Cooling Enhancement and Stress Reduction Optimization of Disk-Shaped Electronic Components Using Nanofluids
Abstract
1. Introduction
2. Model
2.1. The Governing Equations
2.2. Grid-Independence Study and Validation
3. Result and Discussion
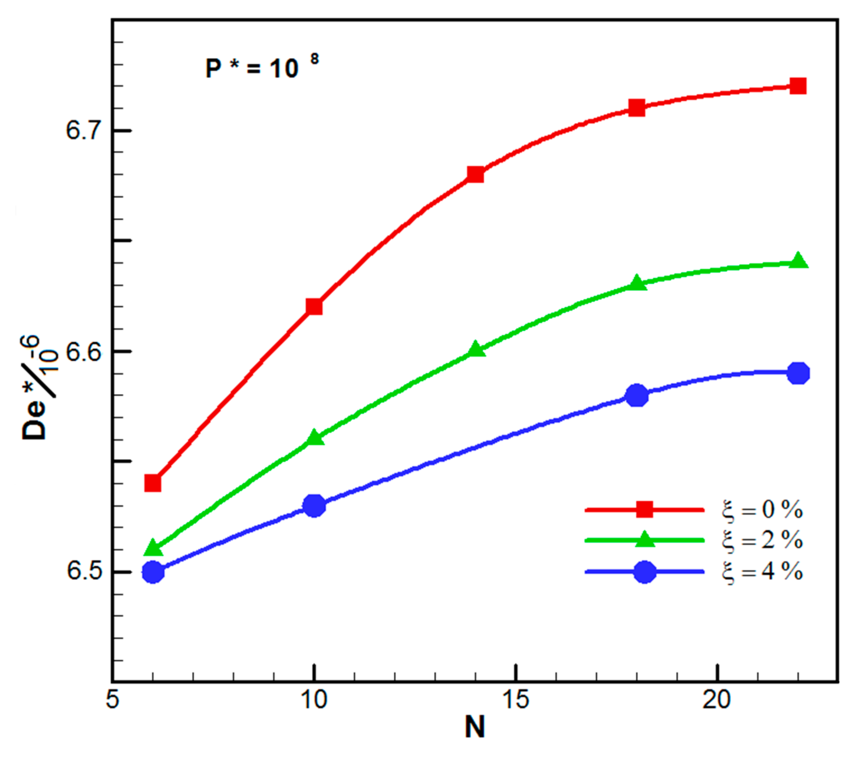
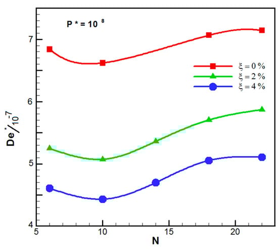
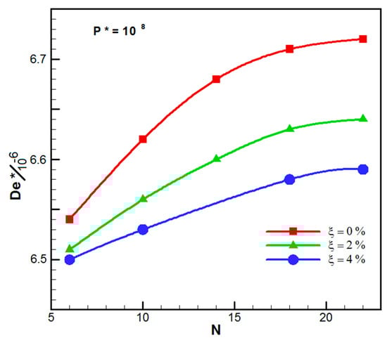
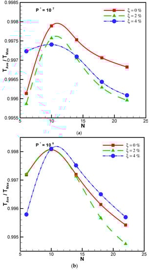
3.1. Thermal
3.2. Mechanical Strength
4. Conclusions
Author Contributions
Funding
Conflicts of Interest
Nomenclature
| Nomenclature | |
| Cp | Specific heat capacity (J kg−1 K−1) |
| D | The thickness of the microchannel (m) |
| De | Deformation (m) |
| H | The height of the disk (m) |
| L | Length (m) |
| M | Mass flow rate (kg s−1) |
| N | Number of branching |
| P | Pressure (N m−2) |
| Pr | Prandtl number |
| q″ | Heat flux (W m−2) |
| T | Temperature (K) |
| u, v, w | Velocity components (m s−1) |
| Greek symbols | |
| A | Thermal expansion coefficient (K−1) |
| γ | Poisson’s ratio |
| σ | Normal stress (Pa) |
| µ | Dynamic viscosity (kg m−1 s−1) |
| τ | Shear stress (Pa) |
| ξ | The volume fraction of nanoparticles |
| ρ | Density (kg m−3) |
| φ | Shear strain (mm mm−1) |
| Subscripts | |
| ave | Average |
| bf | Base Fluid |
| nf | Nano fluid |
| s | Solid |
| ref | Reference |
| Superscripts | |
| (*) | Dimensionless |
References
- Bahiraei, M.; Salmi, H.K.; Safaei, M.R. Effect of employing a new biological nanofluid containing functionalized graphene nanoplatelets on thermal and hydraulic characteristics of a spiral heat exchanger. Energy Convers. Manag. 2019, 180, 72–82. [Google Scholar] [CrossRef]
- Farzaneh, M.; Salimpour, M.R.; Tavakoli, M.R. Design of bifurcating microchannels with/without loops for cooling of square-shaped electronic components. Appl. Therm. Eng. 2016, 108, 581–595. [Google Scholar] [CrossRef]
- Ghaedamini, H.; Salimpour, M.; Campo, A. Constructal design of reverting microchannels for convective cooling of a circular disc. Int. J. Therm. Sci. 2011, 50, 1051–1061. [Google Scholar] [CrossRef]
- Haghighi, S.S.; Goshayeshi, H.; Safaei, M.R. Natural convection heat transfer enhancement in new designs of plate-fin based heat sinks. Int. J. Heat Mass Transf. 2018, 125, 640–647. [Google Scholar] [CrossRef]
- Al-Rashed, A.A.A.; Hassen, W.; Kolsi, L.; Oztop, H.F.; Chamkha, A.J.; Abu-Hamdeh, N. Three-dimensional analysis of natural convection in nanofluid-filled parallelogrammic enclosure opened from top and heated with square heater. J. Cent. South Univ. 2019, 26, 1077–1088. [Google Scholar] [CrossRef]
- Dogonchi, A.; Chamkha, A.J.; Hashemi-Tilehnoee, M.; Seyyedi, S.; Ganji, D. Effects of homogeneous-heterogeneous reactions and thermal radiation on magneto-hydrodynamic Cu-water nanofluid flow over an expanding flat plate with non-uniform heat source. J. Cent. South Univ. 2019, 26, 1161–1171. [Google Scholar] [CrossRef]
- Dogonchi, A.S.; Chamkha, A.J.; Seyyedi, S.M.; Hashemi-Tilehnoee, M.; Ganji, D.D. Viscous Dissipation Impact on Free Convection Flow of Cu-water Nanofluid in a Circular Enclosure with Porosity Considering Internal Heat Source. J. Appl. Comput. Mech. 2019, 5, 717–726. [Google Scholar]
- Alkasassbeh, M.; Omar, Z.; Mebarek-Oudina, F.; Raza, J.; Chamkha, A. Heat transfer study of convective fin with temperature-dependent internal heat generation by hybrid block method. Heat Transf.—Asian Res. 2019, 48, 1225–1244. [Google Scholar] [CrossRef]
- Kumar, P.S.; Gireesha, B.; Mahanthesh, B.; Chamkha, A.J. Thermal analysis of nanofluid flow containing gyrotactic microorganisms in bioconvection and second-order slip with convective condition. J. Therm. Anal. Calorim. 2019, 136, 1947–1957. [Google Scholar] [CrossRef]
- Izadi, M.; Pour, S.H.; Yasuri, A.K.; Chamkha, A.J. Mixed convection of a nanofluid in a three-dimensional channel. J. Therm. Anal. Calorim. 2019, 136, 2461–2475. [Google Scholar] [CrossRef]
- Ghalambaz, M.; Tahmasebi, A.; Chamkha, A.; Wen, D. Conjugate local thermal non-equilibrium heat transfer in a cavity filled with a porous medium: Analysis of the element location. Int. J. Heat Mass Transf. 2019, 138, 941–960. [Google Scholar] [CrossRef]
- Bahiraei, M.; Jamshidmofid, M.; Goodarzi, M. Efficacy of a hybrid nanofluid in a new microchannel heat sink equipped with both secondary channels and ribs. J. Mol. Liq. 2019, 273, 88–98. [Google Scholar] [CrossRef]
- Dadsetani, R.; Sheikhzadeh, G.A.; Hajmohammadi, M.R.; Safaei, M.R. Introduce a novel configuration of microchannel andhigh-conductivity insertsfor cooling of disc-shaped electronic components. Int. J. Numer. Methods Heat Fluid Flow 2019. [Google Scholar] [CrossRef]
- Dadsetani, R.; Salimpour, M.R.; Tavakoli, M.R.; Goodarzi, M.; Bandarra Filho, E.P. Thermal and Mechanical Design of Reverting Microchannels for Cooling Disk-Shaped Electronic Parts Using Constructal Theory. Available online: https://doi.org/10.1108/HFF-06-2019-0453 (accessed on 20 March 2020).
- Tuckerman, D.B.; Pease, R.F.W. High-performance heat sinking for VLSI. IEEE Electron Device Lett. 1981, 2, 126–129. [Google Scholar] [CrossRef]
- Bejan, A. Street network theory of organization in nature. J. Adv. Transp. 1996, 30, 85–107. [Google Scholar] [CrossRef]
- Chol, S.; Estman, J. Enhancing thermal conductivity of fluids with nanoparticles. Asme-Publ.-Fed 1995, 231, 99–106. [Google Scholar]
- Dadsetani, R.; Sheikhzadeh, G.A.; Safaei, M.R.; Alnaqi, A.A.; Amiriyoon, A. Exergoeconomic optimization of liquefying cycle for noble gas argon. Heat Mass Transf. 2018, 55, 1995–2007. [Google Scholar] [CrossRef]
- Selimefendigil, F.; Chamkha, A.J. Magnetohydrodynamics mixed convection in a lid-driven cavity having a corrugated bottom wall and filled with a non-Newtonian power-law fluid under the influence of an inclined magnetic field. J. Therm. Sci. Eng. Appl. 2016, 8, 021023. [Google Scholar] [CrossRef]
- Selimefendigil, F.; Öztop, H.F. Effects of nanoparticle shape on slot-jet impingement cooling of a corrugated surface with nanofluids. J. Therm. Sci. Eng. Appl. 2017, 9, 021016. [Google Scholar] [CrossRef]
- Sheikhzadeh, G.; Dastmalchi, M.; Khorasanizadeh, H. Effects of walls temperature variation on double diffusive natural convection of Al2O3–water nanofluid in an enclosure. Heat Mass Transf. 2013, 49, 1689–1700. [Google Scholar] [CrossRef]
- Sheikhzadeh, G.; Nikfar, M. Aspect ratio effects of an adiabatic rectangular obstacle on natural convection and entropy generation of a nanofluid in an enclosure. J. Mech. Sci. Technol. 2013, 27, 3495–3504. [Google Scholar] [CrossRef]
- Teimouri, H.; Sheikhzadeh, G.A.; Afrand, M.; Fakhari, M.M. Mixed convection in a rotating eccentric annulus containing nanofluid using bi-orthogonal grid types: A finite volume simulation. J. Mol. Liq. 2017, 227, 114–126. [Google Scholar] [CrossRef]
- Bagherzadeh, S.A.; D’Orazio, A.; Karimipour, A.; Goodarzi, M.; Bach, Q.-V. A novel sensitivity analysis model of EANN for F-MWCNTs–Fe3O4/EG nanofluid thermal conductivity: Outputs predicted analytically instead of numerically to more accuracy and less costs. Phys. A Stat. Mech. Its Appl. 2019, 521, 406–415. [Google Scholar] [CrossRef]
- Afridi, M.I.; Tlili, I.; Goodarzi, M.; Osman, M.; Khan, N.A. Irreversibility Analysis of Hybrid Nanofluid Flow over a Thin Needle with Effects of Energy Dissipation. Symmetry 2019, 11, 663. [Google Scholar] [CrossRef]
- Nazari, M.A.; Ahmadi, M.H.; Sadeghzadeh, M.; Shafii, M.B.; Goodarzi, M. A review on application of nanofluid in various types of heat pipes. J. Cent. South Univ. 2019, 26, 1021–1041. [Google Scholar] [CrossRef]
- Jiang, Y.; Bahrami, M.; Bagherzadeh, S.A.; Abdollahi, A.; Sulgani, M.T.; Karimipour, A.; Goodarzi, M.; Bach, Q.-V. Propose a new approach of fuzzy lookup table method to predict Al2O3/deionized water nanofluid thermal conductivity based on achieved empirical data. Phys. A Stat. Mech. Its Appl. 2019, 527, 121177. [Google Scholar] [CrossRef]
- Nikkhah, Z.; Karimipour, A.; Safaei, M.R.; Forghani-Tehrani, P.; Goodarzi, M.; Dahari, M.; Wongwises, S. Forced convective heat transfer of water/functionalized multi-walled carbon nanotube nanofluids in a microchannel with oscillating heat flux and slip boundary condition. Int. Commun. Heat Mass Transf. 2015, 68, 69–77. [Google Scholar] [CrossRef]
- Safaei, M.R.; Gooarzi, M.; Akbari, O.A.; Shadloo, M.S.; Dahari, M. Performance evaluation of nanofluids in an inclined ribbed microchannel for electronic cooling applications. In Electronics Cooling; IntechOpen: Zagreb, Croatia, 2016. [Google Scholar]
- Akbari, O.A.; Toghraie, D.; Karimipour, A.; Safaei, M.R.; Goodarzi, M.; Alipour, H.; Dahari, M. Investigation of rib’s height effect on heat transfer and flow parameters of laminar water–Al2O3 nanofluid in a rib-microchannel. Appl. Math. Comput. 2016, 290, 135–153. [Google Scholar]
- Nojoomizadeh, M.; D’Orazio, A.; Karimipour, A.; Afrand, M.; Goodarzi, M. Investigation of permeability effect on slip velocity and temperature jump boundary conditions for FMWNT/Water nanofluid flow and heat transfer inside a microchannel filled by a porous media. Phys. E Low-Dimens. Syst. Nanostruct. 2018, 97, 226–238. [Google Scholar] [CrossRef]
- Menni, Y.; Azzi, A.; Chamkha, A. Enhancement of convective heat transfer in smooth air channels with wall-mounted obstacles in the flow path. J. Therm. Anal. Calorim. 2019, 135, 1951–1976. [Google Scholar] [CrossRef]
- Cetkin, E.; Lorente, S.; Bejan, A. Vascularization for cooling and mechanical strength. Int. J. Heat Mass Transf. 2011, 54, 2774–2781. [Google Scholar] [CrossRef]
- Gosselin, L.; Bejan, A. Constructal heat trees at micro and nanoscales. J. Appl. Phys. 2004, 96, 5852–5859. [Google Scholar] [CrossRef]
- Çetkin, E.; Lorente, S.; Bejan, A. Vascularization for cooling and reduced thermal stresses. Int. J. Heat Mass Transf. 2015, 80, 858–864. [Google Scholar] [CrossRef]
- Lubliner, J. Plasticity Theory; Courier Corporation: New York, NY, USA, 2008. [Google Scholar]












| Property | Silicon | Water |
|---|---|---|
| Density, ρ (kg/m3) | 2330 | 997 |
| Thermal conductivity, k (W/m K) | 125 | 0.6069 |
| Specific heat capacity, Cp (J/kg K) | 700 | 4187.7 |
| Dynamic viscosity, μ (Pa.s) | --- | 0.00089 |
| Number of Elements | Tmax (K) |
|---|---|
| 879,314 | 435.9 |
| 2,169,346 | 429.8 |
| 3,256,892 | 425.6 |
| 5,142,765 | 424.3 |
| Number of Elements | σmax (Mpa) Variation |
|---|---|
| 879,314 | 3.4281 |
| 2,169,346 | 3.3452 |
| 3,256,892 | 3.1252 |
| 5,142,765 | 3.1118 |
| volume fraction of nanofluids | ||||
| N | P*max = 107 | P*max = 108 | P*max = 107 | P*max = 108 |
| 6 | − 30.74% | − 28.99% | − 44.74% | − 40.71% |
| 8 | − 23.27% | − 28.02% | − 35.05% | − 39.61% |
| 14 | − 18.66% | − 23.77% | − 30.53% | − 35.82% |
| 18 | − 16.14% | − 21.52% | − 29.38% | − 34.99% |
| 22 | − 14.54% | − 19.67% | − 27.38% | − 33.23% |
© 2020 by the authors. Licensee MDPI, Basel, Switzerland. This article is an open access article distributed under the terms and conditions of the Creative Commons Attribution (CC BY) license (http://creativecommons.org/licenses/by/4.0/).
Share and Cite
Dadsetani, R.; Sheikhzadeh, G.A.; Safaei, M.R.; Leon, A.S.; Goodarzi, M. Cooling Enhancement and Stress Reduction Optimization of Disk-Shaped Electronic Components Using Nanofluids. Symmetry 2020, 12, 931. https://doi.org/10.3390/sym12060931
Dadsetani R, Sheikhzadeh GA, Safaei MR, Leon AS, Goodarzi M. Cooling Enhancement and Stress Reduction Optimization of Disk-Shaped Electronic Components Using Nanofluids. Symmetry. 2020; 12(6):931. https://doi.org/10.3390/sym12060931
Chicago/Turabian StyleDadsetani, Reza, Ghanbar Ali Sheikhzadeh, Mohammad Reza Safaei, Arturo S. Leon, and Marjan Goodarzi. 2020. "Cooling Enhancement and Stress Reduction Optimization of Disk-Shaped Electronic Components Using Nanofluids" Symmetry 12, no. 6: 931. https://doi.org/10.3390/sym12060931
APA StyleDadsetani, R., Sheikhzadeh, G. A., Safaei, M. R., Leon, A. S., & Goodarzi, M. (2020). Cooling Enhancement and Stress Reduction Optimization of Disk-Shaped Electronic Components Using Nanofluids. Symmetry, 12(6), 931. https://doi.org/10.3390/sym12060931

