Design of MIMO Antenna with Double L-Shaped Structure for 5G NR
Abstract
1. Introduction
2. Design of Proposed MIMO Antenna
2.1. Antenna Geometry
2.2. Design and Analysis
2.3. Current Distribution
3. Results and Discussion
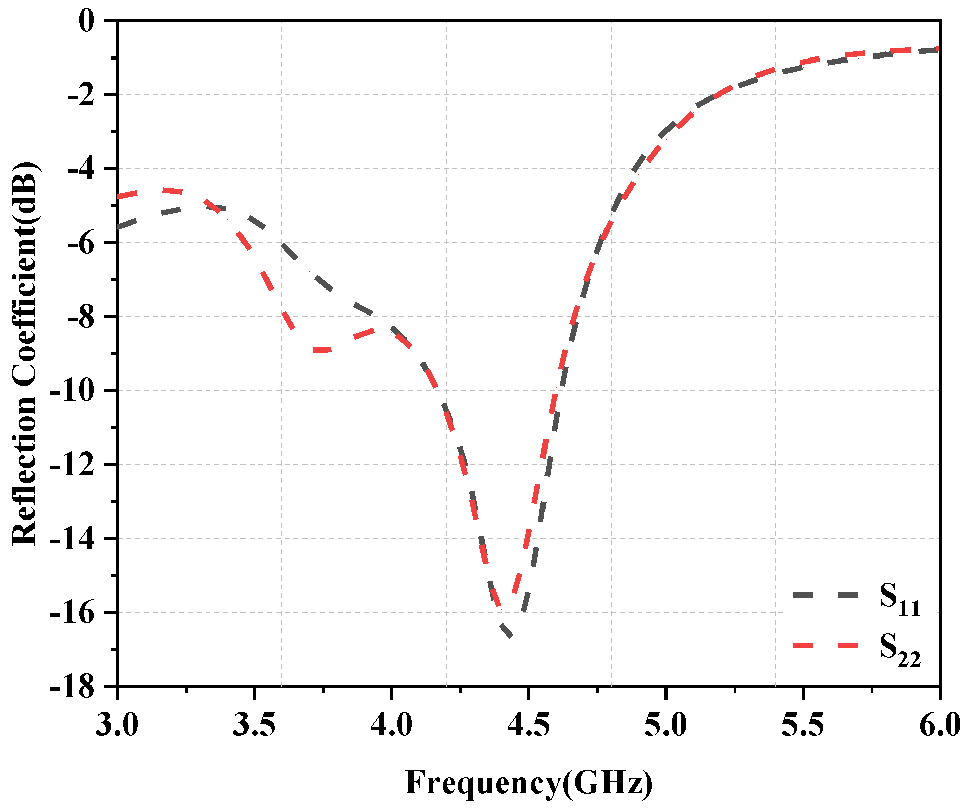
3.1. S-Parameters and Antenna Efficiency
3.2. Radiation Patterns and Antenna Peak Gain
3.3. Diversity and Multiplexing Performance
3.4. Comparison with Existing 5G Smartphone Antennas
4. Effect of User’s Hand
5. Conclusions
Author Contributions
Funding
Institutional Review Board Statement
Informed Consent Statement
Data Availability Statement
Conflicts of Interest
References
- Agiwal, M.; Roy, A.; Saxena, N. Next Generation 5G Wireless Networks: A Comprehensive Survey. IEEE Commun. Surv. Tutor. 2016, 18, 1617–1655. [Google Scholar] [CrossRef]
- Chen, H.D.; Tsai, Y.C.; Sim, C.Y.D.; Kuo, C. Broadband eight-antenna array design for sub-6 GHz 5G NR bands metal-frame smartphone applications. IEEE Antennas Wirel. Propag. Lett. 2020, 19, 1078–1082. [Google Scholar] [CrossRef]
- Ren, A.D.; Liu, Y.; Yu, H.W.; Jia, Y.; Sim, C.Y.D.; Xu, A.Y. A High-Isolation Building Block Using Stable Current Nulls for 5G Smartphone Applications. IEEE Access 2021, 7, 170419–170429. [Google Scholar] [CrossRef]
- Cheng, B.; Du, Z.W. A Wideband Low-Profile Microstrip MIMO Antenna for 5G Mobile Phones. IEEE Trans. Antennas Propag. 2022, 70, 1476–1481. [Google Scholar] [CrossRef]
- Bait-Suwailam, M.M.; Almoneef, T.S.; Saeed, S.M. Wideband MIMO antenna with compact decoupling structure for 5G wireless communication applications. Prog. Electromagn. Res. Lett. 2021, 100, 117–125. [Google Scholar] [CrossRef]
- Ban, Y.L.; Li, C.; Sim, C.Y.D.; Wu, G.; Wong, K.L. 4G/5G multiple antennas for future multi-mode smartphone applications. IEEE Access 2016, 4, 2981–2988. [Google Scholar] [CrossRef]
- Cai, Q.; Li, Y.; Zhang, X.; Shen, W. Wide band MIMO antenna array covering 3.3–7.1 GHz for 5 G metal-rimmed smartphone applications. IEEE Access 2019, 7, 42070–42084. [Google Scholar] [CrossRef]
- Chang, L.; Yu, Y.; Wei, K.; Wang, H. Polarization-orthogonal co-frequency dual antenna pair suitable for 5G MIMO smartphone with metallic bezels. IEEE Trans. Antennas Propag. 2019, 67, 5212–5220. [Google Scholar] [CrossRef]
- Hu, W.; Liu, X.; Gao, S.; Wen, L.-H.; Qian, L.; Feng, T.; Xu, R.; Fei, P.; Liu, Y. Dual-band ten-element MIMO array based on dual-mode IFAs for 5G terminal applications. IEEE Access 2019, 7, 178476–178485. [Google Scholar] [CrossRef]
- Jaglan, N.; Gupta, S.D.; Kanaujia, B.K.; Sharawi, M.S. 10 element sub-6-GHz multi-band double-T based MIMO antenna system for 5G smartphones. IEEE Access 2021, 9, 118662–118672. [Google Scholar] [CrossRef]
- Jain, P.; Thourwa, A.; Sardana, N.; Kumar, S.; Gupta, N.; Singh, A.K. I-shaped metamaterial antenna for X-band applications. Prog. Electromagn. Res. Syrmposium-Spring PIERS 2017, 7, e22800. [Google Scholar]
- Jha, P.; Kumar, A.; De, A.; Jain, R.K. Modified CSRR based dual-band four-element MIMO antenna for 5G smartphone communication. Prog. Electromagn. Res. Lett. 2021, 101, 35–42. [Google Scholar] [CrossRef]
- Jiang, W.; Liu, B.; Cui, Y.; Hu, W. High-isolation eight-element MIMO array for 5Gsmartphone applications. IEEE Access 2019, 19, 34104–34112. [Google Scholar] [CrossRef]
- Liu, D.; Luo, Q.H.J.; Zhang, M.; Wen, H.L.; Wang, B.; Wang, J. An extremely low-profile wideband MIMO antenna for 5G smartphones. IEEE Trans. Antennas Propag. 2019, 67, 5772–5780. [Google Scholar] [CrossRef]
- Parchin, N.O.; Basherlou, H.J.; Yasir Al-Yasir, I.A.; Sajedin, M.; Rodriguez, J.; Abd-Alhameed, R.A. Multi-mode smartphone antenna array for 5G massive MIMO applications. In Proceedings of the 14th European Conference on Antennas and Propagation (EuCAP), Copenhagen, Denmark, 15–20 March 2020; pp. 1–4. [Google Scholar]
- Piao, H.; Jin, Y.; Qu, L. Isolated ground-radiation antenna with inherent decoupling effect and its applications in 5G MIMO antenna array. IEEE Access 2020, 8, 139892–139902. [Google Scholar] [CrossRef]
- Srinivasarao, G. Algorithm approach to multiple input multiple output (MIMO) systems. Int. J. Innov. Res. Comput. Commun. Eng. 2015, 3, 11918–11924. [Google Scholar]
- Wong, K.L.; Tsai, C.Y.; Lu, J.Y. Two asymmetrically mirrored gap-coupled loop antennasas a compact building block for eight-antenna MIMO array in the future smartphone. IEEE Trans. Antennas Propag. 2017, 65, 1765–1778. [Google Scholar] [CrossRef]
- Yuan, X.T.; Chen, Z.; Gu, T.; Yuan, T. A wideband PIFA-pair-based MIMO antenna for 5G smartphones. IEEE Antennas Wirel. Propag. Lett. 2021, 20, 371–375. [Google Scholar] [CrossRef]
- Zhang, X.; Li, Y.; Wang, W.; Shen, W. Ultra-wideband 8-port MIMO antenna array for 5G metal-frame smartphones. IEEE Access 2019, 7, 72273–72282. [Google Scholar] [CrossRef]
- Zhao, A.; Ren, Z. Size reduction of self-isolated MIMO antenna system for 5G mobile phone applications. IEEE Antennas Wirel. Propag. Lett. 2019, 18, 152–156. [Google Scholar] [CrossRef]
- Zhao, A.; Ren, Z. Wideband MIMO antenna systems based on coupled-loop antenna for 5GN77/N78/N79 applications in mobile terminals. IEEE Access 2019, 7, 93761–93771. [Google Scholar] [CrossRef]
- Zhao, X.; Yeo, S.P.; Ong, L.C. Decoupling of inverted-F antennas with high-order modes of ground plane for 5G mobile MIMO platform. IEEE Trans. Antennas Propag. 2018, 66, 4485–4495. [Google Scholar] [CrossRef]
- Sun, L.B.; Feng, H.; Li, Y.; Zhang, Z. Compact 5G MIMO mobile phone antennas with tightly arranged orthogonal-mode pairs. IEEE Trans. Antennas Propag. 2018, 66, 6364–6369. [Google Scholar] [CrossRef]
- Ramachandran, A.; Pushpakaran, S.V.; Pezholil, M.; Kesavath, V. A Four Port MIMO Antenna using Concentric Square Ring Patches Loaded with CSRR for High Isolation. IEEE Antennas Propag. Lett. 2016, 15, 1196–1199. [Google Scholar] [CrossRef]
- Li, Z.; Du, Z.; Takahashi, M.; Saito, K.; Ito, K. Reducing Mutual Coupling of MIMO Antennas With Parasitic Elements for Mobile Terminals. IEEE Trans. Antennas Propag. 2012, 60, 473–481. [Google Scholar] [CrossRef]
- Sharawi, M.S. Printed multi-band MIMO antenma systems and their performance metrics [wireless corner]. IEEE Antennas Propag. Mag. 2013, 55, 218–232. [Google Scholar] [CrossRef]
- Jaglan, N.; Gupta, S.D.; Sharawi, M.S. 18 Element Massive MIMO/Diversity 5G Smartphones Antenna Design for Sub-6 GHz LTE Bands 42/43 Applications. IEEE Open J. Antennas Propag. 2021, 2, 533–545. [Google Scholar] [CrossRef]
- Li, Y.; Sim, C.Y.D.; Luo, Y.; Yang, G. Metal-frame-integratedeight-element multiple-input multiple-output antenna array in the longterm evolution bands 41/42/43 for fifth generation smartphones. Int. J. RF Microw. Comput.-Aided Eng. 2019, 29, e21495. [Google Scholar] [CrossRef]
- Barani, I.R.R.; Wong, K.L.; Zhang, Y.X.; Li, W.Y. Low-profile wideband conjoinedopen-slot antennas fed by grounded coplanar waveguides for 4 × 4 5G MIMO operation. IEEE Trans. Antennas Propag. 2020, 68, 2646–2657. [Google Scholar] [CrossRef]
- Chen, S.C.; Chou, L.C.; Hsu, C.I.G.; Li, S.M. Compact sub-6-GHz four- element MIMO slot antenna system for 5G tablet devices. IEEE Access 2020, 8, 154652–154662. [Google Scholar] [CrossRef]
- Wong, K.L.; Lin, B.W.; Lin, S.E. High-isolation conjoined loop multi-input multi-output antennas for the fifth-generation tablet device. Microw. Opt. Technol. Lett. 2019, 61, 111–119. [Google Scholar] [CrossRef]















| References | Bandwidth (GHz) | Isolation (dB) | ECC | Total Efficiency (%) |
|---|---|---|---|---|
| [6] | 3.4–3.6(−10 dB) | >10 | <0.2 | 62–78 |
| [17] | 3.4–3.6(−6 dB) | >10 | <0.15 | 40–52 |
| [28] | 3.3–3.8(−10 dB) | >18 | <0.01 | 87–93 |
| [29] | 2.496–2.69, 3.4–3.8(−6 dB) | >10.5 | <0.2 | 44–46 |
| [30] | 3.3–4.2(−6 dB) | >9.5 | <0.06 | 40–58 |
| [31] | 3.4–3.6(−6 dB) | >11 | <0.23 | 40–53 |
| [32] | 3.3–4.2(−6 dB) | >12 | <0.1 | 50–77 |
| [8] | 3.4–3.6(−6 dB) | >12.7 | <0.13 | 29.2–54 |
| Proposed | 3.4–4.7(−6 dB) | >11 | <0.08 | 87–96 |
Disclaimer/Publisher’s Note: The statements, opinions and data contained in all publications are solely those of the individual author(s) and contributor(s) and not of MDPI and/or the editor(s). MDPI and/or the editor(s) disclaim responsibility for any injury to people or property resulting from any ideas, methods, instructions or products referred to in the content. |
© 2023 by the authors. Licensee MDPI, Basel, Switzerland. This article is an open access article distributed under the terms and conditions of the Creative Commons Attribution (CC BY) license (https://creativecommons.org/licenses/by/4.0/).
Share and Cite
Wang, Z.; You, W.; Yang, M.; Nie, W.; Mu, W. Design of MIMO Antenna with Double L-Shaped Structure for 5G NR. Symmetry 2023, 15, 579. https://doi.org/10.3390/sym15030579
Wang Z, You W, Yang M, Nie W, Mu W. Design of MIMO Antenna with Double L-Shaped Structure for 5G NR. Symmetry. 2023; 15(3):579. https://doi.org/10.3390/sym15030579
Chicago/Turabian StyleWang, Zhonggen, Wenshi You, Ming Yang, Wenyan Nie, and Weidong Mu. 2023. "Design of MIMO Antenna with Double L-Shaped Structure for 5G NR" Symmetry 15, no. 3: 579. https://doi.org/10.3390/sym15030579
APA StyleWang, Z., You, W., Yang, M., Nie, W., & Mu, W. (2023). Design of MIMO Antenna with Double L-Shaped Structure for 5G NR. Symmetry, 15(3), 579. https://doi.org/10.3390/sym15030579

