Prediction of Hysteresis Loop of Barium Hexaferrite Nanoparticles Based on Neuroevolutionary Models
Abstract
1. Introduction
2. Problem Formulation
3. Neuroevolutionary Model
- Neural network topology: Artificial Neural Networks (ANNs) are intelligent learning algorithms inspired by biological neural networks. The objective of an ANN is to perform information analysis and knowledge extraction in a way that is analogous to the biological neurons process. The topology of the ANN can be represented as a connected directed graph in which the artificial neurons are the nodes, and the weighted connections are the links between the nodes. ANNs models have a layered structure. Where it includes the input and output layers, and in between is the hidden layer(s). Each layer consists a set of neurons, while each neuron has an activation unit. Different activation functions could be used. Equation (1) shows the Sigmoid activation function which is selected for the proposed model:Mainly, ANNs learn the relationships between inputs and outputs by repeatedly learning and adjusting the weights of the connections and modifying the network structure. Training ANNs requires finding the weights by determining a loss (objective) function. A typical multilayer perceptron neural network has an input layer I of N number of nodes. A set of hidden layer(s) H where each hidden layer h has m number of nodes. And an output layer O with k number of nodes. Each connection between any two neurons i and j is associated with a weight . Furthermore, each neuron has a bias value b for adjusting the output and better converge toward optimality. For prediction, the input is fed into the hidden layer, where the output of the input layer is represented by . At the hidden layer, the output from the previous layer (input) is multiplied by the weights and summed out, as given in Equation (2). Where is the associated bias of hidden layer:The value of inside the neuron is transformed using an activation function. Thus, the output of the last hidden layer will go through the output layer.
- The optimizer: This component is responsible for finding the best possible parameters of the neural network that minimize a predefined error criterion. Two optimizers are used for this task: Genetic Algorithm (GA) and Particle Swarm Optimization (PSO). Both optimizers are selected due to their popularity in the literature and their consideration as ones of the most well-regarded metaheuristic algorithms.
- -
- PSO is a population-based optimization algorithm by Russell Eberhard and James Kennedy in 1995 [29]. It represents the social behavior of the movement of a bird flock or school of fish [30]. Like other population-based algorithms, PSO initializes a preliminary population for the first generation representing the initial set of potential solutions which are called particles [31]. It then tries to search for the optimal solution by updating the speed and position of the set of particles through the course of generations [32]. The algorithm keeps track of two best fitness values: The pbest and gbest. At a specific generation, pbest is the best fitness value corresponding to the best particle for the generation whereas gbest is the best global fitness value obtained across all the generations reached so far [30].
- -
- GA is a population-based optimization algorithm by John Holland in the early 1970s [33]. It uses a population of individuals at each generation which represent the potential solutions for the generation. It is based on evolutionary operators which are: Selection, crossover, mutation, and elitism. The evolutionary operators are used to find other possible solutions at the next generation in the aim of finding the optimal solution [34]. At each generation, the fitness values of the individuals are evaluated and are used by the evolutionary operators at the next generation. Finally, the best individual with the best fitness value at the last generation is selected and is considered as the solution obtained from running the algorithm [33].
In both optimizers, the solution is represented as a vector of the parameters of the network that will be optimized. In this case each solution is formed as a set of weights between the input layer and the hidden layer, the weights between the hidden layer and the output layer, and the biases of all neurons. Figure 1 illustrates the structure of the solution in the neuroevolutionary algorithm and how it maps to the structure of the network. - The fitness function: This component is used to evaluate and determine the quality of the candidate solutions which were generated by the optimizer. This value used to by the optimizer, which in this case is either GA or PSO, to guide the search process toward more quality solutions. In this work, MSE is used, which is widely adopted in the literature as a cost function for different machine learning models. Therefore the fitness function is to minimize the MSE value.
4. Evaluation Measures
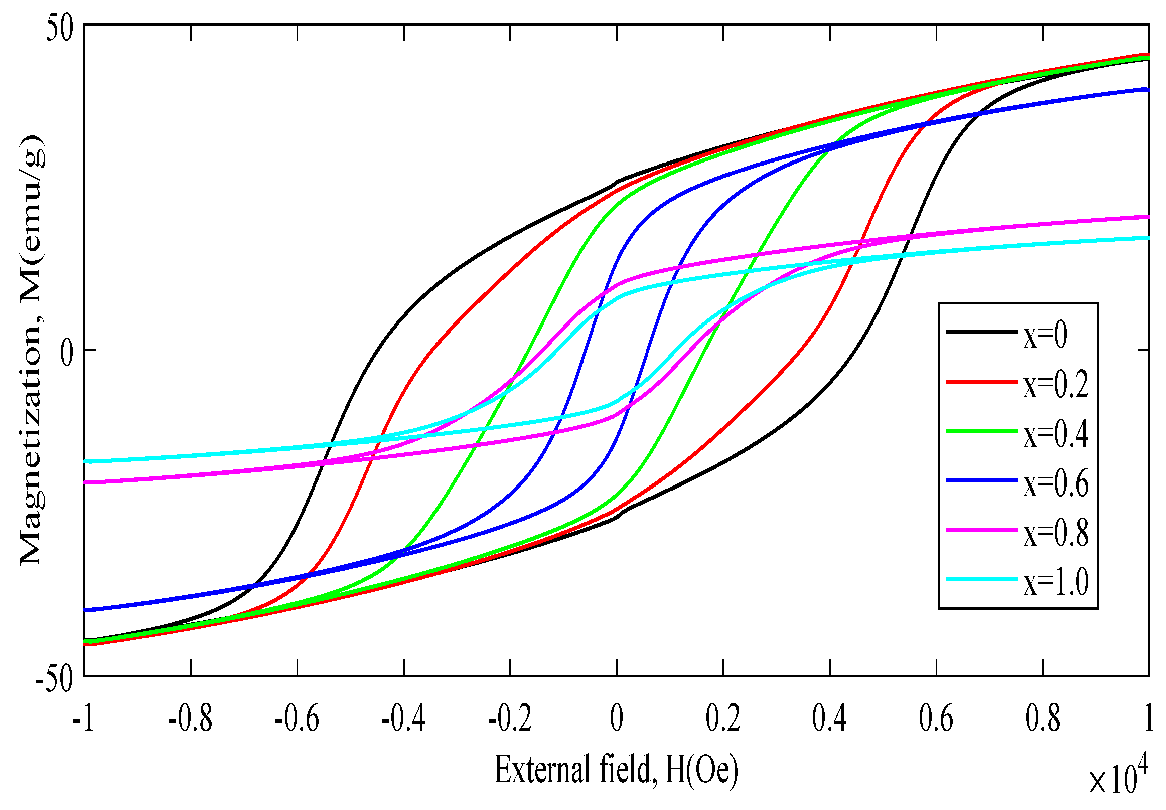
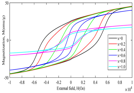
5. Results and Discussion
6. Conclusions
Author Contributions
Funding
Institutional Review Board Statement
Informed Consent Statement
Conflicts of Interest
References
- Sugimoto, M. The past, present, and future of ferrites. J. Am. Ceram. Soc. 1999, 82, 269–280. [Google Scholar] [CrossRef]
- Cochardt, A. Recent ferrite magnet developments. J. Appl. Phys. 1966, 37, 1112–1115. [Google Scholar] [CrossRef]
- Pullar, R.C. Hexagonal ferrites: A review of the synthesis, properties and applications of hexaferrite ceramics. Prog. Mater. Sci. 2012, 57, 1191–1334. [Google Scholar] [CrossRef]
- Koutzarova, T.; Kolev, S.; Ghelev, C.; Grigorov, K.; Nedkov, I. Structural and magnetic properties and preparation techniques of nanosized M-type hexaferrite powders. In Advances in Nanoscale Magnetism; Springer: Berlin, Germany, 2009; pp. 183–203. [Google Scholar]
- Awadallah, A.M.; Sami, M. Effects of Preparation Conditions and Metal ion Substitutions for Barium and Iron on the Properties of M-Type Barium Hexaferrites. Ph.D. Thesis, The University of Jordan, Amman, Jordan, 2012. [Google Scholar] [CrossRef]
- Li, Y.; Wang, Q.; Yang, H. Synthesis, characterization, and magnetic properties of nanocrystalline BaFe12O19 Ferrite. Curr. Appl. Phys. 2009, 9, 1375–1380. [Google Scholar] [CrossRef]
- Trukhanov, S.V.; Trukhanov, A.V.; Kostishyn, V.G.; Panina, L.V.; Trukhanov, A.V.; Turchenko, V.A.; Tishkevich, D.I.; Trukhanova, E.L.; Yakovenko, O.S.; Matzui, L.Y.; et al. Effect of gallium doping on electromagnetic properties of barium hexaferrite. J. Phys. Chem. Solid. 2017, 111, 142–152. [Google Scholar] [CrossRef]
- Trukhanov, S.V.; Trukhanov, A.V.; Kostishyn, V.G.; Panina, L.V.; Trukhanov, A.V.; Turchenko, V.A.; Tishkevich, D.I.; Trukhanova, E.L.; Yakovenko, O.S.; Matzui, L.Y. Investigation into the structural features and microwave absorption of doped barium hexaferrites. Dalton Trans. 2017, 46, 9010–9021. [Google Scholar] [CrossRef]
- Trukhanov, S.V.; Trukhanov, A.V.; Salem, M.M.; Trukhanova, E.L.; Panina, L.V.; Kostishyn, V.G.; Darwish, M.A.; Trukhanov, A.V.; Zubar, T.I.; Tishkevich, D.I.; et al. Preparation and investigation of structure, magnetic and dielectric properties of (BaFe11.9Al0.1O19)1-x-(BaTiO3)x bicomponent ceramics. Ceram. Int. 2018, 44, 21295–21302. [Google Scholar] [CrossRef]
- Trukhanov, S.V.; Trukhanov, A.V.; Turchenko, V.A.; Trukhanov, A.V.; Tishkevich, D.I.; Trukhanova, E.L.; Zubar, T.I.; Karpinsky, D.V.; Kostishyn, V.G.; Panina, L.V.; et al. Magnetic and dipole moments in indium doped barium hexaferrites. J. Magn. Magn. Mater. 2018, 457, 83–96. [Google Scholar] [CrossRef]
- Trukhanov, S.V.; Trukhanov, A.V.; Turchenko, V.A.; Kostishyn, V.G.; Panina, L.V.; Kazakevich, I.S.; Balagurov, A.M. Structure and magnetic properties of BaFe11.9In0.1O19 hexaferrite in a wide temperature range. J. Alloys Compd. 2016, 689, 383–393. [Google Scholar] [CrossRef]
- Turchenko, V.A.; Trukhanov, S.V.; Balagurov, A.M.; Kostishyn, V.G.; Trukhanov, A.V.; Panina, L.V.; Trukhanova, E.L. Features of crystal structure and dual ferroic properties of BaFe12-xMexO19 (Me = In3+ and Ga3+; x = 0.1–1.2). J. Magn. Magn. Mater. 2018, 464, 139–147. [Google Scholar] [CrossRef]
- Kuczmann, M.; Iványi, A. A new neural-network-based scalar hysteresis model. IEEE Trans. Magn. 2002, 38, 857–860. [Google Scholar] [CrossRef]
- Nussbaum, C.; Pfutzner, H.; Booth, T.; Baumgartinger, N.; Ilo, A.; Clabian, M. Neural networks for the prediction of magnetic transformer core characteristics. IEEE Trans. Magn. 2000, 36, 313–329. [Google Scholar] [CrossRef]
- Mohammed, O.A.; Uler, F.G. A state space approach and formulation for the solution of nonlinear 3-D transient eddy current problems. IEEE Trans. Magn. 1992, 28, 1111–1114. [Google Scholar] [CrossRef]
- Nussbaum, C.; Booth, T.; Ilo, A.; Pfützner, H. A neural network for the prediction of performance parameters of transformer cores. J. Magn. Magn. Mater. 1996, 160, 81–83. [Google Scholar] [CrossRef]
- Xu, Q.F.; Refsum, A. Analysis of some numerical models of hysteresis loops. In Proceedings of the 1993 2nd International Conference on Advances in Power System Control, Operation and Management, APSCOM-93, Hong Kong, China, 7–10 December 1993; IET: Stevenage, UK, 1993; pp. 734–737. [Google Scholar]
- Eval, N.T. INTERNATI9NAL SEMINAR’DAY OF’DIFFRACTION’94 SAINT PETERSBURG, MAY 30-JUNE 3, 1994. Nondestr. Test. Eval. 1994, 11, 369–376. [Google Scholar]
- Saliah, H.H.; Lowther, D.A. The use of neural networks in magnetic hysteresis identification. Phys. B Condens. Matter 1997, 233, 318–323. [Google Scholar] [CrossRef]
- Kucuk, I. Prediction of hysteresis loop in magnetic cores using neural network and genetic algorithm. J. Magn. Magn. Mater. 2006, 305, 423–427. [Google Scholar] [CrossRef]
- Kuczmann, M.; Iványi, A. Neural network model of magnetic hysteresis. COMPEL Int. J. Comput. Math. Electr. Electron. Eng. 2002, 21, 364–376. [Google Scholar] [CrossRef]
- Akbarzadeh, V.; Davoudpour, M.; Sadeghian, A. Neural network modeling of magnetic hysteresis. In Proceedings of the 2008 IEEE International Conference on Emerging Technologies and Factory Automation, Hamburg, Germany, 15–18 December 2008; IEEE: Piscataway, NJ, USA, 2008; pp. 1267–1270. [Google Scholar]
- Dairy, A.R.A.; Al-Hmoud, L.A.; Khatatbeh, H.A. Magnetic and structural properties of barium hexaferrite nanoparticles doped with titanium. Symmetry 2019, 11, 732. [Google Scholar] [CrossRef]
- Faris, H.; Aljarah, I.; Alqatawna, J.F. Optimizing feedforward neural networks using krill herd algorithm for e-mail spam detection. In Proceedings of the 2015 IEEE Jordan Conference on Applied Electrical Engineering and Computing Technologies (AEECT), Amman, Jordan, 3–5 November 2015; pp. 1–5. [Google Scholar]
- Faris, H.; Aljarah, I.; Al-Madi, N.; Mirjalili, S. Optimizing the learning process of feedforward neural networks using lightning search algorithm. Int. J. Artif. Intell. Tools 2016, 25, 1650033. [Google Scholar] [CrossRef]
- Faris, H.; Mirjalili, S.; Aljarah, I. Automatic selection of hidden neurons and weights in neural networks using grey wolf optimizer based on a hybrid encoding scheme. Int. J. Mach. Learn. Cybern. 2019, 10, 2901–2920. [Google Scholar] [CrossRef]
- Aljarah, I.; Faris, H.; Mirjalili, S.; Al-Madi, N.; Sheta, A.; Mafarja, M. Evolving neural networks using bird swarm algorithm for data classification and regression applications. Clust. Comput. 2019, 22, 1317–1345. [Google Scholar] [CrossRef]
- Al-Badarneh, I.; Habib, M.; Aljarah, I.; Faris, H. Neuro-evolutionary models for imbalanced classification problems. J. King Saud Univ. Comput. Inf. Sci. 2020. [Google Scholar] [CrossRef]
- Kennedy, J.; Eberhart, R. Particle swarm optimization. In Proceedings of the ICNN’95—International Conference on Neural Networks, Perth, WA, Australia, 27 November–1 December 1995; Volume 4, pp. 1942–1948. [Google Scholar] [CrossRef]
- Dong, P.T. A review of convergence analysis of particle swarm optimization. Int. J. Grid Distrib. Comput. 2013, 6, 117–128. [Google Scholar]
- Esperanza, G.-G.; Fernández-Martínez, J.L. A brief historical review of particle swarm optimization (PSO). J. Bioinform. Intell. Control 2012, 1, 3–16. [Google Scholar]
- Qinghai, B. Analysis of particle swarm optimization algorithm. Comput. Inf. Sci. 2010, 3, 180. [Google Scholar]
- Kumar, M.; Husain, M.; Upreti, N.; Gupta, D. Genetic algorithm: Review and application. Int. J. Inf. Technol. Knowl. Manag. 2010, 2, 451–454. [Google Scholar] [CrossRef]
- Srinivas, M.; Patnaik, L.M. Genetic algorithms: A survey. Computer 1994, 27, 17–26. [Google Scholar] [CrossRef]
- Faris, H.; Aljarah, I.; Mirjalili, S.; Castillo, P.A.; Guervós, J.J.M. EvoloPy: An Open-source Nature-inspired Optimization Framework in Python. In Proceedings of the IJCCI (ECTA), Porto, Portugal, 9–11 November 2016; pp. 171–177. [Google Scholar]









| Measures | GA (AVG ± STD) | PSO (AVG ± STD) | BP (AVG ± STD) | LR (AVG) |
|---|---|---|---|---|
| MSE | 42.7092 ± 37.1355 | 54.2717 ± 47.355 | 15.8252 ± 5.76 × 10 | 6.2292 |
| ED | 35.2427 ± 15.2776 | 38.5743 ± 19.9238 | 23.1961 ± 4.22 × 10 | 14.5531 |
| MAE | 5.9611 ± 2.657 | 6.5329 ± 3.4595 | 3.0374 ± 1.28 × 10 | 2.2364 |
| MMRE | 0.1425 ± 0.0642 | 0.1568 ± 0.0828 | 0.0773 ± 3.04 × 10 | 0.0547 |
| RMSE | 6.0441 ± 2.6201 | 6.6154 ± 3.4169 | 3.9781 ± 7.24 × 10 | 2.4958 |
| Measures | GA (AVG ± STD) | PSO (AVG ± STD) | BP (AVG ± STD) | LR (AVG) |
|---|---|---|---|---|
| MSE | 14.6799 ± 10.3653 | 35.8206 ± 22.6671 | 8.2693 ± 2.6395 | 17.6696 |
| ED | 21.3431 ± 6.9593 | 32.6658 ± 12.9463 | 16.7039 ± 2.4441 | 24.5105 |
| MAE | 3.6503 ± 1.2026 | 5.5650 ± 2.2464 | 2.2625 ± 0.5179 | 3.4388 |
| MMRE | 0.0850 ± 0.0281 | 0.1295 ± 0.0523 | 0.0543 ± 0.0116 | 0.0786 |
| RMSE | 3.6603 ± 1.1935 | 5.6021 ± 2.2203 | 2.8647 ± 0.4192 | 4.2035 |
| Measures | GA (AVG ± STD) | PSO (AVG ± STD) | BP (AVG ± STD) | LR (AVG) |
|---|---|---|---|---|
| MSE | 2.0337 ± 1.5612 | 3.8184 ± 4.8935 | 7.0230 ± 2.6395 | 64.8161 |
| ED | 7.7536 ± 3.1669 | 9.4715 ± 6.6764 | 15.2776 ± 2.4441 | 46.9441 |
| MAE | 1.2330 ± 0.5621 | 1.5462 ± 1.1639 | 2.2241 ± 0.5179 | 6.8084 |
| MMRE | 0.0286 ± 0.0130 | 0.0360 ± 0.0271 | 0.0530 ± 0.0116 | 0.1561 |
| RMSE | 1.3297 ± 0.5431 | 1.6243 ± 1.1450 | 2.6201 ± 0.4192 | 8.0508 |
| Measures | GA (AVG ± STD) | PSO (AVG ± STD) | BP (AVG ± STD) | LR (AVG) |
|---|---|---|---|---|
| MSE | 1.6477 ± 0.9240 | 2.2519 ± 1.3558 | 14.9516 ± 34.4594 | 76.6497 |
| ED | 7.2346 ± 2.0229 | 8.4264 ± 2.4851 | 16.6192 ± 16.0609 | 51.0499 |
| MAE | 1.0283 ± 2.0229 | 1.2592 ± 0.4713 | 2.5134 ± 2.7871 | 7.7365 |
| MMRE | 0.0274 ± 0.0074 | 0.0331 ± 0.0122 | 0.0668 ± 0.0732 | 0.1991 |
| RMSE | 1.2407 ± 0.3469 | 1.4451 ± 0.4262 | 2.8502 ± 2.7544 | 8.7550 |
| Measures | GA (AVG ± STD) | PSO (AVG ± STD) | BP (AVG ± STD) | LR (AVG) |
|---|---|---|---|---|
| MSE | 0.3478 ± 0.4230 | 0.4428 ± 0.5276 | 1.1276 ± 0.1866 | 15.1202 |
| ED | 3.0464 ± 1.6819 | 3.4091 ± 1.9528 | 6.1670 ± 0.5844 | 22.6735 |
| MAE | 0.4723 ± 0.2968 | 0.5351 ± 0.3477 | 0.8666 ± 0.0855 | 3.3298 |
| MMRE | 0.0240 ± 0.0151 | 0.0273 ± 0.0177 | 0.0455 ± 0.0045 | 0.1676 |
| RMSE | 0.5225 ± 0.2884 | 0.5846 ± 0.3349 | 1.0576 ± 0.1002 | 3.8885 |
| Measures | GA (AVG ± STD) | PSO (AVG ± STD) | BP (AVG ± STD) | LR (AVG) |
|---|---|---|---|---|
| MSE | 0.1825 ± 0.0847 | 1.8900 ± 3.2491 | 0.8128 ± 0.0085 | 12.0787 |
| ED | 2.4313 ± 0.5700 | 6.2400 ± 5.3043 | 5.2569 ± 0.0277 | 20.2651 |
| MAE | 0.3497 ± 0.0825 | 1.0063 ± 0.9351 | 0.7389 ± 0.0048 | 3.0176 |
| MMRE | 0.0213 ± 0.0051 | 0.0612 ± 0.0567 | 0.0460 ± 0.0003 | 0.1805 |
| RMSE | 0.4170 ± 0.0978 | 1.0701 ± 0.9097 | 0.9015 ± 0.0047 | 3.4754 |
Publisher’s Note: MDPI stays neutral with regard to jurisdictional claims in published maps and institutional affiliations. |
© 2021 by the authors. Licensee MDPI, Basel, Switzerland. This article is an open access article distributed under the terms and conditions of the Creative Commons Attribution (CC BY) license (https://creativecommons.org/licenses/by/4.0/).
Share and Cite
Alhmoud, L.; Al Dairy, A.R.; Faris, H.; Aljarah, I. Prediction of Hysteresis Loop of Barium Hexaferrite Nanoparticles Based on Neuroevolutionary Models. Symmetry 2021, 13, 1079. https://doi.org/10.3390/sym13061079
Alhmoud L, Al Dairy AR, Faris H, Aljarah I. Prediction of Hysteresis Loop of Barium Hexaferrite Nanoparticles Based on Neuroevolutionary Models. Symmetry. 2021; 13(6):1079. https://doi.org/10.3390/sym13061079
Chicago/Turabian StyleAlhmoud, Lina, Abdul Raouf Al Dairy, Hossam Faris, and Ibrahim Aljarah. 2021. "Prediction of Hysteresis Loop of Barium Hexaferrite Nanoparticles Based on Neuroevolutionary Models" Symmetry 13, no. 6: 1079. https://doi.org/10.3390/sym13061079
APA StyleAlhmoud, L., Al Dairy, A. R., Faris, H., & Aljarah, I. (2021). Prediction of Hysteresis Loop of Barium Hexaferrite Nanoparticles Based on Neuroevolutionary Models. Symmetry, 13(6), 1079. https://doi.org/10.3390/sym13061079

