Optimized Probes of the CP Nature of the Top Quark Yukawa Coupling at Hadron Colliders
Abstract
:1. Introduction
2. Optimal CP-Odd Observable in the bW → th Process
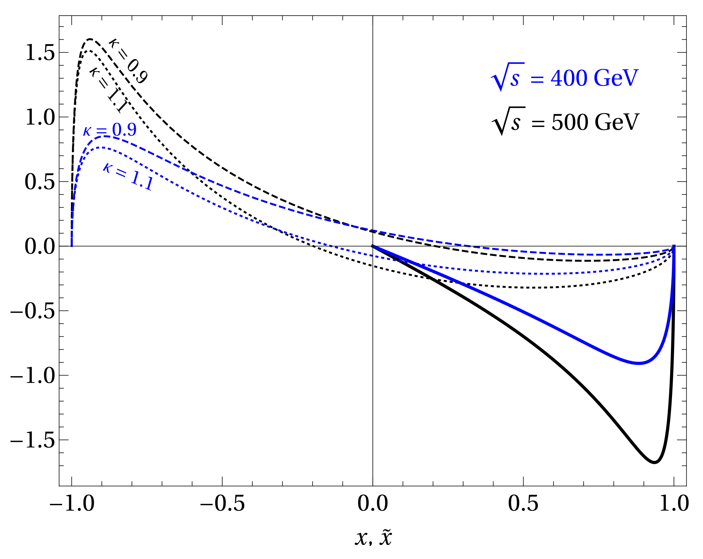
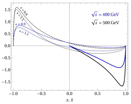
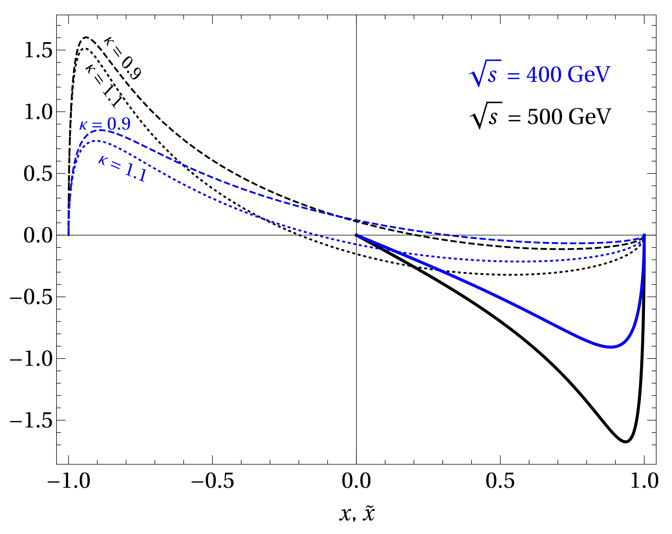
2.1. Parton Level Analysis
2.2. Hadronic Process
- Choose the bins for between and .
- Fix and extract from the MC simulation the mean in each of the bins. The obtained value corresponds to the weight in this bin, see Equation (25).
- Use this information to weigh experimental events bin-by-bin with . The normalization of is fixed by the requirement .
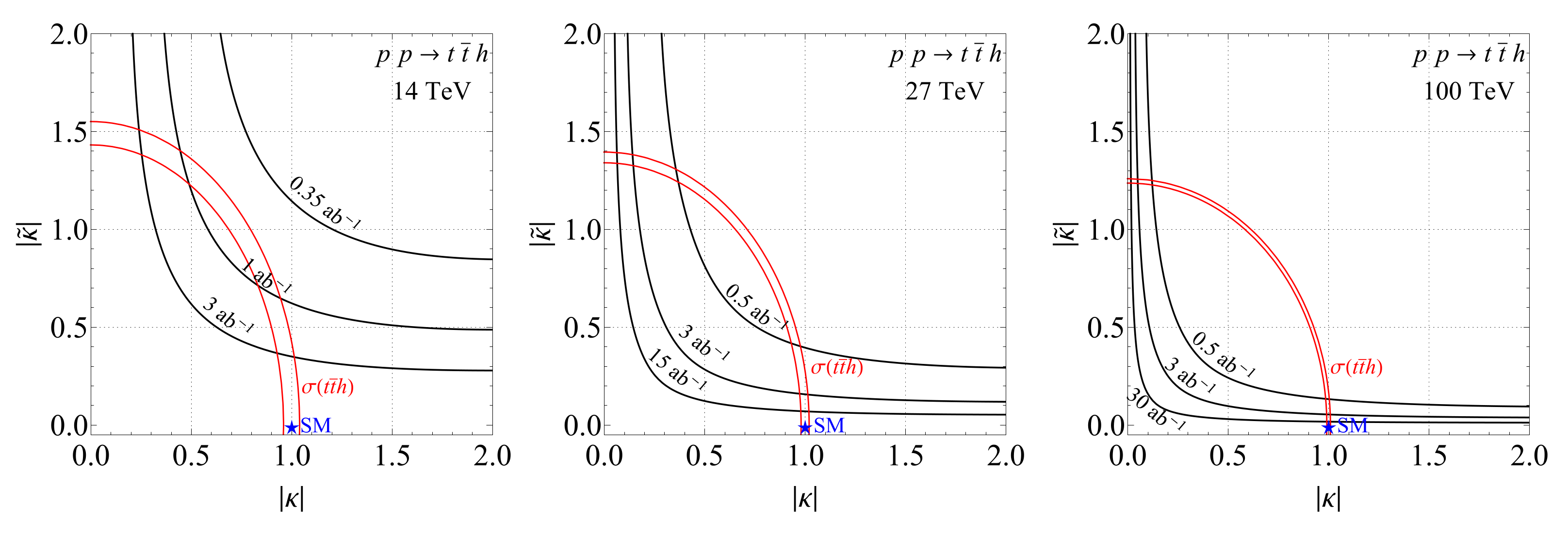
2.3. Limits in the Plane from at Event Reconstruction Level
- Exactly 3 b-tagged jets with and GeV,
- One additional (non-tagged) light jet exclusively in the forward direction with and GeV,
- One isolated light lepton with and GeV.
3. CP-Odd Observables in the Process
3.1. Laboratory Frame -Odd Observables in Production
3.2. NN-Based Optimized -Odd Observables
3.2.1. Phase-Space Optimization of a Single
3.2.2. Neural Network as a -Odd Observable
3.2.3. First Order Approximation of ;)
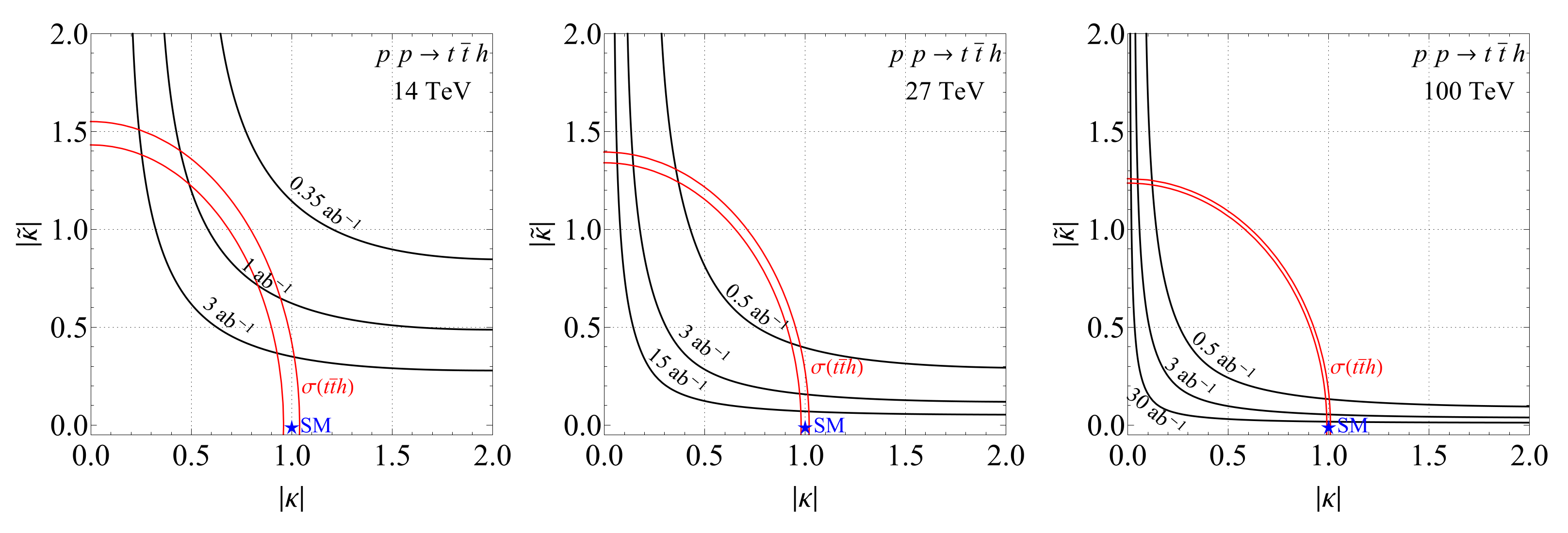
3.3. Bounds in the Plane
- jets of any flavor with and GeV.
- of the above jets are b-tagged.
- 2 oppositely charged light leptons with and GeV.
4. Conclusions
Author Contributions
Funding
Institutional Review Board Statement
Informed Consent Statement
Data Availability Statement
Conflicts of Interest
References
- Aguilar-Saavedra, J.A. A Minimal set of top-Higgs anomalous couplings. Nucl. Phys. 2009, B821, 215–227. [Google Scholar] [CrossRef] [Green Version]
- Ellis, J.; Hwang, D.S.; Sakurai, K.; Takeuchi, M. Disentangling Higgs-Top Couplings in Associated Production. J. High Energy Phys. 2014, 2014, 4. [Google Scholar] [CrossRef] [Green Version]
- Aad, G.; Abbott, B.; Abdallah, J.; Abdinov, O.; Abeloos, B.; Aben, R.; AbouZeid, O.S.; Abraham, N.L.; Abramowicz, H.; Abreu, H.; et al. Measurements of the Higgs boson production and decay rates and constraints on its couplings from a combined ATLAS and CMS analysis of the LHC pp collision data at s=7 and 8 TeV. J. High Energy Phys. 2016, 8, 45. [Google Scholar] [CrossRef]
- Bhattacharyya, G.; Das, D.; Pal, P.B. Modified Higgs couplings and unitarity violation. Phys. Rev. D 2013, 87, 011702. [Google Scholar] [CrossRef] [Green Version]
- Brod, J.; Haisch, U.; Zupan, J. Constraints on CP-violating Higgs couplings to the third generation. J. High Energy Phys. 2013, 11, 180. [Google Scholar] [CrossRef] [Green Version]
- Boudjema, F.; Godbole, R.M.; Guadagnoli, D.; Mohan, K.A. Lab-frame observables for probing the top-Higgs interaction. Phys. Rev. D 2015, 92, 015019. [Google Scholar] [CrossRef] [Green Version]
- Grzadkowski, B.; Gunion, J.F. Using decay angle correlations to detect CP violation in the neutral Higgs sector. Phys. Lett. B 1995, 350, 218–224. [Google Scholar] [CrossRef] [Green Version]
- Demartin, F.; Maltoni, F.; Mawatari, K.; Page, B.; Zaro, M. Higgs characterisation at NLO in QCD: CP properties of the top-quark Yukawa interaction. Eur. Phys. J. C 2014, 74, 3065. [Google Scholar] [CrossRef] [Green Version]
- Buckley, M.R.; Goncalves, D. Boosting the Direct CP Measurement of the Higgs-Top Coupling. Phys. Rev. Lett. 2016, 116, 091801. [Google Scholar] [CrossRef] [Green Version]
- Mileo, N.; Kiers, K.; Szynkman, A.; Crane, D.; Gegner, E. Pseudoscalar top-Higgs coupling: Exploration of CP-odd observables to resolve the sign ambiguity. J. High Energy Phys. 2016, 7, 056. [Google Scholar] [CrossRef] [Green Version]
- Gritsan, A.V.; Röntsch, R.; Schulze, M.; Xiao, M. Constraining anomalous Higgs boson couplings to the heavy flavor fermions using matrix element techniques. Phys. Rev. D 2016, 94, 055023. [Google Scholar] [CrossRef] [Green Version]
- Li, J.; Si, Z.g.; Wu, L.; Yue, J. Central-edge asymmetry as a probe of Higgs-top coupling in tt¯h production at the LHC. Phys. Lett. B 2018, 779, 72–76. [Google Scholar] [CrossRef]
- Dos Santos, S.A.; Fiolhais, M.C.N.; Frederix, R.; Gonçalo, R.; Gouveia, E.; Martins, R.; Onofre, A.; Pease, C.; Peixoto, H.; Reigoto, A.; et al. Probing the CP nature of the Higgs coupling in tt¯h events at the LHC. Phys. Rev. D 2017, 96, 013004. [Google Scholar] [CrossRef] [Green Version]
- Gonçalves, D.; Kong, K.; Kim, J.H. Probing the top-Higgs Yukawa CP structure in dileptonic tt¯h with M2-assisted reconstruction. J. High Energy Phys. 2018, 6, 079. [Google Scholar] [CrossRef] [Green Version]
- Kobakhidze, A.; Wu, L.; Yue, J. Anomalous Top-Higgs Couplings and Top Polarisation in Single Top and Higgs Associated Production at the LHC. J. High Energy Phys. 2014, 10, 100. [Google Scholar] [CrossRef] [Green Version]
- Yue, J. Enhanced thj signal at the LHC with h→γγ decay and CP-violating top-Higgs coupling. Phys. Lett. B 2015, 744, 131–136. [Google Scholar] [CrossRef] [Green Version]
- Demartin, F.; Maltoni, F.; Mawatari, K.; Zaro, M. Higgs production in association with a single top quark at the LHC. Eur. Phys. J. C 2015, 75, 267. [Google Scholar] [CrossRef] [Green Version]
- Barger, V.; Hagiwara, K.; Zheng, Y.J. Probing the Higgs Yukawa coupling to the top quark at the LHC via single top+Higgs production. Phys. Rev. D 2019, 99, 031701. [Google Scholar] [CrossRef] [Green Version]
- Kraus, M.; Martini, T.; Peitzsch, S.; Uwer, P. Exploring BSM Higgs couplings in single top-quark production. arXiv 2019, arXiv:1908.09100. [Google Scholar]
- Bernreuther, W.; Brandenburg, A. Tracing CP violation in the production of top quark pairs by multiple TeV proton proton collisions. Phys. Rev. D 1994, 49, 4481–4492. [Google Scholar] [CrossRef] [Green Version]
- Barger, V.; Hagiwara, K.; Zheng, Y.J. Probing the top Yukawa coupling at the LHC via associated production of single top and Higgs. arXiv 2019, arXiv:1912.11795. [Google Scholar]
- Patrick, R.; Scaffidi, A.; Sharma, P. Top polarisation as a probe of CP-mixing top-Higgs coupling in tjh signals. Phys. Rev. D 2020, 101, 093005. [Google Scholar] [CrossRef]
- Ferroglia, A.; Fiolhais, M.C.; Gouveia, E.; Onofre, A. Role of the tt¯h rest frame in direct top-quark Yukawa coupling measurements. Phys. Rev. D 2019, 100, 075034. [Google Scholar] [CrossRef] [Green Version]
- Faroughy, D.A.; Kamenik, J.F.; Košnik, N.; Smolkovič, A. Probing the CP nature of the top quark Yukawa at hadron colliders. J. High Energy Phys. 2020, 2, 085. [Google Scholar] [CrossRef] [Green Version]
- Fajfer, S.; Kamenik, J.F.; Melic, B. Discerning New Physics in Top-Antitop Production using Top Spin Observables at Hadron Colliders. J. High Energy Phys. 2012, 8, 114. [Google Scholar] [CrossRef] [Green Version]
- Durieux, G.; Grossman, Y. Probing CP violation systematically in differential distributions. Phys. Rev. D 2015, 92, 076013. [Google Scholar] [CrossRef] [Green Version]
- Bortolato, B.; Kamenik, J.F.; Košnik, N.; Smolkovič, A. Optimized probes of CP -odd effects in the tt¯h process at hadron colliders. Nucl. Phys. B 2021, 964, 115328. [Google Scholar] [CrossRef]
- Mangano, M.L.; Zanderighi, G.; Saavedra, J.A.A.; Alekhin, S.; Badger, S.; Bauer, C.W.; Becher, T.; Bertone, V.; Bonvini, M.; Boselli, S.; et al. Physics at a 100 TeV pp Collider: Standard Model Processes. CERN Yellow Rep. 2017, 1–254. [Google Scholar] [CrossRef]
- Dicus, D.A.; Sudarshan, E.C.G.; Tata, X. Factorization Theorem for Decaying Spinning Particles. Phys. Lett. 1985, 154B, 79–85. [Google Scholar] [CrossRef]
- Bernreuther, W.; Brandenburg, A.; Si, Z.G.; Uwer, P. Top quark pair production and decay at hadron colliders. Nucl. Phys. 2004, B690, 81–137. [Google Scholar] [CrossRef] [Green Version]
- Bjorken, J.D.; Drell, S.D. Relativistic Quantum Mechanics; International Series in Pure and Applied Physics; McGraw-Hill: New York, NY, USA, 1965. [Google Scholar]
- Atwood, D.; Bar-Shalom, S.; Eilam, G.; Soni, A. CP violation in top physics. Phys. Rept. 2001, 347, 1–222. [Google Scholar] [CrossRef] [Green Version]
- Atwood, D.; Soni, A. Analysis for magnetic moment and electric dipole moment form-factors of the top quark via e+e-→tt¯. Phys. Rev. D 1992, 45, 2405–2413. [Google Scholar] [CrossRef]
- Gunion, J.F.; Grzadkowski, B.; He, X.G. Determining the top - anti-top and Z Z couplings of a neutral Higgs boson of arbitrary CP nature at the NLC. Phys. Rev. Lett. 1996, 77, 5172–5175. [Google Scholar] [CrossRef] [Green Version]
- Alwall, J.; Frederix, R.; Frixione, S.; Hirschi, V.; Maltoni, F.; Mattelaer, O.; Shao, H.S.; Stelzer, T.; Torrielli, P.; Zaro, M. The automated computation of tree-level and next-to-leading order differential cross sections, and their matching to parton shower simulations. J. High Energy Phys. 2014, 7, 79. [Google Scholar] [CrossRef] [Green Version]
- Artoisenet, P.; Frederix, R.; Mattelaer, O.; Rietkerk, R. Automatic spin-entangled decays of heavy resonances in Monte Carlo simulations. J. High Energy Phys. 2013, 3, 15. [Google Scholar] [CrossRef] [Green Version]
- Degrande, C.; Duhr, C.; Fuks, B.; Grellscheid, D.; Mattelaer, O.; Reiter, T. UFO - The Universal FeynRules Output. Comput. Phys. Commun. 2012, 183, 1201–1214. [Google Scholar] [CrossRef] [Green Version]
- Artoisenet, P.; de Aquino, P.; Demartin, F.; Frederix, R.; Frixione, S.; Maltoni, F.; Mandal, M.K.; Mathews, P.; Mawatari, K.; Ravindran, V.; et al. A framework for Higgs characterisation. J. High Energy Phys. 2013, 11, 43. [Google Scholar] [CrossRef] [Green Version]
- Broggio, A.; Ferroglia, A.; Frederix, R.; Pagani, D.; Pecjak, B.D.; Tsinikos, I. Top-quark pair hadroproduction in association with a heavy boson at NLO+NNLL including EW corrections. J. High Energy Phys. 2019, 8, 39. [Google Scholar] [CrossRef] [Green Version]
- Sjostrand, T.; Mrenna, S.; Skands, P.Z. A Brief Introduction to PYTHIA 8.1. Comput. Phys. Commun. 2008, 178, 852–867. [Google Scholar] [CrossRef] [Green Version]
- Cacciari, M.; Salam, G.P.; Soyez, G. FastJet User Manual. Eur. Phys. J. 2012, C72, 1896. [Google Scholar] [CrossRef] [Green Version]
- De Favereau, J.; Delaere, C.; Demin, P.; Giammanco, A.; Lemaître, V.; Mertens, A.; Selvaggi, M. DELPHES 3, A modular framework for fast simulation of a generic collider experiment. J. High Energy Phys. 2014, 2, 57. [Google Scholar] [CrossRef] [Green Version]
- Mangano, M.L.; Moretti, M.; Piccinini, F.; Treccani, M. Matching matrix elements and shower evolution for top-quark production in hadronic collisions. J. High Energy Phys. 2007, 1, 13. [Google Scholar] [CrossRef]
- Farina, M.; Grojean, C.; Maltoni, F.; Salvioni, E.; Thamm, A. Lifting degeneracies in Higgs couplings using single top production in association with a Higgs boson. J. High Energy Phys. 2013, 5, 22. [Google Scholar] [CrossRef] [Green Version]
- Aaboud, M.; Aad, G.; Abbott, B.; Abdinov, O.; Abeloos, B.; Abidi, S.; AbouZeid, O.; Abraham, N.; Abramowicz, H.; Abreu, H.; et al. Search for the standard model Higgs boson produced in association with top quarks and decaying into a bb¯ pair in pp collisions at s = 13 TeV with the ATLAS detector. Phys. Rev. 2018, D97, 072016. [Google Scholar] [CrossRef] [Green Version]
- ATLAS Collaboration. Observation of Higgs boson production in association with a top quark pair at the LHC with the ATLAS detector. Phys. Lett. 2018, B784, 173–191. [Google Scholar] [CrossRef]
- Krohn, D.; Schwartz, M.D.; Lin, T.; Waalewijn, W.J. Jet Charge at the LHC. Phys. Rev. Lett. 2013, 110, 212001. [Google Scholar] [CrossRef] [PubMed]
- Fraser, K.; Schwartz, M.D. Jet Charge and Machine Learning. J. High Energy Phys. 2018, 10, 93. [Google Scholar] [CrossRef] [Green Version]
- A New Tagger for the Charge Identification of b-Jets; Technical Report ATL-PHYS-PUB-2015-040; CERN: Geneva, Switzerland, 2015.
- Measurement of the Jet Vertex Charge Algorithm Performance for Identified b-Jets in tt¯ Events in pp Collisions with the ATLAS Detector; Technical Report ATLAS-CONF-2018-022; CERN: Geneva, Switzerland, 2018.
- Brehmer, J.; Kling, F.; Espejo, I.; Cranmer, K. MadMiner: Machine learning-based inference for particle physics. Comput. Softw. Big Sci. 2020, 4, 3. [Google Scholar] [CrossRef] [Green Version]
- Abadi, M.; Agarwal, A.; Barham, P.; Brevdo, E.; Chen, Z.; Citro, C.; Corrado, G.S.; Davis, A.; Dean, J.; Devin, M.; et al. TensorFlow: Large-Scale Machine Learning on Heterogeneous Systems. 2015. Available online: tensorflow.org (accessed on 21 May 2021).
- Bergstra, J.; Yamins, D.; Cox, D.D. Making a Science of Model Search: Hyperparameter Optimization in Hundreds of Dimensions for Vision Architectures. In Proceedings of the 30th International Conference on International Conference on Machine Learning (ICML’13)—Volume 28, Atlanta, GA, USA, 16–21 June 2013; pp. 115–123. [Google Scholar]
- Clavijo, J.M.; Glaysher, P.; Katzy, J.M. Adversarial domain adaptation to reduce sample bias of a high energy physics classifier. arXiv 2020, arXiv:2005.00568. [Google Scholar]
- Cepeda, M.; Gori, S.; Ilten, P.; Kado, M.; Riva, F.; Abdul Khalek, R.; Aboubrahim, A.; Alimena, J.; Alioli, S.; Alves, A.; et al. Report from Working Group 2: Higgs Physics at the HL-LHC and HE-LHC. In Report on the Physics at the HL-LHC, and Perspectives for the HE-LHC; Dainese, A., Mangano, M., Meyer, A.B., Nisati, A., Salam, G., Vesterinen, M.A., Eds.; 2019; Volume 7, pp. 221–584. Available online: https://e-publishing.cern.ch/index.php/CYRM/article/view/952 (accessed on 21 May 2021). [CrossRef]
- Abada, A.; Abbrescia, M.; AbdusSalam, S.S.; Abdyukhanov, I.; Fernandez, J.A.; Abramov, A.; Aburaia, M.; Acar, A.O.; Adzic, P.R.; Agrawal, P.; et al. FCC Physics Opportunities: Future Circular Collider Conceptual Design Report Volume 1. Eur. Phys. J. C 2019, 79, 474. [Google Scholar] [CrossRef] [Green Version]










| ph | |||||
|---|---|---|---|---|---|
| C | + | + | − | + | − |
| P | − | − | − | − | − |
| − | − | + | − | + |
Publisher’s Note: MDPI stays neutral with regard to jurisdictional claims in published maps and institutional affiliations. |
© 2021 by the authors. Licensee MDPI, Basel, Switzerland. This article is an open access article distributed under the terms and conditions of the Creative Commons Attribution (CC BY) license (https://creativecommons.org/licenses/by/4.0/).
Share and Cite
Faroughy, D.A.; Bortolato, B.; Kamenik, J.F.; Košnik, N.; Smolkovič, A. Optimized Probes of the CP Nature of the Top Quark Yukawa Coupling at Hadron Colliders. Symmetry 2021, 13, 1129. https://doi.org/10.3390/sym13071129
Faroughy DA, Bortolato B, Kamenik JF, Košnik N, Smolkovič A. Optimized Probes of the CP Nature of the Top Quark Yukawa Coupling at Hadron Colliders. Symmetry. 2021; 13(7):1129. https://doi.org/10.3390/sym13071129
Chicago/Turabian StyleFaroughy, Darius A., Blaž Bortolato, Jernej F. Kamenik, Nejc Košnik, and Aleks Smolkovič. 2021. "Optimized Probes of the CP Nature of the Top Quark Yukawa Coupling at Hadron Colliders" Symmetry 13, no. 7: 1129. https://doi.org/10.3390/sym13071129
APA StyleFaroughy, D. A., Bortolato, B., Kamenik, J. F., Košnik, N., & Smolkovič, A. (2021). Optimized Probes of the CP Nature of the Top Quark Yukawa Coupling at Hadron Colliders. Symmetry, 13(7), 1129. https://doi.org/10.3390/sym13071129

