Gravitational Refraction of Compact Objects with Quadrupoles
Abstract
1. Introduction
2. Refraction in a Slightly Deformed Spacetime
2.1. Refractive Index
2.2. Deflection Angle
3. Refraction in a Slowly Rotating Spacetime
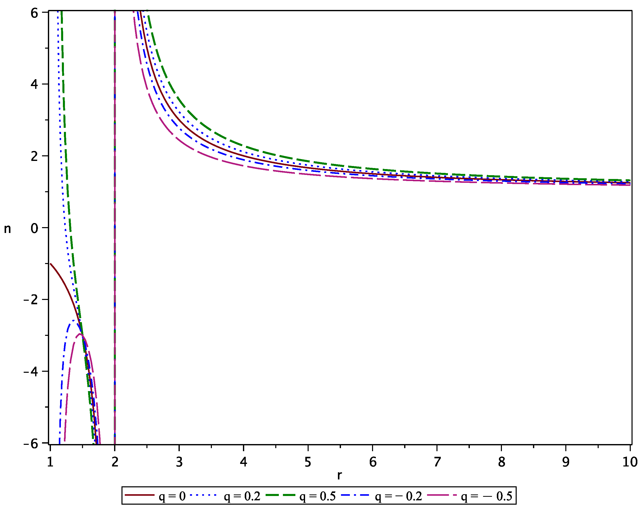
3.1. Refractive Index
3.2. Deflection Angle
4. Analysis of the Results
5. Conclusions
Author Contributions
Funding
Institutional Review Board Statement
Informed Consent Statement
Data Availability Statement
Acknowledgments
Conflicts of Interest
References
- Moore, D.T. Unusual optical forms. In Proceedings of the Los Angeles Technical Symposium, Los Angeles, CA, USA, 21–25 January 1985; Volume 531, pp. 256–263. [Google Scholar]
- Dyson, F.W.; Eddington, A.S.; Davidson, C. A Determination of the Deflection of Light by the Sun’s Gravitational Field, from Observations Made at the Total Eclipse of 29 May 1919. Philos. Trans. R. Soc. Lond. 1920, 220, 291–333. [Google Scholar]
- Hoekstra, H.; Bartelmann, M.; Dahle, H.; Israel, H.; Limousin, M. Masses of galaxy clusters from gravitational lensing. Space Sci. Rev. 2013, 177, 75–118. [Google Scholar] [CrossRef]
- James Webb Discovery—JWST Captures the Previously Spotted Einstein Ring Galaxy SPT-S J041839-4751.8 with MIRI. Available online: https://www.reddit.com/r/jameswebbdiscoveries/comments/wvk1op/james_webb_discovery_jwst_captures_the_previously/ (accessed on 15 January 2022).
- Tamm, J.E. The electrodynamics of anisotropic media in the special theory of relativity. J. Russ. Phys.-Chem. Soc. 1924, 56, 268. [Google Scholar]
- Balazs, N. Effect of a Gravitational Field, Due to a Rotating Body, on the Plane of Polarization of an Electromagnetic Wave. Phys. Rev. 1958, 110, 236–239. [Google Scholar] [CrossRef]
- Misner, C.W.; Thorne, K.S.; Wheeler, J. Gravitation; W.H. Freeman and Company: New York, NY, USA, 1971. [Google Scholar]
- Ray, D.; Vickers, J. Introducing Einsteins Relativity; Oxford University Press: Oxford, UK, 2022. [Google Scholar]
- Chandrasekhar, S. The Mathematical Theory of Black Holes; Oxford University Press: Oxford, UK, 1983. [Google Scholar]
- Weinberg, S. Gravitation and Cosmology; John wiley and Sons Inc.: Hoboken, NJ, USA, 1972. [Google Scholar]
- Wald, R. General Relativity; University of Chicago Press: Chicago, IL, USA, 1984. [Google Scholar]
- Alsing, P. The optical-mechanical analogy for stationary metrics in general relativity. Am. J. Phys. 1998, 66, 779–790. [Google Scholar] [CrossRef]
- Roy, S.; Sen, A. Trajectory of a light ray in Kerr field: A material medium approach. Astrophys. Space Sci. 2015, 360. [Google Scholar] [CrossRef]
- Stephani, H.; Kramer, D.; MacCallum, M.; Hoenselaers, C.; Herlt, E. Exact Solutions of Einstein’s Field Equations; Cambridge University Press: Cambridge, UK, 2003. [Google Scholar]
- Quevedo, H. Mass Quadrupole as a Source of Naked Singularities. Int. J. Mod. Phys. D 2011, 20, 1779–1787. [Google Scholar] [CrossRef]
- Zipoy, D.M. Topology of some spheroidal metrics. J. Math. Phys. 1966, 7, 1137–1143. [Google Scholar] [CrossRef]
- Voorhees, B.H. Static axially symmetric gravitational fields. Phys. Rev. D 1970, 2, 2119–2122. [Google Scholar] [CrossRef]
- Malafarina, D.; Magli, G.; Herrera, L. Static Axially Symmetric Sources of the Gravitational Field. In Proceedings of the General Relativity and Gravitational Physics; Espositio, G., Lambiase, G., Marmo, G., Scarpetta, G., Vilasi, G., Eds., Eds.; American Institute of Physics: Vietri sul Mare, Italy, 2005; Volume 751, pp. 185–187. [Google Scholar] [CrossRef]
- Abishev, M.; Boshkayev, K.; Quevedo, H.; Toktarbay, S. Accretion disks around a mass with quadrupole. In Proceedings of the 12th International Conference on Gravitation, Astrophysics and Cosmology (ICGAC-12), Moscow, Russia, 28 June–5 July 2015; pp. 185–186. [Google Scholar]
- Boshkayev, K.; Gasperín, E.; Gutiérrez- Piñeres, A.C.; Quevedo, H.; Toktarbay, S. Motion of test particles in the field of a naked singularity. Phys. Rev. D 2016, 93, 024024. [Google Scholar] [CrossRef]
- Boshkayev, K.; Quevedo, H.; Toktarbay, S.; Zhami, B.; Abishev, M. On the equivalence of approximate stationary axially symmetric solutions of the Einstein field equations. Grav. Cosmol. 2016, 22, 305–311. [Google Scholar] [CrossRef]
- Benavides-Gallego, C.A.; Abdujabbarov, A.; Malafarina, D.; Ahmedov, B.; Bambi, C. Charged particle motion and electromagnetic field in γ spacetime. Phys. Rev. D 2019, 99, 044012. [Google Scholar] [CrossRef]
- Turimov, B.; Ahmedov, B.; Kološ, M.; Stuchlík, Z.c.v. Axially symmetric and static solutions of Einstein equations with self-gravitating scalar field. Phys. Rev. D 2018, 98, 084039. [Google Scholar] [CrossRef]
- Stewart, B.W.; Papadopoulos, D.; Witten, L.; Berezdivin, R.; Herrera, L. An interior solution for the gamma metric. Gen. Relativ. Gravit. 1982, 14, 97–103. [Google Scholar] [CrossRef]
- Quevedo, H.; Toktarbay, S. Generating static perfect-fluid solutions of Einstein’s equations. J. Math. Phys. 2015, 56, 052502. [Google Scholar] [CrossRef]
- Toktarbay, S.; Quevedo, H.; Abishev, M.; Muratkhan, A. Gravitational field of slightly deformed naked singularities. Eur. Phys. J. C 2022, 82, 382. [Google Scholar] [CrossRef]
- Sakai, N.; Saida, H.; Tamaki, T. Gravastar shadows. Phys. Rev. D 2014, 90, 104013. [Google Scholar] [CrossRef]
- Arrieta-Villamizar, J.A.; Velásquez-Cadavid, J.M.; Pimentel, O.M.; Lora-Clavijo, F.D.; Gutiérrez-Piñeres, A.C. Shadows around the q-metric. Class. Quantum Gravity 2021, 38, 015008. [Google Scholar] [CrossRef]
- Frutos-Alfaro, F.; Quevedo, H.; Sanchez, P.A. Comparison of vacuum static quadrupolar metrics. R. Soc. Open Sci. 2018, 5, 170826. [Google Scholar] [CrossRef]
- Landau, L.D.; Lifshitz, E.M. The Classical Theory of Fields, 4th ed.; Butterworth-Heinemann: Oxford, UK, 1980. [Google Scholar]
- Sen, A.K. A more exact expression for the gravitational deflection of light, derived using material medium approach. Astrophysics 2010, 53, 560–569. [Google Scholar] [CrossRef]
- Fischbach, E.; Freeman, B.S. Second-order contribution to the gravitational deflection of light. Phys. Rev. D 1980, 22, 2950–2952. [Google Scholar] [CrossRef]
- Evans, J.; Kanti Nandi, K.; Islam, A. The optical-mechanical analogy in general relativity: Exact Newtonian forms for the equations of motion of particles and photons. Gen. Relativ. Gravit. 1996, 28, 413–439. [Google Scholar] [CrossRef]
- Evans, J.; Kanti Nandi, K.; Islam, A. The optical-mechanical analogy in general relativity: New methods for the paths of light and of the planets. Am. J. Phys.-Am. J. Phys. 1996, 64, 1404–1415. [Google Scholar] [CrossRef]
- Ye, X.H.; Lin, Q. Gravitational lensing analysed by the graded refractive index of a vacuum. J. Opt. A Pure Appl. Opt. 2008, 10, 075001. [Google Scholar] [CrossRef]
- Nazrul Islam, J. Rotating Fields in General Relativity; Cambridge University Press: Cambridge, UK, 2009. [Google Scholar]
- Roy, S.; Sen, A.K. Study of gravitational deflection of light ray. In Proceedings of the Journal of Physics Conference Series. J. Phys. Conf. Ser. 2019, 1330, 012002. [Google Scholar] [CrossRef]
- Boyer, R.H.; Lindquist, R.W. Maximal Analytic Extension of the Kerr Metric. J. Math. Phys. 1967, 8, 265–281. [Google Scholar] [CrossRef]
- Werner, M.C. Gravitational lensing in the Kerr-Randers optical geometry. Gen. Relativ. Gravit. 2012, 44, 3047–3057. [Google Scholar] [CrossRef]





Disclaimer/Publisher’s Note: The statements, opinions and data contained in all publications are solely those of the individual author(s) and contributor(s) and not of MDPI and/or the editor(s). MDPI and/or the editor(s) disclaim responsibility for any injury to people or property resulting from any ideas, methods, instructions or products referred to in the content. |
© 2023 by the authors. Licensee MDPI, Basel, Switzerland. This article is an open access article distributed under the terms and conditions of the Creative Commons Attribution (CC BY) license (https://creativecommons.org/licenses/by/4.0/).
Share and Cite
Beissen, N.; Utepova, D.; Abishev, M.; Quevedo, H.; Khassanov, M.; Toktarbay, S. Gravitational Refraction of Compact Objects with Quadrupoles. Symmetry 2023, 15, 614. https://doi.org/10.3390/sym15030614
Beissen N, Utepova D, Abishev M, Quevedo H, Khassanov M, Toktarbay S. Gravitational Refraction of Compact Objects with Quadrupoles. Symmetry. 2023; 15(3):614. https://doi.org/10.3390/sym15030614
Chicago/Turabian StyleBeissen, Nurzada, Daniya Utepova, Medeu Abishev, Hernando Quevedo, Manas Khassanov, and Saken Toktarbay. 2023. "Gravitational Refraction of Compact Objects with Quadrupoles" Symmetry 15, no. 3: 614. https://doi.org/10.3390/sym15030614
APA StyleBeissen, N., Utepova, D., Abishev, M., Quevedo, H., Khassanov, M., & Toktarbay, S. (2023). Gravitational Refraction of Compact Objects with Quadrupoles. Symmetry, 15(3), 614. https://doi.org/10.3390/sym15030614

