Volterra–Lyapunov Stability Analysis of the Solutions of Babesiosis Disease Model
Abstract
:1. Introduction
2. Mathematical Model
2.1. Equilibrium Points
2.2. Stability of the Disease-Free Equilibria
3. Stability Analysis of the Endemic Equilibria
3.1. Notations
3.2. Global Stability of the Endemic Equilibrium
- Condition 1..
- Condition 2. is diagonal stable.
- Condition 3. is diagonal stable.
- Clearly .
- Let us delete the last row and last column of matrix and call it matrix It follows thatand . AndTherefore, is diagonal stable.
- Finally, using Proposition 1, the diagonal stability of is determined. Let us delete the last row and last column of matrix and define the matrix One derives thatwhere,
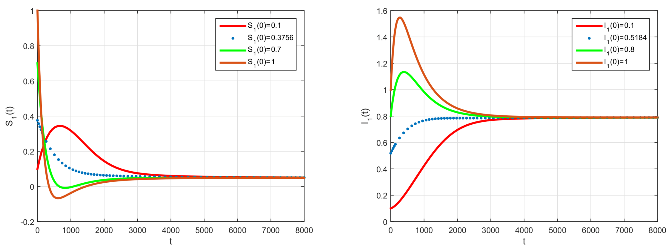
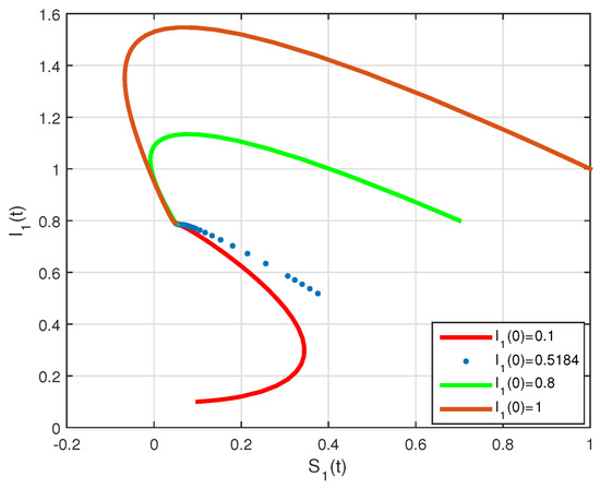
4. Numerical Results
5. Conclusions
Author Contributions
Funding
Institutional Review Board Statement
Informed Consent Statement
Data Availability Statement
Acknowledgments
Conflicts of Interest
References
- Sadiq, S.F.; Khan, M.A.; Islam, S.; Zaman, G.; Jung, I.H.; Khan, S.A. Optimal control of an epidemic model of leptospirosis with nonlinear saturated incidences. Annu. Res. Rev. Biol. 2014, 4, 560–576. [Google Scholar] [CrossRef]
- Panigoro, H.S.; Suryanto, A.; Kusumawinahyu, W.M.; Darti, I. Dynamics of an eco-epidemic predator-prey model involving fractional derivatives with power-law and Mittag-Leffler kernel. Symmetry 2021, 13, 785. [Google Scholar] [CrossRef]
- Ibrahim, O.M.; Ekundayo, D.D. COVID-19 pandemic in Nigeria: Misconception among individuals, impact on animals and the role of mathematical epidemiologists. Preprints 2020. [Google Scholar] [CrossRef]
- Hussain, T.; Ozair, M.; Okosun, K.O.; Ishfagh, M.; Awan, A.U.; Aslam, A. Dynamics of swine influenza model with optimal control. Adv. Differ. Equ. 2019, 2019, 508. [Google Scholar] [CrossRef]
- Rohith, G.; Devika, K.B. Dynamics and control of COVID-19 pandemic with nonlinear incidence rates. Nonlinear Dyn. 2020, 101, 2013–2026. [Google Scholar] [CrossRef]
- Momoh, A.A.; Abdullahi, H.M.; Abimbola, N.G.A.; Michael, A.I. Modeling, optimal control of intervention strategies and cost effectiveness analysis for buruli ulcer model. Alex. Eng. J. 2021, 60, 2245–2264. [Google Scholar] [CrossRef]
- Rezapour, S.; Mohammadi, H.; Jajarmi, A. A new mathematical model for zika virus transmission. Adv. Differ. Equ. 2020, 2020, 589. [Google Scholar] [CrossRef]
- Benz, K.; Rech, C.; Mercorelli, P.; Sergiyenko, O. Two cascaded and extended kalman filters combined with sliding mode control for sustainable management of marine fish stocks. J. Autom. Mob. Robot. Intell. Syst. 2020, 14, 28–35. [Google Scholar]
- World Organisation for Animal Health. Manual of Diagnostic Tests and Vaccines for Terrestrial Animals; OIE: Paris, France, 2020. [Google Scholar]
- Johnson, N.; Phipps, L.P.; McFadzean, H.; Brlow, A.M. An outbreak of bovine babesiosis in February, 2019, triggered by above average winter temperatures in southern England and co-infection with Babesia divergens and Anaplasma phagocytophilum. Parasites Vectors 2020, 13, 305. [Google Scholar] [CrossRef]
- Solorio-Rivera, J.L.; Rodrıguez-Vivas, R.I. Epidemiology of the babesiosis bovis. II. Epidemiologic indicators and elements for the design of strategies of control. BioMed 1997, 8, 95–105. [Google Scholar]
- Benavides, E. Considerations with Respect to the Epizootilogia of Anaplasmosis and Babesiosis in the Bovines; ACOVEZ: Bogotá, Colombia, 1985; Volume 9, pp. 4–11. [Google Scholar]
- Hartemink, N.A.; Randolph, S.E.; Davis, S.A.; Heesterbeek, J.A. The basic reproduction number for complex disease systems: Defining R0 for tick-borne pathogens. Am. Nat. 2008, 171, 743–754. [Google Scholar] [CrossRef] [PubMed] [Green Version]
- Aranda, D.F.; Trejos, D.Y.; Valverde, J.C.; Villanueva, R.J. A mathematical model for Babesiosis disease in bovine and tick populations. Math. Methods Appl. Sci. 2012, 35, 249–256. [Google Scholar] [CrossRef]
- Zafar, Z.U.A.; Rehan, K.; Mushtaq, M. Fractional-order scheme for bovine babesiosis disease and tick populations. Adv. Differ. Equ. 2017, 86. [Google Scholar] [CrossRef] [Green Version]
- Dang, Q.A.; Hoang, M.T.; Trejos, D.Y.; Valverde, J.C. Feedback control variables to restrain the Babesiosis disease. Math. Methods Appl. Sci. 2019, 42, 7517–7527. [Google Scholar] [CrossRef]
- Pourbashash, H. Global analysis of the babesiosis disease in bovine and tick populations model and numerical simulation with multistage modified sinc method. Iran. J. Sci. Technol. Trans. Sci. 2018, 42, 39–46. [Google Scholar] [CrossRef]
- Bentaleb, D.; Amine, S. Lyapunov function and global stability for a two-strain SEIR model with bilinear and nonmonotone incidence. Int. J. Biomath. 2019, 12, 1950021. [Google Scholar] [CrossRef]
- Upadhyay, R.K.; Pal, A.K.; Kumari, S.; Roy, P. Dynamics of an SEIR epidemic model with nonlinear incidence and treatment rates. Nonlinear Dyn. 2019, 96, 2351–2368. [Google Scholar] [CrossRef]
- Chen, X.; Cao, J.; Park, J.H.; Qiu, J. Stability analysis and estimation of domain of attraction for the endemic equilibrium of an SEIQ epidemic model. Nonlinear Dyn. 2017, 87, 975–985. [Google Scholar] [CrossRef]
- Liao, S.; Wang, J. Global stability analysis of epidemiological models based on Volterra-Lyapunov stable matrices. Chaos Solitons Fractals 2012, 45, 966–977. [Google Scholar] [CrossRef]
- Masoumnezhad, M.; Rajabi, M.; Chapnevis, A.; Dorofeev, A.; Shateyi, S.; Karga, N.S.; Nik, H.S. An approach for the global stability of mathematical model of an infectious disease. Symmetry 2020, 12, 1778. [Google Scholar] [CrossRef]
- Parsaei, M.R.; Javidan, R.; Kargar, N.S.; Nik, H.S. On the global stability of an epidemic model of computer viruses. Theory Biosci. 2017, 136, 169–178. [Google Scholar] [CrossRef] [PubMed]
- Zahedi, M.S.; Kargar, N.S. The Volterra-Lyapunov matrix theory for global stability analysis of a model of the HIV/AIDS. Int. J. Biomath. 2016, 10, 1750002. [Google Scholar] [CrossRef]
- Driessche, V.D.; Watmough, J. Reproduction numbers and sub-threshold endemic equilibria for compartmental models of disease transmission. Math. Biosci. 2002, 180, 29–48. [Google Scholar] [CrossRef]
- Cross, G.W. Three types of matrix stability. Linear Algebra Appl. 1978, 20, 253–263. [Google Scholar] [CrossRef] [Green Version]
- Rinaldi, F. Global stability results for epidemic models with latent period. IMA J. Math. Appl. Med. Biol. 1990, 7, 69–75. [Google Scholar] [CrossRef]
- Redheffer, R. Volterra multipliers I. SIAM J. Algebr. Discret. Methods 1985, 6, 592–611. [Google Scholar] [CrossRef]
- Redheffer, R. Volterra multipliers II. SIAM J. Algebr. Discret. Methods 1985, 6, 612–623. [Google Scholar] [CrossRef]












| Bovine Population | Description | Ticks Population | Description |
|---|---|---|---|
| Total | Total | ||
| Susceptible | Susceptible | ||
| Infected | Infected | ||
| Controlled | - | - |
Publisher’s Note: MDPI stays neutral with regard to jurisdictional claims in published maps and institutional affiliations. |
© 2021 by the authors. Licensee MDPI, Basel, Switzerland. This article is an open access article distributed under the terms and conditions of the Creative Commons Attribution (CC BY) license (https://creativecommons.org/licenses/by/4.0/).
Share and Cite
Chien, F.; Shateyi, S. Volterra–Lyapunov Stability Analysis of the Solutions of Babesiosis Disease Model. Symmetry 2021, 13, 1272. https://doi.org/10.3390/sym13071272
Chien F, Shateyi S. Volterra–Lyapunov Stability Analysis of the Solutions of Babesiosis Disease Model. Symmetry. 2021; 13(7):1272. https://doi.org/10.3390/sym13071272
Chicago/Turabian StyleChien, Fengsheng, and Stanford Shateyi. 2021. "Volterra–Lyapunov Stability Analysis of the Solutions of Babesiosis Disease Model" Symmetry 13, no. 7: 1272. https://doi.org/10.3390/sym13071272
APA StyleChien, F., & Shateyi, S. (2021). Volterra–Lyapunov Stability Analysis of the Solutions of Babesiosis Disease Model. Symmetry, 13(7), 1272. https://doi.org/10.3390/sym13071272

