Quantifying Raptors’ Flight Behavior to Assess Collision Risk and Avoidance Behavior to Wind Turbines
Abstract
1. Introduction
2. Methods
2.1. Study Site
2.2. Data Collection
2.2.1. IdentiFlight System
2.2.2. Weather Data
2.3. Data Preparation
2.4. Data Analysis
2.4.1. Flight Behavior Classifications
2.4.2. Avoidance Behavior
2.4.3. Collision Risk
3. Results
3.1. Flight Behavior Classification
3.2. Avoidance Behavior
3.3. Collision Risk
4. Discussion
4.1. Flight Behavior as a Predictor of Collision Risk
Effect of Weather on Flight Behavior
4.2. Avoidance Behavior
5. Conclusions
Author Contributions
Funding
Data Availability Statement
Acknowledgments
Conflicts of Interest
Appendix A. Operational Days
| Month | Operational Days | Days with Raptors | Number of Tracks |
|---|---|---|---|
| February | 20 | 14 | 53 |
| March | 31 | 25 | 153 |
| April | 30 | 23 | 91 |
| May | 31 | 20 | 69 |
| June | 12 | 8 | 8 |
| July | 11 | 6 | 20 |
| August | 18 | 16 | 87 |
| September | 30 | 23 | 140 |
| October | 26 | 13 | 39 |
| November | 22 | 5 | 12 |
| Total | 231 | 153 | 672 |
Appendix B. IdentiFlight System
Appendix B.1. Curtailment Prescription
| Model | Number of Turbines | Rotor Diameter (m) | Hub Height (m) | Rotor Zone (m above Ground) | Radius Outer Cylinder (m) | Radius Inner Cylinder (m) | Height Outer Cylinder (m) | Height Inner Cylinder (m) |
|---|---|---|---|---|---|---|---|---|
| Covered | ||||||||
| Vestas V27 | 1 | 27 | 31 | 15.5–46.5 | 700 | 250 | 300 | 200 |
| Vestas V29 | 1 | 29 | 31 | 14.5–47.5 | 700 | 250 | 300 | 200 |
| Vestas V90 | 1 | 90 | 80 | 33.0–127 | 700 | 400 | 400 | 250 |
| Partially covered | ||||||||
| Kenersys K100 | 1 | 100 | 85 | 33.0–137 | 600 | 300 | 400 | 250 |
| Vestas V47 | 2 | 47 | 45 | 19.5–70.5 | 600 | 300 | 300 | 200 |
| Vestas V90 | 2 | 90 | 80 | 33.0–127 | 700 | 300 | 400 | 250 |
| Vestas V100 | 1 | 95 | 100 | 50.5–149.5 | 700 | 400 | 400 | 250 |

Appendix B.2. IdentiFlight Camera System


Appendix C. IdentiFlight Data

Appendix D. Subsets
| Observations | Tracks | |
|---|---|---|
| All tracks | ||
| ≥100 m | 8036 | 564 |
| ≥100 m & ≥4 images | 7796 | 442 |
| Divided by track type | ||
| Straight | 1418 | 130 |
| Curvy | 3190 | 200 |
| Spiral | 1892 | 60 |
| Chaotic | 1296 | 52 |
| Divided by altitude zone | ||
| Above rotor zone | 1311 | 256 |
| Below rotor zone | 820 | 236 |
| In rotor zone | 1580 | 320 |
Appendix E. Testing for Collinearity

Appendix F. Supplementary Results
Appendix F.1. Flight Behavior Classification


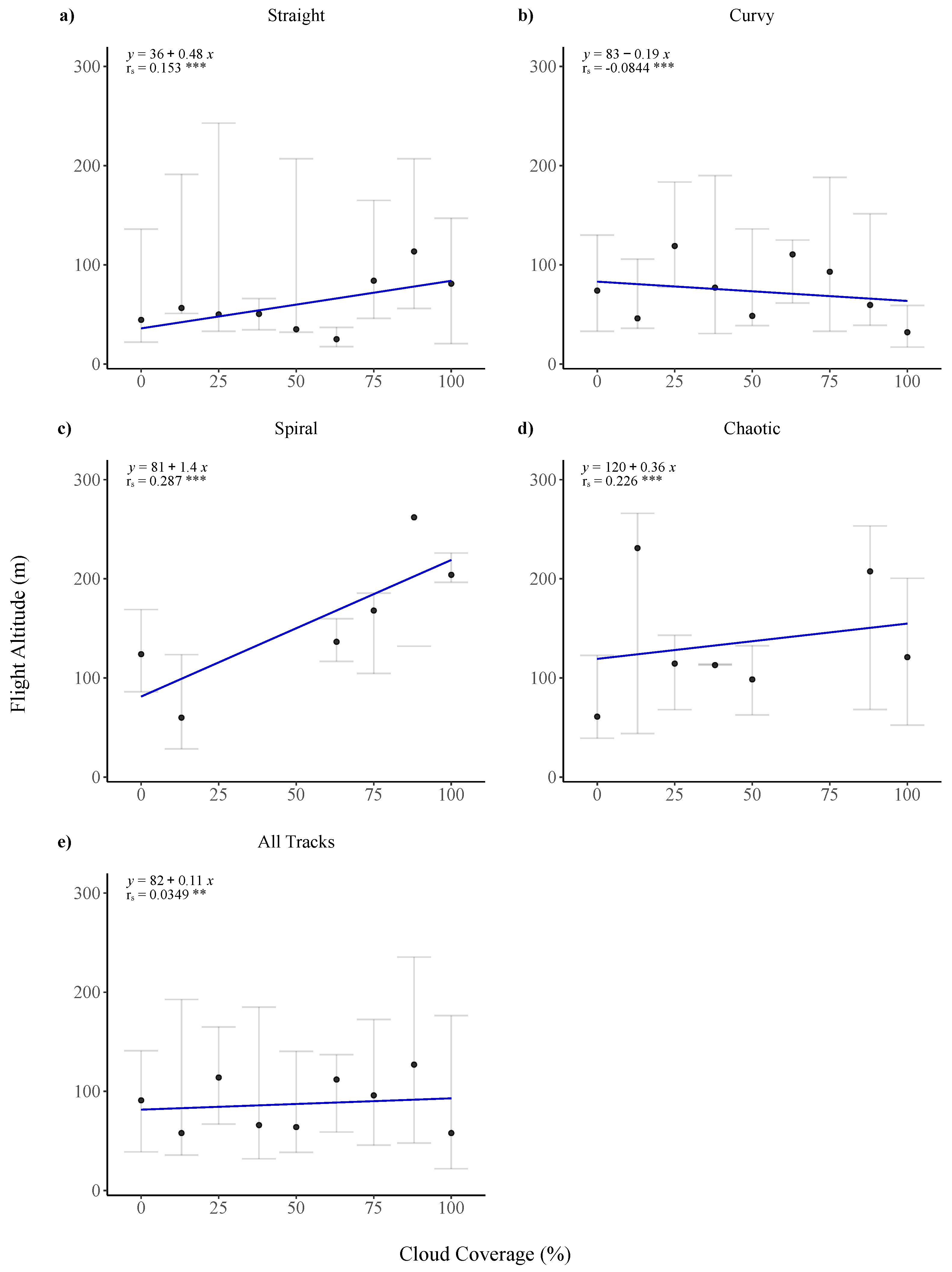
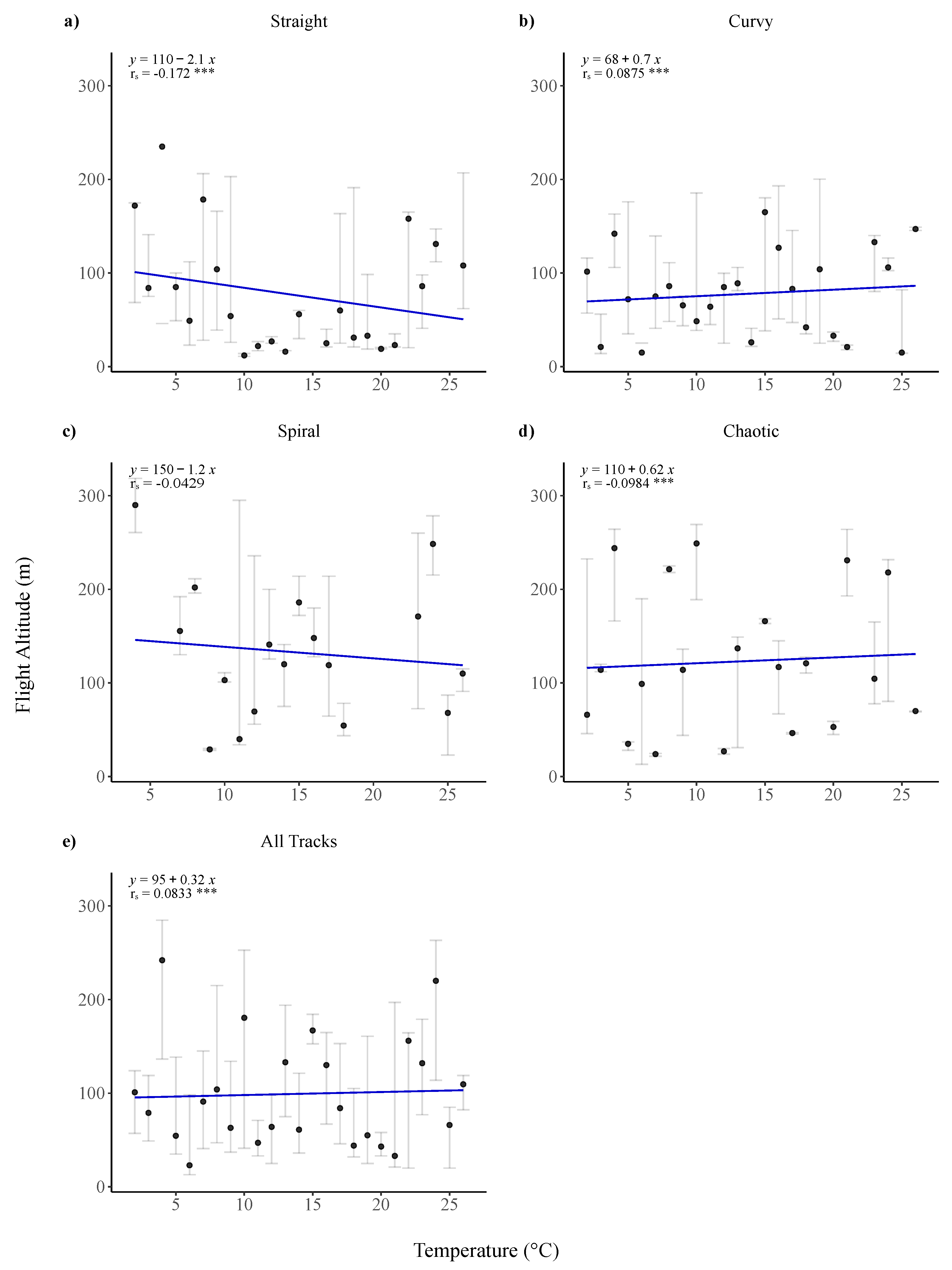
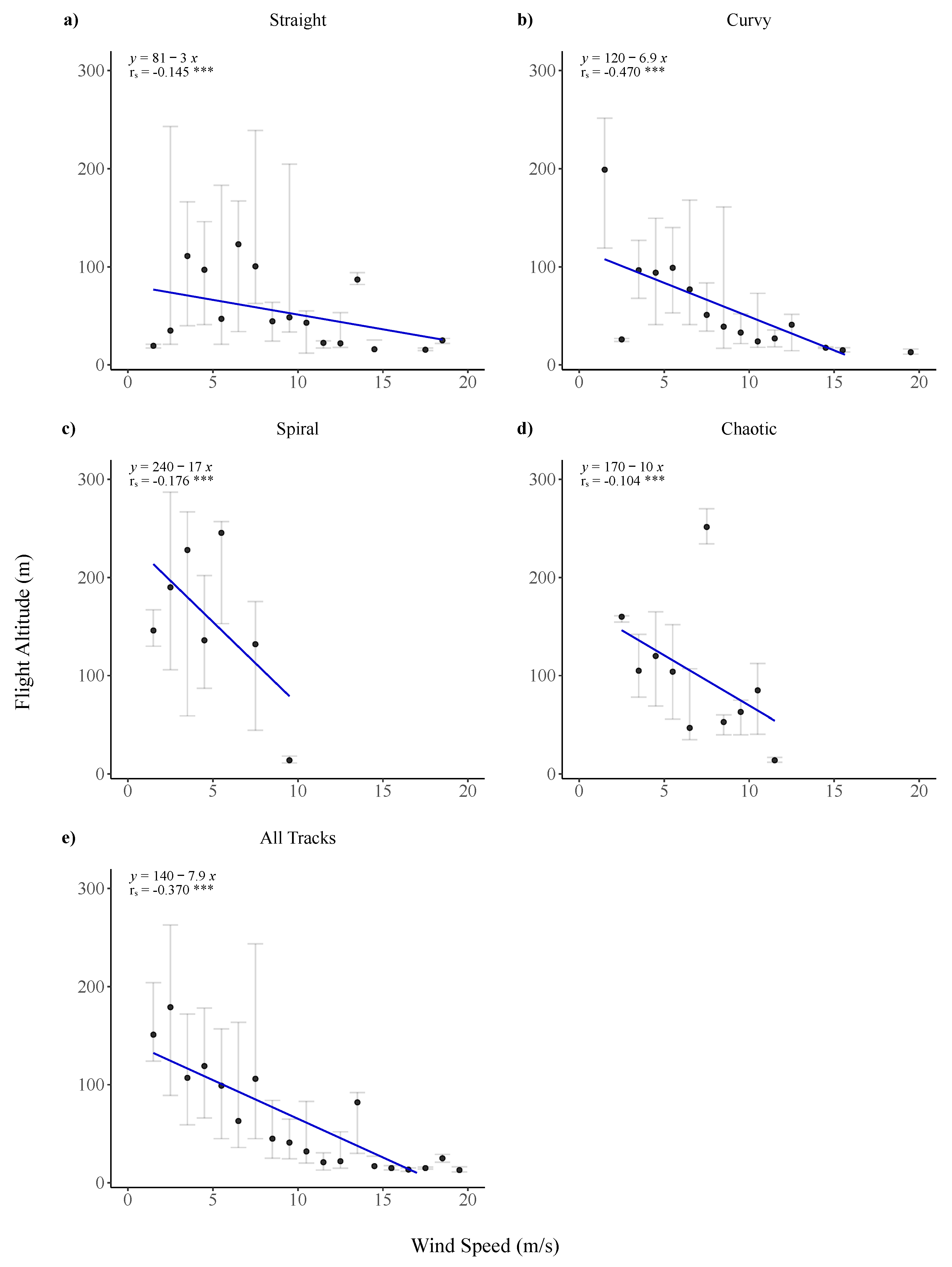
Appendix F.2. Flight Altitude in Relation to Weather


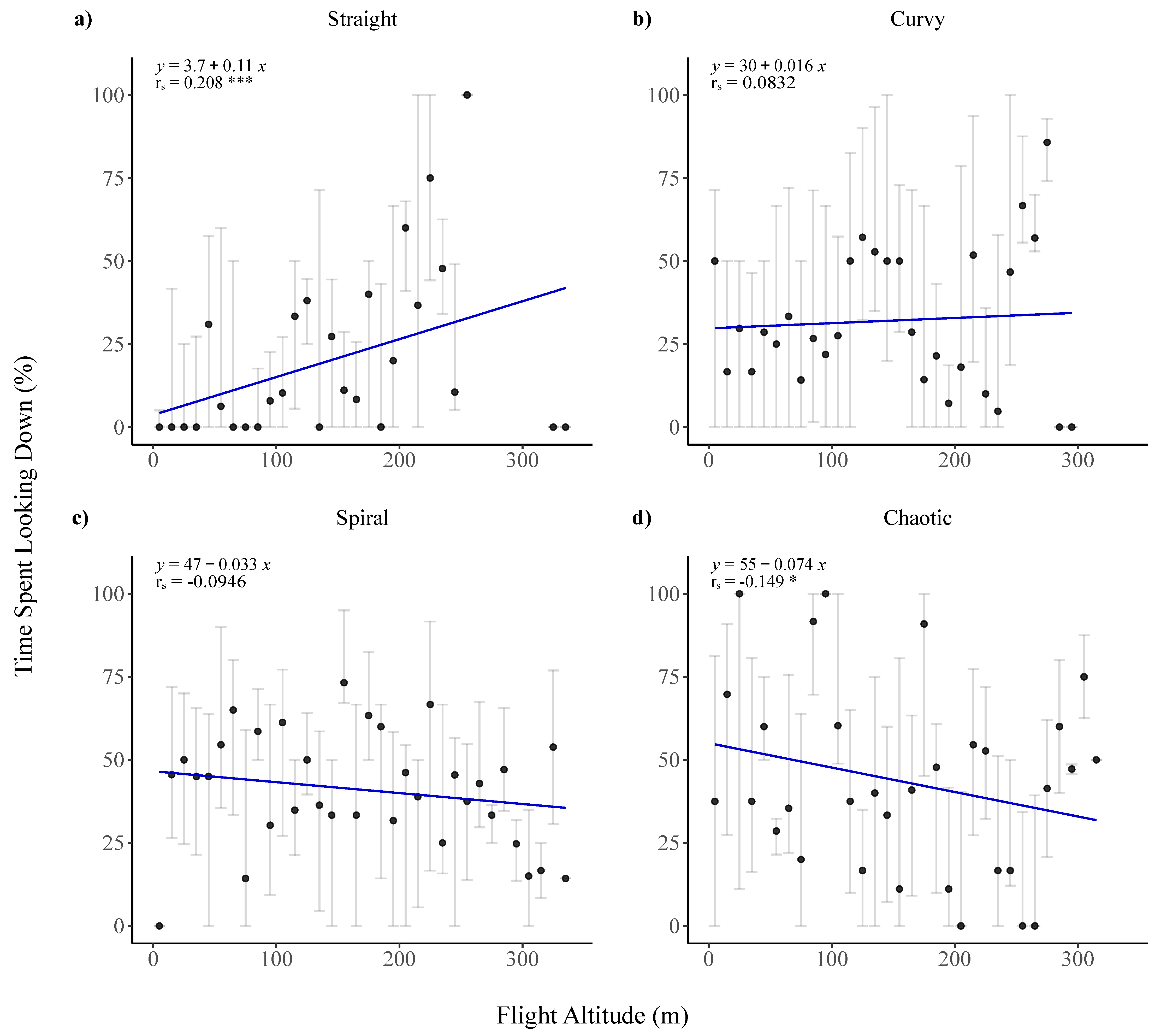
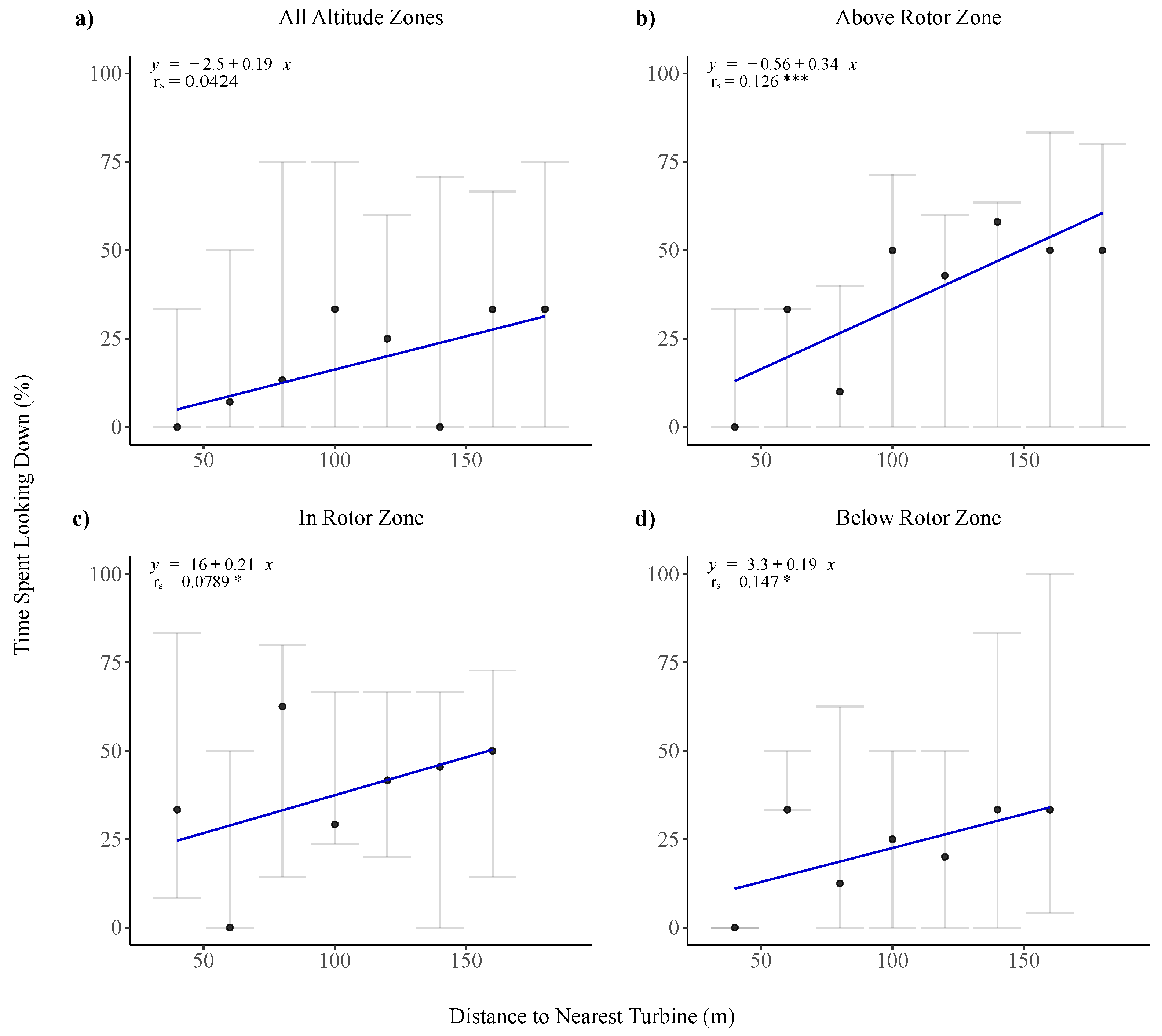
Appendix F.3. Flight Behavior in Relation to Vigilance

Appendix F.4. Flight Behavior of Birds in Active Flight

Appendix F.5. Vigilance

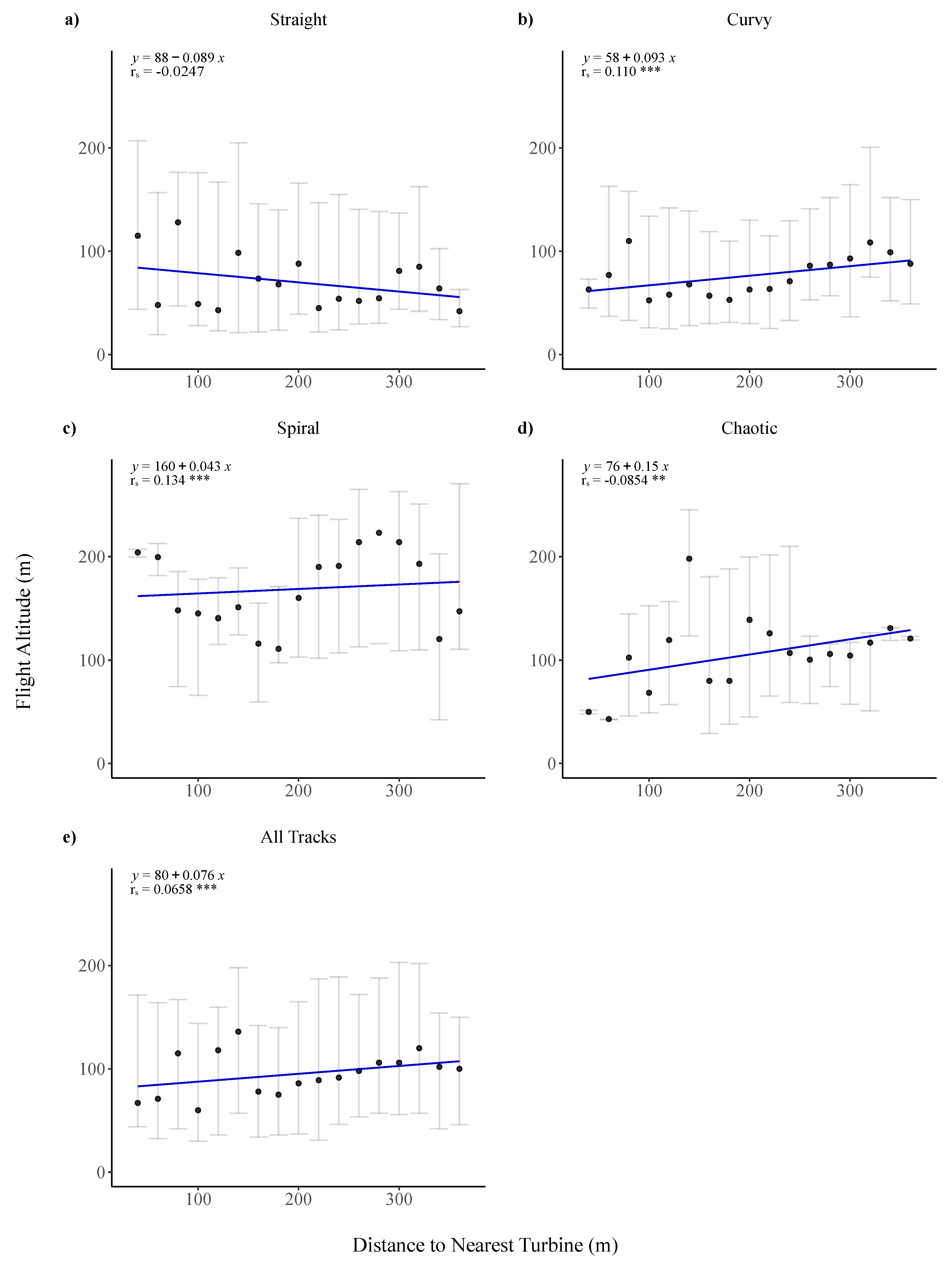
Appendix F.6. Avoidance Behavior

Appendix G. Model Selection
| Name | No. of Covariates | No. of Generations | Best AIC | |
|---|---|---|---|---|
| Flight vigilance * | ||||
| Without interactions | 8 | 250 | 48.1 | |
| With interactions | 8 | 490 | 36.3 | |
| Flight altitude * | ||||
| Without interactions | 8 | 250 | 4000 | |
| With interactions | 8 | 380 | 3982 | |
| Track tortuosity | ||||
| Without interactions | 7 | 250 | 78.4 | |
| With interactions | 7 | 500 | 70.7 | |
| Track symmetry * | ||||
| Without interactions | 7 | 250 | 5419 | |
| With interactions | 7 | 520 | 5400 | |
Importance of Model Terms

References
- Drewitt, A.L.; Langston, R.H.W. Assessing the Impacts of Wind Farms on Birds. IBIS 2006, 148, 29–42. [Google Scholar] [CrossRef]
- Madders, M.; Whitfield, D.P. Upland Raptors and the Assessment of Wind Farm Impacts. IBIS 2006, 148, 43–56. [Google Scholar] [CrossRef]
- de Lucas, M.; Janss, G.F.E.; Whitfield, D.P.; Ferrer, M. Collision Fatality of Raptors in Wind Farms does not Depend on Raptor Abundance. J. Appl. Ecol. 2008, 45, 1695–1703. [Google Scholar] [CrossRef]
- Smallwood, K.S.; Thelander, C. Bird Mortality in the Altamont Pass Wind Resource Area, California. J. Wildl. Manag. 2008, 72, 215–223. [Google Scholar] [CrossRef]
- Bevanger, K.; Berntsen, F.; Clausen, S.; Dahl, E.L.; Flagstad, Ø.; Follestad, A.; Halley, D.; Hanssen, F.; Johnsen, L.; Kvaløy, P.; et al. Pre- and Post-Construction Studies of Conflicts Between Birds and Wind Turbines in Coastal Norway (Bird-Wind); Report on Findings 2007–2010; Norwegian Institute for Nature Research: Trondheim, Norway, 2010. [Google Scholar]
- Katzner, T.E.; Brandes, D.; Miller, T.; Lanzone, M.; Maisonneuve, C.; Tremblay, J.A.; Mulvihill, R.; Merovich, G.T., Jr. Topography Drives Migratory Flight Altitude of Golden Eagles: Implications for On-Shore Wind Energy Development. J. Appl. Ecol. 2012, 49, 1178–1186. [Google Scholar] [CrossRef]
- Loss, S.R.; Will, T.; Marra, P.P. Estimates of Bird Collision Mortality at Wind Facilities in the Contiguous United States. Biol. Conserv. 2013, 168, 201–209. [Google Scholar] [CrossRef]
- Marques, A.T.; Batalha, H.; Rodrigues, S.; Costa, H.; Pereira, M.J.R.; Fonseca, C.; Mascarenhas, M.; Bernardino, J. Understanding Bird Collisions at Wind Farms: An Updated Review on the Causes and Possible Mitigation Strategies. Biol. Conserv. 2014, 179, 40–52. [Google Scholar] [CrossRef]
- Watson, R.T.; Kolar, P.S.; Ferrer, M.; Nygård, T.; Johnston, N.; Hunt, W.G.; Smit-Robinson, H.A.; Farmer, C.J.; Huso, M.; Katzner, T.E. Raptor Interactions with Wind Energy: Case Studies from Around the World. J. Raptor Res. 2018, 52, 1–18. [Google Scholar] [CrossRef]
- Perold, V.; Ralston-Paton, S.; Ryan, P. On a Collision Course? The Large Diversity of Birds Killed by Wind Turbines in South Africa. J. Afr. Ornithol. 2020, 91, 228–239. [Google Scholar] [CrossRef]
- Powlesland, R.G. Impacts of Wind Farms on Birds: A Review. Sci. Conserv. 2009, 289, 51. [Google Scholar]
- Directorate-General for Environment (European Commision). Guidance Document: Wind Energy Development and Natura 2000. 2010. Available online: https://viuredelairebcn.cat/wp-content/uploads/2021/09/Wind-energy-developments-and-Natura-2000_resum.pdf (accessed on 30 August 2022).
- May, R.; Hoel, P.L.; Langston, R.; Dahl, E.L.; Bevanger, K.; Reitan, O.; Nygård, T.; Pedersen, H.C.; Røskaft, E.; Stokke, B.G. Collision Risk in White-Tailed Eagles. Modelling Collision Risk Using Vantage Point Observations in Smøla Wind-Power Plant; Report 639; Norwegian Institute for Nature Research: Trondheim, Norway, 2010. [Google Scholar]
- Garvin, J.C.; Jennelle, C.S.; Drake, D.; Grodsky, S.M. Response of Raptors to a Wind farm. J. Appl. Ecol. 2011, 48, 199–209. [Google Scholar] [CrossRef]
- Barrios, L.; Rodríguez, A. Behavioural and Environmental Correlates of Soaring-bird Mortality at On-shore Wind Turbines. J. Appl. Ecol. 2004, 41, 72–81. [Google Scholar] [CrossRef]
- Johnston, N.N.; Bradley, J.E.; Otter, K.A. Increased Flight Altitudes Among Migrating Golden Eagles Suggest Turbine Avoidance at a Rocky Mountain Wind Installation. PLoS ONE 2014, 9, e93030. [Google Scholar] [CrossRef]
- Murgatroyd, M.; Photopoulou, T.; Underhill, L.G.; Bouten, W.; Amar, A. Where Eagles Soar: Fine-Resolution Tracking Reveals the Spatiotemporal Use of Differential Soaring Modes in a Large Raptor. Ecol. Evol. 2018, 8, 6788–6799. [Google Scholar] [CrossRef] [PubMed]
- Marques, A.T.; Santos, C.D.; Hanssen, F.; Muñoz, A.; Onrubia, A.; Wikelski, M.; Moreira, F.; Palmeirim, J.M.; Silva, J.P. Wind Turbines Cause Functional Habitat Loss for Migratory Soaring Birds. J. Anim. Ecol. 2019, 89, 93–103. [Google Scholar] [CrossRef]
- Dahl, E.L.; May, R.; Hoel, P.L.; Bevanger, K.; Pedersen, H.C.; Røskaft, E.; Stokke, B.G. White-Tailed Eagles (Haliaeetus Albicilla) Smøla Wind. Plant, Cent. Norway, Lack Behav. Flight Responses Wind Turbines. Wildl. Soc. Bull. 2013, 37, 66–74. [Google Scholar] [CrossRef]
- Cook, A.S.C.P.; Humphreys, E.M.; Masden, E.A.; Burton, N.H.K. The Avoidance Rates of Collision Between Birds and Offshore Turbines-BTO Research Report No. 656. Scott. Mar. Freshw. Sci. 2014, 5. [Google Scholar]
- Rydell, J.; Ottvall, R.; Pettersson, S.; Green, M. Report 6791 The Effects of Wind Power on Birds and Bats; Digitala Vetenskapliga Arkivet: Stockholm, Sweden, 2017. [Google Scholar]
- Whitfield, D.P.; Madders, M. Deriving Collision Avoidance Rates for Red Kites Milvus Milvus; Natural Research Information Note 3; Natural Research Ltd.: Banchory, UK, 2006. [Google Scholar]
- Cabrera-Cruz, S.A.; Villegas-Patraca, R. Response of Migrating Raptors to an Increasing Number of Wind Farms. J. Appl. Ecol. 2016, 53, 1667–1675. [Google Scholar] [CrossRef]
- Mojica, E.K.; Watts, B.D.; Turrin, C.L. Utilization Probability Map for Migrating Bald Eagles in Northeastern North America: A Tool for Siting Wind Energy Facilities and Other Flight Hazards. PLoS ONE 2016, 11, e0157807. [Google Scholar] [CrossRef]
- Smallwood, K.S.; Bell, D.A. Effects of Wind Turbine Curtailment on Bird and Bat Fatalities. J. Wildl. Manag. 2020, 84, 685–696. [Google Scholar] [CrossRef]
- McClure, C.J.W.; Martinson, L.; Allison, T.D. Automated Monitoring for Birds in Flight: Proof of Concept with Eagles at a Wind Power Facility. Biol. Conserv. 2018, 224, 26–33. [Google Scholar] [CrossRef]
- Esri; HERE; Garmin; FAO; NOAA; USGS. World Topographic Map. 2020. Available online: http://www.esri.com/ (accessed on 1 March 2021).
- Wirdheim, A.; Corell, M. Fågelrapport 2015; Fågelåret 2015; BirdLife Sverige: Mörbylånga, Sweden, 2015. [Google Scholar]
- Aldén, L.; Ottvall, R.; Soares, J.P.D.S.; Klein, J.; Liljenfeldt, J. Rapport: Samexistens Örnar och Vindkraft på Gotland; Digitala Vetenskapliga Arkivet: Stockholm, Sweden, 2017. [Google Scholar]
- Jensen, B.B. Efterårets Rovfugletræk. Fuglehåndbogen på Nettet 2015, 1, 21122015. [Google Scholar]
- Esri. ArcGIS Pro 2.5.0; Environmental Systems Research Institute: Redlands, CA, USA, 2020. [Google Scholar]
- SMHI, Swedish Meteorological and Hydrological Institute. Norrköping. 2020. Available online: www.smhi.se (accessed on 30 August 2022).
- R Core Team. R: A Language and Environment for Statistical Computing; R Foundation for Statistical Computing: Vienna, Austria, 2020. [Google Scholar]
- Whitlock, M.C.; Schluter, D. The Analysis of Biological Data, 2nd ed.; W. H. Freeman and Company: New York, NY, USA, 2015. [Google Scholar]
- Calcagno, V.; de Mazancourt, C. glmulti: An R Package for Easy Automated Model Selection with (Generalized) Linear Models. J. Stat. Softw. 2010, 34. [Google Scholar] [CrossRef]
- Zuur, A.F.; Ieno, E.N.; Walker, N.J.; Saveliev, A.A.; Smith, G.M. Mixed Effects Models and Extensions in Ecology with R; Statistics for Biology and Health; Springer: New York, NY, USA, 2009. [Google Scholar]
- Walker, A.; Mcgrady, M.; Mccluskie, A.; Madders, M.; Mcleod, D.R.A. Resident Golden Eagle Ranging Behaviour Before and After Construction of a Windfarm in Argyll. Scott. Birds 2005, 25, 24–40. [Google Scholar]
- Miller, T.; Lockhart, M.; Braham, M.; Smith, B.; Katzner, T. Flight Behavior of Golden Eagles in Wyoming: Implications for Wind Power; Wind Wildlife Research Meeting; American Wind Wildlife Institute: Washington, DC, USA, 2020. [Google Scholar]
- Bergen, S.; Huso, M.; Braham, M.; Duerr, A.; Katzner, T.; Miller, T.; Schmuecker, S. Improved Behavioral Classification of Flight Behavior Informs Risk Modeling of Bald Eagles at Wind Facilities in Iowa; Wind Wildlife Research Meeting; American Wind Wildlife Institute: Washington, DC, USA, 2020. [Google Scholar]
- Kuehn, M.; Merrill, L.; Bloom, P.; Riley, E. Temporal, Topographic, and Meteorological Correlates of Golden Eagle Flight Behavior in California’s Tehachapi Wind Resource Area; Wind Wildlife Research Meeting; American Wind Wildlife Institute: Washington, DC, USA, 2020. [Google Scholar]
- Lanzone, M.J.; Miller, T.A.; Turk, P.; Brandes, D.; Halverson, C.; Maisonneuve, C.; Tremblay, J.; Cooper, J.; O’Malley, K.; Brooks, R.P.; et al. Flight Responses by a Migratory Soaring Raptor to Changing Meteorological Conditions. Anim. Behav. 2012, 8, 710–713. [Google Scholar] [CrossRef]
- Wiggelinkhuizen, E.; den Boon, J. Monitoring of Bird Collisions in Wind Farm Under Offshore-like Conditions Using WT-BIRD System; Energy Research Centre of The Netherlands: Petten, The Netherlands, 2010. [Google Scholar]









| Response Variable | ||||
|---|---|---|---|---|
| Independent Variable | Flight Vigilance | Flight Altitude | Track Symmetry | Track Tortuosity |
| Flight vigilance | ||||
| Active flight | ||||
| Flight altitude | ||||
| Track symmetry | ||||
| Track tortuosity | ||||
| Turbine distance | ||||
| Cloud coverage | ||||
| Temperature | ||||
| Wind speed | ||||
Publisher’s Note: MDPI stays neutral with regard to jurisdictional claims in published maps and institutional affiliations. |
© 2022 by the authors. Licensee MDPI, Basel, Switzerland. This article is an open access article distributed under the terms and conditions of the Creative Commons Attribution (CC BY) license (https://creativecommons.org/licenses/by/4.0/).
Share and Cite
Linder, A.C.; Lyhne, H.; Laubek, B.; Bruhn, D.; Pertoldi, C. Quantifying Raptors’ Flight Behavior to Assess Collision Risk and Avoidance Behavior to Wind Turbines. Symmetry 2022, 14, 2245. https://doi.org/10.3390/sym14112245
Linder AC, Lyhne H, Laubek B, Bruhn D, Pertoldi C. Quantifying Raptors’ Flight Behavior to Assess Collision Risk and Avoidance Behavior to Wind Turbines. Symmetry. 2022; 14(11):2245. https://doi.org/10.3390/sym14112245
Chicago/Turabian StyleLinder, Anne Cathrine, Henriette Lyhne, Bjarke Laubek, Dan Bruhn, and Cino Pertoldi. 2022. "Quantifying Raptors’ Flight Behavior to Assess Collision Risk and Avoidance Behavior to Wind Turbines" Symmetry 14, no. 11: 2245. https://doi.org/10.3390/sym14112245
APA StyleLinder, A. C., Lyhne, H., Laubek, B., Bruhn, D., & Pertoldi, C. (2022). Quantifying Raptors’ Flight Behavior to Assess Collision Risk and Avoidance Behavior to Wind Turbines. Symmetry, 14(11), 2245. https://doi.org/10.3390/sym14112245

