Membrane Effect of Geogrid Reinforcement for Low Highway Piled Embankment under Moving Vehicle Loads
Abstract
1. Introduction
2. Numerical Simulation
2.1. General Description
2.2. Simulation Procedure
3. Analysis of Vertical Stress Carried by the Subsoil and Geogrid
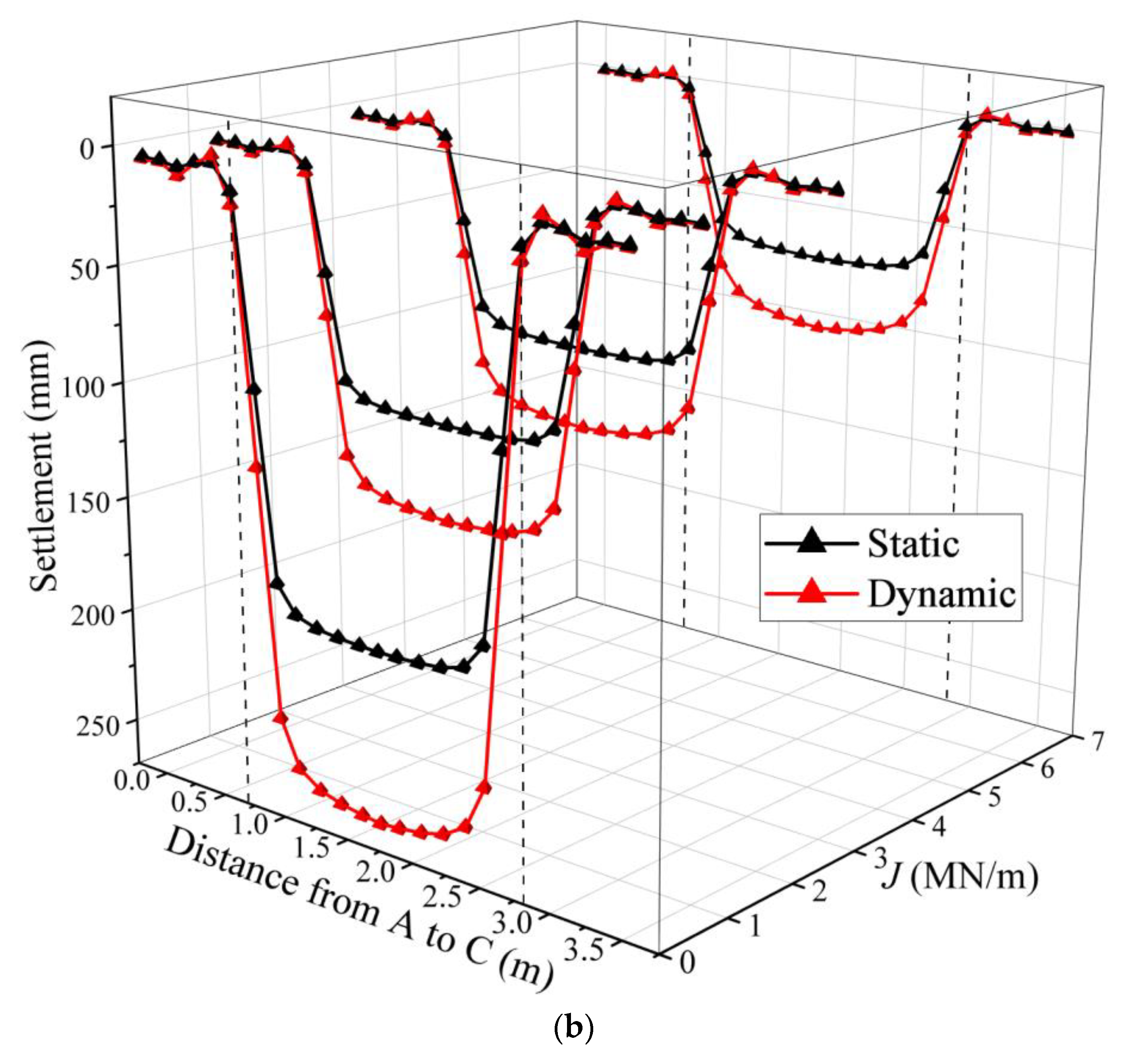
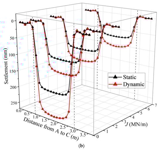
4. Distribution of Settlement and Tension of the Geogrid Reinforcement
5. Parametric Study in Terms of the Geogrid Tension
6. Conclusions
Author Contributions
Funding
Data Availability Statement
Conflicts of Interest
References
- Han, J.; Gabr, M.A. Numerical Analysis of Geosynthetic-Reinforced and Pile-Supported Earth Platforms over Soft Soil. J. Geotech. Geoenviron. Eng. 2002, 128, 44–53. [Google Scholar] [CrossRef]
- Almeida, M.S.S.; Ehrlich, M.; Spotti, A.P.; Marques, M.E.S. Embankment supported on piles with biaxial geogrids. Proc. Inst. Civ. Eng. Geotech. Eng. 2007, 160, 185–192. [Google Scholar] [CrossRef]
- Rowe, R.K.; Liu, K.-W. Three-dimensional finite element modelling of a full-scale geosynthetic-reinforced, pile-supported embankment. Can. Geotech. J. 2015, 52, 2041–2054. [Google Scholar] [CrossRef]
- Rui, R.; van Tol, A.F.; Xia, Y.Y.; van Eekelen, S.J.M.; Hu, G. Investigation of Soil-Arching Development in Dense Sand by 2D Model Tests. Geotech. Test. J. 2016, 39, 415–430. [Google Scholar] [CrossRef]
- Fagundes, D.F.; Almeida, M.S.; Thorel, L.; Blanc, M. Load transfer mechanism and deformation of reinforced piled embankments. Geotext. Geomembr. 2017, 45, 1–10. [Google Scholar] [CrossRef]
- Yu, Y.; Bathurst, R.J. Modelling of geosynthetic-reinforced column-supported embankments using 2D full-width model and modified unit cell approach. Geotext. Geomembr. 2017, 45, 103–120. [Google Scholar] [CrossRef]
- Fonseca, E.C.; Palmeira, E. Evaluation of the accuracy of design methods for geosynthetic-reinforced piled embankments. Can. Geotech. J. 2019, 56, 761–773. [Google Scholar] [CrossRef]
- Michalowski, R.L.; Wojtasik, A.; Duda, A.; Florkiewicz, A.; Park, D. Failure and Remedy of Column-Supported Embankment: Case Study. J. Geotech. Geoenviron. Eng. 2018, 144, 05017008. [Google Scholar] [CrossRef]
- Rui, R.; Han, J.; van Eekelen, S.J.M.; Wan, Y. Experimental Investigation of Soil-Arching Development in Unreinforced and Geosynthetic-Reinforced Pile-Supported Embankments. J. Geotech. Geoenviron. Eng. 2019, 145, 04018103. [Google Scholar] [CrossRef]
- Reshma, B.; Rajagopal, K.; Viswanadham, B.V.S. Centrifuge model studies on the settlement response of geosynthetic piled embankments. Geosynth. Int. 2020, 27, 170–181. [Google Scholar] [CrossRef]
- Shen, P.; Xu, C.; Han, J. Geosynthetic-reinforced pile-supported embankment: Settlement in different pile conditions. Geosynth. Int. 2020, 27, 315–331. [Google Scholar] [CrossRef]
- Pham, T.A.; Dias, D. 3D numerical study of the performance of geosynthetic-reinforced and pile-supported embankments. Soils Found. 2021, 61, 1319–1342. [Google Scholar] [CrossRef]
- King, D.J.; Bouazza, A.; Gniel, J.R.; Rowe, R.K.; Bui, H.H. Serviceability design for geosynthetic reinforced column supported embankments. Geotext. Geomembr. 2017, 45, 261–279. [Google Scholar] [CrossRef]
- Ghosh, C.; Madhav, M. Reinforced granular fill-soft soil system: Membrane effect. Geotext. Geomembr. 1994, 13, 743–759. [Google Scholar] [CrossRef]
- Palmeira, E.M.; Antunes, L.G. Large scale tests on geosynthetic reinforced unpaved roads subjected to surface maintenance. Geotext. Geomembr. 2010, 28, 547–558. [Google Scholar] [CrossRef]
- Lu, W.; Miao, L. A simplified 2-D evaluation method of the arching effect for geosynthetic-reinforced and pile-supported embankments. Comput. Geotech. 2015, 65, 97–103. [Google Scholar] [CrossRef]
- Feng, S.-J.; Ai, S.-G.; Chen, H.-X. Membrane effect of geosynthetic reinforcement subjected to localized sinkholes. Can. Geotech. J. 2018, 55, 1334–1348. [Google Scholar] [CrossRef]
- Zhuang, Y.; Cui, X.; Zhang, S.; Dai, G.; Zhao, X. The load transfer mechanism in reinforced piled embankment under cyclic loading and unloading. Eur. J. Environ. Civ. Eng. 2020, 26, 1364–1378. [Google Scholar] [CrossRef]
- Wang, X.; Wang, X.; Yang, G.; Yang, X.; Zhang, D. Research on the Load Transfer Law of Cross-Sections of Pile-Supported Reinforced Embankments Based on the Finite Element Method. Sustainability 2022, 14, 7831. [Google Scholar] [CrossRef]
- BS 8006-1; Code of Practice for Strengthened/Reinforced Soils and other Fills. BSI: London, UK, 2010.
- GGS. Recommendations for Design and Analysis of Earth Structures Using Geosynthetic Reinforcements—EBGEO; German Geotechnical Society: Berlin, Germany, 2011. [Google Scholar]
- van Eekelen, S.; Bezuijen, A.; van Tol, A. Analysis and modification of the British Standard BS8006 for the design of piled embankments. Geotext. Geomembr. 2011, 29, 345–359. [Google Scholar] [CrossRef]
- van Eekelen, S.; Bezuijen, A.; van Tol, A. Validation of analytical models for the design of basal reinforced piled embankments. Geotext. Geomembr. 2015, 43, 56–81. [Google Scholar] [CrossRef]
- Zhuang, Y.; Ellis, E. Finite-element analysis of a piled embankment with reinforcement compared with BS 8006 predictions. Géotechnique 2014, 64, 910–917. [Google Scholar] [CrossRef]
- Zhuang, Y.; Ellis, E.A. Finite-element analysis of a piled embankment with reinforcement and subsoil. Géotechnique 2016, 66, 596–601. [Google Scholar] [CrossRef]
- Zhuang, Y.; Wang, K.Y.; Liu, H.L. A simplified model to analyze the reinforced piled embankments. Geotext. Geomembr. 2014, 42, 154–165. [Google Scholar] [CrossRef]
- Pham, T.A.; Dias, D. A simplified model for the analysis of piled embankments considering arching and subsoil consolidation. Geotext. Geomembr. 2022, 50, 408–431. [Google Scholar] [CrossRef]
- Hewlett, W.J.; Randolph, M.F. Analysis of piled embankments. Ground Eng. 1988, 21, 12–18. [Google Scholar]
- BS 8006-1; Code of Practice for Strengthened/Reinforced Soils and other Fills, Incorporating Corrigendum 1. BSI: London, UK, 2012.
- Zhuang, Y.; Wang, K. Three-dimensional behavior of biaxial geogrid in a piled embankment: Numerical investigation. Can. Geotech. J. 2015, 52, 1629–1635. [Google Scholar] [CrossRef]
- Russell, D.; Pierpoint, N. An assessment of design methods for piled embankments. Ground Eng. 1997, 30, 39–44. [Google Scholar]
- Gourc, J.; Villard, P. Reinforcement by membrane effect: Application to embankments on soil liable to subsidence. In Proceedings of the 2nd Asian Geosynthetics Conference; The Institution of Engineers Malaysia: Kuala Lumpur, Malaysia, 2000; Volume 1, pp. 55–72. [Google Scholar]
- Hufenus, R.; Rueegger, R.; Banjac, R.; Mayor, P.; Springman, S.; Bronnimann, R. Full-scale field tests on geosynthetic reinforced unpaved roads on soft subgrade. Geotext. Geomembr. 2006, 24, 21–37. [Google Scholar] [CrossRef]
- Abdullah, C.H.; Edil, T.B. Behaviour of geogrid-reinforced load transfer platforms for embankment on rammed aggregate piers. Geosynth. Int. 2007, 14, 141–153. [Google Scholar] [CrossRef]
- Chen, R.; Xu, Z.; Chen, Y.; Ling, D.; Zhu, B. Field tests on pile-supported embankments over soft ground. J. Geotech. Geoenviron. Eng. 2010, 136, 777–785. [Google Scholar] [CrossRef]
- Zhuang, Y.; Ellis, E.; Yu, H.S. Three-dimensional finite-element analysis of arching in a piled embankment. Geotechnique 2012, 62, 1127–1131. [Google Scholar] [CrossRef]
- Lai, H.-J.; Zheng, J.-J.; Zhang, J.; Zhang, R.-J.; Cui, L. DEM analysis of “soil”-arching within geogrid-reinforced and unreinforced pile-supported embankments. Comput. Geotech. 2014, 61, 13–23. [Google Scholar] [CrossRef]
- Heitz, C.; Lüking, J.; Kempfert, H.-G. Geosynthetic reinforced and pile supported embankments under static and cyclic loading. Strain 2008, 1, 1–5. [Google Scholar]
- Chen, R.; Wang, Y.; Ye, X.; Bian, X.; Dong, X. Tensile force of geogrids embedded in pile-supported reinforced embankment: A full-scale experimental study. Geotext. Geomembr. 2016, 44, 157–169. [Google Scholar] [CrossRef]
- Liu, H.; Yang, G.; Wang, H.; Xiong, B. A large-scale test of reinforced soil railway embankment with soilbag facing under dynamic loading. Géoméch. Eng. 2017, 12, 579–593. [Google Scholar] [CrossRef]
- Aqoub, K.; Mohamed, M.; Sheehan, T. Quantitative analysis of shallow unreinforced and reinforced piled embankments with different heights subject to cyclic loads: Experimental study. Soil Dyn. Earthq. Eng. 2020, 138, 106277. [Google Scholar] [CrossRef]
- Patel, R.M.; Jayalekshmi, B.R.; Shivashankar, R. Stress Distribution in Basal Geogrid Reinforced Pile-Supported Embankments Under Seismic Loads. Transp. Infrastruct. Geotechnol. 2021, 8, 516–541. [Google Scholar] [CrossRef]
- Zhuang, Y.; Cheng, X.; Wang, K. Analytical solution for geogrid-reinforced piled embankments under traffic loads. Geosynth. Int. 2020, 27, 249–260. [Google Scholar] [CrossRef]
- Zhuang, Y.; Wang, K.Y. Finite-element analysis of arching in highway piled embankments subjected to moving vehicle loads. Géotechnique 2018, 68, 857–868. [Google Scholar] [CrossRef]
- Zhang, Y.M.; Liang, B. Dynamic response of expressway subgrade under geometric irregularity conditions. J. Lanzhou Railw. Univ. 2001, 20, 66–69. [Google Scholar]
- Huang, Y.H. Pavement Analysis and Design; Pearson, Prentice Hall: Upper Saddle River, NJ, USA, 2004. [Google Scholar]
- Zhuang, Y.; Ellis, E.A.; Yu, H.S. Plane strain FE analysis of arching in a piled embankment. In Proceedings of the Institution of Civil Engineers—Ground Improvement; ICE: London, UK, 2010; Volume 163, pp. 207–215. [Google Scholar] [CrossRef]
- Iglesia, G.R.; Einstein, H.H.; Whitman, R.V. (Eds.) Determination of vertical loading on underground structures based on an arching evolution concept. In Geo-Engineering for Underground Facilities; ASCE: Reston, VA, USA, 1999. [Google Scholar]
- Halvordson, K.; Plaut, R.; Filz, G. Analysis of geosynthetic reinforcement in pile-supported embankments, Part II: 3D cable-net model. Geosynth. Int. 2010, 17, 68–76. [Google Scholar] [CrossRef]
- Van Eekelen, S.J.; Bezuijen, A.; Lodder, H.; van Tol, A. Model experiments on piled embankments, Part II. Geotext. Geomembr. 2012, 32, 82–94. [Google Scholar] [CrossRef]
- van Eekelen, S.J.M.; Bezuijen, A.; Lodder, K.J.; van Tol, A.F. Model experiments on piled embankments, Part I. Geotext. Geomembr. 2012, 32, 69–81. [Google Scholar] [CrossRef]
- Cai, Y.; Wu, T.; Guo, L.; Wang, J. Stiffness degradation and plastic strain accumulation of clay under cyclic load with principal stress rotation and deviatoric stress variation. J. Geotech. Geoenviron. Eng. 2018, 144, 04018021. [Google Scholar] [CrossRef]










| h (m) | γ (kN/m3) | c′ (kPa) | φ′ (Degree) | E (MPa) | Ψ (Degree) | v | λ | κ | M | e1 | |
|---|---|---|---|---|---|---|---|---|---|---|---|
| AC layer | 0.15 | 21.0 | - | - | 4000 | - | 0.25 | - | - | - | - |
| Base | 0.20 | 20.0 | - | - | 1000 | - | 0.25 | - | - | - | - |
| Subbase | 0.25 | 18.0 | - | - | 500 | - | 0.25 | - | - | - | - |
| Embankment | 2.0, 3.5, or 6.5 | 17.0 | 1 | 30 | 25 | 0 | 0.20 | - | - | - | |
| Pile | 6.00 | 23.5 | - | - | 20,000 | - | 0.20 | - | - | - | |
| Subsoil | 6.00 | 17.0 | - | 26 | - | - | 0.30 | 0.3 | 0.1 | 1.03 | 1.79 |
| Geogrid | Tensile stiffness J = 0, 1, 3 or 7 MN/m, v = 0 | ||||||||||
Publisher’s Note: MDPI stays neutral with regard to jurisdictional claims in published maps and institutional affiliations. |
© 2022 by the authors. Licensee MDPI, Basel, Switzerland. This article is an open access article distributed under the terms and conditions of the Creative Commons Attribution (CC BY) license (https://creativecommons.org/licenses/by/4.0/).
Share and Cite
Zhuang, Y.; Hu, S.; Song, X.; Zhang, H.; Chen, W. Membrane Effect of Geogrid Reinforcement for Low Highway Piled Embankment under Moving Vehicle Loads. Symmetry 2022, 14, 2162. https://doi.org/10.3390/sym14102162
Zhuang Y, Hu S, Song X, Zhang H, Chen W. Membrane Effect of Geogrid Reinforcement for Low Highway Piled Embankment under Moving Vehicle Loads. Symmetry. 2022; 14(10):2162. https://doi.org/10.3390/sym14102162
Chicago/Turabian StyleZhuang, Yan, Shunlei Hu, Xiangwei Song, Haoru Zhang, and Wang Chen. 2022. "Membrane Effect of Geogrid Reinforcement for Low Highway Piled Embankment under Moving Vehicle Loads" Symmetry 14, no. 10: 2162. https://doi.org/10.3390/sym14102162
APA StyleZhuang, Y., Hu, S., Song, X., Zhang, H., & Chen, W. (2022). Membrane Effect of Geogrid Reinforcement for Low Highway Piled Embankment under Moving Vehicle Loads. Symmetry, 14(10), 2162. https://doi.org/10.3390/sym14102162
