Electro-Optical Characteristics of Quasi-Homogeneous Cell in Twisted Nematic Mode
Abstract
1. Introduction
2. Principle
2.1. Free Energy of TN LC Cell
2.2. Critical Anchoring
3. Electro-Optical Characteristics
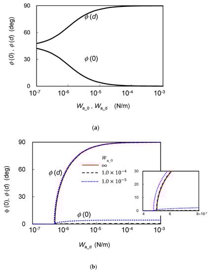
3.1. Theoretical Electro-Optical Characteristics
3.2. Cell Fabrication
3.3. V-T Curves
4. Conclusions
Author Contributions
Funding
Data Availability Statement
Conflicts of Interest
References
- Schadt, M.; Helfrich, W. Voltage-dependent optically activity of a twisted nematic liquid crystal. Appl. Phys. Lett. 1971, 18, 127–128. [Google Scholar] [CrossRef]
- de Gennes, P.G. The Physics of Liquid Crystals; Clarendon: Oxford, UK, 1974; pp. 59–79. [Google Scholar]
- Rapini, A.; Papoular, M. Distorsion d’une lamelle nematique sous champ magnetique conditions d’ancrage aux parois. J. Phys. (Paris) Colloq. 1969, 30, C4-54–C4-56. [Google Scholar] [CrossRef]
- Nehring, J.; Kmetz, A.R.; Scheffer, T.J. Analysis of weak-boundary-coupling effects in liquid-crystal displays. J. Appl. Phys. 1976, 47, 850–857. [Google Scholar] [CrossRef]
- Sprang, H.A.; Breddels, P.A. Numerical calculations of director patterns in highly twisted nematic configurations with nonzero pretilt angles. J. Appl. Phys. 1986, 60, 968–972. [Google Scholar] [CrossRef]
- Hirning, R.; Funk, W.; Trebin, H.-R.; Schmidt, M.; Schmiedel, H. Threshold behavior and electro-optical properties of twisted nematic layers with weak anchoring in the tilt and twist angle. J. Appl. Phys. 1991, 70, 4211–4216. [Google Scholar] [CrossRef]
- Ishihara, S.; Mizusaki, M. Alignment control technology of liquid crystal molecules. J. Soc. Inf. Disp. 2019, 28, 44–74. [Google Scholar] [CrossRef]
- Inoue, M.; Manabe, N.; Akahane, T. Influence of the azimuth anchoring energy on the electro-optical characteristics of LCDs. In Proceedings of the 5th International Display Workshop, LCTp2–1. Kobe, Japan, 7–9 December 1998; pp. 41–44. [Google Scholar]
- Oh-e, M.; Kondo, K. Electro-optical characteristics and switching behavior of the in-plane switching mode. Appl. Phys. Lett. 1995, 67, 3895–3897. [Google Scholar] [CrossRef]
- Yoneya, M.; Iwasaki, K.; Tomioka, Y.; Kondo, K. Cell gap margin enlargement of in-plane switching mode liquid crystal displays using weak-anchoring effects. Appl. Phys. Lett. 1999, 74, 803–805. [Google Scholar] [CrossRef]
- Yoneya, M.; Kondo, K. Threshold behavior analysis of in-plane switching mode liquid-crystal cells with asymmetrical surface condition. Appl. Phys. Lett. 1999, 74, 3477–3479. [Google Scholar] [CrossRef]
- Andrienko, D.; Barbet, F.; Bormann, D.; Kurioz, Y.; Kwon, S.-B.; Reznikov, Y.; Warenghem, M. Electrically controlled director slippage over a photosensitive aligning surface; in-plane sliding mode. Liq. Cryst. 2000, 27, 365–370. [Google Scholar] [CrossRef]
- Sato, O.; Iwata, N.; Kawamura, J.; Maeda, T.; Tsujii, Y.; Watanabe, J.; Tokita, M. An in-plane switching liquid crystal cell with weakly anchored liquid crystals on the electrode substrate. J. Mater. Chem. C 2017, 5, 4384–4387. [Google Scholar] [CrossRef]
- Sato, O.; Okuno, H.; Adachi, I.; Goto, K.; Noda, T.; Tsutsui, K. A high transmittance and fast response in-plane switching liquid crystal display with the zero-azimuth anchoring layers on the electrodes. J. Phys. D Appl. Phys. 2020, 53, 15LT02. [Google Scholar] [CrossRef]
- Lee, S.H.; Lee, S.L.; Kim, H.Y. Electro-optic characteristics and switching principle of a nematic liquid crystal cell controlled by fringe-field switching. Appl. Phys. Lett. 1998, 73, 2881–2883. [Google Scholar] [CrossRef]
- Choi, Y.; Oh, S.-W.; Choi, T.-H.; Sohn, H.-J.; Do, S.-M.; Yoon, T.-H. Liquid crystal cell asymmetrically anchored for high transmittance and triggered with a vertical field for fast switching. Opt. Express 2020, 28, 20553–20562. [Google Scholar] [CrossRef] [PubMed]
- Yamaguchi, R. Analysis of Electro-Optical Behavior in Liquid Crystal Cells with Asymmetric Anchoring Strength. Symmetry 2022, 14, 85. [Google Scholar] [CrossRef]
- Strigazzi, A. On the critical thickness of a twisted nematic cell. J. Phys. 1985, 46, 1507–1512. [Google Scholar] [CrossRef]
- Yamaguchi, R.; Sato, S. Continuous grey scale image printing on the liquid crystal cell. Appl. Phys. Lett. 2005, 86, 031913-1–031913-3. [Google Scholar] [CrossRef]
- Gooch, C.H.; Tarry, H.A. The optical properties of twisted nematic liquid crystal structures with twist angles ⩽90 degrees. J. Phys. D Appl. Phys. 1975, 8, 1575–1584. [Google Scholar] [CrossRef]
- Seo, D.-S. Relationship between surface anchoring strength and surface ordering on weakly rubbed polyimide surfaces. Liq. Cryst. 2001, 27, 1539–1542. [Google Scholar] [CrossRef]
- Hasegawa, M. Modeling of photoinduced optical anisotropy and anchoring energy of polyimide exposed to linearly polarized deep UV Light. Jpn. J. Appl. Phys. 1999, 38, L457–L460. [Google Scholar] [CrossRef]
- Schadt, M.; Schmitt, K.; Kozinkov, V.; Chigrinov, V. Surface-induced parallel alignment of liquid crystals by linearly polymerized photopolymers. Jpn. J. Appl. Phys. 1992, 31, 2155–2164. [Google Scholar] [CrossRef]
- Bryan-Brown, G.P.; Sage, I.C. Photoinduced ordering and alignment properties of polyvinylcinnamates. Liq. Cryst. 1996, 20, 825–829. [Google Scholar] [CrossRef]
- Chen, J.; Johnson, D.L.; Bos, P.J.; Wang, X.; West, J.L. Model of liquid crystal alignment by exposure to linearly polarized ultraviolet light. Phys. Rev. E 1996, 54, 1599–1603. [Google Scholar] [CrossRef]
- Ichimura, K.; Akita, Y.; Akiyama, H.; Kudo, K.; Hayashi, Y. Photoreactivity of polymers with regioisomeric cinnamate side chains and their ability to regulate liquid crystal alignment. Macromolecules 1997, 30, 903–911. [Google Scholar] [CrossRef]
- Iimura, Y.; Kobayashi, S.; Hashimoto, T.; Sugiyama, T.; Katoh, K. Alignment control of liquid crystal molecules using photodimerization reaction of poly (vinyl cinnamate). IEICE Trans. Electron. 1996, E79-C, 1040–1046. [Google Scholar]
- Vilfan, M.; Olenik, I.D.; Mertelj, A.; Copic, M. Aging of surface anchoring and surface viscosity of a nematic liquid crystal on photoaligning poly-(vinyl-cinnamate). Phys. Rev. E 2001, 63, 061709-1–061709-5. [Google Scholar] [CrossRef] [PubMed]
- Li, X.T.; Saitoh, H.; Nakamura, H.; Kobayashi, S.; Iimura, Y. Mechanism of photo-induced liquid crystal alignment on polyvinyl cinnamate surface. J. Photopolym. Sci. Technol. 1997, 10, 13–17. [Google Scholar] [CrossRef]
- Yamaguchi, R.; Goto, Y.; Sato, S. A novel patterning method of liquid crystal alignment by azimuthal anchoring control. Jpn. J. Appl. Phys. 2002, 41, L889–L891. [Google Scholar] [CrossRef]
- Yamaguchi, R.; Sato, S. Liquid crystal material dependence on rubbed PVCi alignment properties. Mol. Cryst. Liq. Cryst. 2010, 516, 32–37. [Google Scholar] [CrossRef]
- Yamaguchi, R.; Nishimura, M.; Ikeya, M. Azimuthal anchoring change by liquid crystal mixtures on poly (vinyl Cinnamate) film. J. Photopolym. Sci. Technol. 2013, 26, 393–396. [Google Scholar] [CrossRef]
- Zhou, Y.; Sato, S. Electrooptical and response/relaxation properties of liquid crystal cells in in-plane switching mode with polyvinylcinnamate photoinduced alignment layer. Jpn. J. Appl. Phys. 1998, 37, 4439–4443. [Google Scholar] [CrossRef]
- Li, X.T.; Kawakami, A.; Akiyama, H.; Kobayashi, S.; Iimura, Y. Reduction in driving voltage of in-plane switching liquid crystal displays using photo-alignment method. Jpn. J. Appl. Phys. 1998, 37, L743–L745. [Google Scholar] [CrossRef]
- Kurioz, Y.; Reshetniak, V.; Reznikov, Y. Orientation of a liquid crystal on a soft photoaligning surface. Mol. Cryst. Liq. Cryst. 2002, 375, 535–541. [Google Scholar] [CrossRef]
- Buluy, O.; Iljin, A.; Ouskova, E.; Reznikov, Y.; Blanc, C.; Nobili, M.; Antonova, K. Anchoring and gliding of easy axis of 5CB on photoaligning PVCN-F surface. J. Soc. Inf. Disp. 2006, 14, 603–610. [Google Scholar] [CrossRef]
- Mema, E.; Kondic, L.; Cummings, L.J. Director gliding in a nematic liquid crystal layer: Quantitative comparison with experiments. Phys. Rev. E 2018, 97, 032704. [Google Scholar] [CrossRef]
- Saito, S.; Kamihara, M.; Kobayashi, S. Influence on the hysteresis effect of various parameters in supertwisted nematic liquid crystals. Mol. Cryst. Liq. Cryst. 1986, 139, 171–187. [Google Scholar] [CrossRef]
- Li, J.; Hoke, C.D.; Bos, P.J. Studies of the Bistability of Highly Twisted Nematics. Jpn. J. Appl. Phys. 1996, 35, L706. [Google Scholar] [CrossRef]
- Prakash, J.; Choudhary, A.; Kaur, S.; Mehta, D.S.; Biradar, A.M. Memory effect in weakly anchored surfaces of deformed helix ferroelectric liquid crystals. Phys. Rev. E 2008, 78, 021707. [Google Scholar] [CrossRef] [PubMed]








| K11 | K22 | K33 [pN] | ε// | ε⊥ | no | ne (550 nm) |
|---|---|---|---|---|---|---|
| 6.3 | 4 | 8.4 | 17.9 | 6.9 | 1.540 | 1.724 |
Disclaimer/Publisher’s Note: The statements, opinions and data contained in all publications are solely those of the individual author(s) and contributor(s) and not of MDPI and/or the editor(s). MDPI and/or the editor(s) disclaim responsibility for any injury to people or property resulting from any ideas, methods, instructions or products referred to in the content. |
© 2023 by the authors. Licensee MDPI, Basel, Switzerland. This article is an open access article distributed under the terms and conditions of the Creative Commons Attribution (CC BY) license (https://creativecommons.org/licenses/by/4.0/).
Share and Cite
Yamaguchi, R.; Sakamoto, Y. Electro-Optical Characteristics of Quasi-Homogeneous Cell in Twisted Nematic Mode. Symmetry 2023, 15, 597. https://doi.org/10.3390/sym15030597
Yamaguchi R, Sakamoto Y. Electro-Optical Characteristics of Quasi-Homogeneous Cell in Twisted Nematic Mode. Symmetry. 2023; 15(3):597. https://doi.org/10.3390/sym15030597
Chicago/Turabian StyleYamaguchi, Rumiko, and Yoshiki Sakamoto. 2023. "Electro-Optical Characteristics of Quasi-Homogeneous Cell in Twisted Nematic Mode" Symmetry 15, no. 3: 597. https://doi.org/10.3390/sym15030597
APA StyleYamaguchi, R., & Sakamoto, Y. (2023). Electro-Optical Characteristics of Quasi-Homogeneous Cell in Twisted Nematic Mode. Symmetry, 15(3), 597. https://doi.org/10.3390/sym15030597

