Towards Better Performance for Protected Iris Biometric System with Confidence Matrix
Abstract
1. Introduction
- Irreversibility [6]: It should be computationally infeasible for a wrongdoer to reconstruct the original biometric data from multiple protected biometric templates.
- Unlinkability [7]: It should be computationally hard to determine whether the protected biometric templates originate from the same biometric instance or not to avoid cross-matching across different applications.
- Performance: The recognition performance should be approximately preserved with respect to the performance of its original biometric templates.
2. Related Work
Problem Definition
3. Methodology
3.1. Problem Definition
3.2. Overview of the Proposed Method
3.3. Generation Stage
3.3.1. Generation Method for Binary Confidence Matrix
3.3.2. Generation Method for Probability Confidence Matrix
3.4. Authentication Stage
3.4.1. Matching Strategy for Binary Confidence Matrix
3.4.2. Matching Strategy for Probability Confidence Matrix
3.5. Iris Database with Noise-Mask
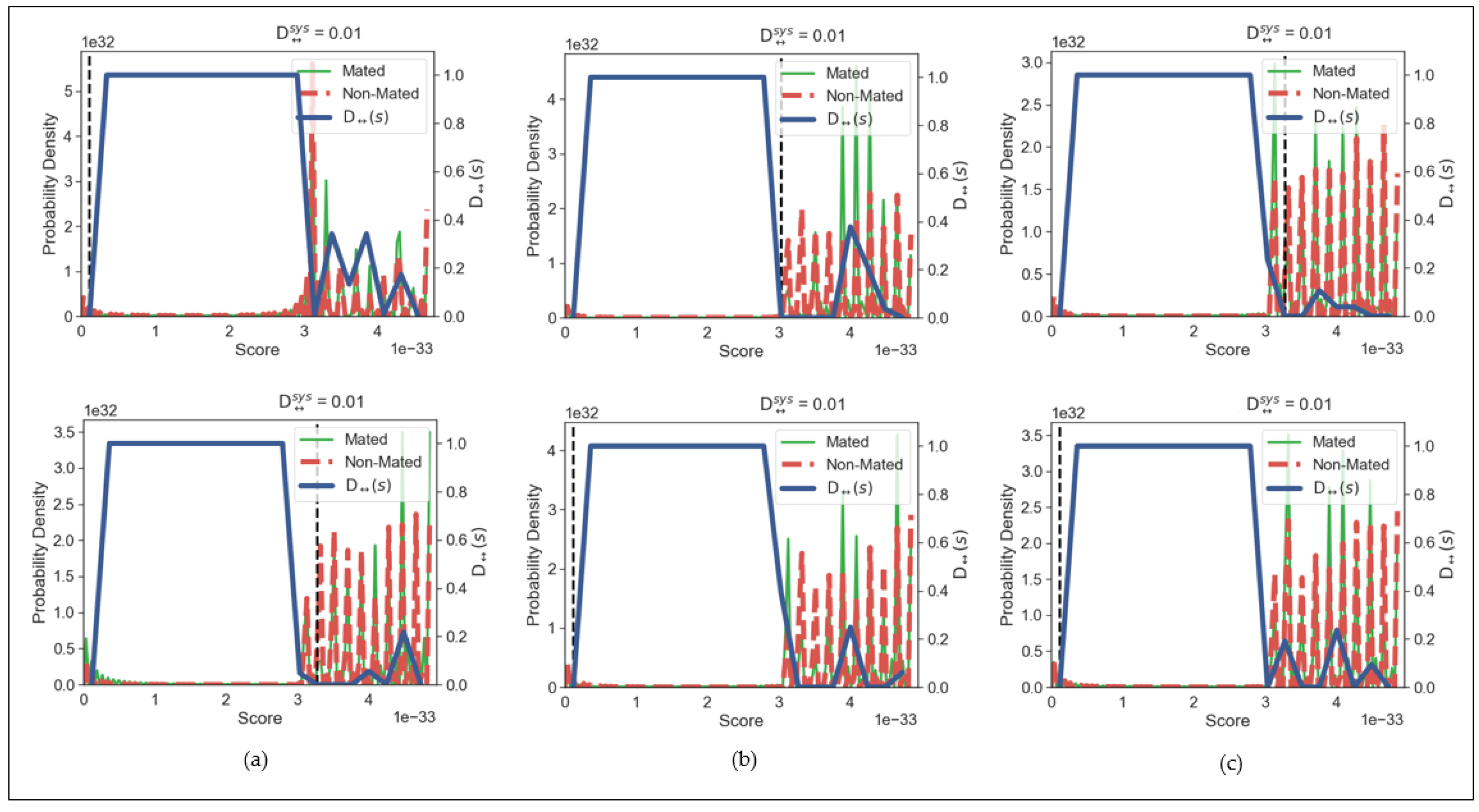
4. Results
4.1. Iris Databases
4.2. Design of Experiment
5. Security Model
6. Discussion
7. Conclusions
Author Contributions
Funding
Institutional Review Board Statement
Informed Consent Statement
Data Availability Statement
Acknowledgments
Conflicts of Interest
References
- Daugman, J. How iris recognition works. IEEE Trans. Circuits Syst. Video Technol. 2004, 14, 21–30. [Google Scholar] [CrossRef]
- Cimato, S.; Gamassi, M.; Piuri, V.; Sassi, R.; Scotti, F. Privacy in biometrics. In Proceedings of the Biometrics: Fundamentals, Theory, and Systems, Anaheim, CA, USA, 8–12 December 2008. [Google Scholar]
- Ratha, N.K.; Chikkerur, S.; Connell, J.H.; Bolle, R.M. Generating cancelable fingerprint templates. IEEE Trans. Pattern Anal. Mach. Intell. 2007, 29, 561–572. [Google Scholar] [CrossRef] [PubMed]
- Cavoukian, A.; Stoianov, A. Biometric encryption. In Encyclopedia of Cryptography and Security; Springer: Boston, MA, USA, 2011. [Google Scholar] [CrossRef]
- Simoens, K.; Yang, B.; Zhou, X.; Beato, F.; Busch, C.; Newton, E.M.; Preneel, B. Criteria towards metrics for benchmarking template protection algorithms. In Proceedings of the 2012 5th IAPR International Conference on Biometrics (ICB), New Delhi, India, 29 March–1 April 2012; pp. 498–505. [Google Scholar]
- Inuma, M. A relation between irreversibility and unlinkability for biometric template protection algorithms. Josai Math. Monogr. 2014, 7, 55–65. [Google Scholar]
- Gomez-Barrero, M.; Galbally, J.; Rathgeb, C.; Busch, C. General framework to evaluate unlinkability in biometric template protection systems. IEEE Trans. Inf. Forensics Secur. 2017, 13, 1406–1420. [Google Scholar] [CrossRef]
- Mitzenmacher, M. Compressed bloom filters. IEEE/ACM Trans. Netw. 2002, 10, 604–612. [Google Scholar] [CrossRef]
- Lai, Y.-L.; Goi, B.-M.; Chai, T.-Y. Alignment-free indexing-first-one hashing with bloom filter integration. In Proceedings of the 2017 IEEE International Conference on Intelligence and Security Informatics (ISI), Beijing, China, 22–24 July 2017; pp. 78–82. [Google Scholar]
- Prabhakar, S.; Pankanti, S.; Jain, A.K. Biometric recognition: Security and privacy concerns. IEEE Secur. Priv. 2003, 1, 33–42. [Google Scholar] [CrossRef]
- Rathgeb, C.; Uhl, A. A survey on biometric cryptosystems and cancelable biometrics. EURASIP J. Inf. Secur. 2011, 2011, 1–25. [Google Scholar] [CrossRef]
- Patel, V.M.; Ratha, N.K.; Chellappa, R. Cancelable biometrics: A review. IEEE Signal Process. Mag. 2015, 32, 54–65. [Google Scholar] [CrossRef]
- Natgunanathan, I.; Mehmood, A.; Xiang, Y.; Beliakov, G.; Yearwood, J. Protection of privacy in biometric data. IEEE Access 2016, 4, 880–892. [Google Scholar] [CrossRef]
- Hollingsworth, K.P.; Bowyer, K.W.; Flynn, P.J. The best bits in an iris code. IEEE Trans. Pattern Anal. Mach. Intell. 2009, 31, 964–973. [Google Scholar] [CrossRef]
- Hollingsworth, K.P.; Bowyer, K.W.; Flynn, P.J. Improved iris recognition through fusion of hamming distance and fragile bit distance. IEEE Trans. Pattern Anal. Mach. Intell. 2011, 33, 2465–2476. [Google Scholar] [CrossRef] [PubMed]
- Rathgeb, C.; Breitinger, F.; Busch, C. Alignment-free cancelable iris biometric templates based on adaptive bloom filters. In Proceedings of the 2013 International Conference on Biometrics (ICB), Madrid, Spain, 4–7 June 2013; pp. 1–8. [Google Scholar]
- Lai, Y.-L.; Jin, Z.; Teoh, A.B.J.; Goi, B.-M.; Yap, W.-S.; Chai, T.-Y.; Rathgeb, C. Cancellable iris template generation based on Indexing-First-One hashing. Pattern Recognit. 2017, 64, 105–117. [Google Scholar] [CrossRef]
- Kong, A.; Cheung, K.-H.; Zhang, D.; Kamel, M.; You, J. An analysis of BioHashing and its variants. Pattern Recognit. 2006, 39, 1359–1368. [Google Scholar] [CrossRef]
- Teoh, A.B.; Kuan, Y.W.; Lee, S. Cancellable biometrics and annotations on biohash. Pattern Recognit. 2008, 41, 2034–2044. [Google Scholar] [CrossRef]
- Zuo, J.; Ratha, N.K.; Connell, J.H. Cancelable iris biometric. In Proceedings of the ICPR 2008 19th International Conference on Pattern Recognition, Tampa, FL, USA, 8–11 December 2008; pp. 1–4. [Google Scholar]
- Chin, C.S.; Jin, A.T.B.; Ling, D.N.C. High security iris verification system based on random secret integration. Comput. Vis. Image Underst. 2006, 102, 169–177. [Google Scholar] [CrossRef]
- Pillai, J.K.; Patel, V.M.; Chellappa, R.; Ratha, N.K. Sectored random projections for cancelable iris biometrics. In Proceedings of the 2010 IEEE International Conference on Acoustics Speech and Signal Processing (ICASSP), Dallas, TX, USA, 14–19 March 2010; pp. 1838–1841. [Google Scholar]
- Lacharme, P.; Cherrier, E.; Rosenberger, C. Preimage attack on biohashing. In Proceedings of the 2013 International Conference on Security and Cryptography (SECRYPT), Reykjavik, Iceland, 29–31 July 2013; pp. 1–8. [Google Scholar]
- Noto, S.; Correia, P.L.; Soares, L.D. Analysis of error correcting codes for the secure storage of biometric templates. In Proceedings of the 2011 IEEE EUROCON-International Conference on Computer as a Tool, Lisbon, Portugal, 27–29 April 2011; pp. 1–4. [Google Scholar]
- Merkle, J.; Niesing, M.; Schwaiger, M.; Ihmor, H.; Korte, U. Security capacity of the fuzzy fingerprint vault. Int. J. Adv. Secur. 2010, 3, 146–168. [Google Scholar]
- Tams, B. Attacks and countermeasures in fingerprint based biometric cryptosystems. arXiv 2013, arXiv:1304.7386. [Google Scholar]
- Lee, Y.J.; Park, K.R.; Lee, S.J.; Bae, K.; Kim, J. A new method for generating an invariant iris private key based on the fuzzy vault system. IEEE Trans. Syst. Manand Cybern. Part B (Cybern.) 2008, 38, 1302–1313. [Google Scholar] [CrossRef]
- Rathgeb, C.; Uhl, A. Privacy preserving key generation for iris biometrics. In Proceedings of the2010 IFIP International Conference on Communications and Multimedia Security, Linz, Austria, 31 May–2 June 2010; pp. 191–200. [Google Scholar]
- Hämmerle-Uhl, J.; Pschernig, E.; Uhl, A. Cancelable Iris Biometrics Using Block Re-mapping and Image Warping. In Proceedings of the 2009 ISC, Pisa, Italy, 7–9 September 2009; pp. 135–142. [Google Scholar]
- Jenisch, S.; Uhl, A. Security analysis of a cancelable iris recognition system based on block remapping. In Proceedings of the 2011 18th IEEE International Conference on Image Processing (ICIP), Brussels, Belgium, 11–14 September 2011; pp. 3213–3216. [Google Scholar]
- Ouda, O.; Tsumura, N.; Nakaguchi, T. On the security of bioencoding based cancelable biometrics. IEICE Trans. Inf. Syst. 2011, 94, 1768–1777. [Google Scholar] [CrossRef]
- Lacharme, P. Analysis of the iriscodes bioencoding scheme. Int. J. Comput. Sci. Softw. Eng. (IJCSSE 2012) 2012, 6, 315–321. [Google Scholar]
- Hermans, J.; Mennink, B.; Peeters, R. When a bloom filter is a doom filter: Security assessment of a novel iris biometric template protection system. In Proceedings of the 2014 International Conference of the Biometrics Special Interest Group (BIOSIG), Darmstadt, Germany, 18–20 September 2019; pp. 1–6. [Google Scholar]
- Bringer, J.; Morel, C.; Rathgeb, C. Security analysis of bloom filter-based iris biometric template protection. In Proceedings of the 2015 International Conference on Biometrics (ICB), Phuket, Thailand, 19–22 May 2015; pp. 527–534. [Google Scholar]
- Gomez-Barrero, M.; Rathgeb, C.; Galbally, J.; Busch, C.; Fierrez, J. Unlinkable and irreversible biometric template protection based on bloom filters. Inf. Sci. 2016, 370, 18–32. [Google Scholar] [CrossRef]
- Gomez-Barrero, M.; Rathgeb, C.; Li, G.; Ramachandra, R.; Galbally, J.; Busch, C. Multi-biometric template protection based on bloom filters. Inf. Fusion 2018, 42, 37–50. [Google Scholar] [CrossRef]
- Sadhya, D.; Raman, B. Generation of cancelable iris templates via randomized bit sampling. IEEE Trans. Inf. Forensics Secur. 2019, 14, 2972–2986. [Google Scholar] [CrossRef]
- Dwivedi, R.; Dey, S. Cancelable iris template generation using look-up table mapping. In Proceedings of the 2015 2nd International Conference on Signal Processing and Integrated Networks (SPIN), New Delhi, India, 19–20 February 2015; pp. 785–790. [Google Scholar]
- Zhao, D.; Fang, S.; Xiang, J.; Tian, J.; Xiong, S. Iris template protection based on local ranking. Secur. Commun. Netw. 2018, 2018, 1–9. [Google Scholar] [CrossRef]
- Nandakumar, K.; Jain, A.K. Biometric template protection: Bridging the performance gap between theory and practice. IEEE Signal Process. Mag. 2015, 32, 88–100. [Google Scholar] [CrossRef]
- Chai, T.-Y.; Goi, B.-M.; Tay, Y.-H. The Construction of Confidence Bits to Improve Protected Iris Recognition System. Int. J. Adv. Soft Compu. Appl 2019, 11, 81–93. [Google Scholar]
- Hao, F.; Anderson, R.; Daugman, J. Combining Cryptography with Biometrics Effectively; Computer Laboratory, University of Cambridge: Cambridge, UK, 2005. [Google Scholar]
- Chinese Academy of Sciences. CASIA Iris Image Database V1.0. 2003. Available online: http://biometrics.idealtest.org/dbDetailForUser.do?id=1 (accessed on 2 April 2021).
- Chinese Academy of Sciences. CASIA Iris Image Database V3.0-Interval. Available online: http://biometrics.idealtest.org (accessed on 2 April 2021).
- Biometrics Ideal Test. CASIA Iris Thousand Database V4.0. 2014. Available online: http://biometrics.idealtest.org/dbDetailForUser.do?id=4 (accessed on 2 April 2021).
- Phillips, P.J.; Scruggs, W.T.; O’Toole, A.J.; Flynn, P.J.; Bowyer, K.W.; Schott, C.L.; Sharpe, M. FRVT 2006 and ICE 2006 large-scale experimental results. IEEE Trans. Pattern Anal. Mach. Intell. 2009, 32, 831–846. [Google Scholar] [CrossRef] [PubMed]
- Hu, Y.; Sirlantzis, K.; Howells, G. Optimal generation of iris codes for iris recognition. IEEE Trans. Inf. Forensics Secur. 2016, 12, 157–171. [Google Scholar] [CrossRef]
- Lai, Y.-L.; Jin, Z.; Goi, B.-M.; Chai, T.-Y.; Yap, W.-S. Iris Cancellable Template Generation Based on Indexing-First-One Hashing. In Proceedings of the 2016 International Conference on Network and System Security, Taipei, Taiwan, 28–30 September 2016; pp. 450–463. [Google Scholar]
- Daugman, J. Biometric Decision Landscapes; Computer Laboratory, University of Cambridge: Cambridge, UK, 2000. [Google Scholar]
- Rathgeb, C.; Uhl, A. Secure iris recognition based on local intensity variations. In Proceedings of the 2010 International Conference Image Analysis and Recognition, Póvoa de Varzim, Portugal, 21–23 June 2010; pp. 266–275. [Google Scholar]













| Database | Number of Eye Images | Number of Class | Wavelength | Noise Mask (Y/N) |
|---|---|---|---|---|
| CASIAv1 | 756 | 108 | NIR | Yes |
| CASIAv3 | 868 | 124 | NIR | No |
| CASIAv4 | 331 | 100 | NIR | Yes |
| ND0405 | 784 | 100 | NIR | Yes |
| Database | Equal Error Rate, % | |||
|---|---|---|---|---|
| Bloom Filter | Enhanced IFO Hashing | Proposed Binary Confidence Matrix | Proposed Probability Confidence Matrix | |
| CASIAv1 | 5.91 | 5.81 | 4.80 | 2.01 |
| CASIAv3 | 1.14 | 0.69 | 0.51 | 0.05 |
| CASIAv4 | 8.11 | 6.17 | 1.64 | 1.08 |
| ND0405 | 10.74 | 7.28 | 2.28 | 2.48 |
| Iris Database | Training Sample | Equal Error Rate (%) | |
|---|---|---|---|
| Binary Confidence Matrix | Probability Confidence Matrix | ||
| CASIAv1 | 2 | 4.80 | 4.40 |
| 3 | 5.01 | 2.01 | |
| 4 | 4.67 | 2.17 | |
| 5 | 3.11 | 2.12 | |
| 6 | 2.10 | 2.05 | |
| CASIAv4 | 2 | 3.02 | 3.90 |
| 3 | 1.64 | 1.08 | |
| 4 | 1.41 | 2.82 | |
| 5 | 0.97 | 2.99 | |
| 6 | 1.42 | 2.89 | |
| ND0405 | 2 | 3.43 | 4.27 |
| 3 | 2.28 | 2.48 | |
| 4 | 2.34 | 3.12 | |
| 5 | 2.11 | 3.17 | |
| 6 | 2.71 | 3.80 | |
| CASIAv3 | 2 | 0.51 | 0.49 |
| 3 | 0.20 | 0.20 | |
| 4 | 0.27 | 0.05 | |
| 5 | 0.76 | 0.03 | |
| 6 | 0.88 | 0.09 | |
| Methods | Iris Databases | |||
|---|---|---|---|---|
| CASIAv1 | CASIAv4 | ND0405 | CASIAV3 | |
| Enhanced IFO | 2.772 | 2.521 | 2.641 | 4.94 |
| Confidence Matrix (binary/probability) | 3.624/3.404 | 4.567/3.859 | 4.12/3.7064 | 5.92/4.91 |
Publisher’s Note: MDPI stays neutral with regard to jurisdictional claims in published maps and institutional affiliations. |
© 2021 by the authors. Licensee MDPI, Basel, Switzerland. This article is an open access article distributed under the terms and conditions of the Creative Commons Attribution (CC BY) license (https://creativecommons.org/licenses/by/4.0/).
Share and Cite
Chai, T.-Y.; Goi, B.-M.; Yap, W.-S. Towards Better Performance for Protected Iris Biometric System with Confidence Matrix. Symmetry 2021, 13, 910. https://doi.org/10.3390/sym13050910
Chai T-Y, Goi B-M, Yap W-S. Towards Better Performance for Protected Iris Biometric System with Confidence Matrix. Symmetry. 2021; 13(5):910. https://doi.org/10.3390/sym13050910
Chicago/Turabian StyleChai, Tong-Yuen, Bok-Min Goi, and Wun-She Yap. 2021. "Towards Better Performance for Protected Iris Biometric System with Confidence Matrix" Symmetry 13, no. 5: 910. https://doi.org/10.3390/sym13050910
APA StyleChai, T.-Y., Goi, B.-M., & Yap, W.-S. (2021). Towards Better Performance for Protected Iris Biometric System with Confidence Matrix. Symmetry, 13(5), 910. https://doi.org/10.3390/sym13050910

