Transport Model Approach to Λ and Λ¯ Polarization in Heavy-Ion Collisions
Abstract
1. Introduction
2. Thermal Vorticity and Hyperon Polarization
3. Models at Our Disposal
3.1. UrQMD Model
3.2. Statistical Model of Ideal Hadron Gas
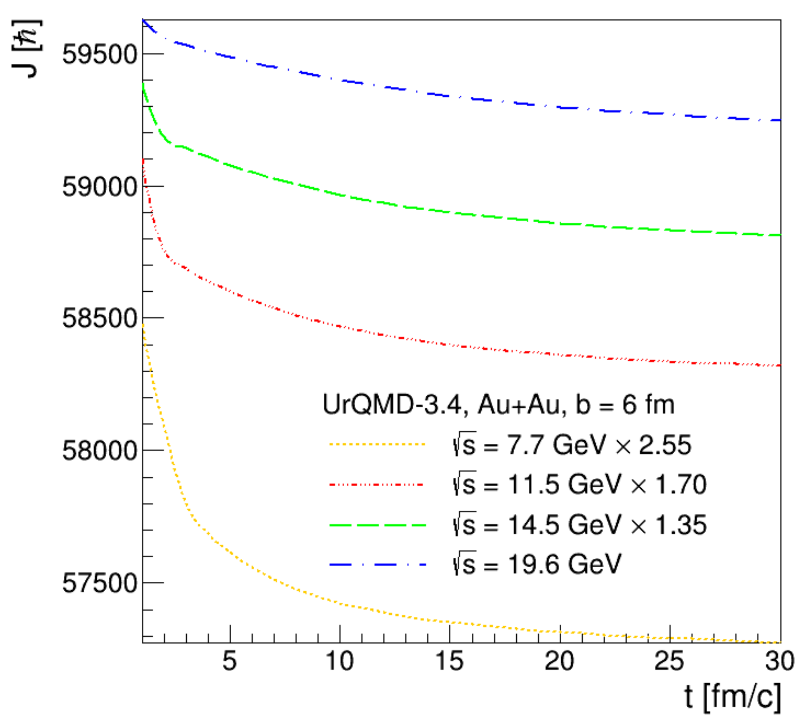
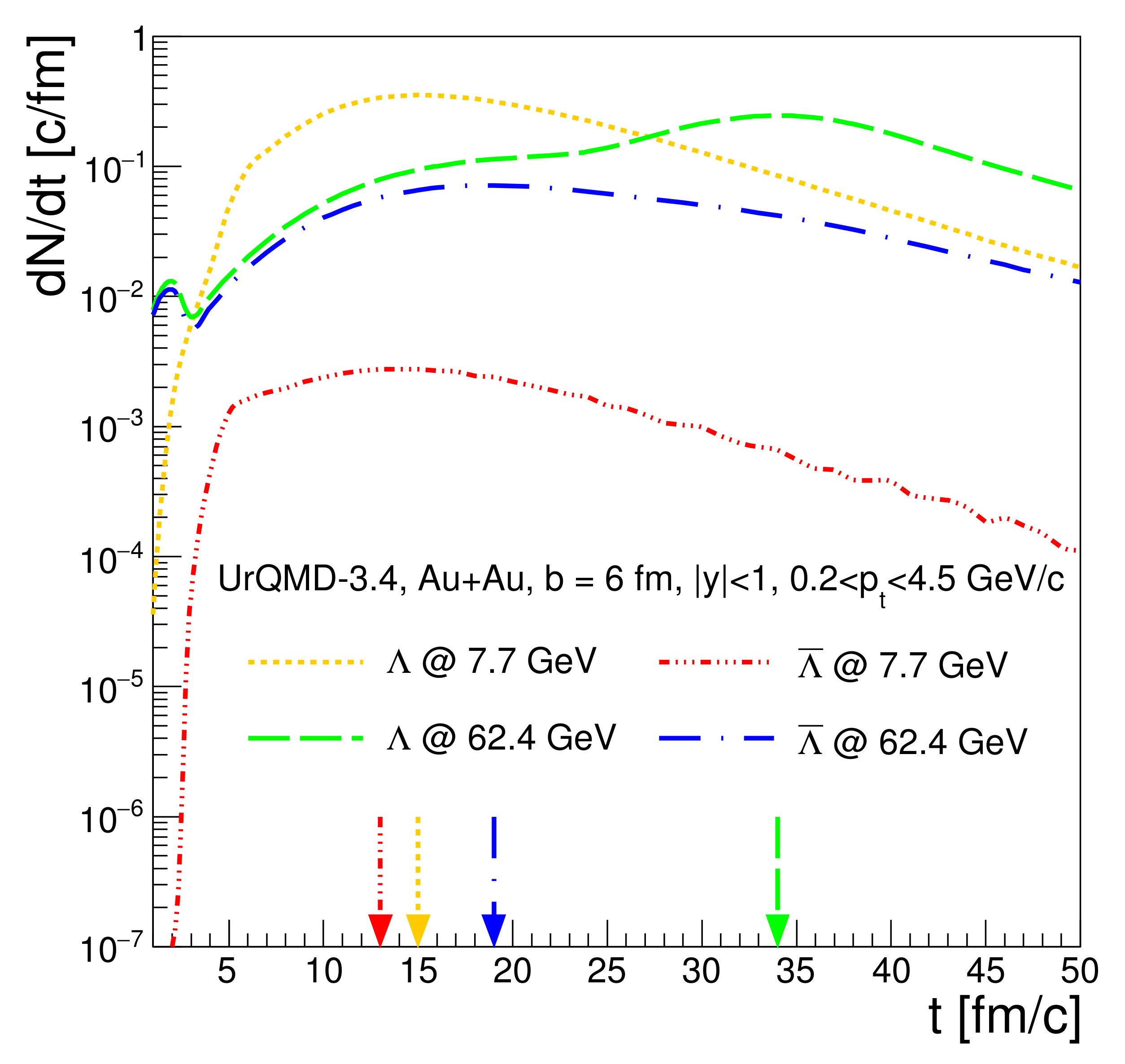
4. Vorticity, Freeze-Out and Hyperon Polarization
5. Conclusions
Author Contributions
Funding
Institutional Review Board Statement
Informed Consent Statement
Data Availability Statement
Acknowledgments
Conflicts of Interest
References
- Liu, F.; Wang, E.; Wang, X.-N.; Xu, N.; Zhang, B.-W. (Eds.) Quark Matter Wuhan 2019; Elsevier: Amsterdam, The Netherlands, 2021; Volume 1005. [Google Scholar]
- Liang, Z.; Wang, X.-N. Globally polarized quark-gluon plasma in non-central A + A collisions. Phys. Rev. Lett. 2005, 94, 102301, Erratum in Phys. Rev. Lett. 2006, 96, 039901(E). [Google Scholar] [CrossRef]
- Betz, B.; Gyulassy, M.; Torrieri, G. Polarization probes of vorticity in heavy ion collisions. Phys. Rev. C 2007, 76, 044901. [Google Scholar] [CrossRef]
- Becattini, F.; Piccinini, F.; Rizzo, J. Angular momentum conservation in heavy ion collisions at very high energy. Phys. Rev. C 2008, 77, 024906. [Google Scholar] [CrossRef]
- Rogachevsky, O.; Sorin, A.; Teryaev, O. Chiral vortaic effect and neutron asymmetries in heavy-ion collisions. Phys. Rev. C 2010, 82, 054910. [Google Scholar] [CrossRef]
- Gao, J.H.; Liang, Z.-T.; Pu, S.; Wang, Q.; Wang, X.-N. Chiral anomaly and local polarization effect from the quantum kinetic approach. Phys. Rev. Lett. 2012, 109, 232301. [Google Scholar] [CrossRef]
- Becattini, F.; Csernai, L.P.; Wang, D.J. Λ polarization in peripheral heavy ion collisions. Phys. Rev. C 2013, 88, 034905, Erratum in Phys. Rev. C 2016, 93 069901. [Google Scholar] [CrossRef]
- Becattini, F.F.; Inghirami, G.; Rolando, V.; Beraudo, A.; Del Zanna, L.; De Pace, A.; Nardi, M.; Pagliara, G.; Chandra, V. A study of vorticity formation in high energy nuclear collisions. Eur. Phys. J. C 2015, 75, 406, Erratum in Eur. Phys. J. C 2018, 78, 354. [Google Scholar] [CrossRef]
- Pang, L.G.; Petersen, H.; Wang, Q.; Wang, X.N. Vortical Fluid and Λ Spin Correlations in High-Energy Heavy-Ion Collisions. Phys. Rev. Lett. 2016, 117, 192301. [Google Scholar] [CrossRef] [PubMed]
- Li, H.; Pang, L.G.; Wang, Q.; Xia, X.L. Global Λ polarization in heavy-ion collisions from a transport model. Phys. Rev. C 2017, 96, 054908. [Google Scholar] [CrossRef]
- Abelev, B.; Aggarwal, M.M.; Ahammed, Z.; Anderson, B.D.; Arkhipkin, D.; Averichev, G.S.; Bai, Y.; Balewski, J.; Barannikova, O.; Barnby, L.; et al. Global polarization measurement in Au + Au collisions. Phys. Rev. C 2007, 76, 024915. [Google Scholar] [CrossRef]
- Acharya, S.; Adamova, D.; Adhya, S.P.; Adler, A.; Adolfsson, J.; Aggarwal, M.M.; Rinella, G.A.; Agnello, M.; Agrawal, N.; Ahammed, Z.; et al. Global polarization of Λ and hyperons in Pb-Pb collisions at the LHC. Phys. Rev. C 2020, 101, 044611. [Google Scholar] [CrossRef]
- Adamczyk, L.; Adkins, J.K.; Agakishiev, G.; Aggarwal, M.M.; Ahammed, Z.; Ajitanand, N.N.; Alekseev, I.; Anderson, D.M.; Aoyama, R.; Aparin, A.; et al. Global Λ hyperon polarization in nuclear collisions: Evidence for the most vortical fluid. Nature 2017, 548, 62–65. [Google Scholar]
- Becattini, F.; Karpenko, I.; Lisa, M.A.; Upsal, I.; Voloshin, S.A. Global hyperon polarization at local thermodynamic equilibrium with vorticity, magnetic field, and feed-down. Phys. Rev. C 2017, 95, 054902. [Google Scholar] [CrossRef]
- Sorin, A.; Teryaev, O. Axial anomaly and energy dependence of hyperon polarization in heavy-ion collisions. Phys. Rev. C 2017, 95, 011902(R). [Google Scholar] [CrossRef]
- Baznat, M.; Gudima, K.; Sorin, A.; Teryaev, O. Femto-vortex sheets and hyperon polarization in heavy-ion collisions. Phys. Rev. C 2016, 93, 031902. [Google Scholar] [CrossRef]
- Xie, Y.; Wang, D.; Csernai, L.P. Global Λ polarization in high energy collisions. Phys. Rev. C 2017, 95, 031901. [Google Scholar] [CrossRef]
- Karpenko, I.; Becattini, F. Study of Λ polarization in relativistic nuclear collisions at GeV. Eur. Phys. J. C 2017, 77, 213. [Google Scholar] [CrossRef]
- Ivanov, Y.B.; Soldatov, A.A. Vorticity in heavy-ion collisions at the JINR Nuclotron-based Ion Collider fAcility. Phys. Rev. C 2017, 95, 054915. [Google Scholar] [CrossRef]
- Kolomeitsev, E.E.; Toneev, V.D.; Voronyuk, V. Vorticity and hyperon polarization at energies available at JINR Nuclotron-based Ion Collider fAcility. Phys. Rev. C 2018, 97, 064902. [Google Scholar] [CrossRef]
- Csernai, L.P.; Kapusta, J.I.; Welle, T. Λ and spin interaction with meson fields generated by the baryon current in high energy nuclear collisions. Phys. Rev. C 2019, 99, 021901. [Google Scholar] [CrossRef]
- Ivanov, Y.B.; Toneev, V.D.; Soldatov, A.A. Estimates of hyperon polarization in heavy-ion collisions at collision energies GeV. Phys. Rev. C 2019, 100, 014908. [Google Scholar] [CrossRef]
- Vitiuk, O.; Bravina, L.V.; Zabrodin, E.E. Is different Λ and polarization caused by different spatio-temporal freeze-out picture? Phys. Lett. B 2020, 803, 135298. [Google Scholar] [CrossRef]
- Xie, Y.; Chen, G.; Csernai, L.P. A study of Λ and polarization splitting by meson field in PICR hydrodynamic model. Eur. Phys. J. C 2021, 81, 12. [Google Scholar] [CrossRef]
- Ivanov, Y.B. Global Λ polarization in moderately relativistic nuclear collisions. Phys. Rev. C 2021, 103, L031903. [Google Scholar] [CrossRef]
- Becattini, F.; Lisa, M.A. Polarization and Vorticity in the Quark–Gluon Plasma. Ann. Rev. Nucl. Part. Sci. 2020, 70, 395–423. [Google Scholar] [CrossRef]
- Bass, S.A.; Belkacem, M.; Bleicher, M. Microscopic models for ultrarelativistic heavy ion collisions. Prog. Part. Nucl. Phys. 1998, 41, 255–369. [Google Scholar] [CrossRef]
- Bleicher, M.; Zabrodin, E.; Spieles, C.; Bass, S.; Ernst, C.; Soff, S.; Bravina, L.; Belkacem, M.; Weber, H.; Stöcker, H.; et al. Relativistic hadron hadron collisions in the ultrarelativistic quantum molecular dynamics model. J. Phys. G 1999, 25, 1859–1896. [Google Scholar] [CrossRef]
- Tanabashi, M.; Hagiwara, K.; Hikasa, K.; Nakamura, K.; Sumino, Y.; Takahashi, F.; Tanaka, J.; Agashe, K.; Aielli, G.; Amsler, C.; et al. Particle Data Group. Phys. Rev. D 2018, 98, 030001. [Google Scholar] [CrossRef]
- Schwinger, J. On Gauge Invariance and Vacuum Polarization. Phys. Rev. 1951, 82, 664–679. [Google Scholar] [CrossRef]
- Drescher, H.J.; Ostapchenko, S.; Pierog, T.; Werner, K. Parton based Gribov-Regge theory. Phys. Rep. 2001, 350, 93–289. [Google Scholar] [CrossRef]
- Amelin, N.S.; Bravina, L.V. The Monte Carlo Realization of Quark-Gluon String Model for Description of High-energy Hadron Hadron Interactions. Sov. J. Nucl. Phys. 1990, 51, 133–140. [Google Scholar]
- Bleibel, J.; Bravina, L.V.; Zabrodin, E.E. How many of the scaling trends in pp collisions will be violated at TeV?—Predictions from Monte Carlo quark-gluon string model. Phys. Rev. D 2016, 93, 114012. [Google Scholar] [CrossRef]
- Ostapchenko, S. Monte Carlo treatment of hadronic interactions in enhanced Pomeron scheme: I. QGSJET-II model. Phys. Rev. D 2011, 83, 014018. [Google Scholar] [CrossRef]
- Andersson, B.; Gustafson, G.; Ingelman, G.; Sjostrand, T. Parton Fragmentation and String Dynamics. Phys. Rept. 1983, 97, 31–145. [Google Scholar] [CrossRef]
- Petersen, H.; Steinheimer, J.; Burau, G.; Bleicher, M.; Stocker, H. A Fully Integrated Transport Approach to Heavy Ion Reactions with an Intermediate Hydrodynamic Stage. Phys. Rev. C 2008, 78, 044901. [Google Scholar] [CrossRef]
- Bravina, L.V.; Gorenstein, M.; Belkacem, M.; Bass, S.; Bleicher, M.; Brandstetter, M.; Hofmann, M.; Soff, S.; Spieles, C.; Weber, H.; et al. Local thermodynamical equilibrium and the equation of state of hot, dense matter created in Au + Au collisions at AGS. Phys. Lett. B 1998, 434, 379–387. [Google Scholar] [CrossRef]
- Bravina, L.V.; Brandstetter, M.; Gorenstein, M.I.; Zabrodin, E.E.; Belkacem, M.; Bleicher, M.; Bass, S.; Ernst, C.; Hofmann, M.; Soff, S.; et al. Local thermal and chemical equilibration and the equation of state in relativistic heavy ion collisions. J. Phys. G 1999, 25, 351–362. [Google Scholar] [CrossRef][Green Version]
- Bravina, L.V.; Zabrodin, E.E.; Gorenstein, M.I.; Bass, S.; Belkacem, M.; Bleicher, M.; Brandstetter, M.; Ernst, C.; Hofmann, M.; Neise, L.; et al. Local equilibrium in heavy ion collisions: Microscopic model versus statistical model analysis. Phys. Rev. C 1999, 60, 024904. [Google Scholar] [CrossRef]
- Bravina, L.V.; Zabrodin, E.E.; Bass, S.A.; Bleicher, M.; Brandstetter, M.; Faessler, A.; Fuchs, C.; Greiner, W.; Soff, S.; Stocker, H.; et al. Equation of state of resonance rich matter in the central cell in heavy ion collisions at S1/2 = 200 AGeV. Phys. Rev. C 2001, 63, 064902. [Google Scholar] [CrossRef]
- Bravina, L.V.; Arsene, I.; Nilsson, M.S.; Tywoniuk, K.; Zabrodin, E.E.; Bleibel, J.; Faessler, A.; Fuchs, C.; Bleicher, M.; Burau, G.; et al. Microscopic models and effective equation of state in nuclear collisions in the vicinity of Elab = 30A GeV at the GSI Facility for Antiproton and Ion Research (FAIR) and beyond. Phys. Rev. C 2008, 78, 014907. [Google Scholar] [CrossRef]
- Oliinychenko, D.; Petersen, H. Deviations of the Energy-Momentum Tensor from Equilibrium in the Initial State for Hydrodynamics from Transport Approaches. Phys. Rev. C 2016, 93, 034905. [Google Scholar] [CrossRef]
- Somnath, D.; Sudipan, D.; Chattopadhyay, S. Thermalization of dense hadronic matter in Au + Au collisions at energies available at the Facility for Antiproton and Ion Research. Phys. Rev. C 2016, 94, 054901. [Google Scholar]
- Bass, S.A.; Dumitru, A.; Bleicher, M.; Bravina, L.; Zabrodin, E.; Stocker, H.; Greiner, W. Hadronic freezeout following a first order hadronization phase transition in ultrarelativistic heavy ion collisions. Phys. Rev. C 1999, 60, 021902. [Google Scholar] [CrossRef]
- Bravina, L.V.; Mishustin, I.; Amelin, N.; Bondorf, J.; Csernai, L. Freezeout in relativistic heavy ion collisions at AGS energies. Phys. Lett. B 1995, 354, 196–201. [Google Scholar] [CrossRef]
- Bravina, L.V.; Mishustin, I.N.; Bondorf, J.P.; Faessler, A.; Zabrodin, E.E. Microscopic study of freezeout in relativistic heavy ion collisions at SPS energies. Phys. Rev. C 1999, 60, 044905. [Google Scholar] [CrossRef]
- Adam, J.; Adamczyk, L.; Adams, J.R.; Adkins, J.K.; Agakishiev, G.; Aggarwal, M.M.; Ahammed, Z.; Ajitanand, N.N.; Alekseev, I.; Anderson, D.M.; et al. Global polarization of Λ hyperons in Au + Au collisions at GeV. Phys. Rev. C 2018, 98, 014910. [Google Scholar] [CrossRef]










| (GeV) | 7.7 | 11.5 | 14.5 | 19.6 | 27 | 39 | 62.4 |
|---|---|---|---|---|---|---|---|
| fm () | 1.4 | 1.3 | 1.2 | 1.1 | 1.0 | 1.0 | 1.0 |
| fm () | 1.7 | 1.5 | 1.3 | 1.1 | 1.0 | 1.0 | 1.0 |
Publisher’s Note: MDPI stays neutral with regard to jurisdictional claims in published maps and institutional affiliations. |
© 2021 by the authors. Licensee MDPI, Basel, Switzerland. This article is an open access article distributed under the terms and conditions of the Creative Commons Attribution (CC BY) license (https://creativecommons.org/licenses/by/4.0/).
Share and Cite
Bravina, L.V.; Bugaev, K.A.; Vitiuk, O.; Zabrodin, E.E. Transport Model Approach to Λ and Λ¯ Polarization in Heavy-Ion Collisions. Symmetry 2021, 13, 1852. https://doi.org/10.3390/sym13101852
Bravina LV, Bugaev KA, Vitiuk O, Zabrodin EE. Transport Model Approach to Λ and Λ¯ Polarization in Heavy-Ion Collisions. Symmetry. 2021; 13(10):1852. https://doi.org/10.3390/sym13101852
Chicago/Turabian StyleBravina, Larissa V., Kyrill A. Bugaev, Oleksandr Vitiuk, and Evgeny E. Zabrodin. 2021. "Transport Model Approach to Λ and Λ¯ Polarization in Heavy-Ion Collisions" Symmetry 13, no. 10: 1852. https://doi.org/10.3390/sym13101852
APA StyleBravina, L. V., Bugaev, K. A., Vitiuk, O., & Zabrodin, E. E. (2021). Transport Model Approach to Λ and Λ¯ Polarization in Heavy-Ion Collisions. Symmetry, 13(10), 1852. https://doi.org/10.3390/sym13101852

