 ± 0.029 |
| 0.344 ± 0.013 | 0.97 ± 0.01 | 0.96 ± 0.01 | 0.797 ± 0.032 | 0.97 ± 0.01 | 0.97 ± 0.01 | |
| 0.937 ± 0.063 | 0.937 ± 0.063 | 0.925 ± 0.065 | 0.937 ± 0.063 | 0.937 ± 0.063 | 0.937 ± 0.063 | |
| MEDS-II | 0.383 ± 0.014 | 0.955 ± 0.01 | 0.945 ± 0.01 | 0.688 ± 0.04 | 0.955 ± 0.01 | 0.955 ± 0.01 |
| 0.431 ± 0.043 | 0.883 ± 0.103 | 0.873 ± 0.101 | 0.545 ± 0.115 | 0.884 ± 0.107 | 0.884 ± 0.107 | |
| 0.356 ± 0.08 | 0.797 ± 0.188 | 0.793 ± 0.183 | 0.516 ± 0.165 | 0.798 ± 0.188 | 0.797 ± 0.187 | |
| Adaptive Threshold | ||||||
| CWF | 0.631 ± 0.005 | 0.631 ± 0.006 | 0.826 ± 0.002 | 0.856 ± 0.007 | 0.856 ± 0.007 | 0.856 ± 0.007 |
| 0.832 ± 0.007 | 0.838 ± 0.007 | 0.81 ± 0.007 | 0.738 ± 0.009 | 0.744 ± 0.009 | 0.744 ± 0.009 | |
| 0.854 ± 0.011 | 0.854 ± 0.011 | 0.841 ± 0.004 | 0.903 ± 0.01 | 0.902 ± 0.01 | 0.903 ± 0.009 | |
| CBCL | 0.923 ± 0.013 | 0.923 ± 0.013 | 0.923 ± 0.012 | 0.909 ± 0.013 | 0.909 ± 0.013 | 0.909 ± 0.013 |
| 0.909 ± 0.003 | 0.909 ± 0.003 | 0.909 ± 0.004 | 0.925 ± 0.006 | 0.925 ± 0.006 | 0.925 ± 0.006 | |
| 0.895 ± 0.004 | 0.895 ± 0.004 | 0.895 ± 0.004 | 0.934 ± 0.009 | 0.934 ± 0.009 | 0.934 ± 0.009 | |
| RF | 0.85 ± 0.004 | 0.85 ± 0.004 | 0.849 ± 0.004 | 0.855 ± 0.014 | 0.855 ± 0.014 | 0.855 ± 0.014 |
| 0.892 ± 0.001 | 0.892 ± 0.001 | 0.85 ± 0.001 | 0.753 ± 0.006 | 0.753 ± 0.006 | 0.753 ± 0.006 | |
| 0.742 ± 0.011 | 0.742 ± 0.011 | 0.853 ± 0.0 | 0.874 ± 0.011 | 0.874 ± 0.011 | 0.874 ± 0.011 | |
| MEDS-I | 0.521 ± 0.008 | 0.521 ± 0.008 | 0.597 ± 0.001 | 0.835 ± 0.014 | 0.835 ± 0.014 | 0.835 ± 0.014 |
| 0.694 ± 0.006 | 0.694 ± 0.006 | 0.808 ± 0.002 | 0.906 ± 0.012 | 0.906 ± 0.012 | 0.906 ± 0.012 | |
| 0.637 ± 0.004 | 0.637 ± 0.004 | 0.636 ± 0.007 | 0.919 ± 0.015 | 0.919 ± 0.015 | 0.919 ± 0.015 | |
| MEDS-II | 0.498 ± 0.008 | 0.498 ± 0.009 | 0.708 ± 0.0 | 0.857 ± 0.015 | 0.857 ± 0.015 | 0.857 ± 0.015 |
| 0.442 ± 0.003 | 0.442 ± 0.003 | 0.547 ± 0.0 | 0.964 ± 0.006 | 0.964 ± 0.006 | 0.964 ± 0.006 | |
| 0.76 ± 0.008 | 0.761 ± 0.008 | 0.761 ± 0.008 | 0.818 ± 0.008 | 0.819 ± 0.008 | 0.819 ± 0.008 | |
Disclaimer/Publisher’s Note: The statements, opinions and data contained in all publications are solely those of the individual author(s) and contributor(s) and not of MDPI and/or the editor(s). MDPI and/or the editor(s) disclaim responsibility for any injury to people or property resulting from any ideas, methods, instructions or products referred to in the content. |
© 2023 by the authors. Licensee MDPI, Basel, Switzerland. This article is an open access article distributed under the terms and conditions of the Creative Commons Attribution (CC BY) license (https://creativecommons.org/licenses/by/4.0/).
Share and Cite
Dhatchinamoorthy, V.; Devarasan, E. An Analysis of Global and Adaptive Thresholding for Biometric Images Based on Neutrosophic Overset and Underset Approaches. Symmetry 2023, 15, 1102. https://doi.org/10.3390/sym15051102
Dhatchinamoorthy V, Devarasan E. An Analysis of Global and Adaptive Thresholding for Biometric Images Based on Neutrosophic Overset and Underset Approaches. Symmetry. 2023; 15(5):1102. https://doi.org/10.3390/sym15051102
Chicago/Turabian StyleDhatchinamoorthy, Vinoth, and Ezhilmaran Devarasan. 2023. "An Analysis of Global and Adaptive Thresholding for Biometric Images Based on Neutrosophic Overset and Underset Approaches" Symmetry 15, no. 5: 1102. https://doi.org/10.3390/sym15051102
APA StyleDhatchinamoorthy, V., & Devarasan, E. (2023). An Analysis of Global and Adaptive Thresholding for Biometric Images Based on Neutrosophic Overset and Underset Approaches. Symmetry, 15(5), 1102. https://doi.org/10.3390/sym15051102



