Abstract
The problem of pattern classification in quantum data has been of great importance over the past few years. This study investigates the effect of deploying Grover’s, the partial diffusion, and the fixed-phase algorithms separately to amplify the amplitudes of a desired pattern in an unstructured dataset. These quantum search operators were applied to symmetric and antisymmetric input superpositions on a three-qubit system for 20 iterations each. After each iteration, different probabilities of classification were calculated in order to determine the accuracy of classification for each of the three quantum search operators. The results indicated that, in the case of applying the three quantum search operators to incomplete superposition input states, the partial diffusion operator outperformed the other operators with a probability of correct classification that reached 100% in certain iterations. It also showed that the classification accuracy of the fixed-phase operator exceeded the accuracy of the other two operators by 40% in most cases when the input state was a uniform superposition, and some of the basis states were phase-inverted.
1. Introduction
In the past few years, the use of quantum computers to solve complex problems has increased rapidly. It has been proven that some quantum algorithms can provide more accurate and faster solutions to some complex problems than their classical counterparts [1]. Quantum algorithms are being used in many fields, for example, quantum cryptography [2], quantum image processing [3], quantum machine learning [4,5], and quantum classification [6]. One of the most important problems in quantum computation is quantum search. Many algorithms were proposed to solve this problem [7,8,9,10,11] more efficiently than the classical search algorithms. The efficiency of these quantum search algorithms significantly improved in the last 20 years. Most of these quantum algorithms exploit the special properties of quantum systems, such as entanglement, in order to match elements of the input superposition. Switching the entanglement of the search subspace in some quantum algorithms helps to amplify the amplitudes of the desired matches. This leads to a better probability of matching the desired pattern upon measurement of the quantum system.
In [8], a quantum search algorithm was proposed by Lov Grover that searches for a certain pattern in quantum data and showed a quadratic increase in speed compared to the classical search algorithms. This algorithm is one of the first and most important quantum search algorithms to later be adopted in many other subfields in quantum technology. Grover’s operator was able to amplify the amplitude of the matching patterns in , where and n is the number of qubits. This operator showed the best performance when the input state was in a uniform superposition. However, searching in an incomplete superposition (i.e., some input basis states have zero amplitudes) was not one of Grover’s strong suits. Dan Ventura proposed quantum associative memory (AuAM) [9,12], which combined quantum computations and classical neural networks and used these for pattern recall in a set of quantum data. It was not only one of the first and most important contributions to quantum machine learning, but Ventura also claimed to provide a higher probability of success than Grover’s algorithm. In [13,14,15], these quantum search algorithms (Grover’s algorithm and Ventura’s algorithm) are used to classify a pre-defined pattern in an unstructured dataset in two- and three-qubit systems; the classification probabilities were calculated when the two algorithms were applied to three input superposition types. However, it has been shown in [13,14,15] that Grover’s operator is more effective in cases where the number of patterns in the input dataset is large, which obviously contradicted Ventura’s claim. In [13,14], the effects of applying Grover’s [8] and Ventura’s [9] algorithms were tested on a two-qubit system, while, in [15], this was tested on a three-qubit system. The effects of Grover’s and Ventura’s algorithms have been studied over three input state types to determine which is more suitable for pattern classification. This study proved that some superpositions are not suitable for use as input datasets for classification because of the limitations of the algorithms used in the classification process [15].
In [10], Younes introduced the partial diffusion operator, which used entanglement for amplitude amplification. The partial diffusion operator was used in quantum search, which performs inversions around the mean operation. It runs in where N is the data size, and M is the number of matches. The partial diffusion operator [10] splits the solution subspace into smaller subspaces and inverts the phase of each half of these every other iteration to guarantee that the patterns in the solution subspace resist de-amplification. In this way, the probability of success exceeds Grover’s operator by more than 40%. Another algorithm was introduced by Younes in [11] for quantum search, which used phase shifts of 1.91684. This ensures that this phase shift enhances the searching process, and the fixed-phase operator can achieve at least a 95.58% probability of success. Notwithstanding the fact that partial diffusion and fixed-phase operators have a better probability of success than Grover’s, pattern classification using these two operators has not been investigated to date. The problem of pattern classification is the need to define various objects or patterns that have n features in a quantum dataset; which input superposition is more suitable for obtaining better accuracy of classification needs to be studied. Additionally, a quantum search operator is the best option depending on the input size.
The aim of this paper is to investigate the effect of applying different quantum search algorithms to unstructured datasets in a three-qubit system to amplify the amplitudes of predefined patterns in order to provide a more accurate solution to the quantum pattern classification problem and determine which algorithm is more suitable for use depending on the input superposition type. The chosen quantum algorithms are applied to symmetric, non-symmetric, and antisymmetric quantum states [16]. The classification process is made in terms of repetitive iterations of the studied quantum search algorithms. The probability of classification is calculated after using three separate methods: Grover’s [8], the partial diffusion [10], and the fixed-phase [11] quantum search algorithms. Each of the three algorithms is studied with respect to their classification accuracy depending on the size and/or type of the input state in order to identify the best deployment of each algorithm. The classification approach adopted in this study includes the input state preparation, applying the operators for 20 iterations each, and calculating the probability of classification to validate the accuracy achieved by each operator. This study shows that the partial diffusion operator achieves a higher probability of classification than Grover’s operator in all of the incomplete superposition input states. On the other hand, the fixed-phase operator outperforms Grover’s operator and the partial diffusion operator when the input state is in a uniform superposition and some of the basis states are phase-inverted.
2. Approach
This section describes the steps followed in order to classify patterns using different quantum search algorithms. Taking into consideration the different behaviors of each of the three search algorithms used in this study, our approach is divided into three stages. The first is the state preparation stage, where the superpositions under investigation are constructed. The second is the operators’ application stage, where we use the input states prepared in stage 1 and apply each of the operators associated with our quantum search algorithms to 20 iterations in order to classify a certain pattern. The third is the classification evaluation stage, where the probabilities of classification are calculated after each iteration and used to measure the classification accuracy in each of the three search algorithms.
2.1. State Preparation
To prepare the input superpositions, an unstructured dataset P of size m was drawn from the powerset of , where . Let be a basis state of size n qubits that may or may not exist in the dataset P.
Three different methods were adopted to construct input states based on the dataset P: (1) inclusion, (2) exclusion, and (3) phase-inversion. Inclusion is a direct approach where basis states that do not belong to P have zero coefficients, and those that belong to P have non-zero coefficients:
Exclusion is the opposite of inclusion superposition where the basis states that belong to P have zero coefficients, and the others have non-zero coefficients:
In contrast, the phase-inversion approach involves inverting the phase of elements belonging to P and setting all coefficients to equal values:
2.2. Operators’ Application for Classification
In this stage, we describe the application of the three quantum search algorithms to a three-qubit system to classify objects based on certain features presented by a pattern. Let O1 and O2 be two objects that belong to the classes C1 and C2. The patterns P1 and P2 represent two objects, where P1 = and P2 = . Each of these objects has three features, and each feature is denoted by a qubit. Based on the minimum Hamming distance, two classes of bases C1 and C2 were defined, where P1 belongs to C1, and P2 belongs to C2. C1 contained the basis states , , , and ; On the other hand C2 contained the basis states , , , and .
The classification process involved 20 iterations of each of the three quantum search algorithms on the input datasets. The superpositions provided in Equations (1) and (2) are used to classify patterns using Grover, as in Figure 1a, partial diffusion, as in Figure 1b, and fixed-phase operators. However, the phase-inversion superposition is used in the aforementioned form in Equation (3) for Grover’s operator and the partial diffusion operator, where the phase of patterns in P shifts to .
Figure 1.
(a) Grover’s iterative operator applied to state ; (b) partial diffusion iterative operator applied to state .
Finally, the state preparation of for the fixed-phase operator in Figure 2 has to invert the phase of basis states in P to .
Figure 2.
Fixed-phase iterative operator applied to state with a special oracle to eliminate state .
This inversion will take place using the operator where , , and set [11].
By applying this to the previously mentioned approaches to state preparation, the inclusion and exclusion will remain unaffected, but will be as follows:
2.3. Classification Evaluation
When applying Grover’s, the partial diffusion, and the fixed-phase iterative methods, the probability of correct classification needs to be calculated. For instance, in the classification of pattern P2, the probability of correct classification equals the amplitude of the basis state . Moreover, the probability of incorrect classification is the probability of other patterns in C2. Furthermore, irrelevant classification, , is the probability of patterns not in C2. The total probability of classification can be written as , and the conditional probability of classification is expressed as .
The three amplitude amplification algorithms were implemented over , and on a quantum state simulator, and the results were used to calculate the classification probabilities after various iterations of each algorithm.
3. Results
In this section, we are going to discuss the effect of applying three quantum search methods, Grover’s algorithm [8], the partial diffusion algorithm [10] and the fixed-phase algorithm [11], on various input states of different sizes during the process of classifying the pattern .
The probability of correct classification (probability of the desired pattern ), probability of incorrect classification , probability of irrelevant classification , total probability of desired pattern classification P, and conditional probability were calculated separately after each of the first 20 iterations.
The input states were divided into two categories depending on the size of , which are either a one-pattern state or a two-pattern state. The results obtained after running our experiment on each category are discussed separately in the following sections.
3.1. One-Pattern State
Considering the input state , which included only one pattern, we define the state
which represents the search input while searching for the pattern ; consequently, the will be in the form
which represents the complete superposition of three qubits, except the pattern in . In addition, the phase-inversion state will be
which represents the complete superposition of a three-qubit system, where all the basis states are included with equal amplitudes, but the pattern in is phase-inverted.
After applying the three methods of pattern classification and calculating the previously demonstrated probabilities, the following results were produced.
3.1.1. State
The calculated probabilities after applying Grover’s operator and the partial diffusion and fixed-phase operators on are shown in Table 1, Table 2 and Table 3, respectively. Table 1 shows the probability of correct classification , the probability of incorrect classification , the probability of irrelevant classification , the total probability of classification P, and the conditional probability classification after every iteration of applying Grover’s operator to the search state .
Table 1.
The calculated probability of classification after various iterations of Grover’s operator applied to .
Table 2.
The calculated probability of classification after various iterations of the partial diffusion operator are applied to .
Table 3.
The calculated probability of classification after various iterations of the fixed-phase operator are applied to .
The probability of correct classification was as high as 99.9% in the 13th iteration, while the probability of irrelevant classification was as low as 0.49% in the 13th iteration. The probability of correct classification was 100% for the input state = prior to applying Grover’s operator but drastically decreased after the first iteration to only 56%, which suggests that Grover’s operator is unsuitable for use when the input state includes only the desired pattern.
However, when using the partial diffusion operator on the same input state = , after the first iteration, the probability of correct classification was 100%, and the probability of irrelevant classification was 0%, which indicates that no other patterns were detected aside from the input pattern . The application of a partial diffusion operator for one iteration did not affect the initial when it was at maximum before applying the operator to , as shown in Table 2.
Showing similar behavior to the partial diffusion operator, Table 3 shows that the fixed-phase operator also preserved the presence of the pattern with a probability of correct classification of 99.2%, with a slight decrease compared to the initial 100% obtained prior to the first iteration. Additionally, the probability of irrelevant classification was 0.42% on the first iteration; as a result, the conditional probability was 99.6% on the first iteration. However, after the second and third iterations, the presence of the pattern started to gradually decrease, reaching its lowest value at the 17th iteration with a probability of 12.31%. This implies that the fixed-phase and partial diffusion operators are more suitable for use when the input state includes only the pattern we are searching for, with a slight advancement of when using the partial diffusion operator compared to the fixed-phase operator, which indicates that both are still better than Grover’s operator in this particular case.
Comparing the behavior after applying the three operators to , Figure 3 illustrates the change in the probability of correct classification after separately applying each of the three algorithms to 20 iterations. The probability of the correct classification of is close to 100% after the first iteration in which the fixed-phase algorithm was applied. Then, it began to fall, reaching its minimum at the 17th iteration of application. However, the partial diffusion operator kept the probability of correct classification at exactly 100% after the first iteration; then, it began to show inversions about the mean and continued to fluctuate, but in a narrower range than with Grover’s algorithm, which showed similar fluctuation behaviour, but in a wider range, with a minimum at the 11th iteration of close to 0%.
Figure 3.
The probability of correct classification after 20 iterations of Grover’s, partial diffusion, and fixed-phase operators applied to .
Figure 4 demonstrates the change in the probability of irrelevant classification after the first 20 iterations of pattern classification using Grover’s, the partial diffusion, and the fixed-phase algorithms. As shown, the probability of irrelevant classification started at 0% in the first iteration of the partial diffusion and fixed-phase algorithms, but it started at 25% for Grover’s algorithm.
Figure 4.
The probability of the irrelevant classification of after 20 iterations of Grover’s, partial diffusion, and fixed-phase operators applied to .
This further emphasizes that Grover’s operator is not the best choice when the input state includes only the desired pattern.
Finally, Figure 5 illustrates the conditional probability of classification after each iteration of Grover’s, the partial diffusion, and the fixed-phase operators’ applications to = . Grover’s and the partial diffusion operators share the same fluctuating behavior but with different ranges in favor of partial diffusion, which varies between 100% and 40%; however, the values range from 0% to 99% using Grover’s operator.
Figure 5.
The conditional probability of classification after 20 iterations of Grover’s, partial diffusion, and fixed-phase operators applied to .
3.1.2. State
For the classification of the pattern in the input state presented in Equation (6), which does not contain the desired pattern in its initial form, the three methods for the iterative quantum search were used separately to determine which is best for use in this case.
Table 4 presents the probabilities after applying 20 iterations of Grover’s algorithm to the input state .
Table 4.
The calculated probability of classification after various iterations of Grover’s operator applied to .
By the 11th iteration, Grover’s operator was able to obtain a 99% probability of the correct classification of , and a 0.05% probability of irrelevant classification . For this reason, the conditional probability of the classification of has a maximal value of 99.6% in this iteration.
In comparison, the partial diffusion operator demonstrates a significant presence of the desired pattern in the third iteration, with a probability of correct classification of 99.9%, while the probability of irrelevant classification was 0.014%; hence, the conditional probability classification was 99.98%. This indicates that the partial diffusion operator outperforms Grover’s operator in defining the desired pattern, even if it is not present in the input state , as shown in Table 5.
Table 5.
The calculated probability of classification after various iterations of the partial diffusion operator applied to .
Different from Grover’s operator and the partial diffusion operator, the fixed-phase operator guarantees a maximum probability of classification at the 17th iteration in Table 6, with 87% accuracy, showing a gradual increase from the 0% obtained at the initial state. Moreover, the probability of irrelevant classification was 0.7% at the 17th iteration. Therefore, the conditional probability of classification was 94.3% at the same iteration.
Table 6.
The calculated probability of classification after various iterations of the fixed-phase operator applied to .
To illustrate this, Figure 6 shows a comparison of the three quantum search operators used and their effect on the probability of correct classification . Similar to , in , the probability of correct classification measured after applying iterations of Grover’s operator or the partial diffusion operator maintained a periodic fluctuating behavior, unlike the fixed-phase operator, which increases the probability of correct classification in a gradual manner.
Figure 6.
The probability of correct classification after 20 iterations of Grover’s, partial diffusion, and fixed-phase operators applied to .
Figure 7 presents the change in the probability of irrelevant classification , where the fixed-phase algorithm started at 56% and decreased to only 0.7% at the 17th iteration, while the partial diffusion and Grover’s algorithms showed a periodic increase and decrease over the first 20 iterations in a similar fluctuation range.
Figure 7.
The probability of irrelevant classification after 20 iterations of Grover’s, partial diffusion, and fixed-phase operators applied to .
Finally, the conditional probability of classification when applying the three operators to , illustrated in Figure 8, indicates that the maximal was achieved by applying the partial diffusion operator to only three iterations of , where the desired pattern does not exist in the initial input state.
Figure 8.
The conditional probability of classification after 20 iterations of Grover’s, partial diffusion, and fixed-phase operators are applied to .
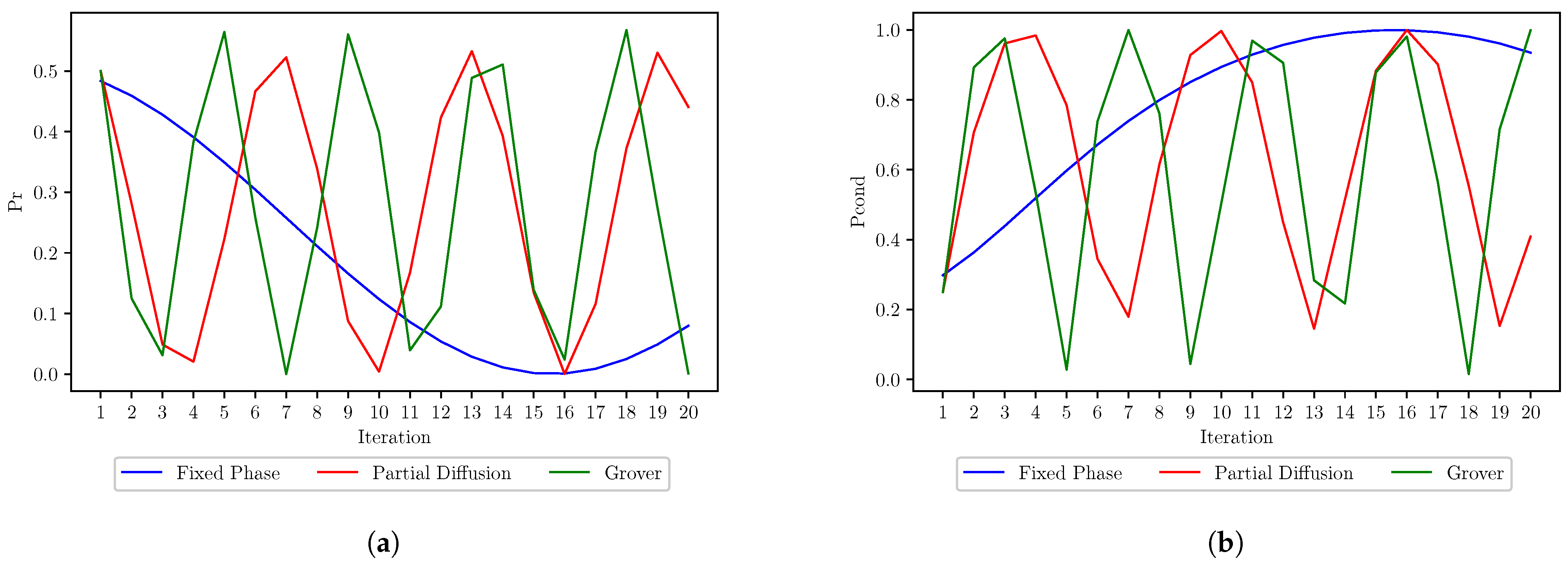
3.1.3. State
In this section, we describe the results obtained when using the state , which contains a combination of both the inclusion and exclusion states, as input to the three quantum search algorithms. The phase of bases in are inverted to −1 for Grover’s and the partial diffusion operators and to for the fixed-phase operator during the state preparation process.
Table 7 demonstrates the effect of applying Grover’s algorithm to the input state where all the bases have equal amplitudes in the input state with a phase-inversion on the bases in . In the seventh iteration, Grover’s operator showed an accuracy of 99.97% for , 0.012% for the irrelevant classification , and 99.99% for the conditional probability of classification .
Table 7.
The calculated probability of classification after various iterations of Grover’s operator applied to .
Moreover, the partial diffusion operator showed close results obtained at the 16th iteration, presented in Table 8; when applied to the same input state, the probability of classification was 99.95%, and the probability of irrelevant classification was 0.023%, resulting in a conditional probability of 99.98%. This shows that the partial diffusion operator’s results are slightly lower than Grover’s in this particular case in which only the desired pattern is phase-inverted.
Table 8.
The calculated probability of classification after various iterations of the partial diffusion operator applied to .
Furthermore, when applying the fixed-phase operator to in Table 9, the probability of correct classification did not exceed 15.3% in the first iteration but gradually increased until the 16th iteration, where it reached 99.8%, whereas the probability of irrelevant classification was 0.1%, and the conditional probability of classification was 99.92%.
Table 9.
The calculated probability of classification after various iterations of the fixed-phase operator applied to .
It has been noted that was the only input state in which Grover outperformed the other search operators, when the input state was in a complete superposition with only the desired pattern being phase-inverted.
Figure 9 and Figure 10a,b illustrate the change in the probability of correct classification, the probability of irrelevant classification, and the conditional probability of classification, respectively, for the three algorithms.
Figure 9.
The probability of correct classification after 20 iterations of Grover’s, partial diffusion, and fixed-phase operators applied to .
Figure 10.
(a) The probability of irrelevant classification after 20 iterations of Grover’s, partial diffusion, and fixed-phase operators applied to . (b) The conditional probability of classification after 20 iterations of Grover’s, partial diffusion, and fixed-phase operators applied to .
In Figure 9, the probability of correct classification varied over the 20 tested iterations and almost reached 100% when using the three operators on the 7th iteration of Grover’s operator and the 16th iteration of the partial diffusion and fixed-phase operators. However, Grover’s algorithm, at the seventh iteration, obtained a slightly higher than the other operators.
On the other hand, the probability of irrelevant classification, as shown in Figure 10a, never exceeded 60% when using the three quantum search operators, leaving us with a minimal value at the seventh iteration of Grover’s operator.
Hence, the conditional probability of classification demonstrated in Figure 10b shows that Grover’s operator had the maximal value in the 7th iteration, whereas the partial diffusion and fixed-phase operators had maximal values in the 16th iteration, with only a 0.1% difference between the highest and lowest values of conditional probability for the three algorithms.
3.2. Similarity of Results in One-Pattern States
After running experimental results on all one-pattern input states (size of = 1), we found a repeating pattern of behavior between all input state patterns belonging to C1 and all input state patterns belonging to C2. The calculated probability of the results was nearly identical in all iterations for ,, and with input pattern states , and or input pattern states , and .
This behavior was shown with ,, and for every state in C1 or C2. Figure 11 shows that the results are identical for the probability of correct classification after 20 iterations of the three algorithms applied to , and .
Figure 11.
The probability of correct classification after 20 iterations of Grover’s, partial diffusion, and fixed-phase operators applied to , and , respectively.
In Figure 11, it is shown that the partial diffusion operator recorded the maximal probability of correct classification as 14.2% in the third iteration of application when applied to the input states , and . Figure 12 represents the probability of correct classification when the three algorithms are applied to , , and of the previous inclusion states. The partial diffusion operator guaranteed the maximal in the 15th iteration of application with 87%.
Figure 12.
The probability of correct classification after 20 iterations of Grover’s, partial diffusion, and fixed-phase operators applied to , , and , respectively.
Finally, the fixed-phase operator recorded the best probability of correct classification on the 17th iteration when applied to , , and with a maximal value of 99.2%, as shown in Figure 13.
Figure 13.
The probability of correct classification after 20 iterations of Grover’s, partial diffusion, and fixed-phase operators applied to , , and , respectively.
3.3. Two-Pattern State
In this section, we discuss the effect of applying Grover’s, the partial diffusion, and the fixed-phase operators to , , and where is the state that equally includes the two patterns and
which represents the search input, while searching for the pattern ; consequently, will be in the form
Additionally, the phase-inversion state will be
3.3.1. State
Using as the input state for the iterative methods (Grover’s, partial diffusion, and fixed-phase) for 20 iterations each, the calculated probabilities of classification are discussed in this section.
Table 10 illustrates the probability of correct classification, the probability of irrelevant classification, the probability of incorrect classification, the total probability, and the conditional probability of classification for the 20 iterations tested using Grover’s operator and the partial diffusion and fixed-phase operators.
Table 10.
The calculated probability of classification after various iterations of Grover’s operator applied to =.
Although the on the first iteration was exactly 50% in the proceeding iterations, Grover’s operator failed to provide a that exceeds 56.7%, and the probability of incorrect classification had its minimal value at the 18th iteration of 38%. The conditional probability of classification was 100% in the first iteration but kept fluctuating between 0.27% and 99.9% afterward.
The partial diffusion operator showed similar behavior to Grover’s on , although it was slightly more accurate. The probability of correct classification had a maximal value at the eighth iteration of 56.98%. The probability of irrelevant classification was initially 37.5% and never decreased in the 20 tested iterations.
Finally, the conditional probability of classification varied between 14.9% and 99.9%, as shown in Table 11.
Table 11.
The calculated probability of classification after various iterations of partial diffusion operator applied to = .
Using the fixed-phase operator on in Table 12 resulted in 50% of in the first iteration and never exceeded that in the following iterations, while the probability of irrelevant classification had its minimal value at the eighth iteration. The conditional probability of classification was at its maximal value in the first iteration. This shows that the partial diffusion operator is the best option when the input state includes only two patterns with equal amplitudes, with the desired pattern existing in the initial superposition.
Table 12.
The calculated probability of classification after various iterations of fixed-phase operator applied to .
Figure 14 illustrates the changes in the probability of correct classification over 20 iterations using the three quantum search methods. It shows that the partial diffusion operator, on the 8th iteration, provided the maximal value of of 56.9%, with a close value of using Grover’s operator on the 18th iteration, at 56.7%.
Figure 14.
The probability of correct classification after 20 iterations of Grover’s, partial diffusion, and fixed-phase operators applied to .
In terms of the probability of irrelevant classification, the minimum value was achieved by the partial diffusion operator in the 14th iteration, with a variation range that did not exceed 64%, while Grover’s and the fixed-phase operators had higher values of over the first 20 iterations, as demonstrated in Figure 15.
Figure 15.
The probability of irrelevant classification after 20 iterations of Grover’s, partial diffusion, and fixed-phase operators applied to .
3.3.2. State
Applying Grover’s, the partial diffusion, and the fixed-phase operators to presented in Equation (9). Table 13, Table 14 and Table 15 show the calculated probabilities of classification after various applications of the previously mentioned operators.
Table 13.
The calculated probability of classification after various iterations of Grover’s operator applied to .
Table 14.
The calculated probability of classification after various iterations of partial diffusion operator applied to .
Table 15.
The calculated probability of classification after various iterations of fixed-phase operator applied to .
In Table 13, the probability of correct classification after 11 iterations was 84.9%, with only a 12.4% probability of irrelevant classification and a conditional probability of classification of 97%, which is very close to the value of calculated classification probabilities at the second iteration, where the probability of correct classification was 84.3%, the probability of irrelevant classification was 12.5%, and the conditional probability of classification was 96.4%.
In addition, the calculated probabilities of classification in Table 14 reached the maximal desired values after only three iterations of the partial diffusion operator were applied to , where the probability of correct classification was 85.6%, and the conditional probability of classification was at its maximal value of 99.9% in the 16th iteration.
Finally, the fixed-phase operator resulted in the probabilities of classification presented in Table 15. The probability of correct classification steadily increased, from only 0.6% at the first iteration to 75% at the 17th iteration, whereas the probability of irrelevant classification decreased from 50% at the first iteration to only 7% in the 17th iteration, and the conditional probability of classification significantly increased from 0.1% to 98% in the first 17 iterations. This shows the steady behavior of the fixed-phase operator.
Figure 16 illustrates the probability of correct classification measured in 20 iterations after applying Grover’s, the partial diffusion, and the fixed-phase algorithms. This shows the expected behavior of the three operatorsm in which Grover’s operator and the partial diffusion operator resulted in a fluctuating value of , and the fixed-phase operator resulted in gradual progress. Although Grover’s and the partial diffusion values for are close, the partial diffusion operator outperforms Grover’s operator in the third iteration of application, achieving the highest value for across all operators.
Figure 16.
The probability of correct classification after 20 iterations of Grover’s, partial diffusion, and fixed-phase operators applied to .
In addition, the probability of irrelevant classification shown in Figure 17 never exceeded 60% in the first 20 iterations using the partial diffusion operator, whereas, when using Grover’s operator, the probability of irrelevant classification went up to 70% at some iterations and never exceeded 50% using the fixed-phase operator.
Figure 17.
The probability of irrelevant classification after 20 iterations of Grover’s, partial diffusion, and fixed-phase operators applied to .
Finally, Figure 18 shows the conditional probability of classification; the maximal result of was found at the 16th iteration of the partial diffusion operator, with a very close difference to Grover’s and the fixed-phase operators.
Figure 18.
The conditional probability classification after 20 iterations of Grover’s, partial diffusion, and fixed-phase operators applied to .
3.3.3. State
Table 16, Table 17 and Table 18 present the calculated probabilities of classification over the 20 iterations of Grover’s, partial diffusion, and fixed-phase operators, respectively, over the input state . Grover’s operator achieved the highest probability of correct classification in the 16th iteration; the maximal value of was only 56%, as shown in Table 16. However, the partial diffusion operator reached a much better accuracy when classifying the desired pattern at the 10th iteration in Table 17; the probability of correct classification was as high as 76.6%, which indicates that the partial diffusion operator outperformed Grover’s operator in this case. The fixed-phase operator reached an outstanding 99.1% probability of correct classification in the 16th iteration. This made it the best choice of operator in the phase-inversion superposition, which disproves the claim that the phase-inversion superposition was not suitable for pattern classification in [15].
Table 16.
The calculated probability of classification after various iterations of Grover’s operator applied to .
Table 17.
The calculated probability of classification after various iterations of partial diffusion operator applied to .
Table 18.
The calculated probability of classification after various iterations of fixed-phase operator applied to .
The combined change in after applying the three quantum search algorithms to the input state is illustrated in Figure 19. This shows the significant accuracy achieved by the fixed-phase operator after 16 iterations of application.
Figure 19.
The probability of correct classification after 20 iterations of Grover’s, partial diffusion, and fixed-phase operators applied to .
On the other hand, the probability of irrelevant classification, as shown in Figure 20, demonstrates the significance of the behavior of the fixed-phase algorithm, providing minimal results.
Figure 20.
The probability of irrelevant classification after 20 iterations of Grover’s, partial diffusion, and fixed-phase operators applied to .
4. Discussion
The results presented in the previous section helped us to understand the different behaviors of the three studied quantum search operators when applied to various superpositions of different sizes. The following provides a discussion of the comparative effectiveness of the three quantum search algorithms investigated in this paper when separately applied to various types of input superpositions to achieve higher accuracy in correct pattern classification. This comparative analysis was conducted with the aid of the calculated classification probabilities. The probability of correct classification is the probability of the desired pattern and the probability of irrelevant classification. is the total probability of all patterns belonging to C2, which are , , and . The probability of correct classification is the summation of the probabilities of patterns belonging to C1, the total probability of classification , and, finally, the conditional probability of classification, which represents the percentage of the pattern of the total probability of C2.
When the input size was one pattern per state , an identical behavior was observed among the input states in C1; , , , and . This is where the partial diffusion operator achieved the highest probability of correct classification . Similarly, the input states belonging to C2 were , , and ; the results were identical.
The partial diffusion operator was better than any other operator applied to and . All of these input state cases reached their best probabilities of correct classification in the third iteration, with a probability of 14.2%. This is one of the key advantages of the partial diffusion operator as it uses similar inversions regarding the mean to Grover’s; however, as presented in [10], the probability of achieving success with these iterations using the partial diffusion operator has a lower bound of 90%, which is higher than that of Grover’s operator, whose probability of success’s lower bound may reach 50%.
However, regarding , the probability of correct classification reached its maximum value using the fixed-phase operator. This operator shows a special effect of a gradual increase over the first 20 iterations, which is different from the fluctuating behavior of Grover’s and the partial diffusion operators. The fixed-phase operator guarantees a maximal value at the 16th or 17th iteration of application.
Apart from the states included in C1 or C2, the input state showed a distinct behavior of results compared to all other input states of the same size. This behavior is justified by the usage of this very state as the oracle we are searching for, making this the self-search state. The partial diffusion operator showed exquisite results when operating on the self-search state for and . However, for the phase-inversion state, the probability of correct classification started close to 100% and then began to descend. This is because the wave function of the fixed-phase operator will not have recovered in the first 20 iterations if it started with a peak.
Similar to the one-pattern state, when the three methods of quantum search were applied to and when the size of is only two patterns or , the best probability of correct classification was achieved using the partial diffusion operator. As presented in Table 11 and Table 14, the probability of obtaining a correct classification using the partial diffusion operator exceeded all values of presented by Grover’s operator.
For the phase-inversion input state , and similar to the one-pattern state, the fixed-phase operator outperformed all other quantum search operators in this particular case. The probability of correct classification was guaranteed to be at its maximal value at the 17th iteration of the fixed-phase operator, with a more distinct difference than any other operator.
The best probability of correct classification resulted from applying the three quantum search algorithms to the four-pattern input state , which was in favor of the partial diffusion operator only at the second iteration; in addition, using the superposition as input to the same quantum search methods, the best probability of correct classification was reached at the third iteration of the partial diffusion operator. This not only proves that the partial diffusion outperforms Grover’s algorithm if the input state has an incomplete superposition, i.e., some basis states’ amplitudes are equal to zero, but it also denies the claims in [15] that Grover’s method is more effective with a large amount of stored data.
In comparison to [15], in which they claim that some input states are not suitable for classifying a certain desired pattern, our results show that these input states can be used to classify/detect a certain pattern using the appropriate algorithm for the input state’s particular case.
The partial diffusion operator obtained higher results than Grover’s in all and input states provided in Table 19 (Line 1–11). The fixed-phase operator was superior to both of the other operators in phase-inverted conditions, with complete superpositions shown in Table 19 (Line 13–17). However, the only case in which Grover’s operator was better than the partial diffusion and fixed-phase operators was the state , where the difference between the lowest probability of correct classification and Grover’s maximal was only 0.1%.
Table 19.
Comparative probabilities of correct classification of pattern over 20 iterations of Grover, partial diffusion, and fixed-phase operators.
To conclude, the fixed-phase operator is most suitable for use when the input state is in a complete superposition with some base states marked and phase-shifted to . In addition, the partial diffusion operator is most suitable when the input state is in an incomplete superposition of any size.
5. Conclusions
This study set out to determine the implications of amplitude amplification techniques to solve the quantum pattern classification problem by providing a high probability of classification. We studied the effect of applying Grover’s operator and the partial diffusion and fixed-phase operators for 20 iterations, each on unstructured datasets in a three-qubit system. By comparing the outcomes using input states based on inclusion, exclusion, and phase-inversion, it was found that the partial diffusion operator provided better classification accuracy during the inclusion and exclusion input states (i.e., incomplete superpositions), while the fixed-phase operator could obtain significant results when applied to phase-inversion superpositions. A further perspective could be provided by an investigation of the behavior of the aforementioned quantum search algorithms on four-qubit datasets, as well as new amplitude-amplification algorithms.
Author Contributions
Conceptualization, A.Y., A.E. and M.E.; software, M.E.; validation, A.Y., M.E. and I.E.; data curation, A.Y., I.E. and M.E.; writing—original draft preparation, M.E. and I.E.; writing—review and editing, M.E. and I.E.; supervision, A.Y., A.E. and I.E.; All authors have read and agreed to the published version of the manuscript.
Funding
This research received no external funding.
Data Availability Statement
The data presented in this study are available on request from the corresponding author.
Conflicts of Interest
The authors declare no conflict of interest.
Abbreviations
The following abbreviations are used in this manuscript:
| PD | partial diffusion |
| FP | fixed-phase |
| inc | inclusion |
| exc | exclusion |
| phi | phase-inversion |
References
- DiVincenzo, D.P. Quantum computation. Science 1995, 270, 255. [Google Scholar] [CrossRef]
- Scarani, V.; Kurtsiefer, C. The black paper of quantum cryptography: Real implementation problems. Theor. Comput. Sci. 2014, 560, 27–32. [Google Scholar] [CrossRef]
- Beach, G.; Lomont, C.; Cohen, C. Quantum image processing (QuIP). In Proceedings of the 32nd Applied Imagery Pattern Recognition Workshop, Washington, DC, USA, 15–17 October 2003; pp. 39–44. [Google Scholar] [CrossRef]
- Schuld, M.; Sinayskiy, I.; Petruccione, F. An introduction to quantum machine learning. Contemp. Phys. 2015, 56, 172–185. [Google Scholar] [CrossRef]
- Wittek, P. Quantum Machine Learning: What Quantum Computing Means to Data Mining; Elsevier: Amsterdam, The Netherlands, 2014. [Google Scholar] [CrossRef]
- Blank, C.; Park, D.K.; Rhee, J.K.K.; Petruccione, F. Quantum classifier with tailored quantum kernel. npj Quantum Inf. 2020, 6, 41. [Google Scholar] [CrossRef]
- Grover, L.K. From Schrödinger’s equation to the quantum search algorithm. Am. J. Phys. 2001, 69, 769–777. [Google Scholar] [CrossRef]
- Grover, L.K. A Fast Quantum Mechanical Algorithm for Database Search. In Proceedings of the Twenty-Eighth Annual ACM Symposium on Theory of Computing, STOC’96, Philadelphia, PA, USA, 22–24 May 1996; Association for Computing Machinery: New York, NY, USA, 1996; pp. 212–219. [Google Scholar]
- Ventura, D.; Martinez, T.R. Quantum associative memory. Inf. Sci. 2000, 124, 273–296. [Google Scholar] [CrossRef]
- Younes, A.; Rowe, J.; Miller, J. Quantum searching via entanglement and Partial Diffusion. arXiv 2004, arXiv:quant-ph/0406207. [Google Scholar] [CrossRef]
- Younes, A. Towards more reliable fixed phase quantum search algorithm. Appl. Math. Inf. Sci. 2013, 1, 93–98. [Google Scholar] [CrossRef]
- Ventura, D.; Martinez, T. Initializing the Amplitude Distribution of a Quantum State. Found. Phys. Lett. 1999, 12, 547–559. [Google Scholar] [CrossRef]
- Singh, M.P.; Radhey, K.; Kumar, S. Simultaneous classification of Oranges and Apples Using Grover’s and Ventura’ Algorithms in a Two-qubits System. Int. J. Theor. Phys. 2017, 56, 2521–2534. [Google Scholar] [CrossRef]
- Singh, M.P.; Radhey, K.; Rajput, B.S. Pattern Classifications Using Grover’s and Ventura’s Algorithms in a Two-qubits System. Int. J. Theor. Phys. 2018, 57, 692–705. [Google Scholar] [CrossRef]
- Singh, M.P.; Radhey, K.; Saraswat, V.K.; Kumar, S. Classification of patterns representing Apples and Oranges in three-qubit system. Quantum Inf. Process. 2017, 16, 16. [Google Scholar] [CrossRef]
- Kadiri, G.; Sivakumar, S. Permutation symmetry and entanglement in multipartite quantum states of unequal subsystem dimensions. arXiv 2017, arXiv:1702.04948. [Google Scholar]
Disclaimer/Publisher’s Note: The statements, opinions and data contained in all publications are solely those of the individual author(s) and contributor(s) and not of MDPI and/or the editor(s). MDPI and/or the editor(s) disclaim responsibility for any injury to people or property resulting from any ideas, methods, instructions or products referred to in the content. |
© 2023 by the authors. Licensee MDPI, Basel, Switzerland. This article is an open access article distributed under the terms and conditions of the Creative Commons Attribution (CC BY) license (https://creativecommons.org/licenses/by/4.0/).



















