Development and Application of Non-Destructive Testing Instrument for Wall Impermeability Based on a Water Drenching Method
Abstract
1. Introduction
2. Instrument Design and Manufacture
2.1. Configuration of the Instrument
2.2. Technical Route
2.3. Instrument Design
2.3.1. Fixed System Design
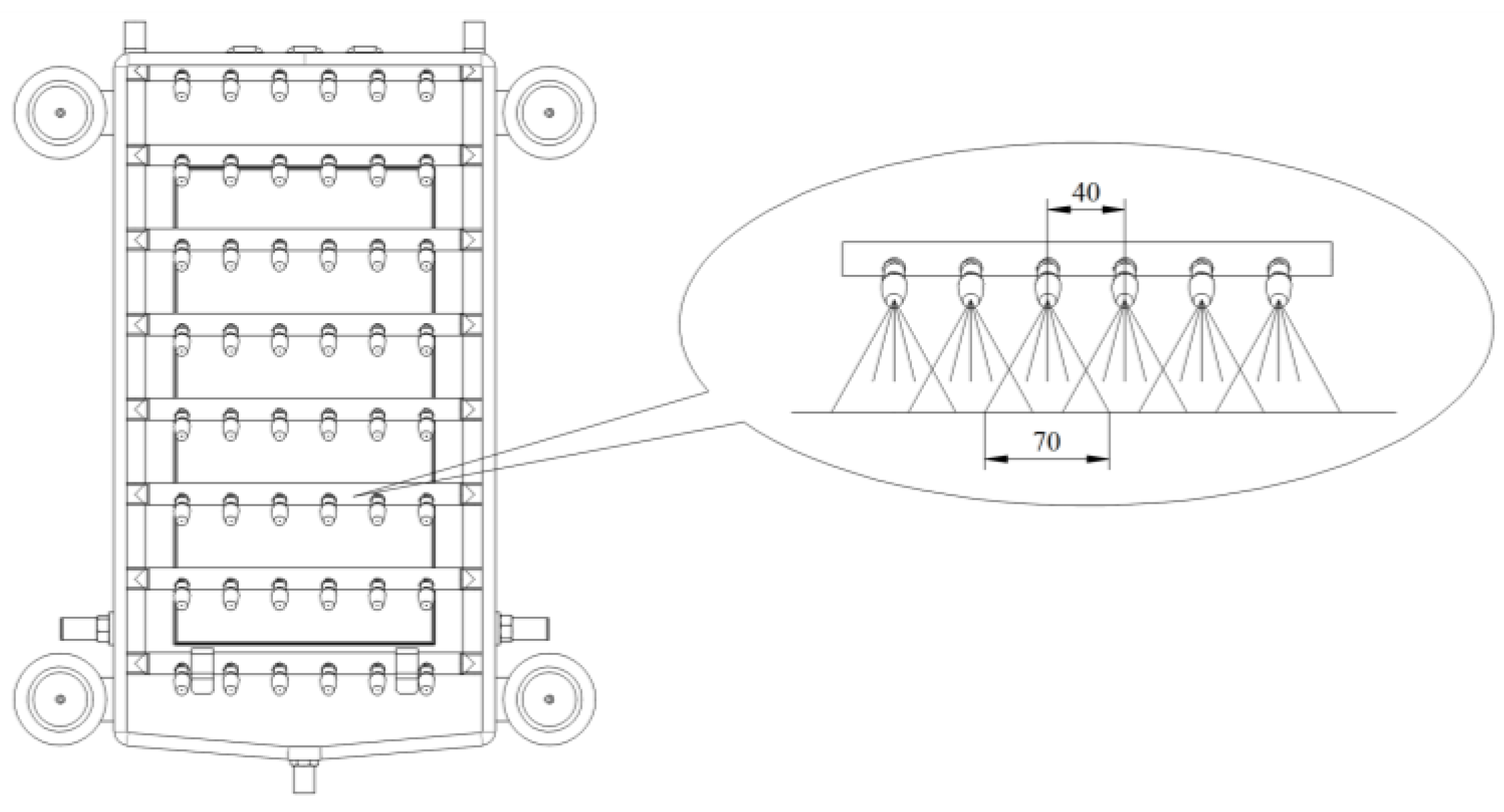
2.3.2. Spray System Design
2.3.3. Supply Pressure and Circulation System Design
3. On-Site Inspection Case
4. Results and Discussion
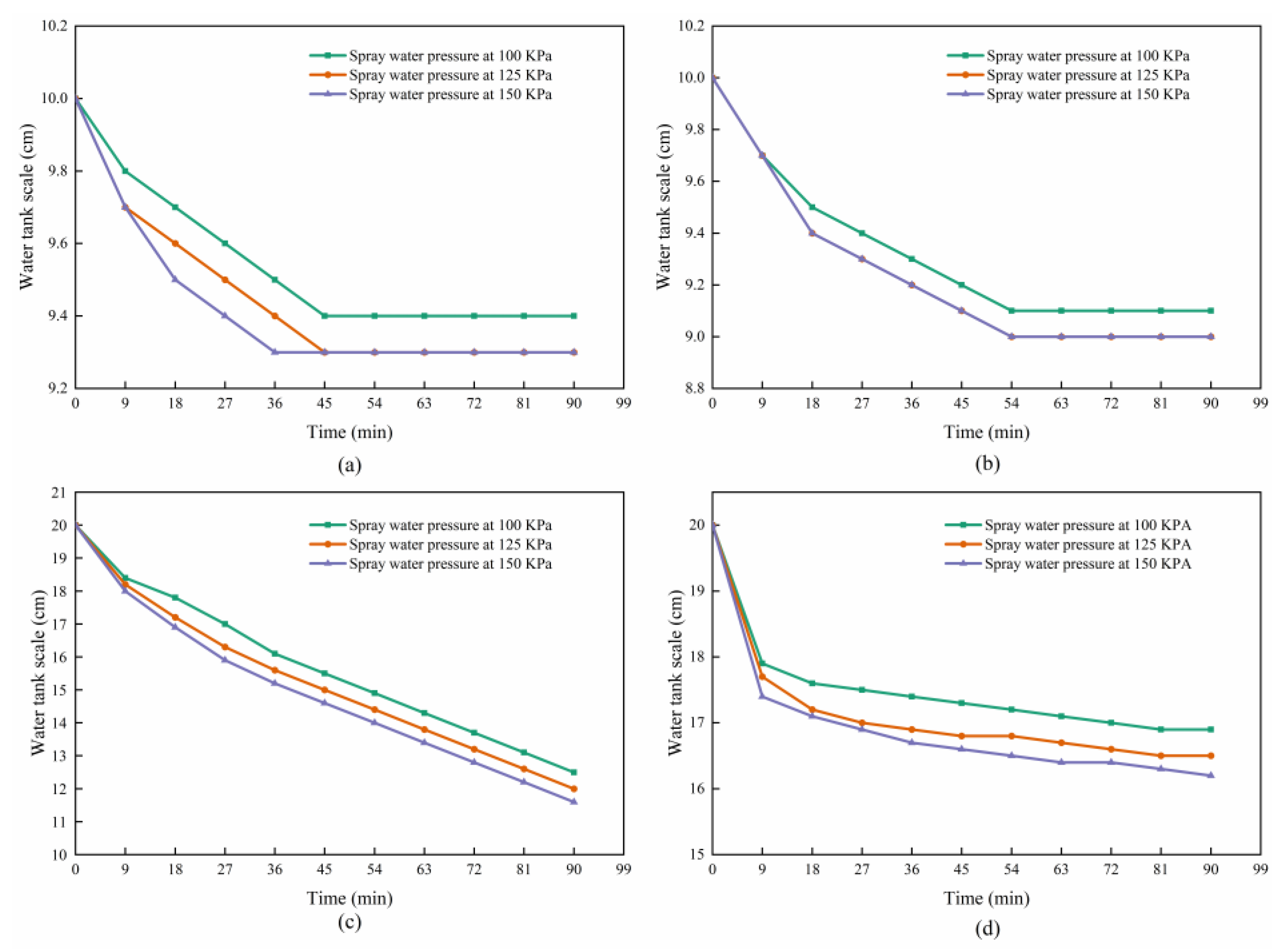
4.1. Influence of Water Pressure
4.2. Influence of Wind Pressure
4.3. Lateral Migration of Water
4.4. Test Summary
5. Combined Application of NDT-WI-2 and Regulation
6. Conclusions
- This instrument can be used as an effective tool for the on-site testing of wall impermeability. Its main advantages are as follows: the modular integrated design facilitates on-site testing; the non-destructive fixing system can meet the needs of a variety of roughness types of walls; it features a functional system that simulates the effect of “driving rain wind pressure”; and the instrument realizes integral water circulation, which saves water resources and can more accurately quantify water seepage data at the same time.
- The ash joint is the weak point of wall leakage. After surface treatment, the impermeability of the masonry wall will be greatly improved. When leakage occurs, it indicates that there is at least one stable leakage channel inside the wall. The actual measurement results show that the influence of wind pressure intensity change on the leakage parameters is significantly greater than that of the spray intensity change. Moreover, wall penetration is often accompanied by lateral migration. The greater the wind pressure, the more obvious the migration effect.
- In the future, walls in different deterioration states can be tested, and the influence of factors such as insulation layer and cracks on the penetration results can also be considered. Finally, combining various detection techniques and mathematical statistics methods, the permeability index can be quantified and the corresponding weights can be solved to establish a wall impermeability evaluation system.
- According to the on-site inspection feedback, NDT-WI-2 still has room for optimization. In further research, lighter and smarter functional components can be adopted to enhance the overall portability and operability of the instrument.
Author Contributions
Funding
Institutional Review Board Statement
Informed Consent Statement
Data Availability Statement
Conflicts of Interest
Appendix A
| Impermeability Coefficient | 0.8 ≤ y < 1.0 | 0.6 ≤ y < 0.8 | 0.4 ≤ y < 0.6 | 0.2 ≤ y < 0.4 |
| Impermeability Level | Level A | Level B | Level C | Level D |
References
- Tang, W.; Davidson, C.; Finger, S.; Vance, K. Erosion of limestone building surfaces caused by wind-driven rain: 1. Field measurements. Atmos. Environ. 2004, 38, 5589–5599. [Google Scholar] [CrossRef]
- PAHO/WHO. Environmental burden of disease associated with inadequate housing. Ultrasound Obstet. Gynecol. 2011, 24, 323. [Google Scholar]
- Breysse, D.; Balayssac, J.P.; Biondi, S.; Corbett, D.; Goncalves, A.; Grantham, M.; Luprano, V.A.M.; Masi, A.; Monteiro, A.V.; Sbartai, Z.M.; et al. Recommendation of RILEM TC249-ISC on non destructive in situ strength assessment of concrete. Mater. Struct. 2019, 52, 1–21. [Google Scholar] [CrossRef]
- Breysse, D.; Balayssac, J.P.; Biondi, S.; Borosnyói, A.; Candigliota, E.; Chiauzzi, L.; Garnier, V.; Grantham, M.; Gunes, O.; Luprano, V.; et al. Non destructive assessment of in situ concrete strength: Comparison of approaches through an international benchmark. Mater. Struct. 2017, 50, 133. [Google Scholar] [CrossRef]
- Ali-Benyahia, K.; Sbarta, Z.M.; Breysse, D.; Kenai, S.; Ghrici, M. Analysis of the single and combined non-destructive test approaches for on-site concrete strength assessment: General statements based on a real case-study. Case Stud. Constr. Mater. 2017, 6, 109–119. [Google Scholar] [CrossRef]
- Porco, F.; Ruggieri, S.; Uva, G. Seismic assessment of irregular existing building: Appraisal of the influence of compressive strength variation by means of nonlinear conventional and multimodal static analysis. Ing. Sismica 2018, 35, 64–86. [Google Scholar]
- Yang, Y.; Lu, H.; Tan, X.; Chai, H.K.; Wang, R.; Zhang, Y. Fundamental mode shape estimation and element stiffness evaluation of girder bridges by using passing tractor-trailers. Mech. Syst. Signal Processing 2022, 169. [Google Scholar] [CrossRef]
- Yang, Y.; Zhang, Y.; Tan, X. Review on Vibration-Based Structural Health Monitoring Techniques and Technical Codes. Symmetry. 2021, 13, 1998. [Google Scholar] [CrossRef]
- Yang, Y.; Ling, Y.; Tan, X.; Wang, S.; Wang, R. Damage identification of frame structure based on approximate Metropolis–Hastings algorithm and probability density evolution method. Int. J. Struct. Stab. Dyn. 2022, 2240014. [Google Scholar] [CrossRef]
- Levitt, M. Non-destructive Testing of concrete by the initial surface absorption method. Inst. Civ. Engneers 1970, 23–26. Available online: www.icevirtuallibrary.com/doi/abs/10.1680/ntocats.44685.0005 (accessed on 24 April 2022).
- Komárková, T.; Králíková, M.; Kocáb, D.; Misák, P.; Stavař, T. Comparison of standardized test methods for Determining the Permeability of the Surface Layer of Concrete. Adv. Mater. Res. 2015, 1122, 141–144. [Google Scholar] [CrossRef]
- Stehlik, M. Enhancing the durability of concrete made of concrete recyclate by additives and admixtures. J. Civ. Eng. Manag. 2014, 20, 270–279. [Google Scholar] [CrossRef]
- Al-Kheetan, M.J.; Rahman, M.M.; Chamberlain, D.A. Optimum Mix Design for Internally Integrated Concrete with Crystallizing Protective Material. J. Mater. Civ. Eng. 2019, 31, 1–8. [Google Scholar] [CrossRef]
- Khan, R.A.; Sharma, A. Durability properties of self compacting concrete containing fly ash, lime powder and metakaolin. J. Mater. Eng. Struct. 2015, 2, 206–212. [Google Scholar]
- Basheer, P.A.M.; Montgomery, F.R.; Long, A.E. The autoclam permeability system for measuring the in situ permeation properties of concrete. In Proceedings of the Conference Proceedings of the British Institute of Non-destructive Testing International Conference, Liverpool, UK, 14–16 April 1993; Volume 1. [Google Scholar]
- Liu, J.; Xing, F.; Dong, B.; Ma, H.; Pan, D. Study on water sorptivity of the surface layer of concrete. Mater. Struct. 2014, 47, 1941–1951. [Google Scholar] [CrossRef]
- Yang, K.; Basheer, P.A.M.; Bai, Y.; Magee, B.J.; Long, A.E. Development of a new in situ test method to measure the air permeability of high performance concretes. NDT E Int. 2014, 64, 30–40. [Google Scholar] [CrossRef]
- Kubissa, W.; Glinicki, M.A.; Dąbrowski, M. Permeability testing of radiation shielding concrete manufactured at industrial scale. Mater. Struct. 2018, 51, 1–15. [Google Scholar] [CrossRef]
- Zheng, Y.G.; Li, H.Q. Evaluation of protective quality of prestressed concrete containment buildings of nuclear power plants. J. Cent. South. Univ. Technol. 2011, 18, 238–243. [Google Scholar] [CrossRef]
- Hao, T.Y.; Wu, Z.G. Assessment of concrete permeability by a nondestructive method. Key Eng. Mater. 2009, 802, 309–314. [Google Scholar] [CrossRef]
- Li, J.L.; Yang, Q.D.; Tang, J. Research on key technologies of concrete structure 100-year durability of the national stadium for Beijing 2008 Olympic Games. In Proceedings of the Shanghai International Conference on Technology of Architecture and Structure (ICTAS2009) (Ⅱ), Shanghai, China, 15 October 2009. [Google Scholar]
- Jia, L.; Shi, C.; Pan, X.; Zhang, J.; Wu, L. Effects of inorganic surface treatment on water permeability of cement-based materials. Cem. Concr. Compos. 2016, 67, 85–92. [Google Scholar] [CrossRef]
- Torrent, R.J. A two-chamber vacuum cell for measuring the coefficient of permeability to air of the concrete cover on site. Mater. Struct. 1992, 25, 358–365. [Google Scholar] [CrossRef]
- Basheer, P.A.M.; Andrews, R.J.; Robinson, D.J.; Long, A.E. ‘PERMIT’ ion migration test for measuring the chloride ion transport of concrete on site. NDT E Int. 2005, 38, 219–229. [Google Scholar] [CrossRef]
- Figg, J.W. Methods of measuring the air and water permeability of concrete. Mag. Concr. Res. 1973, 25, 213–219. [Google Scholar] [CrossRef]
- Andrzej, M.; Marta, M. GWT—New testing system for “in situ” measurements of concrete water permeability. Procedia Eng. 2016, 153, 483–489. [Google Scholar] [CrossRef][Green Version]
- Martin, G.R. A method for determining the relative permeability of concrete using gas. Mag. Concr. Res. 1986, 38, 90–94. [Google Scholar] [CrossRef]
- Dhir, R.K.; Hewlett, P.C.; Chan, Y.N. Near-surface characteristics of concrete: Assessment and development of in situ test methods. Mag. Concr. Res. 1987, 39, 183–195. [Google Scholar] [CrossRef]
- Dhir, R.K.; Byars, E.A. PFA concrete: Near surface absorption properties. Mag. Concr. Res. 1991, 43, 219–232. [Google Scholar] [CrossRef]
- Claisse, P.A.; Ganjian, E.; Adham, T.A. A vacuum-air permeability test for in situ assessment of cover concrete. Cem. Concr. Res. 2003, 33, 47–53. [Google Scholar] [CrossRef]
- Yang, H.; Liu, R.; Zhuo, Z.; Liu, H.; Gao, Y.; Liu, Y. Experimental study on permeability of concrete. IOP Conf. 2018, 108, 022067. [Google Scholar] [CrossRef]
- Naderi, M.; Kaboudan, A. Cylindrical Chamber: A new in situ method for measuring permeability of concrete with and without admixtures. J. Test. Eval. 2020, 48, 2225–2241. [Google Scholar] [CrossRef]
- Qian, T.; Zhang, H. Assessment of long-term and extreme exposure to wind-driven rain for buildings in various regions of China. Build. Environ. 2021, 189, 107524. [Google Scholar] [CrossRef]
- Vutukuru, K.S.; Moravej, M.; Elawady, A.; Chowdhury, A.G. Holistic testing to determine quantitative wind-driven rain intrusion for shuttered and impact resistant windows. J. Wind Eng. Ind. Aerodyn. 2020, 206, 104359. [Google Scholar] [CrossRef]
- Domínguez-Hernández, J.; Pérez-Bella, J.M.; Alonso-Martínez, M.; Cano-Suñén, E.; del Coz-Díaz, J.J. Assessment of water penetration risk in building facades throughout Brazil. Build. Res. Informat. 2016, 45, 492–507. [Google Scholar] [CrossRef]
- Pérez-Bella, J.M.; Dominguez-Hernandez, J.; Cano-Suñén, E.; del Coz-Diaz, J.J.; Martin-Rodriguez, A. Procedure for a detailed territorial assessment of wind-driven rain and driving-rain wind pressure and its implementation to three Spanish regions. J. Wind Eng. Ind. Aerodyn. 2014, 128, 76–89. [Google Scholar] [CrossRef]
- Fu, J.; Yu, Y. Experimental study on pore characteristics and fractal dimension calculation of pore structure of aerated concrete block. Adv. Civ. Eng. 2019, 2019. [Google Scholar] [CrossRef]
- Fu, J.; Yu, Y.; Yie, J.B. Water permeation simulation of autoclaved aerated concrete blocks using the Lattice Boltzmann method. Mag. Civil. Eng. 2019, 5, 106–114. [Google Scholar]
- Xing, H.Y.; Zhang, Y.B.; Huang, W.Y. Design and simulation of drum solid-state fermentation equipment based on solidworks. Adv. Mater. Res. 2012, 476, 438–442. [Google Scholar] [CrossRef]
- Altalmas, T.M.; Ahmad, S.; Aula, A.; Akmeliawati, R.; Sidek, S.N. Mechanical design and simulation of two-wheeled wheelchair using solidworks. IOP Conf Ser. Mater. Sci. Eng. 2013, 53, 012042. [Google Scholar] [CrossRef]
- Han, S.; Liu, X. Parametric System Design of Belt Conveyor Legs Based on SolidWorks. In Proceedings of the 2019 International Conference on Electronical. Mechanical and Materials Engineering (ICE2ME 2019), Wuhan, China, 20 January 2019. [Google Scholar]
- Matsumoto, Y.; Kurashige, I.; Kan, Y. Development of Concrete Inspection Robot with Dual Stage Suckers. J. Robot. Mechatron. 2019, 31, 816–826. [Google Scholar] [CrossRef]
- Yang, W.; Yang, C.; Zhang, R.; Zhang, W. A Novel Worm-inspired Wall Climbing Robot with Sucker-microspine Composite Structure. In Proceedings of the 2018 3rd International Conference on Advanced Robotics and Mechatronics (ICARM), Singapore, 18–20 July 2018; pp. 744–749. [Google Scholar]












| Type of Wall | Block Size | Intensity Level | Density Level | Mortar Strength Level | Volumetric Weight (kN/m3) | Surface Condition |
|---|---|---|---|---|---|---|
| Autoclaved aerated concrete block (I) | 600 × 240 × 200 | A5.0 | B06 | M5 | 8 | Mortar leveling |
| Autoclaved aerated concrete block (II) | 600 × 240 × 200 | A5.0 | B06 | M5 | 8 | No treatment |
| Shale brick (III) | 240 × 115 × 53 | Mu10 | - | M5 | 14 | Mortar leveling |
| Shale brick (IV) | 240 × 115 × 53 | Mu10 | - | M5 | 14 | No treatment |
| Wall Type | 100 kPa | 125 kPa | 150 kPa | ||||||
|---|---|---|---|---|---|---|---|---|---|
| Initial Infiltration Time (min) | Initial Infiltration Position | Seepage Amount (L) | Initial Infiltration Time (min) | Initial Infiltration Position | Seepage Amount (L) | Initial Infiltration Time (min) | Initial Infiltration Position | Seepage Amount (L) | |
| I | No leakage | Without | 0.38 | No leakage | Without | 0.44 | No leakage | Without | 0.44 |
| II | 8 | Horizontal gray seam | 4.69 | 8 | Horizontal gray seam | 5 | 6 | Horizontal gray seam | 5.25 |
| III | No leakage | Without | 0.56 | No leakage | Without | 0.63 | No leakage | Without | 0.63 |
| IV | 4 | Horizontal and vertical gray seam connection | 1.94 | 3 | Horizontal gray seam | 2.19 | 3 | Horizontal and vertical gray seam connection | 2.38 |
| Wall Type | 100 Pa | 200 Pa | 300 Pa | ||||||
|---|---|---|---|---|---|---|---|---|---|
| Initial Infiltration Time (min) | Initial Infiltration Position | Seepage Amount (L) | Initial Infiltration Time (min) | Initial Infiltration Position | Seepage Amount (L) | Initial InfiltrationTime (min) | Initial Infiltration Position | Seepage Amount (L) | |
| I | No leakage | Without | 0.56 | No leakage | Without | 0.69 | No leakage | Without | 0.88 |
| II | 6 | Horizontal gray seam | 5.38 | 4 | Horizontal gray seam | 7.06 | 3 | Horizontal gray seam | 9 |
| III | No leakage | Without | 0.63 | No leakage | Without | 0.75 | No leakage | Without | 0.94 |
| IV | 3 | Horizontal gray seam | 2.06 | 3 | Horizontal and vertical gray seam connection | 2.44 | 2 | Horizontal and vertical gray seam connection | 2.63 |
Publisher’s Note: MDPI stays neutral with regard to jurisdictional claims in published maps and institutional affiliations. |
© 2022 by the authors. Licensee MDPI, Basel, Switzerland. This article is an open access article distributed under the terms and conditions of the Creative Commons Attribution (CC BY) license (https://creativecommons.org/licenses/by/4.0/).
Share and Cite
Fu, J.; Xu, Y.; Shi, Y. Development and Application of Non-Destructive Testing Instrument for Wall Impermeability Based on a Water Drenching Method. Symmetry 2022, 14, 987. https://doi.org/10.3390/sym14050987
Fu J, Xu Y, Shi Y. Development and Application of Non-Destructive Testing Instrument for Wall Impermeability Based on a Water Drenching Method. Symmetry. 2022; 14(5):987. https://doi.org/10.3390/sym14050987
Chicago/Turabian StyleFu, Jun, Yujia Xu, and Yumeng Shi. 2022. "Development and Application of Non-Destructive Testing Instrument for Wall Impermeability Based on a Water Drenching Method" Symmetry 14, no. 5: 987. https://doi.org/10.3390/sym14050987
APA StyleFu, J., Xu, Y., & Shi, Y. (2022). Development and Application of Non-Destructive Testing Instrument for Wall Impermeability Based on a Water Drenching Method. Symmetry, 14(5), 987. https://doi.org/10.3390/sym14050987

