Recent Measurements of Decay Asymmetry Parameter and CP Asymmetry for Charmed Baryon Decays at Belle
Abstract
1. Introduction
2. Belle Experiment
3. Studies of Decays
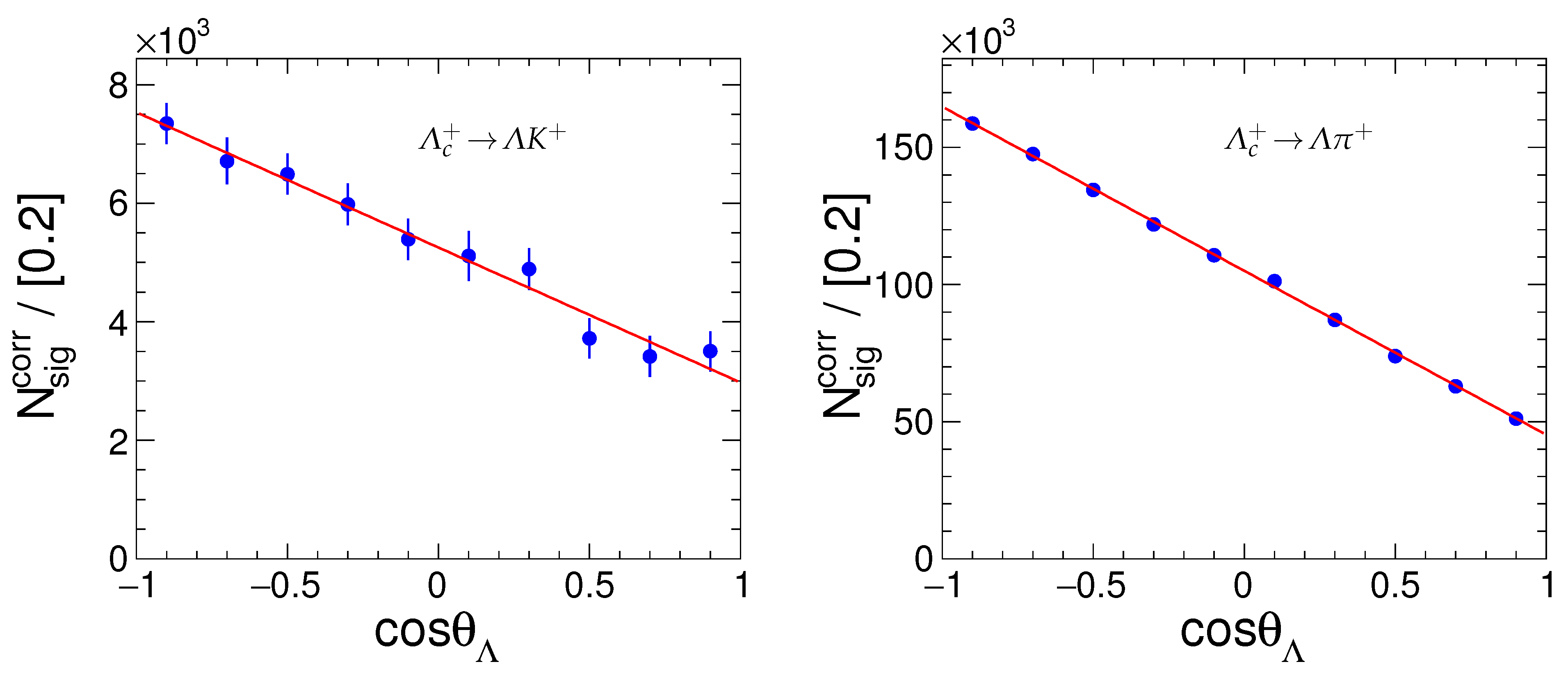
3.1. Branching Fractions and Decay Asymmetry Parameters in Decays
| Decay | Sharma [57] SU(3) | Uppal [52] CA | Chen [60] CFC | Lü [58] SU(3) | Geng [54] SU(3) | Zhao [59] SU(3) | Zou [53] CA | Cheng [56] Pole | Exp [36] |
|---|---|---|---|---|---|---|---|---|---|
| 0.02/0.14 a | 0.12/0.09 b | 0.018–0.039 | - | 0.107 | 0.106 | ||||
| 0.06/0.04 | 0.02/0.08 | - | - | 0.072 | 0.072 | ||||
| 0.12/0.09 | 0.04/0.08 | - | - | 0.144 | 0.144 | - | |||
| 0.02 | 0.01/0.02 | 0.011–0.036 | 0.048 | 0.013 | 0.008 | <0.008 | |||
| 0.02/1.7 | 0.03 | - | - | 0.128 | |||||
| 0.06/0.06 | 0.004/0.02 | - | - | - | - | - | |||
| 0.04 | 0.08/0.09 | 0.010–0.021 | 0.097 | - | 0.027 | - | |||
| +0.97/−0.54 | −0.99 | - | - | - | −0.96 | −0.96 | - | ||
| −0.98/+0.68 | −0.80 | - | - | - | −0.73 | −0.73 | - | ||
| −0.98/+0.68 | −0.80 | - | - | - | −0.73 | −0.74 | - | ||
| +0.05 | +0.82/+0.85 | - | - | - | −0.97 | −0.95 | - | ||
| / | / | - | - | - | −0.55 | −0.56 | - | ||
| / | +0.87 | - | - | - | - | - | - | ||
| +0.05 | −0.13/+0.67 | - | - | - | - | −0.90 | - |
3.2. Search for CPV in Decays
4. Studies of Decays
4.1. Decays
4.2. Decays
5. Decays
6. Discussion and Conclusions
Author Contributions
Funding
Institutional Review Board Statement
Informed Consent Statement
Data Availability Statement
Conflicts of Interest
Abbreviations
| Charge–Parity | |
| CPV | Violation |
| SM | Standard Model |
| PV | Parity–Violation |
| PC | Parity-Conserving |
| CF | Cabibbo-Favored |
| SCS | singly Cabibbo-Suppressed |
References
- Donoghue, J.F.; Pakvasa, S. Signals of CP Nonconservation in Hyperon Decay. Phys. Rev. Lett. 1985, 55, 162. [Google Scholar] [CrossRef] [PubMed]
- Sakharov, A.D. Violation of CP Invariance, C asymmetry, and baryon asymmetry of the universe. Pisma Zh. Eksp. Teor. Fiz. 1967, 5, 32–35. [Google Scholar] [CrossRef]
- Cheng, H.Y. Charmed baryon physics circa 2021. Chin. J. Phys. 2022, 78, 324–362. [Google Scholar] [CrossRef]
- Chau, L.L.; Cheng, H.Y.; Tseng, B. Analysis of Two-body Decays of Charmed Baryons Using the Quark-Diagram Scheme. Phys. Rev. D 1996, 54, 2132–2160. [Google Scholar] [CrossRef]
- Cheng, H.Y. Charmed baryons circa 2015. Front. Phys. 2015, 10, 101406. [Google Scholar] [CrossRef]
- Zupanc, A.; Bartel, C.; Gabyshev, N.; Adachi, I.; Aihara, H.; Asner, D.M.; Aulchenko, V.; Aushev, T.; Bakich, A.M.; Bala, A.; et al. Measurement of the Branching Fraction B(Λc+→pK-π+). Phys. Rev. Lett. 2014, 113, 042002. [Google Scholar] [CrossRef]
- Li, Y.B.; Shen, C.P.; Yuan, C.Z.; Adachi, I.; Aihara, H.; Al Said, S.; Asner, D.M.; Aushev, T.; Ayad, R.; Badhrees, I.; et al. First Measurements of Absolute Branching Fractions of the Ξc0 Baryon at Belle. Phys. Rev. Lett. 2019, 122, 082001. [Google Scholar] [CrossRef]
- Li, Y.B.; Shen, C.P.; Adachi, I.; Ahn, J.K.; Aihara, H.; Al Said, S.; Asner, D.M.; Atmacan, H.; Aushev, T.; Ayad, R.; et al. First measurements of absolute branching fractions of the Ξc+ baryon at Belle. Phys. Rev. D 2019, 100, 031101. [Google Scholar] [CrossRef]
- Sakharov, A.D. Baryon asymmetry of the universe. Sov. Phys. Uspekhi 1990, 34, 65–80. [Google Scholar] [CrossRef]
- Shaposhnikov, M.E. Baryon Asymmetry of the Universe in Standard Electroweak Theory. Nucl. Phys. B 1987, 287, 757–775. [Google Scholar] [CrossRef]
- Bigi, I.I. Probing CP Asymmetries in Charm Baryons Decays. arXiv 2012, arXiv:1206.4554. [Google Scholar]
- Ünal, Y.; Meißner, U.G. Strong CP violation in spin-1/2 singly charmed baryons. JHEP 2021, 1, 115. [Google Scholar] [CrossRef]
- Grossman, Y.; Schacht, S. U-Spin Sum Rules for CP Asymmetries of Three-Body Charmed Baryon Decays. Phys. Rev. D 2019, 99, 033005. [Google Scholar] [CrossRef]
- Wang, D. Sum rules for CP asymmetries of charmed baryon decays in the SU(3)F limit. Eur. Phys. J. C 2019, 79, 429. [Google Scholar] [CrossRef]
- Lee, T.D.; Yang, C.N. General Partial Wave Analysis of the Decay of a Hyperon of Spin 1/2. Phys. Rev. 1957, 108, 1645–1647. [Google Scholar] [CrossRef]
- Brod, J.; Kagan, A.L.; Zupan, J. Size of direct CP violation in singly Cabibbo-suppressed D decays. Phys. Rev. D 2012, 86, 014023. [Google Scholar] [CrossRef]
- Cheng, H.Y.; Chiang, C.W. Direct CP violation in two-body hadronic charmed meson decays. Phys. Rev. D 2012, 85, 034036. [Google Scholar] [CrossRef]
- Li, H.N.; Lu, C.D.; Yu, F.S. Branching ratios and direct CP asymmetries in D→PP decays. Phys. Rev. D 2012, 86, 036012. [Google Scholar] [CrossRef]
- Grossman, Y.; Kagan, A.L.; Nir, Y. New physics and CP violation in singly Cabibbo suppressed D decays. Phys. Rev. D 2007, 75, 036008. [Google Scholar] [CrossRef]
- Grossman, Y.; Kagan, A.L.; Zupan, J. Testing for new physics in singly Cabibbo suppressed D decays. Phys. Rev. D 2012, 85, 114036. [Google Scholar] [CrossRef]
- Lees, J.P.; Poireau, V.; Tisser, V.; Tico, J.G.; Grauges, E.; Palano, A.; Eigen, G.; Stugu, B.; Brown, D.N.; Kerth, L.T. Measurement of branching fractions and decay asymmetry parameters for Λc+→Λh+ and Λc+→Σ0h+ (h=K,π), and search for CP violation in baryon decays. Phys. Rev. D 2022, 86, 032012. [Google Scholar] [CrossRef]
- Li, S.X.; Shen, C.P.; Adachi, I.; Ahn, J.K.; Aihara, H.; Asner, D.M.; Atmacan, H.; Aushev, T.; Ayad, R.; Babu, V.; et al. Measurements of branching fractions of Λc+→Σ+η and Λc+→Σ+η′ and asymmetry parameters of Λc+→Σ+π0, Λc+→Σ+η, and Λc+→Σ+η′. arXiv 2022, arXiv:2208.10825. [Google Scholar]
- Li, Y.B.; Shen, C.P.; Adachi, I.; Adamczyk, K.; Aihara, H.; Al Said, S.; Asner, D.M.; Aushev, T.; Ayad, R.; Babu, V.; et al. Measurements of the branching fractions of the semileptonic decays Ξc0→Ξ-ℓ+νℓ and the asymmetry parameter of Ξc0→Ξ-π+. Phys. Rev. Lett. 2021, 127, 121803. [Google Scholar] [CrossRef] [PubMed]
- Jia, S.; Tang, S.S.; Shen, C.P.; Adachi, I.; Aihara, H.; Said, S.A.; Asner, D.M.; Aulchenko, V.; Aushev, T.; Ayad, R.; et al. Measurements of branching fractions and asymmetry parameters of Ξc0→ΛK¯*0, Ξc0→Σ0K¯*0, and Ξc0→Σ+K*- decays at Belle. JHEP 2021, 06, 160. [Google Scholar] [CrossRef]
- Kurokawa, S.; Kikutani, E. Overview of the KEKB accelerators. Nucl. Instrum. Meth. A 2003, 499, 1–7. [Google Scholar] [CrossRef]
- Abe, T.; Akai, K.; Akasaka, N.; Akemoto, M.; Akiyama, A.; Arinaga, M.; Cai, Y.; Ebihara, K.; Egawa, K.; Enomoto, A. Achievements of KEKB. Prog. Theor. Exp. Phys. 2013, 2013, 03A001. [Google Scholar] [CrossRef]
- Abashian, A.; Gotow, K.; Morgan, N.; Piilonen, L.; Schrenk, S.; Abe, K.; Adachi, I.; Alexander, J.P.; Aoki, K.; Behari, S. Nuclear Instruments and Methods in Physics Research Section A: Accelerators, Spectrometers, Detectors and Associated Equipment. Nucl. Instrum. Meth. A 2002, 479, 117–232. [Google Scholar] [CrossRef]
- Brodzicka, J.; Browder, T.; Chang, P.; Eidelman, S.; Golob, B.; Hayasaka, K.; Hayashii, H.; Iijima, T.; Inami, K.; Kinoshita, K. Physics achievements from the Belle experiment. Prog. Theor. Exp. Phys. 2012, 2012, 04D001. [Google Scholar] [CrossRef]
- Akai, K.; Furukawa, K.; Koiso, H. SuperKEKB Collider. Nucl. Instrum. Meth. A 2018, 907, 188–199. [Google Scholar] [CrossRef]
- Abe, T.; Adachi, I.; Adamczyk, K.; Ahn, S.; Aihara, H.; Akai, K.; Aloi, M.; Andricek, L.; Aoki, K.; Arai, Y.; et al. Belle II Technical Design Report. arXiv 2010, arXiv:1011.0352. [Google Scholar]
- Savage, M.J.; Springer, R.P. SU(3) Predictions for Charmed Baryon Decays. Phys. Rev. D 1990, 42, 1527–1543. [Google Scholar] [CrossRef] [PubMed]
- Bjorken, J.D. Spin Dependent Decays of the Lambda(c). Phys. Rev. D 1989, 40, 1513. [Google Scholar] [CrossRef] [PubMed]
- Cheng, H.Y.; Tseng, B. Cabibbo allowed nonleptonic weak decays of charmed baryons. Phys. Rev. D 1993, 48, 4188–4202. [Google Scholar] [CrossRef] [PubMed]
- Xu, Q.P.; Kamal, A.N. Cabibbo favored nonleptonic decays of charmed baryons. Phys. Rev. D 1992, 46, 270–278. [Google Scholar] [CrossRef]
- Ablikim, M.; Achasov, M.N.; Ai, X.C.; Albayrak, O.; Albrecht, M.; Ambrose, D.J.; Amoroso, A.; An, F.F.; An, Q.; Bai, J.Z.; et al. Measurements of absolute hadronic branching fractions of Λc+ baryon. Phys. Rev. Lett. 2016, 116, 052001. [Google Scholar] [CrossRef]
- Particle Data Group; Workman, R.L.; Burkert, V.D.; Crede, V.; Klempt, E.; Thoma, U.; Tiator, L.; Agashe, K.; Aielli, G.; Allanach, B.C.; et al. Review of Particle Physics. PTEP 2022, 2022, 083C01. [Google Scholar] [CrossRef]
- First search for the weak radiative decays Λc+→Σ+γ and Ξc0→Ξ0γ. arXiv 2022, arXiv:2206.12517.
- The BELLE Collaboration; Li, S.X.; Cui, J.X.; Shen, C.P.; Adachi, I.; Aihara, H.; Said, S.A.; Asner, D.M.; Atmacan, H.; Aushev, T. First Measurement of the Λc+→pη′ decay. JHEP 2022, 3, 090. [Google Scholar] [CrossRef]
- Li, S.X.; Li, L.K.; Shen, C.P.; Adachi, I.; Aihara, H.; Al Said, S.; Asner, D.M.; Aushev, T.; Behera, P.; Belous, K.; et al. Measurement of the branching fraction of Λc+→pω′ decay at Belle. Phys. Rev. D 2021, 104, 072008. [Google Scholar] [CrossRef]
- Berger, M.; Schwanda, C.; Suzuki, K.; Adachi, I.; Ahn, J.; Aihara, H.; Said, S.A.; Asner, D.; Atmacan, H.; Aulchenko, V. Measurement of the Decays Λc→Σππ at Belle. Phys. Rev. D 2018, 98, 112006. [Google Scholar] [CrossRef]
- Li, S.; Shen, C.; Adachi, I.; Ahn, J.; Aihara, H.; Asner, D.; Aushev, T.; Ayad, R.; Babu, V.; Bahinipati, S.; et al. Measurements of the branching fractions of Λc+→pη and Λc+→pπ0 decays at Belle. Phys. Rev. D 2021, 103, 072004. [Google Scholar] [CrossRef]
- Lee, J.; Tanida, K.; Kato, Y.; Kim, S.; Yang, S.; Adachi, I.; Ahn, J.; Aihara, H.; Said, S.A.; Asner, D.; et al. Measurement of branching fractions of Λc+→ηΛπ+, ηΣ0π+, Λ(1670)π+, and ηΣ(1385)+. Phys. Rev. D 2021, 103, 052005. [Google Scholar] [CrossRef]
- Sk, S. Measurement of branching fractions of Λc+→pKS0KS0 and Λc+→pKS0η at Belle. arXiv 2022, arXiv:2210.01995. [Google Scholar]
- Ablikim, M.; Achasov, M.; Adlarson, P.; Ahmed, S.; Albrecht, M.; Alekseev, M.; Amoroso, A.; An, F.; An, Q.; Bai, Y.; et al. Measurements of Weak Decay Asymmetries of Λc+→pKS0, Λπ+, Σ+π0, and Σ0π+. Phys. Rev. D 2019, 100, 072004. [Google Scholar] [CrossRef]
- Link, J.; Yager, P.; Anjos, J.; Bediaga, I.; Castromonte, C.; Machado, A.; Magnin, J.; Massafferri, A.; de Miranda, J.; Pepe, I.; et al. Study of the decay asymmetry parameter and CP violation parameter in the Λc+→Λπ+ decay. Phys. Lett. B 2006, 634, 165–172. [Google Scholar] [CrossRef]
- Bishai, M.; Fast, J.; Gerndt, E.; Hinson, J.; McIlwain, R.; Miao, T.; Miller, D.; Modesitt, M.; Payne, D.; Shibata, E.; et al. Measurement of the decay asymmetry parameters in Λc+→Λπ+ and Λc+→Σ+π0. Phys. Lett. B 1995, 350, 256–262. [Google Scholar] [CrossRef][Green Version]
- Avery, P.; Besson, D.; Garren, L.; Yelton, J.; Kinoshita, K.; Pipkin, F.M.; Procario, M.; Wilson, R.; Wolinski, J.; Xiao, D.; et al. Measurement of the Lambda(c) decay asymmetry parameter. Phys. Rev. Lett. 1990, 65, 2842–2845. [Google Scholar] [CrossRef] [PubMed]
- Körner, J.G.; Krämer, M. Exclusive nonleptonic charm baryon decays. Z. Phys. C 1992, 55, 659–670. [Google Scholar] [CrossRef]
- Ivanov, M.A.; Körner, J.G.; Lyubovitskij, V.E.; Rusetsky, A.G. Exclusive nonleptonic decays of bottom and charm baryons in a relativistic three quark model: Evaluation of nonfactorizing diagrams. Phys. Rev. D 1998, 57, 5632–5652. [Google Scholar] [CrossRef]
- Żenczykowski, P. Nonleptonic charmed-baryon decays: Symmetry properties of parity-violating amplitudes. Phys. Rev. D 1994, 50, 5787–5792. [Google Scholar] [CrossRef]
- Sharma, K.K.; Verma, R.C. A Study of weak mesonic decays of Λc and Ξc baryons on the basis of HQET results. Eur. Phys. J. C 1999, 7, 217–224. [Google Scholar] [CrossRef]
- Uppal, T.; Verma, R.C.; Khanna, M.P. Constituent quark model analysis of weak mesonic decays of charm baryons. Phys. Rev. D 1994, 49, 3417–3425. [Google Scholar] [CrossRef] [PubMed]
- Zou, J.Q.; Xu, F.R.; Meng, G.B.; Cheng, H.Y. Two-body hadronic weak decays of antitriplet charmed baryons. Phys. Rev. D 2020, 101, 014011. [Google Scholar] [CrossRef]
- Geng, C.Q.; Liu, C.W.; Tsai, T.H. Asymmetries of anti-triplet charmed baryon decays. Phys. Lett. B 2019, 794, 19–28. [Google Scholar] [CrossRef]
- Ablikim, M.; Achasov, M.N.; Ahmed, S.; Albrecht, M.; Alekseev, M.; Amoroso, A.; An, F.F.; An, Q.; Bai, Y.; Bakina, O.; et al. Evidence for the decays of Λc+→Σ+η and Σ+η′. Chin. Phys. C 2019, 43, 083002. [Google Scholar] [CrossRef]
- Cheng, H.Y.; Kang, X.W.; Xu, F. Singly Cabibbo-suppressed hadronic decays of Λc+. Phys. Rev. D 2018, 97, 074028. [Google Scholar] [CrossRef]
- Sharma, K.K.; Verma, R.C. SU(3)flavor analysis of two-body weak decays of charmed baryons. Phys. Rev. D 1997, 55, 7067–7074. [Google Scholar] [CrossRef]
- Lü, C.D.; Wang, W.; Yu, F.S. Test flavor SU(3) symmetry in exclusive Λc decays. Phys. Rev. D 2016, 93, 056008. [Google Scholar] [CrossRef]
- Zhao, H.J.; Wang, Y.L.; Hsiao, Y.K.; Yu, Y. A diagrammatic analysis of two-body charmed baryon decays with flavor symmetry. JHEP 2020, 2, 165. [Google Scholar] [CrossRef]
- Chen, S.L.; Guo, X.H.; Li, X.Q.; Wang, G.L. Cabibbo suppressed nonleptonic decays of Lambda(c) and final state interaction. Commun. Theor. Phys. 2003, 40, 563–572. [Google Scholar] [CrossRef]
- Behrends, R.E. Photon Decay of Hyperons. Phys. Rev. 1958, 111, 1691–1697. [Google Scholar] [CrossRef]
- Ablikim, M.; Achasov, M.N.; Adlarson, P.; Albrecht, M.; Aliberti, R.; Amoroso, A.; An, M.R.; An, Q.; Bai, X.H.; Bai, Y.; et al. Precise Measurements of Decay Parameters and CP Asymmetry with Entangled Λ-Λ¯ Pairs. Phys. Rev. Lett. 2022, 129, 131801. [Google Scholar] [CrossRef]
- Aaij, R.; Beteta, C.A.; Adeva, B.; Adinolfi, M.; Aidala, C.A.; Ajaltouni, Z.; Akar, S.; Albicocco, P.; Albrecht, J.; Alessio, F.; et al. Observation of CP Violation in Charm Decays. Phys. Rev. Lett. 2019, 122, 211803. [Google Scholar] [CrossRef] [PubMed]
- The LHCb collaboration; Aaij, R.; Adeva, B.; Adinolfi, M.; Ajaltouni, Z.; Akar, S.; Albrecht, J.; Alessio, F.; Alexander, M.; Albero, A.A.; et al. A measurement of the CP asymmetry difference in Λc+→pK-K+ and pπ-π+ decays. JHEP 2018, 3, 182. [Google Scholar] [CrossRef]
- Aaij, R.; Beteta, C.A.; Ackernley, T.; Adeva, B.; Adinolfi, M.; Afsharnia, H.; Aidala, C.A.; Aiola, S.; Ajaltouni, Z.; Akar, S.; et al. Search for CP violation in Ξc+→pK-π+ decays using model-independent techniques. Eur. Phys. J. C 2020, 80, 986. [Google Scholar] [CrossRef]
- Brown, R.W.; Mikaelian, K.O.; Cung, V.K.; Paschos, E.A. Electromagnetic background in the search for neutral weak currents via e+e-→μ+μ-. Phys. Lett. B 1973, 43, 403–407. [Google Scholar] [CrossRef]
- Cashmore, R.J.; Hawkes, C.M.; Lynn, B.W.; Stuart, R.G. The forward-backward asymmetry in e+e- →μ+μ-. Z. Phys. C 1986, 30, 125–134. [Google Scholar] [CrossRef]
- Ko, B.R.; Won, E.; Adachi, I.; Aihara, H.; Asner, D.M.; Aulchenko, V.; Aushev, T.; Aziz, T.; Bakich, A.M.; Belous, K.; et al. Evidence for CP Violation in the Decay D+→KS0π+. Phys. Rev. Lett. 2012, 109, 021601, Erratum in Phys. Rev. Lett. 2012, 109, 119903. [Google Scholar] [CrossRef]
- The Belle collaboration; Ko, B.R.; Won, E.; Adachi, I.; Aihara, H.; Arinstein, K.; Asner, D.M.; Aushev, T.; Bakich, A.M.; Belous, K.; et al. Search for CP Violation in the Decay D+→KS0K+. JHEP 2013, 2, 098. [Google Scholar] [CrossRef][Green Version]
- McNeil, J.T.; Yelton, J.; Bennett, J.; Adachi, I.; Adamczyk, K.; Ahn, J.K.; Aihara, H.; Al Said, S.; Asner, D.M.; Atmacan, H.; et al. Measurement of the resonant and nonresonant branching ratios in Ξc0→Ξ0K+K-. Phys. Rev. D 2021, 103, 112002. [Google Scholar] [CrossRef]
- Tang, S.S.; Li, Y.B.; Shen, C.P.; Adachi, Y.I.; Aihara, H.; Asner, D.M.; Atmacan, H.; Aushev, T.; Ayad, R.; Babu, V.; et al. Measurement of the branching fraction of Ξc0→Λc+π- at Belle. arXiv 2022, arXiv:2206.08527. [Google Scholar]
- Li, Y.; Cui, J.X.; Jia, S.; Shen, C.P.; Adachi, I.; Ahn, J.K.; Aihara, H.; Al Said, S.; Asner, D.M.; Atmacan, H.; et al. Measurements of the branching fractions of Ξc0→ΛKS0, Ξc0→Σ0KS0, and Ξc0→Σ+K- decays at Belle. Phys. Rev. D 2022, 105, L011102. [Google Scholar] [CrossRef]
- Bialas, P.; Körner, J.G.; Krämer, M.; Zalewski, K. Joint angular decay distributions in exclusive weak decays of heavy mesons and baryons. Z. Phys. C 1993, 57, 115–134. [Google Scholar] [CrossRef]
- The BESIII Collaboration; Ablikim, M.; Achasov, M.N.; Adlarson, P.; Ahmed, S.; Albrecht, M.; Aliberti, R.; Amoroso, A.; An, M.R.; An, Q.; et al. Probing CP symmetry and weak phases with entangled double-strange baryons. Nature 2022, 606, 64–69. [Google Scholar] [CrossRef] [PubMed]
- Chan, S.; Eigen, G.; Lipeles, E.; Miller, J.S.; Schmidtler, M.; Shapiro, A.; Sun, W.M.; Urheim, J.; Weinstein, A.J.; Würthwein, F.; et al. A Measurement of the decay asymmetry parameters in Ξc0→Ξ-π+. Phys. Rev. D 2001, 63, 111102. [Google Scholar] [CrossRef]
- Hsiao, Y.K.; Yao, Y.; Zhao, H.J. Two-body charmed baryon decays involving vector meson with SU(3) flavor symmetry. Phys. Lett. B 2019, 792, 35–39. [Google Scholar] [CrossRef]
- Geng, C.Q.; Liu, C.W.; Tsai, T.H. Charmed Baryon Weak Decays with Vector Mesons. Phys. Rev. D 2020, 101, 053002. [Google Scholar] [CrossRef]
- Hu, S.; Meng, G.; Xu, F. Hadronic weak decays of the charmed baryon Ωc. Phys. Rev. D 2020, 101, 094033. [Google Scholar] [CrossRef]
- Aaij, R.; Adeva, B.; Adinolfi, M.; Ajaltouni, Z.; Akar, S.; Albrecht, J.; Alessio, F.; Alexander, M.; Ali, S.; Alkhazov, G.; et al. Observation of five new narrow Ωc0 states decaying to Ξc+K-. Phys. Rev. Lett. 2017, 118, 182001. [Google Scholar] [CrossRef]
- Yelton, J.; Adachi, I.; Aihara, H.; Al Said, S.; Asner, D.M.; Aulchenko, V.; Aushev, T.; Ayad, R.; Aziz, T.; Babu, V.; et al. Observation of Excited Ωc Charmed Baryons in e+e- Collisions. Phys. Rev. D 2018, 97, 051102. [Google Scholar] [CrossRef]
- Aaij, R.; Adeva, B.; Adinolfi, M.; Aidala, C.A.; Ajaltouni, Z.; Akar, S.; Albicocco, P.; Albrecht, J.; Alessio, F.; Alexander, M.; et al. Measurement of the Ωc0 baryon lifetime. Phys. Rev. Lett. 2018, 121, 092003. [Google Scholar] [CrossRef] [PubMed]
- Xu, Q.P.; Kamal, A.N. The Nonleptonic charmed baryon decays: B(c)→B(32+, decuplet) + P(0-) or V(1-). Phys. Rev. D 1992, 46, 3836–3844. [Google Scholar] [CrossRef] [PubMed]
- Dhir, R.; Kim, C.S. Axial-Vector Emitting Weak Nonleptonic Deacys of Ωc0 Baryon. Phys. Rev. D 2015, 91, 114008. [Google Scholar] [CrossRef]
- Cheng, H.Y. Nonleptonic weak decays of bottom baryons. Phys. Rev. D 1997, 56, 2799–2811. [Google Scholar] [CrossRef]
- Han, X.; Jia, S.; Yuan, L.; Shen, C.P.; Adachi, I.; Ahn, J.K.; Aihara, H.; Asner, D.M.; Aushev, T.; Ayad, R.; et al. Evidence for the singly Cabibbo-suppressed decay Ωc0→Ξ-π+ and search for Ωc0→Ξ-K+ and Ω-K+ decays at Belle. arXiv 2022, arXiv:2209.08583. [Google Scholar]
- Yelton, J.; Adachi, I.; Aihara, H.; Al Said, S.; Asner, D.M.; Atmacan, H.; Aulchenko, V.; Aushev, T.; Ayad, R.; Aziz, T.; et al. Measurement of branching fractions of hadronic decays of the Ωc0 baryon. Phys. Rev. D 2018, 97, 032001. [Google Scholar] [CrossRef]
- Li, Y.B.; Shen, C.P.; Adachi, I.; Aihara, H.; Al Said, S.; Asner, D.M.; Atmacan, H.; Aushev, T.; Ayad, R.; Babu, V.; et al. First test of lepton flavor universality in the charmed baryon decays Ωc0→Ω-ℓ+νℓ using data of the Belle experiment. Phys. Rev. D 2022, 105, L091101. [Google Scholar] [CrossRef]
- Li, Y.; Tang, S.S.; Jia, S.; Shen, C.P.; Adachi, I.; Aihara, H.; Al Said, S.; Asner, D.M.; Atmacan, H.; Aulchenko, V.; et al. Evidence for the decay Ωc0→π+Ω(2012)-→π+(K¯Ξ)-. Phys. Rev. D 2021, 104, 052005. [Google Scholar] [CrossRef]
- Abudinén, F.; Adachi, I.; Aggarwal, L.; Ahmed, H.; Aihara, H.; Akopov, N.; Aloisio, A.; Ky, N.A.; Aushev, T.; Aushev, V.; et al. Measurement of the Ωc0 lifetime at Belle II. arXiv 2022, arXiv:2208.08573. [Google Scholar]





| Decay | Körner [48] CCQM | Xu [34] Pole | Cheng [33] CA/Pole | Ivanov [49] CCQM | Żenczykowski [50] Pole | Sharma [51] CA | Zou [53] CA | Geng [54] SU(3) | Exp [36] |
|---|---|---|---|---|---|---|---|---|---|
| 0.74 (Input) | 1.62 | 1.46/0.88 | 0.79 | 0.52 | 1.12 | 1.30 | |||
| 0.32 | 0.34 | 1.76/0.72 | 0.88 | 0.39 | 1.34 | 2.34 | |||
| 0.32 | 0.34 | 1.76/0.72 | 0.88 | 0.39 | 1.34 | 2.34 | |||
| 0.16 | - | - | 0.11 | 0.90 | 0.57 | 0.74 | 0.32 ± 0.13 | ||
| 1.28 | - | - | 0.12 | 0.11 | 0.10 | - | 1.44 ± 0.56 | ||
| 0.26 | 0.10 | - | 0.31 | 0.34 | 0.13 | 0.73 | |||
| 2.10 (Input) | 1.20 | 3.64/1.26 | 2.06 | 1.71 | 1.64 | 2.11 | |||
| −0.70 | −0.67 | / | −0.95 | −0.99 | −0.99 | −0.93 | |||
| +0.70 | +0.92 | / | +0.43 | +0.39 | −0.31 | −0.76 | |||
| +0.70 | +0.91 | / | +0.43 | +0.39 | −0.31 | −0.76 | −0.35 ±0.27 | ||
| +0.33 | - | - | +0.55 | 0.00 | −0.91 | −0.95 | −0.40 ±0.47 | - | |
| −0.45 | - | - | −0.05 | −0.91 | +0.78 | - | - | ||
| 0 | 0 | - | 0 | 0 | 0 | +0.90 | - | ||
| −1.0 | +0.51 | / | −0.97 | −0.66 | −0.99 | −0.75 |
| Decay | W.A. | |||||
|---|---|---|---|---|---|---|
| - | ||||||
| - | ||||||
| 0.016 | - |
| Decay | Körner [48] CCQM | Xu [34] Pole | Cheng [33] CA/Pole | Ivanov [49] CCQM | Sharma [51] Pole | Żenczykowski [50] Pole | Zou [53] CA | Geng [54] SU(3) | Exp [36] |
|---|---|---|---|---|---|---|---|---|---|
| 1.42 | 2.37 | 1.13/1.71 | 1.60 | 2.46 | 0.61 | 6.47 | |||
| 0.17 | 0.50 | 1.36/0.37 | 0.55 | 0.54 | 0.35 | 1.33 | |||
| 1.61 | 0.14 | 0.03/0.18 | 0.26 | 0.07 | 0.11 | 0.04 | - | ||
| 0.17 | 0.17 | - | 0.35 | 0.12 | 0.36 | 0.78 | - | ||
| 0.05 | 0.77 | 1.71/0.38 | 0.05 | 0.87 | 0.69 | 1.82 | - | ||
| 0.32 | - | - | 0.37 | 0.09 | 0.01 | 2.67 | - | ||
| 1.16 | - | - | 0.41 | 0.14 | 0.09 | - | - | ||
| −0.38 | −0.38 | / | −0.84 | −0.97 | −0.79 | −0.95 | |||
| −0.76 | +1.00 | −0.88/−0.73 | −0.75 | −0.79 | −0.29 | −0.86 | - | ||
| −0.96 | −0.99 | +0.85/−0.59 | −0.55 | +0.48 | −0.50 | −0.94 | - | ||
| 0 | 0 | - | 0 | 0.00 | 0.00 | +0.98 | - | ||
| +0.92 | −0.92 | / | +0.94 | −0.80 | +0.21 | −0.77 | - | ||
| −0.92 | - | - | −1.0 | −0.37 | −0.04 | +0.30 | - | ||
| −0.38 | - | - | −0.32 | +0.56 | −1.00 | - | - |
| Decay | Körner [48] CCQM | Żenczykowski [50] Pole | Hsiao [76] SU(3) | Geng [77] SU(3) | Exp [36] |
|---|---|---|---|---|---|
| 1.52 | 1.15 | ||||
| 0.84 | 0.77 | ||||
| 0.53 | 0.37 | ||||
| 2.33 | 1.22 | - | |||
| 3.16 | 0.15 | - | |||
| 0.24 | 0.10 | - | |||
| 16.78 | 1.50 | - | |||
| +0.58 | +0.49 | - | |||
| −0.87 | +0.25 | - | - | ||
| −0.60 | +0.51 | - | |||
| −0.33 | +0.15 | - | - | ||
| +1.09 | +0.09 | - | - | ||
| +17.67 | −0.08 | - | - | ||
| +4.36 | +0.87 | - | - |
Disclaimer/Publisher’s Note: The statements, opinions and data contained in all publications are solely those of the individual author(s) and contributor(s) and not of MDPI and/or the editor(s). MDPI and/or the editor(s) disclaim responsibility for any injury to people or property resulting from any ideas, methods, instructions or products referred to in the content. |
© 2022 by the authors. Licensee MDPI, Basel, Switzerland. This article is an open access article distributed under the terms and conditions of the Creative Commons Attribution (CC BY) license (https://creativecommons.org/licenses/by/4.0/).
Share and Cite
Tang, S.-S.; Li, L.-K.; Zhou, X.-Y.; Shen, C.-P. Recent Measurements of Decay Asymmetry Parameter and CP Asymmetry for Charmed Baryon Decays at Belle. Symmetry 2023, 15, 91. https://doi.org/10.3390/sym15010091
Tang S-S, Li L-K, Zhou X-Y, Shen C-P. Recent Measurements of Decay Asymmetry Parameter and CP Asymmetry for Charmed Baryon Decays at Belle. Symmetry. 2023; 15(1):91. https://doi.org/10.3390/sym15010091
Chicago/Turabian StyleTang, Shi-Shuai, Long-Ke Li, Xing-Yu Zhou, and Cheng-Ping Shen. 2023. "Recent Measurements of Decay Asymmetry Parameter and CP Asymmetry for Charmed Baryon Decays at Belle" Symmetry 15, no. 1: 91. https://doi.org/10.3390/sym15010091
APA StyleTang, S.-S., Li, L.-K., Zhou, X.-Y., & Shen, C.-P. (2023). Recent Measurements of Decay Asymmetry Parameter and CP Asymmetry for Charmed Baryon Decays at Belle. Symmetry, 15(1), 91. https://doi.org/10.3390/sym15010091

