An Offset-Boostable Chaotic Oscillator with Broken Symmetry
Abstract
:1. Introduction
2. Symmetric Chaotic Model
A New Chaotic Model
3. Equilibrium Point and Bifurcation Analysis
3.1. Analysis of Equilibrium Points
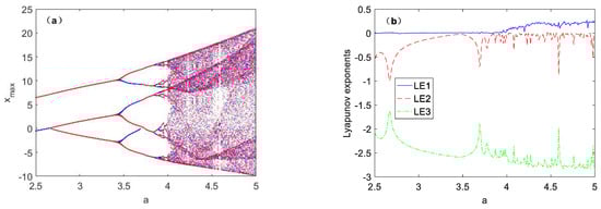
3.2. Bifurcation Analysis
3.3. Symmetry Analysis
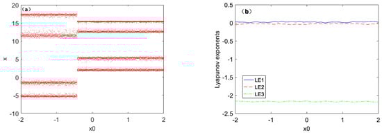
3.4. Analysis of Multistability
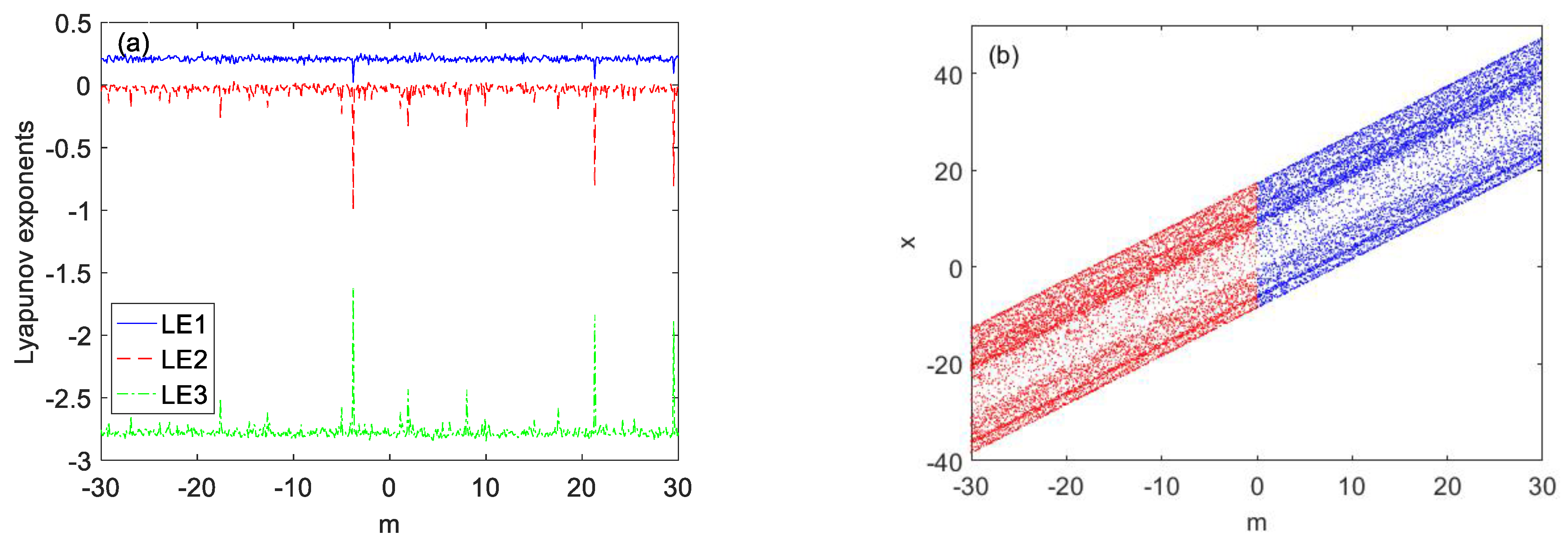
4. Offset Boosting
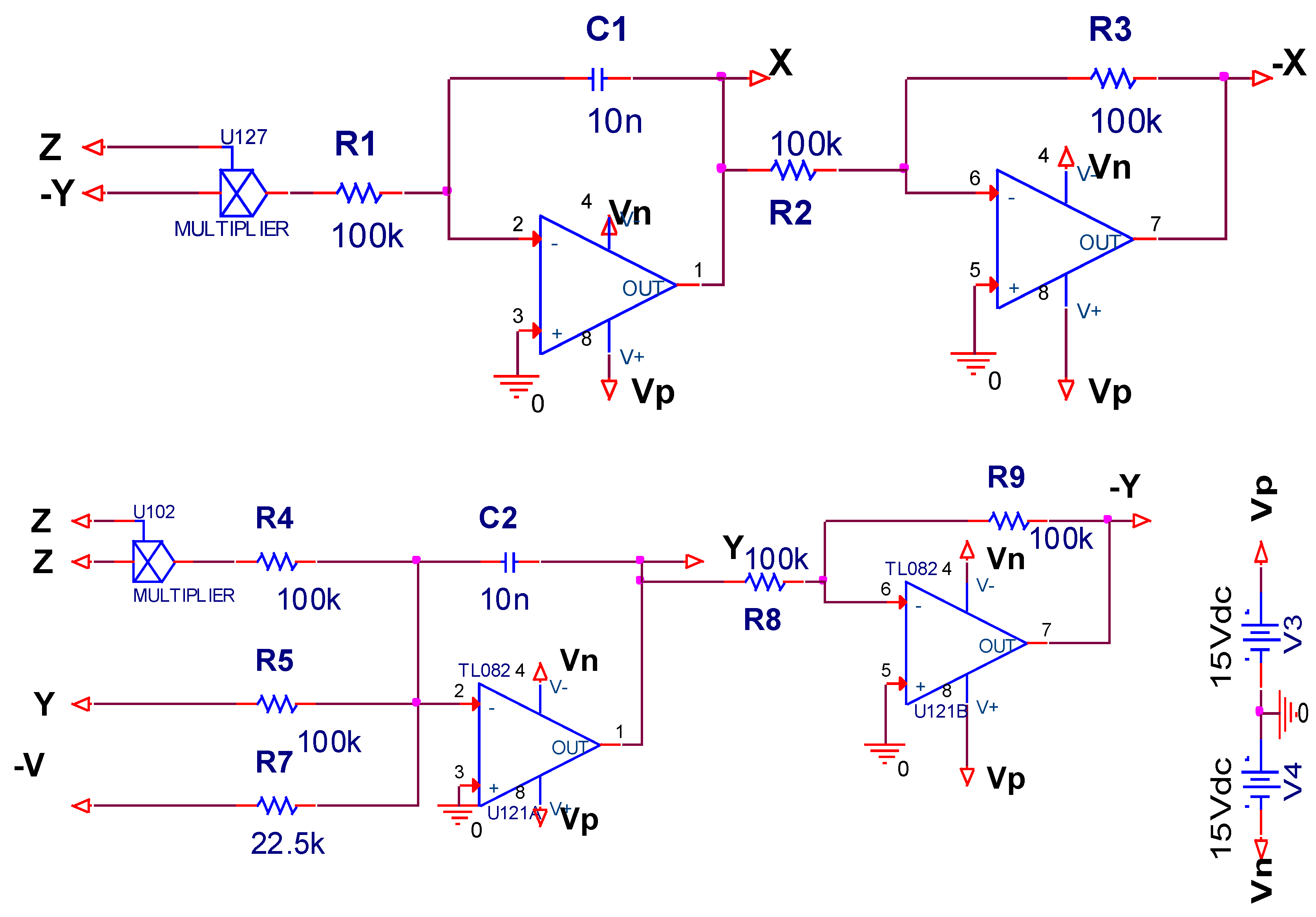
5. Circuit Simulation
6. Concluding Remarks
Author Contributions
Funding
Institutional Review Board Statement
Informed Consent Statement
Data Availability Statement
Acknowledgments
Conflicts of Interest
References
- Karimov, T.; Druzhina, O.; Vatnik, V.; Ivanova, E.; Kulagin, M.; Ponomareva, V.; Rybin, V. Sensitivity Optimization and Experimental Study of the Long-Range Metal Detector Based on Chaotic Duffing Oscillator. Sensors 2022, 22, 5212. [Google Scholar] [CrossRef] [PubMed]
- Zheng, T.; Yang, W.; Sun, J.; Xiong, X.; Li, Z.; Zou, X. Parameters optimization method for the time-delayed reservoir computing with a nonlinear duffing mechanical oscillator. Sci. Rep. 2021, 11, 997. [Google Scholar] [CrossRef]
- Rybin, V.; Butusov, D.; Rodionova, E.; Karimov, T.; Ostrovskii, V.; Tutueva, A. Discovering haos-Based Communications by Recurrence Quantification and Quantified Return Map Analyses. Int. J. Bifurc. Chaos 2022, 32, 136–154. [Google Scholar] [CrossRef]
- Lorenz, E.N. Deterministic nonperiodic flow. J Atmos. Sci. 1963, 20, 130–141. [Google Scholar] [CrossRef]
- Chen, G.; Ueta, T. Yet another chaotic oscillator. Int. J. Bifurc. Chaos 1999, 9, 1465–1466. [Google Scholar] [CrossRef]
- Lü, J.; Chen, G. A new chaotic attractor coined. Int. J. Bifurc. Chaos 2002, 12, 659–661. [Google Scholar] [CrossRef]
- Chua, L.O.; Itoh, M.; Kocarev, L.; Eckert, K. Chaos synchronization in Chua’s circuit. J. Circuits Syst. Comput. 1993, 3, 93–108. [Google Scholar] [CrossRef]
- Rössler, O.E. An equation for continuous chaos. Phys. Lett. A 1976, 57, 397–398. [Google Scholar] [CrossRef]
- Arneodo, A.; Coullet, P.; Tresser, C. Possible new strange attractors with spiral structure. Commun. Math. Phys. 1981, 79, 573–579. [Google Scholar] [CrossRef]
- Sprott, J.C. Some simple chaotic flows. Phys. Rev. E 1994, 50, 647–650. [Google Scholar] [CrossRef]
- Sprott, J.C. Some simple Jerk functions. Am. J. Phys. 1997, 65, 537–543. [Google Scholar] [CrossRef]
- Jacques, K.; Mogue, R.L.T. Dynamic analysis of a novel jerk system with composite tanh-cubic nonlinearity: Chaos, multi-scroll, and multiple coexisting attractors. Int. J. Dyn. Control. 2019, 7, 112–133. [Google Scholar]
- Feudel, U.; Grebogi, C. multistability and the control of complexity. Chaos 1997, 7, 597–604. [Google Scholar] [CrossRef] [PubMed]
- Mezatio, B.A.; Tingue, M.M.; Tekam, R.B.W.; Kengne, R.; Tchitnga, R.; Fomethe, A. A novel memristive 6D hyperchaotic autonomous system with hidden extreme multistability. Chaos Solitons Fractals 2019, 120, 100–115. [Google Scholar] [CrossRef]
- Kuznetsov, N.V.; Leonov, G. Hidden attractors in dynamical systems: Systems with no equilibria, multistability and coexisting attractors. IFAC Proc. Vol. 2014, 47, 5445–5454. [Google Scholar] [CrossRef]
- Jafari, M.A.; Mliki, E.; Akgul, A.; Pham, V.T.; Kingni, S.T.; Wang, X.; Jafari, S. Chameleon: The most hidden chaotic flow. Nonlinear Dyn. 2017, 88, 2303–2317. [Google Scholar] [CrossRef]
- Huang, L.; Wang, Y.; Jiang, Y.; Lei, T. A novel memristor chaotic system with a hidden attractor and multistability and its implementation in a circuit. Math. Probl. Eng. 2021, 2021, 7457220. [Google Scholar] [CrossRef]
- Sambas, A.; Vaidyanathan, S.; Zhang, S.; Mamat, M. A novel 3-D chaotic system with line equilibrium: Dynamical analysis, coexisting attractors, offset boosting control and circuit design. IOP Conf. Ser. Mater. Sci. Eng. 2019, 567, 012009. [Google Scholar] [CrossRef]
- Ramadoss, J.; Kengne, J.; Telem, A.N.K.; Rajagopal, K. Broken symmetry and dynamics of a memristive diodes bridge-based Shinriki oscillator. Phys. A Stat. Mech. Its Appl. 2022, 588, 126562. [Google Scholar] [CrossRef]
- Zhang, X.; Li, C.; Dong, E.; Zhao, Y.; Liu, Z. A conservative memristive system with amplitude control and offset boosting. Int. J. Bifurc. Chaos 2022, 32, 2250057. [Google Scholar] [CrossRef]
- Li, Y.; Li, C.; Zhao, Y.; Liu, S. Memristor-type chaotic mapping. Chaos 2022, 32, 021104. [Google Scholar] [CrossRef] [PubMed]
- Li, Y.; Li, C.; Zhang, S.; Chen, G.; Zeng, Z. A Self-reproduction hyperchaotic map with compound lattice dynamics. IEEE Trans. Ind. Electron. 2022, 69, 10564–10572. [Google Scholar] [CrossRef]
- Lu, T.; Li, C.; Jafari, S.; Min, F. Controlling coexisting attractors of conditional symmetry. Int. J. Bifurc. Chaos 2019, 29, 1950207. [Google Scholar] [CrossRef]
- Lu, T.; Li, C.; Wang, X.; Tao, C.; Liu, Z. A memristive chaotic system with offset-boostable conditional symmetry. Eur. Phys. J. Spec. Top. 2020, 229, 1059–1069. [Google Scholar] [CrossRef]
- Ma, C.; Mou, J.; Xiong, L.; Banerjee, S.; Liu, T.; Han, X. Dynamical analysis of a new chaotic system: Asymmetric multistability, offset boosting control and circuit realization. Nonlinear Dyn. 2021, 103, 2867–2880. [Google Scholar] [CrossRef]
- Li, C.; Sun, J.; Lu, T.; Lei, T. Symmetry evolution in chaotic system. Symmetry 2020, 12, 574. [Google Scholar] [CrossRef]
- Li, C.; Sprott, J.C.; Yuan, Z.; Li, H. Constructing chaotic systems with total amplitude control. Int. J. Bifurc. Chaos 2015, 25, 1530025. [Google Scholar] [CrossRef]
- Li, C.; Thio, W.J.C.; Iu, H.H.C.; Lu, T. A memristive chaotic oscillator with increasing amplitude and frequency. IEEE Access 2018, 6, 12945–12950. [Google Scholar] [CrossRef]
- Rajagopal, K.; Shekofteh, Y.; Nazarimehr, F.; Li, C.; Jafari, S. A new chaotic multi-stable hyperjerk system with various types of attractors. Indian J. Phys. 2021, 96, 1501–1507. [Google Scholar] [CrossRef]
- Bao, H.; Chen, M.; Wu, H.; Bao, B. Memristor initial-boosted coexisting plane bifurcations and its extreme multistability reconstitution in two-memristor-based dynamical system. Sci. China Technol. Sci. 2020, 63, 603–613. [Google Scholar] [CrossRef]
- Bao, B.; Jiang, T.; Xu, Q.; Chen, M.; Wu, H.; Hu, Y. Coexisting infinitely many attractors in active band-pass filter-based memristive circuit. Nonlinear Dyn. 2016, 86, 1711–1723. [Google Scholar] [CrossRef]
- Zhou, L.; Wang, C.; Zhou, L. A novel no-equilibrium hyperchaotic multi-wing system via introducing memristor. Int. J. Circuit Theory Appl. 2018, 46, 84–98. [Google Scholar] [CrossRef]
- Bao, H.; Hu, A.; Liu, W.; Bao, B. Hidden bursting firings and bifurcation mechanisms in memristive neuron model with threshold electromagnetic induction. IEEE Trans. Neural Netw. Learn. Syst. 2019, 31, 502–511. [Google Scholar] [CrossRef] [PubMed]
- Sprott, J.C.; Wang, X.; Chen, G. Coexistence of point, periodic and strange attractors. Int. J. Bifurc. Chaos 2013, 23, 1350093. [Google Scholar] [CrossRef]
- Zhang, X.; Wang, C. Multiscroll hyperchaotic system with hidden attractors and its circuit implementation. Int. J. Bifurc. Chaos 2019, 29, 1157–1171. [Google Scholar] [CrossRef]
- Ji’e, M.; Yan, D.; Wang, L.; Duan, S. Hidden attractor and multistability in a novel memristor-based system without symmetry. Int. J. Bifurc. Chaos 2021, 31, 2150168. [Google Scholar] [CrossRef]
- Wu, H.; Ye, Y.; Bao, B.C.; Chen, M.; Xu, Q. Memristor initial boosting behaviors in a two-memristor-based hyperchaotic system. Chaos Solitons Fractals 2019, 121, 178–185. [Google Scholar] [CrossRef]
- Li, C.; Thio, W.J.C.; Sprott, J.C.; Zhang, X.; Lu, T. Linear synchronization and circuit implementation of chaotic system with complete amplitude control. Chin. Phys. B 2017, 26, 120501. [Google Scholar] [CrossRef]
- Wu, H.; Zhou, J.; Chen, M.; Xu, Q.; Bao, B. DC-offset induced asymmetry in memristive diode-bridge-based Shinriki oscillator. Chaos Solitons Fractals 2022, 154, 111624. [Google Scholar] [CrossRef]
- Cheng, Y.; Min, F.; Rui, Z.; Zhang, L. Heterogeneous dual memristive circuit: Multistability, symmetry, and FPGA implementation. Chin. Phys. B 2021, 30, 120502. [Google Scholar] [CrossRef]
- Gu, J.; Li, C.; Chen, Y.; Iu, H.H.; Lei, T. A conditional symmetric memristive system with infinitely many chaotic attractors. IEEE Access 2020, 8, 12394–12401. [Google Scholar] [CrossRef]
- Gu, Z.; Li, C.; Iu, H.H.; Min, F.; Zhao, Y. Constructing hyperchaotic attractors of conditional symmetry. Eur. Phys. J. B 2019, 92, 221. [Google Scholar] [CrossRef]
- Li, C.; Sprott, J.C.; Liu, Y.; Gu, Z.; Zhang, J. Offset boosting for breeding conditional symmetry. Int. J. Bifurc. Chaos 2018, 28, 1850163. [Google Scholar] [CrossRef]
- Zhang, X.; Li, C.; Chen, Y.; Herbert, H.C.; Lei, T. A memristive chaotic oscillator with controllable amplitude and frequency. Chaos Solitons Fractals 2020, 139, 110000. [Google Scholar] [CrossRef]
- Lin, H.; Wang, C.; Yu, F.; Xu, C.; Hong, Q.; Yao, W.; Sun, Y. An extremely simple multi-wing chaotic system: Dynamics analysis, encryption application, and hardware implementation. IEEE Trans. Ind. Electron. 2020, 68, 12708–12719. [Google Scholar] [CrossRef]
- Li, C.; Sprott, J.C.; Xing, H. Constructing chaotic systems with conditional symmetry. Nonlinear Dyn. 2017, 87, 1351–1358. [Google Scholar] [CrossRef]
- Kengne, L.K.; Kengne, J.; Mboupda Pone, J.R.; Kamdem Tagne, H.T. Symmetry breaking, coexisting bubbles, multistability and its control for a simple jerk system with hyperbolic tangent nonlinearity. Complexity 2020, 9, 2340934. [Google Scholar] [CrossRef]
- Lin, H.; Wang, C.; Hong, Q.; Sun, Y. A multi-stable memristor and its application in a neural network. IEEE Trans. Circuits Syst. II Express Briefs 2020, 67, 3472–3476. [Google Scholar] [CrossRef]
- Tlelo-Cuautle, E.; Rangel-Magdaleno, J.J.; Pano-Azucena, A.D.; Obeso-Rodelo, P.J.; Nunez-Perez, J.C. FPGA realization of multi-scroll chaotic oscillators. Commun. Nonlinear Sci. Numer. Simul. 2015, 27, 66–80. [Google Scholar] [CrossRef]
- Dalia Pano-Azucena, A.; Ovilla-Martinez, B.; Tlelo-Cuautle, E. FPGA-based implementation of different families of fractional-order chaotic oscillators applying Grünwald-Letnikov method. Commun. Nonlinear Sci. Numer. Simul. 2019, 72, 516–527. [Google Scholar] [CrossRef]
- Valencia-Ponce, M.A.; Castañeda-Aviña, R.P.; Tlelo-Cuautle, E.; Carbajal-Gómez, V.H.; González-Díaz, V.R.; Sandoval-Ibarra, Y.; Nuñez-Perez, J.C. CMOS OTA-based filters for designing fractional-order chaotic oscillators. Fractal Fract. 2021, 5, 122. [Google Scholar] [CrossRef]
- Li, C.; Sprott, J.C. Variable-boostable chaotic flows. Optik 2016, 127, 10389–10398. [Google Scholar] [CrossRef]
- Sprott, J.C. A proposed standard for the publication of new chaotic systems. Int. J. Bifurc. Chaos 2011, 21, 2391–2394. [Google Scholar] [CrossRef] [Green Version]
- Guzan, M.; Vince, T.; Molnár, J.; Bere, M.; Sobota, B. Acceleration of the Calculation of Boundary Surface Cross-Sections. Uncertainty and Imprecision in Decision Making and Decision Support: New Advances, Challenges, and Perspectives; Springer: Cham, Switzerland, 2022; pp. 129–141. [Google Scholar]
- Guzan, M.; Hlavacka, M.; Maliakova, M. Regions of Attraction for Two Hidden Attractors. In Proceedings of the IEEE International Conference on Modern Electrical and Energy Systems (MEES), Kremenchuk, Ukraine, 23–25 September 2019; pp. 346–349. [Google Scholar]























| Equilibrium Points | Eigenvalues | Stability |
|---|---|---|
| E0 = (0, 0, 0) | (0, −1.6, −1) | unstable saddle points |
| E1 = (7.2, 0, 4.5) | (−2.1187, 0.6260 + 1.6715i, 0.6260 − 1.6715i) | unstable saddle-foci |
| E2 = (−7.2, 0, −4.5) | (−3.6685, 0.5343 + 2.2879i, 0.5343 − 2.2879i) | unstable saddle-foci |
Publisher’s Note: MDPI stays neutral with regard to jurisdictional claims in published maps and institutional affiliations. |
© 2022 by the authors. Licensee MDPI, Basel, Switzerland. This article is an open access article distributed under the terms and conditions of the Creative Commons Attribution (CC BY) license (https://creativecommons.org/licenses/by/4.0/).
Share and Cite
Huang, L.; Zhang, X.; Zang, H.; Lei, T.; Fu, H. An Offset-Boostable Chaotic Oscillator with Broken Symmetry. Symmetry 2022, 14, 1903. https://doi.org/10.3390/sym14091903
Huang L, Zhang X, Zang H, Lei T, Fu H. An Offset-Boostable Chaotic Oscillator with Broken Symmetry. Symmetry. 2022; 14(9):1903. https://doi.org/10.3390/sym14091903
Chicago/Turabian StyleHuang, Lili, Xin Zhang, Hongyan Zang, Tengfei Lei, and Haiyan Fu. 2022. "An Offset-Boostable Chaotic Oscillator with Broken Symmetry" Symmetry 14, no. 9: 1903. https://doi.org/10.3390/sym14091903
APA StyleHuang, L., Zhang, X., Zang, H., Lei, T., & Fu, H. (2022). An Offset-Boostable Chaotic Oscillator with Broken Symmetry. Symmetry, 14(9), 1903. https://doi.org/10.3390/sym14091903

