A Novel Generalized Group-Sparse Mixture Adaptive Filtering Algorithm
Abstract
1. Introduction
2. Traditional Adaptive Algorithms
NLMS Algorithm
3. The Proposed GGS-MAF Algorithms
3.1. Mixed Error Criterion Algorithm
3.2. The GGS-MAF Algorithms
4. Results Analysis
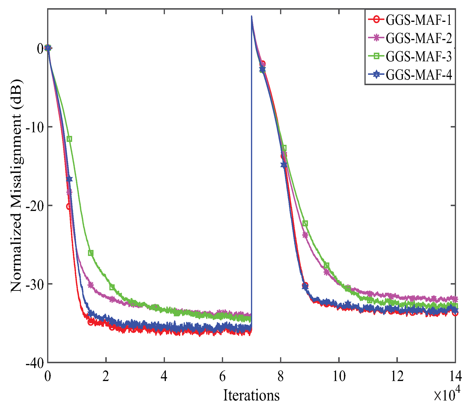
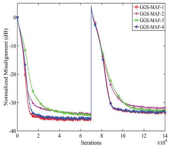
4.1. Performance Comparisons of Four GGS-MAF Algorithms
4.2. Performance of the Proposed GGS-MAF-1 Algorithm with Different B
4.3. SNR Effects on the Proposed GGS-MAF-1 Algorithm
5. Conclusions
Author Contributions
Funding
Conflicts of Interest
References
- Diniz, P.S.R. Adaptive Filtering: Algorithms and Practical Implementation, 4th ed.; Springer: New York, NY, USA, 2013. [Google Scholar]
- Li, Y.; Wang, Y.; Jiang, T. Sparse-aware set-membership NLMS algorithms and their application for sparse channel estimation and echo cancelation. AEU-Int. J. Electron. Commun. 2016, 70, 895–902. [Google Scholar] [CrossRef]
- Cheng, H.; Xia, Y.; Huang, Y.; Yang, L.; Mandic, D.P. A normalized complex LMS based blind I/Q imbalance compensator for GFDM receivers and its full second-order performance analysis. IEEE Trans. Signal Process. 2018, 66, 4701–4712. [Google Scholar] [CrossRef]
- Li, Z.; Xia, Y.; Pei, W.; Wang, K.; Mandic, D.P. An augmented nonlinear LMS for digital self-interference cancellation in full-duplex direct-conversion transceivers. IEEE Trans. Signal Process. 2018, 66, 4065–4078. [Google Scholar] [CrossRef]
- Shi, W.; Li, Y.; Wang, Y. Noise-free maximum correntropy criterion algorithm in non-gaussian environment. IEEE Trans. Circuits and Syst. II 2019. [Google Scholar] [CrossRef]
- Walach, E.; Widrow, B. The least mean fourth (LMF) adaptive algorithm and its family. IEEE Trans. Inf. Theory 1984, 30, 275–283. [Google Scholar] [CrossRef]
- Eweda, E.; Zerguine, A. A normalized least mean fourth algorithm with improved stability. In Proceedings of the 2010 Conference Record of the Forty Fourth Asilomar Conference on Signals, Systems and Computers, Pacific Grove, CA, USA, 7–10 November 2010; pp. 1002–1005. [Google Scholar]
- Lim, S.J.; Harris, J.G. Combined LMS/F algorithm. Electron. Lett. 1997, 33, 467–468. [Google Scholar] [CrossRef]
- Li, Y.; Wang, Y.; Jiang, T. Norm-adaption penalized least mean square/fourth algorithm for sparse channel estimation. Signal Process. 2016, 128, 243–251. [Google Scholar] [CrossRef]
- Ma, M.; Qin, X.; Duan, J.; Li, Y.; Chen, B. Kernel recursive generalized mixed norm algorithm. J. Frankl. Inst. 2018, 355, 1596–1613. [Google Scholar] [CrossRef]
- Chambers, J.A.; Tanrikulu, O.; Constantinides, A.G. Least mean mixed-norm adaptive fltering. Electron. Lett. 1994, 30, 1574–1575. [Google Scholar] [CrossRef]
- Li, Y.; Wang, Y.; Jiang, T. Sparse least mean mixed-norm adaptive filtering algorithms for sparse channel estimation applications. Int. J. Commun. Syst. 2016, 30, 1–14. [Google Scholar] [CrossRef]
- Cotter, S.F.; Rao, B.D. Sparse channel estimation via matching pursuit with application to equalization. IEEE Trans. Commun. 2002, 50, 374–377. [Google Scholar] [CrossRef]
- Gui, G.; Mehbodniya, A.; Adachi, F. Least mean square/fourth algorithm for adaptive sparse channel estimation. In Proceedings of the IEEE 24th Annual International Symposium on Personal, Indoor, and Mobile Radio Communications (PIMRC), London, UK, 8–11 September 2013; pp. 296–300. [Google Scholar]
- Duttweiler, D.L. Proportionate normalized least-mean-squares adaptation in echo cancelers. IEEE Trans. Speech Audio Process. 2000, 8, 508–518. [Google Scholar] [CrossRef]
- Benesty, J.; Gay, S.L. An improved PNLMS algorithm. In Proceedings of the 2002 IEEE International Conference on Acoustics, Speech, and Signal Processing, Orlando, FL, USA, 13–17 May 2002; pp. 1881–1884. [Google Scholar]
- Chen, Y.; Gu, Y.; Hero, A.O. Sparse LMS for system identification. In Proceedings of the 2009 IEEE International Conference on Acoustics, Speech and Signal Processing, Taipei, Taiwan, 19–24 April 2009; pp. 3125–3128. [Google Scholar]
- Jiang, S.; Gu, Y. Block-sparsity-induced adaptive filter for multi-clustering system identification. IEEE Trans. Signal Process. 2015, 63, 5318–5330. [Google Scholar] [CrossRef]
- Liu, J.; Grant, S.L. Proportionate affine projection algorithms for block-sparse system identification. In Proceedings of the 2016 IEEE International Conference on Acoustics, Speech and Signal Processing (ICASSP), Shanghai, China, 20–25 March 2016; pp. 529–533. [Google Scholar]
- Li, Y.; Jiang, Z.; Jin, Z.; Han, X.; Yin, J. Cluster-sparse proportionate NLMS algorithm with the hybrid norm constraint. IEEE Access 2018, 6, 47794–47803. [Google Scholar] [CrossRef]
- Jin, Z.; Li, Y.; Liu, J. An improved set-membership proportionate adaptive algorithm for a block-sparse system. Symmetry 2018, 10, 75. [Google Scholar] [CrossRef]
- Li, Y.; Jiang, Z.; Shi, W.; Han, X.; Chen, B.D. Blocked maximum correntropy criterion algorithm for cluster-sparse system identification. IEEE Trans. Circuits Syst. II 2019. [Google Scholar] [CrossRef]
- Li, Y.; Jiang, Z.; Omer-Osman, O.M.; Han, X.; Yin, J. Mixed norm constrained sparse APA algorithm for satellite and network channel estimation. IEEE Access 2018, 6, 65901–65908. [Google Scholar] [CrossRef]
- Sayin, M.O.; Yilmaz, Y.; Demir, A.; Kozat, S.S. The Krylov-proportionate normalized least mean fourth approach: Formulation and performance analysis. Signal Process. 2015, 109, 1–13. [Google Scholar] [CrossRef]
- Wagner, K.; Doroslovački, M. Proportionate-Type Normalized Least Mean Square Algorithms; John Wiley: Hoboken, NJ, USA, 2013. [Google Scholar]
- Benesty, J.; Paleologu, C.; Ciochina, S. On regularization in adaptive filtering. IEEE Trans. Audio Speech Languag. Process. 2011, 19, 1734–1742. [Google Scholar] [CrossRef]
- Gu, Y.; Jin, J.; Mei, S. l0 Norm Constraint LMS Algorithm for Sparse System Identification. IEEE Signal Process. Lett. 2009, 16, 774–777. [Google Scholar]




© 2019 by the authors. Licensee MDPI, Basel, Switzerland. This article is an open access article distributed under the terms and conditions of the Creative Commons Attribution (CC BY) license (http://creativecommons.org/licenses/by/4.0/).
Share and Cite
Li, Y.; Cherednichenko, A.; Jiang, Z.; Shi, W.; Wu, J. A Novel Generalized Group-Sparse Mixture Adaptive Filtering Algorithm. Symmetry 2019, 11, 697. https://doi.org/10.3390/sym11050697
Li Y, Cherednichenko A, Jiang Z, Shi W, Wu J. A Novel Generalized Group-Sparse Mixture Adaptive Filtering Algorithm. Symmetry. 2019; 11(5):697. https://doi.org/10.3390/sym11050697
Chicago/Turabian StyleLi, Yingsong, Aleksey Cherednichenko, Zhengxiong Jiang, Wanlu Shi, and Jinqiu Wu. 2019. "A Novel Generalized Group-Sparse Mixture Adaptive Filtering Algorithm" Symmetry 11, no. 5: 697. https://doi.org/10.3390/sym11050697
APA StyleLi, Y., Cherednichenko, A., Jiang, Z., Shi, W., & Wu, J. (2019). A Novel Generalized Group-Sparse Mixture Adaptive Filtering Algorithm. Symmetry, 11(5), 697. https://doi.org/10.3390/sym11050697

