Disassembly Sequence Planning for Intelligent Manufacturing Using Social Engineering Optimizer
Abstract
1. Introduction
2. Disassembly Information Model
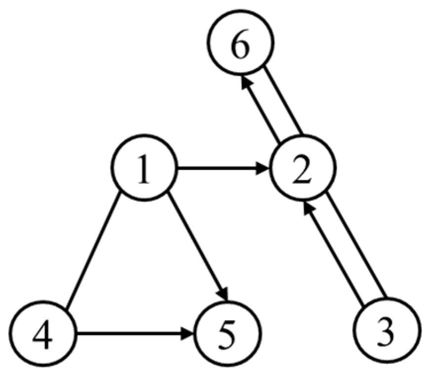
2.1. Disassembly Hybrid Graph
2.2. Objective Function of DSP
3. The Improved Social Engineering Optimizer
3.1. Social Engineering
3.2. Swap Operator and Swap Sequence
3.3. Swap Sequence Based SEO
4. Results and Discussion
4.1. Problem Description
4.2. Influence of Parameters
4.3. Comparison with Other Algorithms
5. Conclusions
Author Contributions
Funding
Institutional Review Board Statement
Informed Consent Statement
Data Availability Statement
Acknowledgments
Conflicts of Interest
References
- Zhu, X.T.; Zhang, Z.Q.; Zhu, X.M. An ant colony optimization algorithm for multi-objective disassembly line balancing problem. China Mech. Eng. 2014, 25, 1075–1079. [Google Scholar]
- Guo, L.; Zhang, X.F. Remanufacturing parallel disassembly sequence planning method driven by multiple failures. J. Zhejiang Univ. Eng. Sci. 2020, 54, 2233–2246. [Google Scholar]
- Henrioud, J.M.; Bourjault, A.L. A Computer-Aided Generator of Assembly Plans; Springer: Boston, MA, USA, 1991; pp. 191–215. [Google Scholar]
- Homem, D.M.L.S.; Sanderson, A.C. AND/OR graph representation of assembly plans. IEEE Trans. Robot. Autom. 1990, 6, 188–199. [Google Scholar] [CrossRef]
- Li, J.R.; Khoo, L.P.; Tor, S.B. A novel representation scheme for disassembly sequence planning. Int. J. Adv. Manuf. Tech. 2002, 20, 621–630. [Google Scholar] [CrossRef]
- Huang, Y.M.; Huang, C.T. Disassembly matrix for disassembly processes of products. Int. J. Prod. Res. 2002, 40, 255–273. [Google Scholar] [CrossRef]
- Mitrouchev, P.; Wang, C.G.; Lu, L.X.; Li, G.Q. Selective disassembly sequence generation based on lowest level disassembly graph method. Int. J. Adv. Manuf. Tech. 2015, 80, 141–159. [Google Scholar] [CrossRef]
- Hu, Y.; Srinivasan, R.; Spoll, J.; Ameta, G. Graph based method and tool for complete and selective disassembly time estimation in early design. J. Comput. Inf. Sci. Eng. 2015, 15, 031005. [Google Scholar] [CrossRef]
- Edmunds, R.; Kobayashi, M.; Higashi, M. Using constraint-satisfaction to optimize disassembly sequences generated from and/or information. Int. J. Prod. Res. 2012, 50, 4105–4126. [Google Scholar] [CrossRef]
- Smith, S.S.; Chen, W.H. Rule-based recursive selective disassembly sequence planning for green design. Adv. Eng. Inform. 2011, 25, 77–87. [Google Scholar] [CrossRef]
- Issaoui, L.; Aifaoui, N.; Benamara, A. Model of mobility state of parts, the automation of feasibility test in disassembly sequence generation. Proc. Inst. Mech. Eng. C J. Mech. Eng. Sci. 2017, 231, 3702–3714. [Google Scholar] [CrossRef]
- Tian, G.D.; Ren, Y.P.; Feng, Y.X.; Zhou, M.C.; Zhang, H.H.; Tan, J.R. Modeling and planning for dual-objective selective disassembly using AND/OR graph and discrete artificial bee colony. IEEE Trans. Ind. Inform. 2019, 15, 2456–2468. [Google Scholar] [CrossRef]
- Wang, W.J.; Tian, G.D.; Zhang, T.Z.; Jabarullah, N.H.; Li, F.Y.; Fathollahi-Fard, A.M.; Wang, D.Q.; Li, Z.W. Scheme selection of design for disassembly (DFD) based on sustainability: A novel hybrid of interval 2-tuple linguistic intuitionistic fuzzy numbers and regret theory. J. Clean. Prod. 2020, 281, 124724. [Google Scholar] [CrossRef]
- Feng, Y.X.; Gao, Y.C.; Tian, G.D.; Li, Z.W.; Hu, H.S.; Zheng, H. Flexible process planning and end-of-life decision-making for product recovery optimization based on hybrid disassembly. IEEE Trans. Autom. Sci. Eng. 2019, 16, 311–326. [Google Scholar] [CrossRef]
- Yuan, G.; Yang, Y.S.; Tian, G.D.; Zhuang, Q.W. Comprehensive evaluation of disassembly performance based on the ultimate cross-efficiency and extension-gray correlation degree. J. Clean. Prod. 2020, 245, 118800. [Google Scholar] [CrossRef]
- Jiao, Q.L.; Xu, D.; Li, C. Product disassembly sequence planning based on flower pollination algorithm. Comput. Integr. Manuf. Syst. 2016, 22, 2791–2799. [Google Scholar]
- Zhang, X.F.; Wei, G.; Wang, L. Parallel disassembly sequence planning for complex products based on genetic algorithm. J. Comput. Aided Des. Comput. Graph. 2015, 27, 1327–1333. [Google Scholar]
- Jin, L.L.; Zhang, C.Y.; Fei, X.J. Realizing energy savings in integrated process planning and scheduling. Processes 2020, 7, 120. [Google Scholar] [CrossRef]
- Hu, Z.B.; He, D.F.; Song, W.; Feng, K. Model and algorithm for planning hot-rolled batch processing under time-of-use electricity pricing. Processes 2020, 8, 42. [Google Scholar] [CrossRef]
- Wang, X.; Du, Z.Z.; Zhang, Y.L.; Wang, J.D.; Wang, J.H.; Sun, W. Optimization of distillation sequences with nonsharp separation columns. Processes 2019, 7, 323. [Google Scholar] [CrossRef]
- Kongar, E.; Gupta, S.M. Disassembly sequencing using genetic algorithm. Int. J. Adv. Manuf. Tech. 2006, 30, 497–506. [Google Scholar] [CrossRef]
- Zhang, X.F.; Zhang, S.Y. Product disassembly sequence planning based on particle swarm optimization algorithm. Comput. Integr. Manuf. Syst. 2009, 15, 508–514. [Google Scholar]
- Xing, Y.F.; Wang, C.E.; Liu, Q. Disassembly sequence planning based on pareto ant colony algorithm. J. Mech. Eng. 2012, 48, 186–192. [Google Scholar] [CrossRef]
- Wu, H.; Zuo, H.F. Product disassembly sequence planning based on improved genetic algorithm. China Mech. Eng. 2009, 20, 699–703. [Google Scholar]
- Kheder, M.; Trigui, M.; Aifaoui, N. Disassembly sequence planning based on a genetic algorithm. Proc. Inst. Mech. Eng. C J. Mech. Eng. Sci. 2015, 229, 2281–2290. [Google Scholar] [CrossRef]
- Tseng, H.E.; Chang, C.C.; Lee, S.C.; Huang, Y.M. A block-based genetic algorithm for disassembly sequence planning. Expert. Syst. Appl. 2018, 96, 492–505. [Google Scholar] [CrossRef]
- Zhang, L.; Peng, H.W.; Bian, B.Y. Parallel disassembly modeling and planning method of complex products. China Mech. Eng. 2014, 25, 937–943. [Google Scholar] [CrossRef]
- Ren, Y.P.; Tian, G.D.; Zhao, F.; Yu, D.Y.; Zhang, C.Y. Selective cooperative disassembly planning based on multiobjective discrete artificial bee colony algorithm. Eng. Appl. Artif. Intell. 2017, 64, 415–431. [Google Scholar]
- Yeh, W.C. Simplified swarm optimization in disassembly sequencing problems with learning effects. Comput. Oper. Res. 2012, 39, 2168–2177. [Google Scholar] [CrossRef]
- Xia, K.; Gao, L.; Li, W.D.; Chao, K.M. Disassembly sequence planning using a simplified teaching learning-based optimization algorithm. Adv. Eng. Inform. 2014, 28, 518–527. [Google Scholar] [CrossRef]
- Tao, F.; Bi, L.N.; Zuo, Y.; Nee, A.Y.C. Partial/parallel disassembly sequence planning for complex products. J. Manuf. Sci. Eng. 2018, 140, 011016. [Google Scholar] [CrossRef]
- Ren, Y.P.; Zhang, C.Y.; Zhao, F.; Xiao, H.J.; Tian, G.D. An asynchronous parallel disassembly planning based on genetic algorithm. Eur. J. Oper. Res. 2018, 269, 647–660. [Google Scholar] [CrossRef]
- Guo, X.W.; Liu, S.X.; Zhou, M.C.; Tian, G.D. Dual-objective program and scatter search for the optimization of disassembly sequences subject to multiresource constraints. IEEE Trans. Autom. Sci. Eng. 2018, 15, 1098–1103. [Google Scholar] [CrossRef]
- Tian, G.D.; Zhou, M.C.; Li, P.G. Disassembly sequence planning considering fuzzy component quality and varying operational cost. IEEE Trans. Autom. Sci. Eng. 2018, 15, 748–760. [Google Scholar] [CrossRef]
- Yang, Y.S.; Yuan, G.; Zhuang, Q.W.; Tian, G.D. Multi-objective low-carbon disassembly line balancing for agricultural machinery using MDFOA and fuzzy AHP. J. Clean. Prod. 2019, 233, 1465–1474. [Google Scholar] [CrossRef]
- Stefanini, A.; Aloini, D.; Benevento, E.; Dulmin, R.; Mininno, V. A data-driven methodology for supporting resource planning of health services. Socio-Econ. Plan. Sci. 2020, 70, 100744. [Google Scholar] [CrossRef]
- Parsa, S.; Saadat, M. Intelligent selective disassembly planning based on disassemblability characteristics of product components. Int. J. Adv. Manuf. Tech. 2019, 104, 1769–1783. [Google Scholar] [CrossRef]
- Bentaha, M.L.; Voisin, A.; Marangé, P. A decision tool for disassembly process planning under end-of-life product quality. Int. J. Prod. Econ. 2020, 219, 386–401. [Google Scholar] [CrossRef]
- Babbitt, C.W.; Madaka, H.; Althaf, S.; Kasulaitis, B.; Ryen, E.G. Disassembly-based bill of materials data for consumer electronic products. Sci. Data 2020, 7, 251. [Google Scholar] [CrossRef]
- Tian, G.D.; Hao, N.N.; Zhou, M.C.; Pedrycz, W.; Zhang, C.Y.; Ma, F.W.; Li, Z.W. Fuzzy grey Choquet integral for evaluation of multicriteria decision making problems with interactive and qualitative indices. IEEE Trans. Syst. Man Cybern. Syst. 2021, 5, 1855–1868. [Google Scholar] [CrossRef]
- Tian, G.D.; Zhang, H.H.; Feng, Y.X.; Jia, H.F.; Zhang, C.Y.; Jiang, Z.G.; Li, Z.W.; Li, P.G. Operation patterns analysis of automotive components remanufacturing industry development in China. J. Clean. Prod. 2017, 64, 1363–1375. [Google Scholar] [CrossRef]
- Wang, W.J.; Tian, G.D.; Chen, M.N.; Tao, F.; Zhang, C.Y.; Ai-Ahmari, A.; Li, Z.W.; Jiang, Z.G. Dual-objective program and improved artificial bee colony for the optimization of energy-conscious milling parameters subject to multiple constraints. J. Clean. Prod. 2020, 245, 118714. [Google Scholar] [CrossRef]
- Wolpert, D.H.; Macready, W.G. No free lunch theorems for optimization. IEEE Trans. Evolut. Comput. 1997, 1, 67–82. [Google Scholar] [CrossRef]
- Amir, M.F.F.; Mostafa, H.K.; Reza, T.M. The social engineering optimizer (SEO). Eng. Appl. Artif. Intell. 2018, 72, 267–293. [Google Scholar]
- Yang, D.Y.; Xu, Z.G.; Zhu, J.F.; Su, K.Y.; Liu, W.M. Objective selective disassembly sequence planning considered product fault features. J. Harbin Inst. Technol. 2019, 51, 160–170. [Google Scholar]
- Chen, Y.W.; Chen, W.D. Product disassembly sequence optimization based on profit-probability under uncertain environment. Comput. Integr. Manuf. Syst. 2014, 20, 793–798. [Google Scholar]
- Krombholz, K.; Hobel, H.; Huber, M.; Weippl, E. Advanced social engineering attacks. J. Inf. Secur. Appl. 2015, 22, 113–122. [Google Scholar] [CrossRef]
- Huang, L.; Wang, K.P.; Zhou, C.G.; Pang, W.; Dong, L.J.; Peng, L. Particle swarm optimization for traveling salesman problems. J. Jilin Univ. Sci. Ed. 2003, 41, 477–480. [Google Scholar]












| Order | Name | Quantity | Tool | Direction |
|---|---|---|---|---|
| 1 | Shell (non-removable) | 1 | − | − |
| 2 | Grease fitting | 1 | Wrench (T1) | +z |
| 3 | Turbine shaft shim end cover | 1 | Special tool (T2) | −y |
| 4 | Hexagon socket head cap screws | 4 | Allen wrench (T3) | +y |
| 5 | Turbine shaft end cover 1 | 1 | Hand (T0) | +y |
| 6 | Skeleton oil seal 1 | 1 | Hammer (T4) | +y |
| 7 | Turbine shaft bearing 1 | 1 | Hammer (T4) | +y |
| 8 | Turbine | 1 | Special tool (T5) | +y |
| 9 | Turbine shaft | 1 | Hammer (T4) | −y |
| 10 | Slotted set screws with flat point | 3 | Screwdriver (T6) | −y |
| 11 | Turbine shaft bearing 2 | 1 | Hammer (T4) | −y |
| 12 | Skeleton oil seal 2 | 1 | Hammer (T4) | −y |
| 13 | Turbine shaft end cover 2 | 1 | Hand (T0) | −y |
| 14 | Hexagon socket head cap screws | 4 | Allen wrench (T3) | −y |
| 15 | Hexagon socket head cap screws | 4 | Allen wrench (T3) | −x |
| 16 | Worm shaft end cover 1 | 1 | Hand (T0) | −x |
| 17 | Oil seal 1 | 1 | Tong (T7) | −x |
| 18 | Worm shaft bearing 1 | 1 | Hammer (T4) | −x |
| 19 | Bearing cap gasket 1 | 1 | Special tool (T2) | −x |
| 20 | Worm | 1 | Special tool (T5) | −x |
| 21 | Bearing cap gasket 2 | 1 | Special tool (T2) | +x |
| 22 | Worm shaft bearing 2 | 1 | Hammer (T4) | +x |
| 23 | Oil seal 2 | 1 | Tong (T7) | +x |
| 24 | Worm shaft end cover 2 | 1 | Hand (T0) | +x |
| 25 | Hexagon socket head cap screws | 4 | Allen wrench (T3) | +x |
| Algorithm Name | Disassembly Sequence | Tools’ Change | Directions’ Change | Fitness/s |
|---|---|---|---|---|
| GA | 2, 25, 14, 15, 4, 5, 24, 13, 16, 19, 3, 21, 23, 17, 18, 12, 6, 7, 11, 10, 9, 22, 8, 20 | 8 | 17 | 603 |
| ABC | 2, 15, 14, 25, 4, 5, 24, 13, 16, 19, 3, 21, 23, 17, 6, 7, 18, 12, 11, 10, 9, 22, 8, 20 | 8 | 17 | 603 |
| ACO | 2, 25, 14, 15, 4, 5, 24, 13, 16, 17, 23, 21, 3, 12, 6, 7, 18, 11, 10, 9, 22, 8, 20, 19 | 9 | 15 | 603 |
| SEO | 2, 15, 4, 25, 14, 13, 24, 5, 16, 17, 23, 21, 3, 19, 18, 12, 6, 7, 11, 10, 9, 22, 8, 20 | 8 | 17 | 603 |
Publisher’s Note: MDPI stays neutral with regard to jurisdictional claims in published maps and institutional affiliations. |
© 2021 by the authors. Licensee MDPI, Basel, Switzerland. This article is an open access article distributed under the terms and conditions of the Creative Commons Attribution (CC BY) license (https://creativecommons.org/licenses/by/4.0/).
Share and Cite
Zhang, C.; Fathollahi-Fard, A.M.; Li, J.; Tian, G.; Zhang, T. Disassembly Sequence Planning for Intelligent Manufacturing Using Social Engineering Optimizer. Symmetry 2021, 13, 663. https://doi.org/10.3390/sym13040663
Zhang C, Fathollahi-Fard AM, Li J, Tian G, Zhang T. Disassembly Sequence Planning for Intelligent Manufacturing Using Social Engineering Optimizer. Symmetry. 2021; 13(4):663. https://doi.org/10.3390/sym13040663
Chicago/Turabian StyleZhang, Cheng, Amir Mohammad Fathollahi-Fard, Jianyong Li, Guangdong Tian, and Tongzhu Zhang. 2021. "Disassembly Sequence Planning for Intelligent Manufacturing Using Social Engineering Optimizer" Symmetry 13, no. 4: 663. https://doi.org/10.3390/sym13040663
APA StyleZhang, C., Fathollahi-Fard, A. M., Li, J., Tian, G., & Zhang, T. (2021). Disassembly Sequence Planning for Intelligent Manufacturing Using Social Engineering Optimizer. Symmetry, 13(4), 663. https://doi.org/10.3390/sym13040663

