Extracting Local Symmetry of Mono-Atomic Systems from Extended X-ray Absorption Fine Structure Using Deep Neural Networks
Abstract
1. Introduction
2. Methods
2.1. MD Simulations
2.2. EXAFS Calculation
2.3. NN Architecture and Training
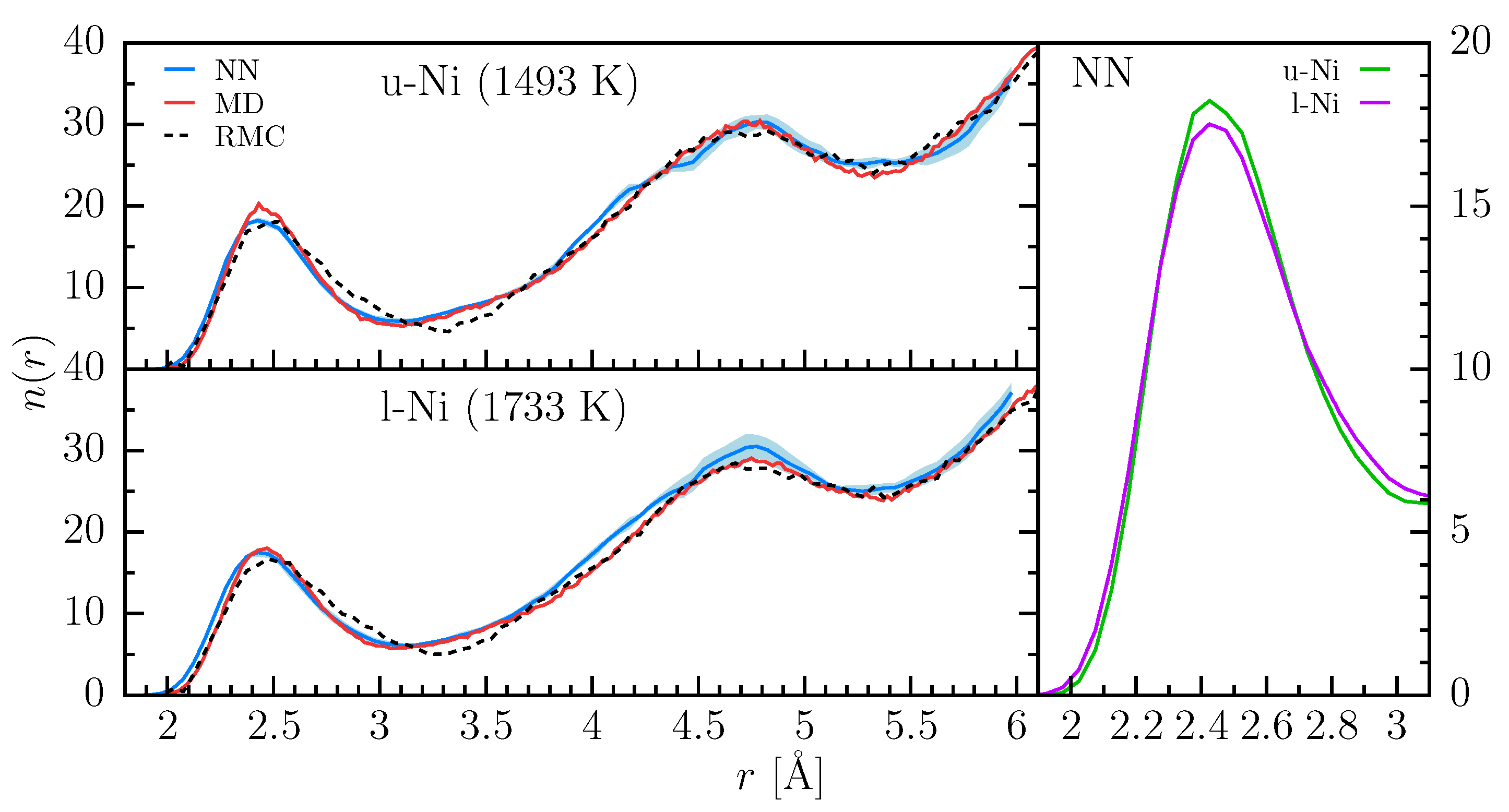
3. Results
3.1. Test Dataset
3.2. Experimental Data
4. Discussion and Conclusions
Author Contributions
Funding
Institutional Review Board Statement
Informed Consent Statement
Data Availability Statement
Acknowledgments
Conflicts of Interest
Abbreviations
| ML | Machine Learning |
| XAS | X-ray absorption spectroscopy |
| XANES | X-ray absorption near edge structure |
| EXAFS | Extended x-ray absorption fine structure |
| NN | Neural Network |
| MD | Molecular Dynamics |
| RDF | Radial distribution function |
| BAD | Bond-angle distribution |
Appendix A

References
- Mehta, P.; Bukov, M.; Wang, C.H.; Day, A.G.; Richardson, C.; Fisher, C.K.; Schwab, D.J. A high-bias, low-variance introduction to Machine Learning for physicists. Phys. Rep. 2019, 810, 1–124. [Google Scholar] [CrossRef] [PubMed]
- Carleo, G.; Cirac, I.; Cranmer, K.; Daudet, L.; Schuld, M.; Tishby, N.; Vogt-Maranto, L.; Zdeborová, L. Machine learning and the physical sciences. Rev. Mod. Phys. 2019, 91, 45002. [Google Scholar] [CrossRef]
- Timoshenko, J.; Lu, D.; Lin, Y.; Frenkel, A.I. Supervised Machine-Learning-Based Determination of Three-Dimensional Structure of Metallic Nanoparticles. J. Phys. Chem. Lett. 2017, 8, 5091–5098. [Google Scholar] [CrossRef]
- Guda, A.A.; Guda, S.A.; Lomachenko, K.A.; Soldatov, M.A.; Pankin, I.A.; Soldatov, A.V.; Braglia, L.; Bugaev, A.L.; Martini, A.; Signorile, M.; et al. Quantitative structural determination of active sites from in situ and operando XANES spectra: From standard ab initio simulations to chemometric and machine learning approaches. Catal. Today 2019, 336, 3–21. [Google Scholar] [CrossRef]
- Timoshenko, J.; Wrasman, C.J.; Luneau, M.; Shirman, T.; Cargnello, M.; Bare, S.R.; Aizenberg, J.; Friend, C.M.; Frenkel, A.I. Probing Atomic Distributions in Mono- and Bimetallic Nanoparticles by Supervised Machine Learning. Nano Lett. 2018, 19, 520–529. [Google Scholar] [CrossRef]
- Zheng, C.; Mathew, K.; Chen, C.; Chen, Y.; Tang, H.; Dozier, A.; Kas, J.J.; Vila, F.D.; Rehr, J.J.; Piper, L.F.; et al. Automated generation and ensemble-learned matching of X-ray absorption spectra. NPJ Comput. Mater. 2018, 4, 1–9. [Google Scholar] [CrossRef]
- Suzuki, Y.; Hino, H.; Kotsugi, M.; Ono, K. Automated estimation of materials parameter from X-ray absorption and electron energy-loss spectra with similarity measures. NPJ Comput. Mater. 2019, 5, 1–7. [Google Scholar] [CrossRef]
- Timoshenko, J.; Ahmadi, M.; Roldan Cuenya, B. Is There a Negative Thermal Expansion in Supported Metal Nanoparticles? An in Situ X-ray Absorption Study Coupled with Neural Network Analysis. J. Phys. Chem. C 2019, 123, 20549–20604. [Google Scholar] [CrossRef]
- Kiyohara, S.; Mizoguchi, T. Radial Distribution Function from X-ray Absorption near Edge Structure with an Artificial Neural Network. J. Phys. Soc. Jpn. 2020, 89, 1–4. [Google Scholar] [CrossRef]
- Marcella, N.; Liu, Y.; Timoshenko, J.; Guan, E.; Luneau, M.; Shirman, T.; Plonka, A.M.; Van Der Hoeven, J.E.; Aizenberg, J.; Friend, C.M.; et al. Neural network assisted analysis of bimetallic nanocatalysts using X-ray absorption near edge structure spectroscopy. Phys. Chem. Chem. Phys. 2020, 22, 18902–18910. [Google Scholar] [CrossRef]
- Carbone, M.R.; Topsakal, M.; Lu, D.; Yoo, S. Machine-Learning X-ray Absorption Spectra to Quantitative Accuracy. Phys. Rev. Lett. 2020, 124, 156401. [Google Scholar] [CrossRef]
- Iwamitsu, K.; Yokota, T.; Murata, K.; Kamezaki, M.; Mizumaki, M.; Uruga, T.; Akai, I. Spectral Analysis of X-ray Absorption Near Edge Structure in α-Fe2O3 Based on Bayesian Spectroscopy. Phys. Status Solidi (B) Basic Res. 2020, 257, 2–7. [Google Scholar] [CrossRef]
- Timoshenko, J.; Jeon, H.S.; Sinev, I.; Haase, F.T.; Herzog, A.; Roldan Cuenya, B. Linking the evolution of catalytic properties and structural changes in copper-zinc nanocatalysts using: Operando EXAFS and neural-networks. Chem. Sci. 2020, 11, 3727–3736. [Google Scholar] [CrossRef]
- Terry, J.; Lau, M.L.; Sun, J.; Xu, C.; Hendricks, B.; Kise, J.; Lnu, M.; Bagade, S.; Shah, S.; Makhijani, P.; et al. Analysis of extended X-ray absorption fine structure (EXAFS) data using artificial intelligence techniques. Appl. Surf. Sci. 2021, 547, 149059. [Google Scholar] [CrossRef]
- Zheng, C.; Chen, C.; Chen, Y.; Ong, S.P. Random Forest Models for Accurate Identification of Coordination Environments from X-ray Absorption Near-Edge Structure. Patterns 2020, 1, 100013. [Google Scholar] [CrossRef] [PubMed]
- Bunker, G. Introduction to XAFS; Cambridge University Press: Cambridge, UK, 2010. [Google Scholar] [CrossRef]
- Calvin, S. XAFS for Everyone; CRC Press: Boca Raton, FL, USA, 2013. [Google Scholar] [CrossRef]
- Filipponi, A.; D’ Angelo, P. Accurate determination of molecular structures by X-ray absorption spectroscopy. J. Chem. Phys. 1998, 109, 5356. [Google Scholar] [CrossRef]
- Di Cicco, A.; Iesari, F.; Trapananti, A.; D’Angelo, P.; Filipponi, A. Structure and atomic correlations in molecular systems probed by XAS reverse Monte Carlo refinement. J. Chem. Phys. 2018, 148, 094307. [Google Scholar] [CrossRef]
- Lindblad, R.; Kjellsson, L.; Couto, R.C.; Timm, M.; Bülow, C.; Zamudio-Bayer, V.; Lundberg, M.; Von Issendorff, B.; Lau, J.T.; Sorensen, S.L.; et al. X-ray Absorption Spectrum of the N2+ Molecular Ion. Phys. Rev. Lett. 2020, 124, 203001. [Google Scholar] [CrossRef]
- Filipponi, A.; Di Cicco, A. Short-range order in crystalline, amorphous, liquid, and supercooled germanium probed by X-ray absorption spectroscopy. Phys. Rev. B 1995, 51, 12322–12336. [Google Scholar] [CrossRef]
- Di Cicco, A.; Trapananti, A.; Principi, E.; De Panfilis, S.; Filipponi, A. Polymorphism and metastable phenomena in liquid tin under pressure. Appl. Phys. Lett. 2006, 89, 221912. [Google Scholar] [CrossRef]
- Coppari, F.; Chervin, J.; Congeduti, A.; Lazzeri, M.; Polian, A.; Principi, E.; Di Cicco, A. Pressure-induced phase transitions in amorphous and metastable crystalline germanium by Raman scattering, X-ray spectroscopy, and ab initio calculations. Phys. Rev. B 2009, 80, 115213. [Google Scholar] [CrossRef]
- Properzi, L.; Santoro, M.; Minicucci, M.; Iesari, F.; Ciambezi, M.; Nataf, L.; Le Godec, Y.; Irifune, T.; Baudelet, F.; Di Cicco, A. Structural evolution mechanisms of amorphous and liquid As2Se3 at high pressures. Phys. Rev. B Condens. Matter Mater. Phys. 2016, 93, 1–8. [Google Scholar] [CrossRef]
- Sun, Y.; Frenkel, A.I.; Isseroff, R.; Shonbrun, C.; Forman, M.; Shin, K.; Koga, T.; White, H.; Zhang, L.; Zhu, Y.; et al. Characterization of palladium nanoparticles by using X-ray reflectivity, EXAFS, and electron microscopy. Langmuir 2006, 22, 807–816. [Google Scholar] [CrossRef] [PubMed]
- Ikemoto, H.; Miyanaga, T. Extended X-ray absorption fine structure study of local structure and atomic correlations of tellurium nanoparticles. Phys. Rev. Lett. 2007, 99, 165503. [Google Scholar] [CrossRef] [PubMed]
- Kuzmin, A.; Chaboy, J. EXAFS and XANES analysis of oxides at the nanoscale. IUCrJ 2014, 1, 571–589. [Google Scholar] [CrossRef] [PubMed]
- Ikemoto, H.; Fujimori, T.; Miyanaga, T.; Kato, S.; Iesari, F.; Urita, K. Structures of Isolated Tellurium Chains Encapsulated Inside Carbon Nanotube. J. Phys. Chem. C 2020, 124, 26043–26047. [Google Scholar] [CrossRef]
- Filipponi, A.; Di Cicco, A.; Natoli, C.R. X-ray absorption spectroscopy and n-body distribution functions in condensed matter (I): Theory. Phys. Rev. B 1995, 52, 15122–15134. [Google Scholar] [CrossRef] [PubMed]
- Filipponi, A.; Di Cicco, A. X-ray absorption spectroscopy and n-body distribution functions in condensed matter (II): Data-analysis and applications. Phys. Rev. B 1995, 52, 15135. [Google Scholar] [CrossRef]
- Allen, M.P.; Tildesley, D.J. Computer Simulation of Liquids; Clarendon Press: Oxford, UK, 1987. [Google Scholar]
- Filipponi, A. EXAFS for liquids. J. Phys. Condens. Matter 2001, 13, R23. [Google Scholar] [CrossRef]
- Trapananti, A.; Di Cicco, A. Probing the local structure of liquid binary mixtures by X-ray absorption spectroscopy. Phys. Rev. B 2004, 70, 014101. [Google Scholar] [CrossRef]
- Babanov, Y.A.; Vasin, V.V.; Ageev, A.L.; Ershov, N.V. A New Interpretation of EXAFS Spectra in Real Space. I. General Formalism. Phys. Stat. Sol. 1981, 105, 747. [Google Scholar] [CrossRef]
- Akai, I.; Iwamitsu, K.; Igarashi, Y.; Okada, M.; Setoyama, H.; Okajima, T.; Hirai, Y. Sparse Modeling of an Extended X-ray Absorption Fine-Structure Spectrum Based on a Single-Scattering Formalism. J. Phys. Soc. Jpn. 2018, 87, 074003. [Google Scholar] [CrossRef]
- McGreevy, R.L.; Pusztai, L. Reverse Monte Carlo simulation: A new technique for the determination of disordered structures. Mol. Sim. 1988, 1, 359–367. [Google Scholar] [CrossRef]
- Gurman, S.J.; McGreevy, R.L. Reverse Monte Carlo simulation for the analysis of EXAFS data. J. Phys. Condens. Matter 1990, 2, 9463–9473. [Google Scholar] [CrossRef]
- Di Cicco, A.; Trapananti, A. Reverse Monte Carlo refinement of molecular and condensed systems by X-ray absorption spctroscopy. J. Phys. Condens. Matter 2005, 17, S135–S144. [Google Scholar] [CrossRef]
- Timoshenko, J.; Kuzmin, A.; Purans, J. An efficient implementation of the reverse Monte Carlo method for EXAFS analysis in crystalline materials. J. Phys. Conf. Ser. 2013, 430, 012012. [Google Scholar] [CrossRef]
- Di Cicco, A.; Trapananti, A.; Faggioni, S.; Filipponi, A. Is there icosahedral ordering in liquid and undercooled metals? Phys. Rev. Lett. 2003, 91, 135505–1–135505–4. [Google Scholar] [CrossRef]
- Iesari, F.; Trapananti, A.; De Panfilis, S.; Di Cicco, A. Structure of liquid In20Sn80 at high temperature: A XAS study. Radiat. Phys. Chem. 2020, 175, 108089. [Google Scholar] [CrossRef]
- Timoshenko, J.; Anspoks, A.; Cintins, A.; Kuzmin, A.; Purans, J.; Frenkel, A.I. Neural Network Approach for Characterizing Structural Transformations by X-ray Absorption Fine Structure Spectroscopy. Phys. Rev. Lett. 2018, 120, 225502. [Google Scholar] [CrossRef]
- Alder, B.J.; Wainwright, T.E. Studies in Molecular Dynamics. I. General Method. J. Chem. Phys. 1959, 31, 459–466. [Google Scholar] [CrossRef]
- Di Cicco, A.; Iesari, F.; De Panfilis, S.; Celino, M.; Giusepponi, S.; Filipponi, A. Local fivefold symmetry in liquid and undercooled Ni probed by X-ray absorption spectroscopy and computer simulations. Phys. Rev. B 2014, 89, 060102. [Google Scholar] [CrossRef]
- Plimpton, S. Fast Parallel Algorithms for Short-Range Molecular Dynamics. J. Comput. Phys. 1995, 117, 1–19. [Google Scholar] [CrossRef]
- LAMMPS Website. Available online: http://lammps.sandia.gov (accessed on 28 May 2021).
- Etesami, S.A.; Asadi, E. Molecular dynamics for near melting temperatures simulations of metals using modified embedded-atom method. J. Phys. Chem. Solids 2018, 112, 61–72. [Google Scholar] [CrossRef]
- Kim, E.H.; Shin, Y.H.; Lee, B.J. A modified embedded-atom method interatomic potential for Germanium. Calphad 2008, 32, 34–42. [Google Scholar] [CrossRef]
- Otte, H.M. Lattice Parameter Determinations with an X-ray Spectrogoniometer by the Debye-Scherrer Method and the Effect of Specimen Condition. J. Appl. Phys. 1961, 32, 1536–1546. [Google Scholar] [CrossRef]
- Brillo, J.; Egry, I. Density determination of liquid copper, nickel, and their alloys. Int. J. Thermophys. 2003, 24, 1155. [Google Scholar] [CrossRef]
- Waseda, Y. The Structure of Non-Crystalline Materials; McGraw-Hill: New York, NY, USA, 1980. [Google Scholar]
- Di Cicco, A. (Ed.) GNXAS. Extended Suite of Programs for Advanced X-ray Absorption Data-Analysis: Methodology and Practice; TASK Publishing: Gdansk, Poland, 2009. [Google Scholar]
- GNXAS Website. Available online: http://gnxas.unicam.it (accessed on 28 May 2021).
- Filipponi, A. Continued fraction expansion for the X-ray absorption cross section. J. Phys. Condens. Matter 1991, 3, 6489–6507. [Google Scholar] [CrossRef]
- Van Rossum, G.; de Boer, J. Interactively Testing Remote Servers Using the Python Programming Language. CWI Q. 1991, 4, 283–303. [Google Scholar]
- Abadi, M.; Agarwal, A.; Barham, P.; Brevdo, E.; Chen, Z.; Citro, C.; Corrado, G.S.; Davis, A.; Dean, J.; Devin, M.; et al. TensorFlow: Large-Scale Machine Learning on Heterogeneous Systems. 2015. Available online: https://www.tensorflow.org (accessed on 28 May 2021).
- Chollet, F. Keras. 2015. Available online: https://keras.io (accessed on 28 May 2021).
- Kingma, D.P.; Ba, J. Adam: A Method for Stochastic Optimization. arXiv 2017, arXiv:1412.6980. Available online: https://arxiv.org/abs/1412.6980 (accessed on 28 May 2021).
- Srivastava, N.; Hinton, G.; Krizhevsky, A.; Sutskever, I.; Salakhutdinov, R. Dropout: A Simple Way to Prevent Neural Networks from Overfitting. J. Mach. Learn. Res. 2014, 15, 1929–1958. [Google Scholar]
- Hastie, T.; Tibshirani, R.; Friedman, J. The Elements of Statistical Learning: Prediction, Inference and Data Mining, 2nd ed.; Springer: New York, NY, USA, 2009. [Google Scholar]
- Okajima, T.; Sumitani, K.; Kawamoto, M.; Kobayashi, E. X-ray absorption spectroscopy using BL11 at SAGA-LS, and its applications for materials science. J. Phys. Conf. Ser. 2013, 430, 012088. [Google Scholar] [CrossRef]
- Rehr, J.J.; Albers, R.C. Theoretical approaches to X-ray absorption fine structure. Rev. Mod. Phys. 2000, 72, 621–654. [Google Scholar] [CrossRef]






Publisher’s Note: MDPI stays neutral with regard to jurisdictional claims in published maps and institutional affiliations. |
© 2021 by the authors. Licensee MDPI, Basel, Switzerland. This article is an open access article distributed under the terms and conditions of the Creative Commons Attribution (CC BY) license (https://creativecommons.org/licenses/by/4.0/).
Share and Cite
Iesari, F.; Setoyama, H.; Okajima, T. Extracting Local Symmetry of Mono-Atomic Systems from Extended X-ray Absorption Fine Structure Using Deep Neural Networks. Symmetry 2021, 13, 1070. https://doi.org/10.3390/sym13061070
Iesari F, Setoyama H, Okajima T. Extracting Local Symmetry of Mono-Atomic Systems from Extended X-ray Absorption Fine Structure Using Deep Neural Networks. Symmetry. 2021; 13(6):1070. https://doi.org/10.3390/sym13061070
Chicago/Turabian StyleIesari, Fabio, Hiroyuki Setoyama, and Toshihiro Okajima. 2021. "Extracting Local Symmetry of Mono-Atomic Systems from Extended X-ray Absorption Fine Structure Using Deep Neural Networks" Symmetry 13, no. 6: 1070. https://doi.org/10.3390/sym13061070
APA StyleIesari, F., Setoyama, H., & Okajima, T. (2021). Extracting Local Symmetry of Mono-Atomic Systems from Extended X-ray Absorption Fine Structure Using Deep Neural Networks. Symmetry, 13(6), 1070. https://doi.org/10.3390/sym13061070

