Multi-Criteria Decision-Making Method Based on Complex t-Spherical Fuzzy Aczel–Alsina Aggregation Operators and Their Application
Abstract
1. Introduction
1.1. Motivations
- (i)
- Aggregation-based decision algorithms provide DEs with easy and rapid methods for evaluating alternatives comprehensively. To incorporate complex t-spherical fuzzy data, it is, thus, required to provide practical and adaptable aggregation operators. The AA operations cannot only produce operations of Ct-SFNs but also include alternate parameters to make the decision analysis technique more versatile.
- (ii)
- The importance of criteria in decision analysis is very vital for acquiring rational decisions. However, most complex t-spherical fuzzy decision methodologies are based on the known weight of the criteria and ignore the determination of criteria weight. Therefore, it is necessary to explore a criteria-weight determination formulation to obtain more accurate results.
1.2. Contributions
- (i)
- Initiate complex t-spherical fuzzy operational rules based on the AA t-norm and t-conorm and their accompanying results.
- (ii)
- Various innovative complex t-spherical fuzzy aggregation operators, such as a complex t-spherical fuzzy AA-weighted averaging operator, complex t-spherical fuzzy AA weighted geometric operator, and their corresponding order-weighted hybrid forms, are put forward on the basis of propounding operational rules to aggregate complex t-spherical fuzzy information; the related results of the expounded operators are also studied at length.
- (iii)
- Complex t-spherical fuzzy information entropy measure is proffered to measure to ascertain the objective weight of the criteria.
- (iv)
- A novel complex t-spherical fuzzy MCDM approach is built in light of the devised AA operators and the entropy measure formulation to address two-dimensional decision problems with unknown weight information.
1.3. Structure of This Research
2. Preliminaries
- T1.
- T2.
- if
- T3.
- T4.
- (1).
- (product t-norm),
- (2).
- (minimum t-norm),
- (3).
- (Łukasiewicz t-norm),
- (4).
- S1.
- S2.
- if
- S3.
- S4.
- (1).
- (probabilistic sum),
- (2).
- (maximum t-conorm),
- (3).
- (Łukasiewicz t-conorm),
- (4).
- 1.
- 2.
- 3.
- 4.
- 5.
- .
3. Complex t-Spherical Fuzzy AA Operational Laws
- 1.
- 2.
- 3.
- 4.
- 1.
- ;
- 2.
- ;
- 3.
- ;
- 4.
- ;
- 5.
- ;
- 6.
- .
4. Complex t-Spherical Fuzzy AA Aggregation Operators and Theorems
4.1. Complex t-Spherical Fuzzy AA Averaging Aggregation Operators
4.2. Complex t-Spherical Fuzzy AA Geometric Aggregation Operators
5. MCDM Approach
5.1. Description
5.2. Algorithm
- Step 1
- From the preceding analysis, gather the expert’s evaluation information provided for each alternative to the corresponding criteria and then create a decision matrix as follows:
- Step 2
- Create the normalized decision matrix by use of the following transformationwhere is the complement of .
- Step 3
- We utilize the complex spherical fuzzy entropy to determine the weights of each criteria in this stage.where is a constant for assuringBased on Equation (37), the weights of criteria are computed as, where
- Step 4
- Apply the newly formulated Ct-SFAAWA or Ct-SFAAWG operator to obtain the overall aggregated result from matrix N row-wise for each alternative .
- Step 5
- Use Equation (4) to determine the score value of each aggregated result obtained in Step 2.
- Step 6
- Rank the alternatives in descending order according to their score values and obtain the optimal one.
6. An Illustrative Example
6.1. Background Description
6.2. The Decision-Making Process
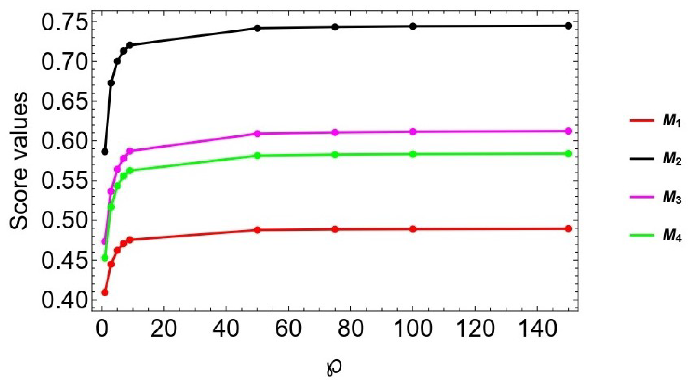
6.3. Impact of Parameter ℘ on Decision-Making Results
7. Comparative Analysis
- 1.
- We compare our approach with the T-SFWA and T-SFWG operators suggested by Mahmood et al. [22], by taking parameter t = 3. The ranking result was derived by utilizing T-SFWG operators is . We have as the best model albeit is ranked as the second best model accordingly to our proposed and other existing models. This difference in the outcome is justified since the suggested technique assessed the alternatives by taking amplitude and phase factors into account simultaneously, while T-SFWA and T-SFWG took amplitude terms into account only during the aggregation step. It led to a loss of information regarding the duration of the influence of model , since the phase terms in our studied problem represent the time span of the influence, as mentioned in Section 2. This debate leads to the conclusion that in time-periodic issues, ignoring the phase terms that offer information about periodicity and using the existing aggregation operators [22] in the t-spherical fuzzy environment do not provide practical answers. As a result, techniques in the t-spherical fuzzy environment are incapable of dealing with time-periodic and two-dimensional situations. The suggested technique, on the other hand, may be used to tackle MCDM issues in complex fuzzy settings. As a result, the methodology described here is more generic and successful in dealing with MCDM challenges.
- 2.
- From the listed results in Table 5 and Figure 6, it is clear that the ranking outcomes acquired by the Ct-SFWA and Ct-SFWG operators [39] based on algebraic operations totally match the proposed aggregation operators’ results. This similarity in the results is justifiable because Ct-SFWA and Ct-SFWG operators [39] are special instances of our initiated operators Ct-SFAAWA and Ct-SFAAWG, respectively, and these would be the cases for . The presented operators have the major benefit of having a flexible ℘ parameter that allows the DE to make judgments by altering its value. It is also seen that the existing operators [39] use score and accuracy functions, which have many weak aspects (see [42]). It is worth noting that for rational comparison, in the present study, we calculated the score values of the aggregated results supplied by Ct-SFWA and Ct-SFWG operators using the revised score function [42] since it works well and accurately distributes objects when the existing score function fails to do so.
- 3.
- Employing Ct-SDFWA and Ct-SDFWG [42] operators, the ranking outcomes are acquired as , which is the same as derived by our initiated Ct-SFAAWA operator. The existing operators [42] are based on the Dombi t-norm and t-conorm, and do not follow the property of isotonicity as can be seen from Tables 18 and 19 of Reference [42]. On the other hand, the proposed Ct-SFAAWA (Ct-SFAAWG) operator values grow (reduce) monotonically with the increase of parameter ℘, allowing DEs to select the right value based on their risk preferences. If the DEs are risk preference, they may take the parameter value as low as fairly practicable; if the DEs are risk aversion, they can take the parameter value as high as reasonably achievable in the case of the Ct-SFAAWA operator, and vice versa for the Ct-SFAAWG operator. Thus, the DEs can use the appropriate parameter value based on their risk tolerance and real demands.
- 4.
- It can be noticed from Table 5 that the sorting outcomes of vehicle models through employing Zedam et al.’s [57] approach are basically the same as the proposed one. However, Zedam et al.’s approach, including the other previous approaches [22,39,42], presume that DEs would assign weights to criteria based on their subjective experiences, knowledge background, and cognitive capacities, which often place too much dependence on professional expertise and lead to illogical conclusions. In contrast, the suggested technique considers objective weight indicated by entropy, which increases the proposed strategy’s practicality in dealing with challenging situations. Furthermore, the work presented by [58,59] is a limited notion and can work only with complex spherical fuzzy data, i.e., , . From this restriction, it is clear that [58,59] approaches are not capable of handling the data given in Table 1. From Table 1, it is easy to see that is not complex spherical fuzzy data because . Due to this, the data provided in Table 1 cannot be handled by [58,59].
| Operator | Ranking | ||||
|---|---|---|---|---|---|
| T-SFWA [22] | −0.3565 | 0.3698 | 0.0774 | −0.1416 | |
| T-SFWG [22] | −0.4502 | −0.1697 | −0.1659 | −0.4699 | |
| Ct-SFWA [39] | 0.4091 | 0.5864 | 0.4734 | 0.4529 | |
| Ct-SFWG [39] | 0.3645 | 0.4181 | 0.3870 | 0.3580 | |
| Ct-SDFWA [42] | 0.4426 | 0.6374 | 0.5168 | 0.5011 | |
| Ct-SDFWG [42] | 0.3772 | 0.4623 | 0.4429 | 0.3346 | |
| Ct-SFHWA [57] | 0.3957 | 0.5669 | 0.4645 | 0.4438 | |
| Ct-SFHWG [57] | 0.3694 | 0.4338 | 0.4037 | 0.3746 | |
| TOPSIS [58] | ⋯ | ⋯ | ⋯ | ⋯ | Failed |
| TOPSIS [59] | ⋯ | ⋯ | ⋯ | ⋯ | Failed |
| Proposed Ct-SFAAWA | 0.4091 | 0.5864 | 0.4733 | 0.4529 | |
| Proposed Ct-SFAAWG | 0.3645 | 0.4182 | 0.3870 | 0.3580 |
| Model | Periodicity | Determination of Criteria Weights | Handles Optimistic as Well Pessimistic Behavior | Broader Uncertain Space | Extra Parameter | Property of Isotonicity | Represents Two Dimensional Information |
|---|---|---|---|---|---|---|---|
| [22] | × | × | × | ✔ | × | × | × |
| [39] | ✔ | × | × | ✔ | × | × | ✔ |
| [42] | ✔ | × | × | ✔ | ✔ | × | ✔ |
| [57] | ✔ | × | × | ✔ | ✔ | × | ✔ |
| [58] | ✔ | × | × | × | ✔ | × | ✔ |
| [59] | ✔ | ✔ | × | × | × | × | ✔ |
| Proposed | ✔ | ✔ | ✔ | ✔ | ✔ | ✔ | ✔ |

8. Conclusions and Future Work Plan
- (i)
- In this study, we introduced the decision-making method based on AA aggregation operators to tackle the MCDM problems with unknown weight information. However, the uncertainties that exist in the data collection are managed with the aid of the Ct-SFS features. In the present work, we took the AA-weighted average and geometric operator to aggregate the different preferences of the alternatives. The main benefit of the considered AA operators is that they generalize the theories to more extended manners. Furthermore, the flexible parameters in the study help the DE to pick it depending on his/her own preferences. Moreover, the considered research equivalently manages the uncertainty with the change to the phase (periodicity) of the data.
- (ii)
- The aggregation operators, i.e., Ct-SFAAWA, Ct-SFAAOWA, Ct-SFAAHA, Ct-SFAAWG, Ct-SFAAOWG, and Ct-SFAAHG, are devised based on the proposed AA t-norm and t-conorm operational laws. These stated operators aggregate the different preferences of the DE into the collective number. Moreover, we studied that several of the existing studies are considered special cases. Furthermore, various desirable properties and peculiar instances are elaborated upon. In addition, the complex t-spherical fuzzy entropy measure is advanced to ascertain the weights of criteria. Following this, an innovative complex t-spherical fuzzy MCDM method is presented based on initiated operators and entropy measures to settle complex decision problems; this model can overcome the defects of the extant methods that only consider the weight information to be known.
- (iii)
- A practical problem about vehicle model selection is addressed to demonstrate the efficacy and viability of our proposed method. In addition, the parameter analysis and a comparison between our suggested technique and earlier spherical fuzzy decision methods were done to demonstrate the validity and outstanding advantages of the developed MCDM method. The results demonstrate that the proposed approach has a certain degree of accessibility and distinctive benefits.
Author Contributions
Funding
Data Availability Statement
Acknowledgments
Conflicts of Interest
References
- Ali, J. Hesitant fuzzy partitioned Maclaurin symmetric mean aggregation operators in multi-criteria decision-making. Phys. Scr. 2022, 97, 075208. [Google Scholar] [CrossRef]
- Ali, J. A novel score function based CRITIC-MARCOS method with spherical fuzzy information. Comput. Appl. Math. 2021, 40, 280. [Google Scholar] [CrossRef]
- Ali, J.; Bashir, Z.; Rashid, T. On distance measure and TOPSIS model for probabilistic interval-valued hesitant fuzzy sets: Application to healthcare facilities in public hospitals. Grey Syst. Theory Appl. 2022, 12, 197–229. [Google Scholar] [CrossRef]
- Bashir, Z.; Ali, J.; Rashid, T. Consensus-based robust decision making methods under a novel study of probabilistic uncertain linguistic information and their application in Forex investment. Artif. Intell. Rev. 2021, 54, 2091–2132. [Google Scholar] [CrossRef]
- Ali, J.; Bashir, Z.; Rashid, T. WASPAS-based decision making methodology with unknown weight information under uncertain evaluations. Expert Syst. Appl. 2021, 168, 114143. [Google Scholar] [CrossRef]
- Zadeh, L.A. Fuzzy sets. Inf. Control 1965, 8, 338–353. [Google Scholar] [CrossRef]
- Yuan, K.; Xu, W.; Li, W.; Ding, W. An incremental learning mechanism for object classification based on progressive fuzzy three-way concept. Inf. Sci. 2022, 584, 127–147. [Google Scholar] [CrossRef]
- Ali, J.; Bashir, Z.; Rashid, T. Weighted interval-valued dual-hesitant fuzzy sets and its application in teaching quality assessment. Soft Comput. 2021, 25, 3503–3530. [Google Scholar] [CrossRef]
- Ayaz, T.; Al-Shomrani, M.M.; Abdullah, S.; Hussain, A. Evaluation of enterprise production based on spherical cubic Hamacher aggregation operators. Mathematics 2020, 8, 1761. [Google Scholar] [CrossRef]
- Bashir, Z.; Bashir, Y.; Rashid, T.; Ali, J.; Gao, W. A novel multi-attribute group decision-making approach in the framework of proportional dual hesitant fuzzy sets. Appl. Sci. 2019, 9, 1232. [Google Scholar] [CrossRef]
- Malik, M.; Bashir, Z.; Rashid, T.; Ali, J. Probabilistic hesitant intuitionistic linguistic term sets in multi-attribute group decision making. Symmetry 2018, 10, 392. [Google Scholar] [CrossRef]
- Saha, A.; Dutta, D.; Kar, S. Some new hybrid hesitant fuzzy weighted aggregation operators based on Archimedean and Dombi operations for multi-attribute decision making. Neural Comput. Appl. 2021, 33, 8753–8776. [Google Scholar] [CrossRef]
- Alaoui, M.K.; Alharbi, F.; Zaland, S. Novel Analysis of Fuzzy Physical Models by Generalized Fractional Fuzzy Operators. J. Funct. Spaces 2022, 2022, 2504031. [Google Scholar] [CrossRef]
- Atanassov, K. Intuitionistic fuzzy sets. Fuzzy Sets Syst. 1986, 20, 87–96. [Google Scholar] [CrossRef]
- Yager, R.R. Pythagorean fuzzy subsets. In Proceedings of the 2013 Joint IFSA World Congress and NAFIPS Annual Meeting (IFSA/NAFIPS), Edmonton, AB, Canada, 24–28 June 2013; pp. 57–61. [Google Scholar]
- Yager, R.R. Generalized orthopair fuzzy sets. IEEE Trans. Fuzzy Syst. 2016, 25, 1222–1230. [Google Scholar] [CrossRef]
- Wei, G.; Gao, H.; Wei, Y. Some q-rung orthopair fuzzy Heronian mean operators in multiple attribute decision making. Int. J. Intell. Syst. 2018, 33, 1426–1458. [Google Scholar] [CrossRef]
- Shu, X.; Ai, Z.; Xu, Z.; Ye, J. Integrations of q-rung orthopair fuzzy continuous information. IEEE Trans. Fuzzy Syst. 2019, 27, 1974–1985. [Google Scholar] [CrossRef]
- Khan, M.J.; Ali, M.I.; Kumam, P. A new ranking technique for q-rung orthopair fuzzy values. Int. J. Intell. Syst. 2021, 36, 558–592. [Google Scholar] [CrossRef]
- Ali, J.; Bashir, Z.; Rashid, T.; Mashwani, W.K. A q-rung orthopair hesitant fuzzy stochastic method based on regret theory with unknown weight information. J. Ambient. Intell. Humaniz. Comput. 2022, 1–18. [Google Scholar] [CrossRef]
- Cuong, B.C.; Kreinovich, V. Picture fuzzy sets. J. Comput. Sci. Cybern. 2014, 30, 409–420. [Google Scholar]
- Mahmood, T.; Ullah, K.; Khan, Q.; Jan, N. An approach toward decision-making and medical diagnosis problems using the concept of spherical fuzzy sets. Neural Comput. Appl. 2019, 31, 7041–7053. [Google Scholar] [CrossRef]
- Kutlu Gündoğdu, F.; Kahraman, C. Spherical fuzzy sets and spherical fuzzy TOPSIS method. J. Intell. Fuzzy Syst. 2019, 36, 337–352. [Google Scholar] [CrossRef]
- Kutlu Gundogdu, F.; Kahraman, C. Extension of WASPAS with spherical fuzzy sets. Informatica 2019, 30, 269–292. [Google Scholar] [CrossRef]
- Kutlu Gündoğdu, F.; Kahraman, C. A novel spherical fuzzy analytic hierarchy process and its renewable energy application. Soft Comput. 2020, 24, 4607–4621. [Google Scholar] [CrossRef]
- Ullah, K.; Garg, H.; Gul, Z.; Mahmood, T.; Khan, Q.; Ali, Z. Interval valued T-spherical fuzzy information aggregation based on Dombi t-norm and Dombi t-conorm for multi-attribute decision making problems. Symmetry 2021, 13, 1053. [Google Scholar] [CrossRef]
- Guleria, A.; Bajaj, R.K. T-spherical fuzzy graphs: Operations and applications in various selection processes. Arab. J. Sci. Eng. 2020, 45, 2177–2193. [Google Scholar] [CrossRef]
- Mahnaz, S.; Ali, J.; Malik, M.A.; Bashir, Z. T-spherical fuzzy Frank aggregation operators and their application to decision making with unknown weight information. IEEE Access 2021, 10, 7408–7438. [Google Scholar] [CrossRef]
- Akram, M.; Alsulami, S.; Khan, A.; Karaaslan, F. Multi-criteria group decision-making using spherical fuzzy prioritized weighted aggregation operators. Int. J. Comput. Intell. Syst. 2020, 13, 1429–1446. [Google Scholar] [CrossRef]
- Yang, W.; Pang, Y. T-Spherical Fuzzy Bonferroni Mean Operators and Their Application in Multiple Attribute Decision Making. Mathematics 2022, 10, 988. [Google Scholar] [CrossRef]
- Ramot, D.; Milo, R.; Friedman, M.; Kandel, A. Complex fuzzy sets. IEEE Trans. Fuzzy Syst. 2002, 10, 171–186. [Google Scholar] [CrossRef]
- Ramot, D.; Friedman, M.; Langholz, G.; Kandel, A. Complex fuzzy logic. IEEE Trans. Fuzzy Syst. 2003, 11, 450–461. [Google Scholar] [CrossRef]
- Alkouri, A.M.J.S.; Salleh, A.R. Complex intuitionistic fuzzy sets. In Proceedings of the AIP Conference Proceedings; American Institute of Physics: New York, NY, USA, 2012; Volume 1482, pp. 464–470. [Google Scholar]
- Rani, D.; Garg, H. Distance measures between the complex intuitionistic fuzzy sets and their applications to the decision-making process. Int. J. Uncertain. Quantif. 2017, 7, 423–439. [Google Scholar] [CrossRef]
- Rani, D.; Garg, H. Complex intuitionistic fuzzy power aggregation operators and their applications in multicriteria decision-making. Expert Syst. 2018, 35, e12325. [Google Scholar] [CrossRef]
- Garg, H.; Rani, D. Some generalized complex intuitionistic fuzzy aggregation operators and their application to multicriteria decision-making process. Arab. J. Sci. Eng. 2019, 44, 2679–2698. [Google Scholar] [CrossRef]
- Garg, H.; Rani, D. Generalized geometric aggregation operators based on t-norm operations for complex intuitionistic fuzzy sets and their application to decision-making. Cogn. Comput. 2020, 12, 679–698. [Google Scholar] [CrossRef]
- Ullah, K.; Mahmood, T.; Ali, Z.; Jan, N. On some distance measures of complex Pythagorean fuzzy sets and their applications in pattern recognition. Complex Intell. Syst. 2020, 6, 15–27. [Google Scholar] [CrossRef]
- Ali, Z.; Mahmood, T.; Yang, M.S. Complex T-spherical fuzzy aggregation operators with application to multi-attribute decision making. Symmetry 2020, 12, 1311. [Google Scholar] [CrossRef]
- Akram, M.; Kahraman, C.; Zahid, K. Group decision-making based on complex spherical fuzzy VIKOR approach. Knowl.-Based Syst. 2021, 216, 106793. [Google Scholar] [CrossRef]
- Nasir, A.; Jan, N.; Yang, M.S.; Khan, S.U. Complex T-spherical fuzzy relations with their applications in economic relationships and international trades. IEEE Access 2021, 9, 66115–66131. [Google Scholar] [CrossRef]
- Karaaslan, F.; Dawood, M.A.D. Complex T-spherical fuzzy Dombi aggregation operators and their applications in multiple-criteria decision-making. Complex Intell. Syst. 2021, 7, 2711–2734. [Google Scholar] [CrossRef]
- Khan, R.; Ullah, K.; Pamucar, D.; Bari, M. Performance measure using a multi-attribute decision making approach based on Complex T-spherical fuzzy power aggregation operators. J. Comput. Cogn. Eng. 2022, 1, 138–146. [Google Scholar] [CrossRef]
- Aczél, J.; Alsina, C. Characterizations of some classes of quasilinear functions with applications to triangular norms and to synthesizing judgements. Aequationes Math. 1982, 25, 313–315. [Google Scholar] [CrossRef]
- Wang, N.; Li, Q.; Abd El-Latif, A.A.; Yan, X.; Niu, X. A novel hybrid multibiometrics based on the fusion of dual iris, visible and thermal face images. In Proceedings of the 2013 International Symposium on Biometrics and Security Technologies, Chengdu, China, 2–5 July 2013; pp. 217–223. [Google Scholar]
- Senapati, T.; Chen, G.; Yager, R.R. Aczel-Alsina aggregation operators and their application to intuitionistic fuzzy multiple attribute decision making. Int. J. Intell. Syst. 2022, 37, 1529–1551. [Google Scholar] [CrossRef]
- Senapati, T.; Chen, G.; Mesiar, R.; Yager, R.R. Novel Aczel–Alsina operations-based interval-valued intuitionistic fuzzy aggregation operators and their applications in multiple attribute decision-making process. Int. J. Intell. Syst. 2022, 37, 5059–5081. [Google Scholar] [CrossRef]
- Senapati, T. Approaches to multi-attribute decision-making based on picture fuzzy Aczel–Alsina average aggregation operators. Comput. Appl. Math. 2022, 41, 1–19. [Google Scholar] [CrossRef]
- Naeem, M.; Ali, J. A novel multi-criteria group decision-making method based on Aczel–Alsina spherical fuzzy aggregation operators: Application to evaluation of solar energy cells. Phys. Scr. 2022, 97, 085203. [Google Scholar] [CrossRef]
- Ali, J.; Naeem, M. Complex q-Rung Orthopair Fuzzy Aczel–Alsina aggregation operators and its application to multiple criteria decision-making with unknown weight information. IEEE Access 2022, 10, 85315–85342. [Google Scholar] [CrossRef]
- Hussain, A.; Ullah, K.; Yang, M.S.; Pamucar, D. Aczel-Alsina Aggregation Operators on T-Spherical Fuzzy (TSF) Information with Application to TSF Multi-Attribute Decision Making. IEEE Access 2022, 10, 26011–26023. [Google Scholar] [CrossRef]
- Mahmood, T.; ur Rehman, U.; Ali, Z. Analysis and Application of Aczel-Alsina Aggregation operators Based on Bipolar Complex Fuzzy Information in Multiple Attribute Decision Making. Inf. Sci. 2022, 619, 817–833. [Google Scholar] [CrossRef]
- Menger, K. Statistical metrics. Proc. Natl. Acad. Sci. USA 1942, 28, 535. [Google Scholar] [CrossRef]
- Klement, E.P.; Mesiar, R.; Pap, E. Triangular Norms; Springer Science & Business Media: Dordrecht, The Netherlands, 2013; Volume 8. [Google Scholar]
- Alsina, C.; Schweizer, B.; Frank, M.J. Associative Functions: Triangular Norms and Copulas; World Scientific: Singapore, 2006. [Google Scholar]
- Garg, H.; Rani, D. New prioritized aggregation operators with priority degrees among priority orders for complex intuitionistic fuzzy information. J. Ambient. Intell. Humaniz. Comput. 2021, 1–27. [Google Scholar] [CrossRef]
- Zedam, L.; Pehlivan, N.Y.; Ali, Z.; Mahmood, T. Novel Hamacher Aggregation Operators Based on Complex T-Spherical Fuzzy Numbers for Cleaner Production Evaluation in Gold Mines. Int. J. Fuzzy Syst. 2022, 24, 2333–2353. [Google Scholar] [CrossRef]
- Ali, Z.; Mahmood, T.; Yang, M.S. TOPSIS method based on complex spherical fuzzy sets with Bonferroni mean operators. Mathematics 2020, 8, 1739. [Google Scholar] [CrossRef]
- Akram, M.; Kahraman, C.; Zahid, K. Extension of TOPSIS model to the decision-making under complex spherical fuzzy information. Soft Comput. 2021, 25, 10771–10795. [Google Scholar] [CrossRef]
- He, L.; Wu, Z.; Xiang, W.; Goh, M.; Xu, Z.; Song, W.; Ming, X.; Wu, X. A novel Kano-QFD-DEMATEL approach to optimise the risk resilience solution for sustainable supply chain. Int. J. Prod. Res. 2021, 59, 1714–1735. [Google Scholar] [CrossRef]
- Ullah, K. Picture fuzzy Maclaurin symmetric mean operators and their applications in solving multiattribute decision-making problems. Math. Probl. Eng. 2021, 2021, 1098631. [Google Scholar] [CrossRef]
- Garg, H.; Rani, D. An efficient intuitionistic fuzzy MULTIMOORA approach based on novel aggregation operators for the assessment of solid waste management techniques. Appl. Intell. 2022, 52, 4330–4363. [Google Scholar] [CrossRef]
- Huang, L.; Mao, L.X.; Chen, Y.; Liu, H.C. New method for emergency decision making with an integrated regret theory-EDAS method in 2-tuple spherical linguistic environment. Appl. Intell. 2022, 52, 13296–13309. [Google Scholar] [CrossRef]
- Wan, S.P.; Yan, J.; Dong, J.Y. Personalized individual semantics based consensus reaching process for large-scale group decision making with probabilistic linguistic preference relations and application to COVID-19 surveillance. Expert Syst. Appl. 2022, 191, 116328. [Google Scholar] [CrossRef]





| ℘ | Ranking | ||||
|---|---|---|---|---|---|
| 0.4091 | 0.5864 | 0.4733 | 0.4529 | ||
| 0.4449 | 0.6728 | 0.5366 | 0.5168 | ||
| 0.4624 | 0.7001 | 0.5642 | 0.5433 | ||
| 0.4708 | 0.7130 | 0.5779 | 0.5557 | ||
| 0.4755 | 0.7204 | 0.5872 | 0.5626 | ||
| 0.4878 | 0.7417 | 0.6090 | 0.5814 | ||
| 0.4887 | 0.7432 | 0.6106 | 0.5827 | ||
| 0.4890 | 0.7441 | 0.6115 | 0.5833 | ||
| 0.4895 | 0.7447 | 0.6123 | 0.5840 |
| ℘ | Ranking | ||||
|---|---|---|---|---|---|
| 0.3645 | 0.4182 | 0.3870 | 0.3580 | ||
| 0.3285 | 0.3511 | 0.3196 | 0.2659 | ||
| 0.3120 | 0.3303 | 0.2880 | 0.2258 | ||
| 0.3030 | 0.3205 | 0.2703 | 0.2056 | ||
| 0.2975 | 0.3150 | 0.2593 | 0.1937 | ||
| 0.2804 | 0.2984 | 0.2247 | 0.1594 | ||
| 0.2791 | 0.2971 | 0.2221 | 0.1568 | ||
| 0.2784 | 0.2966 | 0.2209 | 0.1555 | ||
| 0.2778 | 0.2960 | 0.2196 | 0.1543 |
Disclaimer/Publisher’s Note: The statements, opinions and data contained in all publications are solely those of the individual author(s) and contributor(s) and not of MDPI and/or the editor(s). MDPI and/or the editor(s) disclaim responsibility for any injury to people or property resulting from any ideas, methods, instructions or products referred to in the content. |
© 2022 by the authors. Licensee MDPI, Basel, Switzerland. This article is an open access article distributed under the terms and conditions of the Creative Commons Attribution (CC BY) license (https://creativecommons.org/licenses/by/4.0/).
Share and Cite
Ali, J.; Naeem, M. Multi-Criteria Decision-Making Method Based on Complex t-Spherical Fuzzy Aczel–Alsina Aggregation Operators and Their Application. Symmetry 2023, 15, 85. https://doi.org/10.3390/sym15010085
Ali J, Naeem M. Multi-Criteria Decision-Making Method Based on Complex t-Spherical Fuzzy Aczel–Alsina Aggregation Operators and Their Application. Symmetry. 2023; 15(1):85. https://doi.org/10.3390/sym15010085
Chicago/Turabian StyleAli, Jawad, and Muhammad Naeem. 2023. "Multi-Criteria Decision-Making Method Based on Complex t-Spherical Fuzzy Aczel–Alsina Aggregation Operators and Their Application" Symmetry 15, no. 1: 85. https://doi.org/10.3390/sym15010085
APA StyleAli, J., & Naeem, M. (2023). Multi-Criteria Decision-Making Method Based on Complex t-Spherical Fuzzy Aczel–Alsina Aggregation Operators and Their Application. Symmetry, 15(1), 85. https://doi.org/10.3390/sym15010085

