Prevalence of Viral Hepatitis Antibodies Among Alcoholics in Croatia: A Single Center’s Results
Abstract
1. Introduction
2. Materials and Methods
2.1. Patients
2.2. Laboratory Testing
2.3. Statistical Analysis
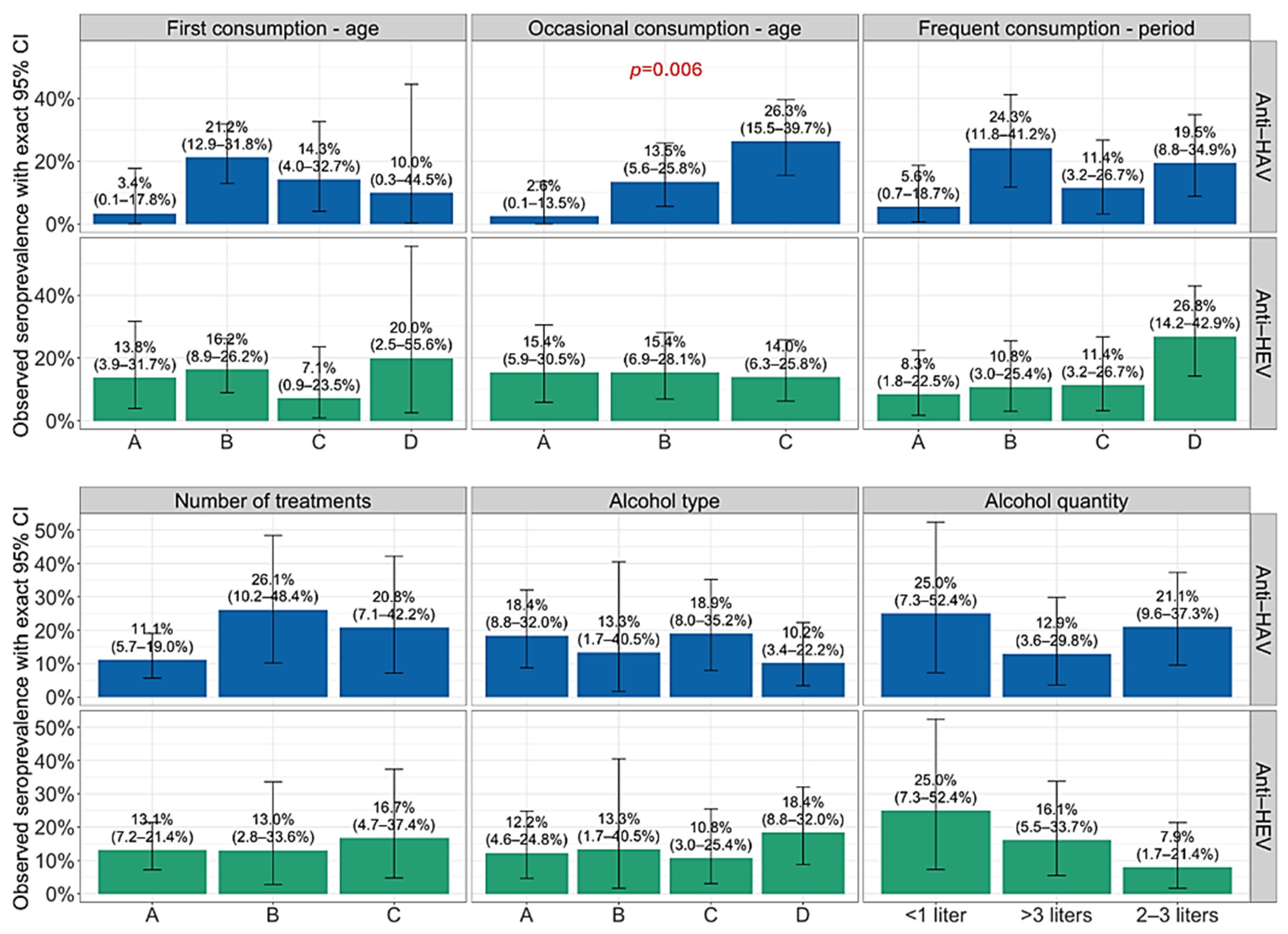
3. Results
4. Discussion
5. Conclusions
Author Contributions
Funding
Institutional Review Board Statement
Informed Consent Statement
Data Availability Statement
Acknowledgments
Conflicts of Interest
Abbreviations
| HAV | Hepatitis A virus |
| HBV | Hepatitis B virus |
| HCV | Hepatitis C virus |
| HEV | Hepatitis E virus |
| WHO | World Health Organization |
| EU/EEA | European Union/European Economic Area |
| CI | Confidence interval |
| IQR | Interquartile range |
| OR | Odds ratio |
| ELFA | Enzyme-linked fluorescent assay |
| PCR | Polymerase chain reaction |
| ORF | Open reading frame |
| IDU | Intravenous drug use |
References
- CDC. Global Viral Hepatitis. CDC Website. Available online: https://www.cdc.gov/hepatitis/global/index.html (accessed on 5 November 2025).
- Migueres, M.; Lhomme, S.; Izopet, J. Hepatitis A: Epidemiology, High-Risk Groups, Prevention and Research on Antiviral Treatment. Viruses 2021, 13, 1900. [Google Scholar] [CrossRef] [PubMed]
- World Health Organization. Hepatitis A. WHO Website. 2023. Available online: https://www.who.int/news-room/fact-sheets/detail/hepatitis-a (accessed on 5 November 2025).
- Jacobsen, K.H.; Wiersma, S.T. Hepatitis A virus seroprevalence by age and world region, 1990 and 2005. Vaccine 2010, 28, 6653–6657. [Google Scholar] [CrossRef] [PubMed]
- World Health Organization. Global Hepatitis Report 2024: Action for Access in Low- and Middle-Income Countries; WHO: Geneva, Switzerland, 2024; Available online: https://www.who.int/publications/i/item/9789240091672 (accessed on 4 January 2026).
- European Centre for Disease Prevention and Control (ECDC). ECDC Evidence Brief: Prevention of Hepatitis B and C in the EU/EEA; ECDC: Stockholm, Sweden, 2024. [Google Scholar]
- World Health Organization. Hepatitis C. WHO Website. Available online: https://www.who.int/news-room/fact-sheets/detail/hepatitis-c (accessed on 5 November 2025).
- Vilibic-Cavlek, T.; Kucinar, J.; Kaic, B.; Vilibic, M.; Pandak, N.; Barbic, L.; Stevanovic, V.; Vranes, J. Epidemiology of hepatitis C in Croatia in the European context. World J. Gastroenterol. 2015, 21, 9476–9493. [Google Scholar] [CrossRef] [PubMed]
- Thomadakis, C.; Gountas, I.; Duffell, E.; Gountas, K.; Bluemel, B.; Seyler, T.; Pericoli, F.M.; Kászoni-Rückerl, I.; El-Khatib, Z.; Busch, M.; et al. Prevalence of chronic HCV infection in EU/EEA countries in 2019 using multiparameter evidence synthesis. Lancet Reg. Health Eur. 2023, 36, 100792. [Google Scholar] [CrossRef]
- World Health Organization. Hepatitis E. WHO Website. Available online: https://www.who.int/news-room/fact-sheets/detail/hepatitis-e (accessed on 5 November 2025).
- Choi, J.W.; Son, H.J.; Lee, S.S.; Jeon, H.; Cho, J.K.; Kim, H.J.; Cha, R.R.; Lee, J.M.; Kim, H.J.; Jung, W.T.; et al. Acute hepatitis E virus super-infection increases mortality in patients with cirrhosis. BMC Infect. Dis. 2022, 22, 62. [Google Scholar] [CrossRef]
- Cortes, V.F.; Taveira, A.; Cruz, H.M.; Reis, A.A.; Cezar, J.S.; Silva, B.S.; D’Assunção, C.F.; Lampe, E.; Villar, L.M. Prevalence of hepatitis B and C virus infection among alcoholic individuals: Importance of screening and vaccination. Rev. Inst. Med. Trop. São Paulo 2017, 59, e47. [Google Scholar] [CrossRef][Green Version]
- Taylor, A.L.; Denniston, M.M.; Klevens, R.M.; McKnight-Eily, L.R.; Jiles, R.B. Association of Hepatitis C Virus With Alcohol Use Among U.S. Adults: NHANES 2003–2010. Am. J. Prev. Med. 2016, 51, 206–215. [Google Scholar] [CrossRef]
- Mišević, Ž.; Bogdan, A.; Mišević, M.; Ružić, T. Cultural patterns of drinking and alcoholism in north and south of Croatia. INDECS 2020, 18, 36–56. [Google Scholar] [CrossRef]
- European Commission; Eurostat. How Much Do Households Spend on Food and Alcohol? Available online: https://ec.europa.eu/eurostat/web/products-eurostat-news/w/ddn-20230201-1 (accessed on 10 January 2026).
- Cavlek, T.V.; Margan, I.G.; Lepej, S.Z.; Kolarić, B.; Vince, A. Seroprevalence, risk factors, and hepatitis C virus genotypes in groups with high-risk sexual behavior in Croatia. J. Med. Virol. 2009, 81, 1348–1353. [Google Scholar] [CrossRef]
- Vilibić-Cavlek, T.; Kučinar, J.; Ljubin-Sternak, S.; Kaić, B.; Lazarić-Stefanović, L.; Kolarić, B. Prevalence of viral hepatitis in Croatian adult population undergoing routine check-up, 2010–2011. Cent. Eur. J. Public Health 2014, 22, 29–33. [Google Scholar] [CrossRef]
- Mrzljak, A.; Dinjar-Kujundžić, P.; Knotek, M.; Kudumija, B.; Ilić, M.; Gulin, M.; Zibar, L.; Hrstić, I.; Jureković, Z.; Kolarić, B.; et al. Seroepidemiology of hepatitis E in patients on haemodialysis in Croatia. Int. Urol. Nephrol. 2020, 52, 371–378. [Google Scholar] [CrossRef] [PubMed]
- Jeličić, P.; Ferenc, T.; Mrzljak, A.; Jemeršić, L.; Janev-Holcer, N.; Milošević, M.; Bogdanić, M.; Barbić, L.; Kolarić, B.; Stevanović, V.; et al. Insights into hepatitis E virus epidemiology in Croatia. World J. Gastroenterol. 2022, 28, 5494–5505. [Google Scholar] [CrossRef] [PubMed]
- Vilibić-Cavlek, T.; Zidovec-Lepej, S.; Ferenc, T.; Savić, V.; Nemeth-Blažić, T.; Vujica Ferenc, M.; Bogdanić, M.; Vilibić, M.; Šimunov, B.; Janev-Holcer, N.; et al. Seroprevalence trends and molecular epidemiology of viral hepatitis in Croatia. Life 2023, 13, 224. [Google Scholar] [CrossRef] [PubMed]
- Dinjar Kujundžić, P.; Vilibić-Čavlek, T.; Kelava, T.; Ayoub, A.; Prpić, J.; Jemeršić, L.; Vince, A.; Mrzljak, A. Hepatitis E virus in Croatian liver transplant recipients: Seroprevalence and one-year post-transplant surveillance from a combined cohort study (2019–2022). Microorganisms 2025, 13, 2063. [Google Scholar] [CrossRef]
- Llamosas-Falcón, L.; Shield, K.D.; Gelovany, M.; Hasan, O.S.M.; Manthey, J.; Monteiro, M.; Walsh, N.; Rehm, J. Impact of alcohol on the progression of HCV-related liver disease: A systematic review and meta-analysis. J. Hepatol. 2021, 75, 536–546. [Google Scholar] [CrossRef]
- Zhou, E.; Yang, C.; Gao, Y. Effect of alcohol on the progress of hepatitis B cirrhosis. Ann. Palliat. Med. 2021, 10, 415–424. [Google Scholar] [CrossRef]
- Aparicio, T.; Driss, F.; Thépot, V.; Hispard, E.; Berthelot, P.; Nalpas, B. Sero-epidemiology of hepatitis A: Alcoholic patients are a group at risk. Gastroenterol. Clin. Biol. 1995, 19, 751–755. [Google Scholar]
- Laskus, T.; Radkowski, M.; Lupa, E.; Halama, G.; Nowicka, R.; Ślusarczyk, J.; Cianciara, J. Appearance of antibodies against hepatitis A virus (HAV) in alcoholics. Wiad. Lek. 1992, 45, 671–673. [Google Scholar]
- de Oliveira, L.C.; Buso, A.G.; de Oliveira, A.T.; Arantes, C.A.; Borges, L.V.; Valente, S.R. Prevalence of hepatitis B and hepatitis C markers in alcoholics with and without clinically evident hepatic cirrhosis. Rev. Inst. Med. Trop. São Paulo 1999, 41, 69–73. [Google Scholar] [CrossRef]
- Novo-Veleiro, I.; Calle, C.D.L.; Domínguez-Quibén, S.; Pastor, I.; Marcos, M.; Laso, F.J. Prevalence of hepatitis C virus infection in alcoholic patients: Cohort study and systematic review. Alcohol Alcohol. 2013, 48, 564–569. [Google Scholar] [CrossRef]
- Tekin, F.; Gunsar, F.; Erdogan, E.I.; Sertoz, R.Y.; Karasu, Z.; Ersoz, G.; Ozutemiz, O.; Akarca, U. Seroprevalence of hepatitis A, B, and C viruses in Turkish alcoholic cirrhotics and the impact of hepatitis B on clinical profile. J. Infect. Dev. Ctries. 2015, 9, 254–258. [Google Scholar] [CrossRef][Green Version]
- Burek, V.; Horvat, J.; Butorac, K.; Mikulić, R. Viral hepatitis B, C and HIV infection in Croatian prisons. Epidemiol. Infect. 2010, 138, 1610–1620. [Google Scholar] [CrossRef]
- Istria County Institute of Public Health. Data on the Health Status of the Population and the Work of Health Care Services in the Istria County in 2013; Istria County Institute of Public Health: Istria, Croatia, 2014. (In Croatian)
- Vilibić-Čavlek, T.; Kučinar, J.; Ljubin-Sternak, S.; Kolarić, B. Seroepidemiology of hepatitis A in the Croatian population. Hepat. Mon. 2011, 11, 997–999. [Google Scholar] [CrossRef] [PubMed]
- Zuin, M.; Caserta, C.; Romanò, L.; Mele, A.; Zanetti, A.; Cannatelli, R.; Giorgini, A.; Tagliacarne, C.; Amante, A.; Marcucci, F.; et al. Seroepidemiology of HEV and HAV in two populations with different socio-economic levels and hygienic/sanitary conditions. Eur. J. Clin. Microbiol. Infect. Dis. 2017, 36, 479–485. [Google Scholar] [CrossRef] [PubMed]
- Medić, S.; Anastassopoulou, C.; Milošević, V.; Dragnić, N.; Rajčević, S.; Ristić, M.; Petrović, V. Declining seroprevalence of hepatitis A in Vojvodina, Serbia. PLoS ONE 2019, 14, e0217176. [Google Scholar] [CrossRef] [PubMed]
- Manageiro, V.; Matos, R.; Palminha, P.; Cortes-Martins, H.; Nunes, B.; de Sousa, R. Tracking epidemiological shifts in hepatitis A in Portugal: A comparison of seroprevalence between two nationwide surveys, 2001–2002 and 2015–2016. Euro Surveill. 2025, 30, 2500020. [Google Scholar] [CrossRef]
- Özden, H.T. Hepatitis A seroprevalence in patients with chronic viral hepatitis in Konya, Turkey. Eur. J. Gastroenterol. Hepatol. 2016, 28, 333–337. [Google Scholar] [CrossRef][Green Version]
- Gluud, C.; Gluud, B.; Aldershvile, J.; Jacobsen, A.; Dietrichson, O. Prevalence of hepatitis B virus infection in out-patient alcoholics. Infection 1984, 12, 72–74. [Google Scholar] [CrossRef]
- Fantilli, A.C.; Trinks, J.; Marciano, S.; Zárate, F.; Balderramo, D.C.; Wassaf, M.G.M.; Haddad, L.; Gadano, A.; Debes, J.D.; Pisano, M.B.; et al. Unexpected high seroprevalence of hepatitis E virus in patients with alcohol-related cirrhosis. PLoS ONE 2019, 14, e0224404. [Google Scholar] [CrossRef]
- Vilibić-Čavlek, T.; Vilibić, M.; Kolarić, B.; Jemeršić, L.; Kučinar, J.; Barbić, L.; Bagarić, A.; Stevanović, V.; Tabain, I.; Sviben, M.; et al. Seroepidemiology of hepatitis E in selected population groups in Croatia: A prospective pilot study. Zoonoses Public Health 2016, 63, 494–502. [Google Scholar] [CrossRef]




| Characteristic | N (%) Tested | |
|---|---|---|
| Sex | Male | 128 (84.8) |
| Female | 23 (15.2) | |
| Age group | <40 years | 32 (21.2) |
| 40–59 years | 96 (63.6) | |
| 60+ years | 23 (15.2) | |
| Educational level (Missing: 1; 0.6%) | Primary education | 5 (3.3) |
| High school | 107 (70.9) | |
| University | 38 (25.2) | |
| Employment status (Missing: 22; 14.6%) | Employed | 99 (65.5) |
| Non-employed | 17 (11.3) | |
| Retired | 13 (8.6) | |
| Characteristic | N (%) Tested | |
|---|---|---|
| First alcohol consumption (age) (Missing: 4; 2.7%) | <14 years | 29 (19.2) |
| 14–18 years | 80 (53.0) | |
| >18–22 years | 28 (18.5) | |
| >22 years | 10 (6.6) | |
| Occasional alcohol consumption (age) (Missing: 3; 2.0%) | 14–18 years | 39 (25.8) |
| >18–22 years | 52 (34.4) | |
| >22–25 years | 57 (37.8) | |
| Period of frequent alcohol consumption (Missing: 2; 1.3%) | <5 years | 36 (23.8) |
| 5–10 years | 37 (24.5) | |
| >10–15 years | 35 (23.2) | |
| >15 years | 41 (27.2) | |
| Alcohol type (Missing: 1; 0.6%) | Beer | 49 (32.5) |
| Wine | 15 (9.9) | |
| Whiskey | 37 (24.5) | |
| Combined | 49 (32.5) | |
| Quantity of alcohol consumed/24 h | ≤1 L | 16 (10.6) |
| 2–3 L | 38 (25.2) | |
| >3 L | 97 (64.2) | |
| Number of treatments for alcoholism (Missing: 5; 3.3%) | First | 99 (65.6) |
| Second | 23 (15.2) | |
| Third or more | 24 (15.9) | |
| Traveling | History of traveling/ long staying abroad | 26 (17.2) |
| Eating habits | Consumption of game meat | 91 (60.3) |
| Consumption of pork liver | 107 (70.9) | |
| Hepatitis Marker | Kit Name | Reference Range |
|---|---|---|
| Anti-HAV | VIDAS Anti-HAV Total | mIU/mL < 15 negative; 15–20 borderline; >20 positive |
| HBsAg | VIDAS HBs Ag Ultra | Test value <0.13 negative; ≥0.13 positive |
| Anti-HBs | VIDAS Anti-HBs Total II | mIU/mL <8 negative; ≥8–<12 equivocal; ≥12 positive |
| Anti-HBc | VIDAS Anti-HBc Total II | Index <1 negative; 1–1.4 equivocal; >1.4 positive |
| Anti-HCV | VIDAS Anti-HCV | Test value <1.00 negative; ≥1.00 positive |
| HEV IgG | VIDAS Anti-HEV IgG | U/mL <0.56 negative; ≥0.56 positive |
| Virus | Viral Marker | Patients (n = 151) | Controls (n = 110) | p | ||
|---|---|---|---|---|---|---|
| N (%) Positive | 95% CI | N (%) Positive | 95% CI | |||
| Hepatitis A | Anti-HAV | 23 (15.2) | 9.9–21.9 | 16 (14.5) | 8.5–22.5 | 0.877 |
| Hepatitis B | HBsAg | 0 (0) | NA | 0 (0) | NA | NA |
| Anti-HBs | 18 (11.9) | 7.2–18.2 | 22 (20.0) | 12.9–28.7 | 0.073 | |
| Anti-HBc/anti-HBs | 4 (2.6) | 0.7–6.6 | 3 (2.7) | 0.6–7.7 | 0.969 | |
| Hepatitis C | Anti-HCV | 6 (4.0) | 1.5–8.5 | 0 (0) | NA | 0.042 |
| HCV RNA | 1 (0.6) | <0.1–3.5 | 0 (0) | NA | 0.410 | |
| Hepatitis E | Anti-HEV | 22 (14.6) | 9.4–21.2 | 15 (13.6) | 7.8–21.5 | 0.830 |
| Predictor | Global Association Test (p) | Global Likelihood Ratio Test (p) | ||
|---|---|---|---|---|
| Anti-HAV | Anti-HEV | Anti-HAV | Anti-HEV | |
| Sex | 1.000 | 0.755 | 0.678 | 0.754 |
| Age (years) | <0.001 | 0.189 | <0.001 | 0.175 |
| Educational level | 0.598 | 0.054 | 0.783 | 0.057 |
| Employment status | 0.007 | 0.410 | 0.014 | 0.537 |
| Time of first alcohol consumption (age) | 0.127 | 0.653 | 0.085 | 0.598 |
| Time of occasional alcohol consumption (age) | 0.006 | 0.975 | 0.002 | 0.975 |
| Period of frequent alcohol consumption | 0.117 | 0.082 | 0.095 | 0.103 |
| Alcohol type | 0.633 | 0.778 | 0.609 | 0.756 |
| Quantity of alcohol consumed/24 h | 0.542 | 0.212 | 0.530 | 0.243 |
| Number of treatments | 0.108 | 0.933 | 0.154 | 0.903 |
| History of traveling Consumption of game meat/pork liver | 0.767 | 0.768 | 0.553 | 0.621 |
| 0.389 | 0.903 | 0.393 | 0.903 | |
| Viral Marker | Characteristic | OR | 95% CI | p | |
|---|---|---|---|---|---|
| Anti-HAV | Age | <40 years | Ref. | ||
| 40–60 years | 11.154 | 1.416–1440.474 | 0.015 | ||
| 60+ years | 49.400 | 5.548–6547.272 | <0.001 | ||
| Employment status | Employed | Ref. | |||
| Non-employed | 1.714 | 0.425–6.921 | 0.449 | ||
| Retired | 6.857 | 1.949–24.119 | 0.002 | ||
| Age at the time of occasional alcohol consumption | 14–18 years | Ref. | |||
| >18–22 years | 5.911 | 0.696–50.206 | 0.103 | ||
| >22–25 years | 13.571 | 1.710–107.685 | 0.013 | ||
| Anti-HEV | Educational level | Primary school | Ref. | ||
| High school | 0.303 | 0.047–1.948 | 0.208 | ||
| University | 0.083 | 0.008–0.820 | 0.033 | ||
Disclaimer/Publisher’s Note: The statements, opinions and data contained in all publications are solely those of the individual author(s) and contributor(s) and not of MDPI and/or the editor(s). MDPI and/or the editor(s) disclaim responsibility for any injury to people or property resulting from any ideas, methods, instructions or products referred to in the content. |
© 2026 by the authors. Licensee MDPI, Basel, Switzerland. This article is an open access article distributed under the terms and conditions of the Creative Commons Attribution (CC BY) license.
Share and Cite
Vilibić, M.; Barbić, K.; Bogdanić, M.; Židovec-Lepej, S.; Matošić, A.; Sanković, A.; Karlović, D.; Radmanić Matotek, L.; Kutela, N.; Nadalin, S.; et al. Prevalence of Viral Hepatitis Antibodies Among Alcoholics in Croatia: A Single Center’s Results. Antibodies 2026, 15, 20. https://doi.org/10.3390/antib15020020
Vilibić M, Barbić K, Bogdanić M, Židovec-Lepej S, Matošić A, Sanković A, Karlović D, Radmanić Matotek L, Kutela N, Nadalin S, et al. Prevalence of Viral Hepatitis Antibodies Among Alcoholics in Croatia: A Single Center’s Results. Antibodies. 2026; 15(2):20. https://doi.org/10.3390/antib15020020
Chicago/Turabian StyleVilibić, Maja, Klara Barbić, Maja Bogdanić, Snježana Židovec-Lepej, Ana Matošić, Ana Sanković, Dalibor Karlović, Leona Radmanić Matotek, Nataša Kutela, Sergej Nadalin, and et al. 2026. "Prevalence of Viral Hepatitis Antibodies Among Alcoholics in Croatia: A Single Center’s Results" Antibodies 15, no. 2: 20. https://doi.org/10.3390/antib15020020
APA StyleVilibić, M., Barbić, K., Bogdanić, M., Židovec-Lepej, S., Matošić, A., Sanković, A., Karlović, D., Radmanić Matotek, L., Kutela, N., Nadalin, S., Borko, E., Savić, V., Barbić, L., Santini, M., Janković, H., Stevanović, V., & Vilibić-Čavlek, T. (2026). Prevalence of Viral Hepatitis Antibodies Among Alcoholics in Croatia: A Single Center’s Results. Antibodies, 15(2), 20. https://doi.org/10.3390/antib15020020

