Impacts of Future Sea-Level Rise under Global Warming Assessed from Tide Gauge Records: A Case Study of the East Coast Economic Region of Peninsular Malaysia
Abstract
1. Introduction
- While ANNs have been studied and widely adopted on a large scale, FNN applications are scarce, especially for sea-level predictions.
- FNN models are mostly used because of their efficacy.
- FNN models are superior to other ANN models in terms of their simulation and prediction.
2. Material and Methods
2.1. Study Site
2.2. Time Series and Prediction Model Procedure
2.3. Field Data Collection and Data Processing
2.4. Tide Gauge Time Series Analysis and Artificial Intelligence (AI) Model
2.5. Feed-Forward (FF) Model Structure
2.6. Evaluation and Performance Assessment
3. Results
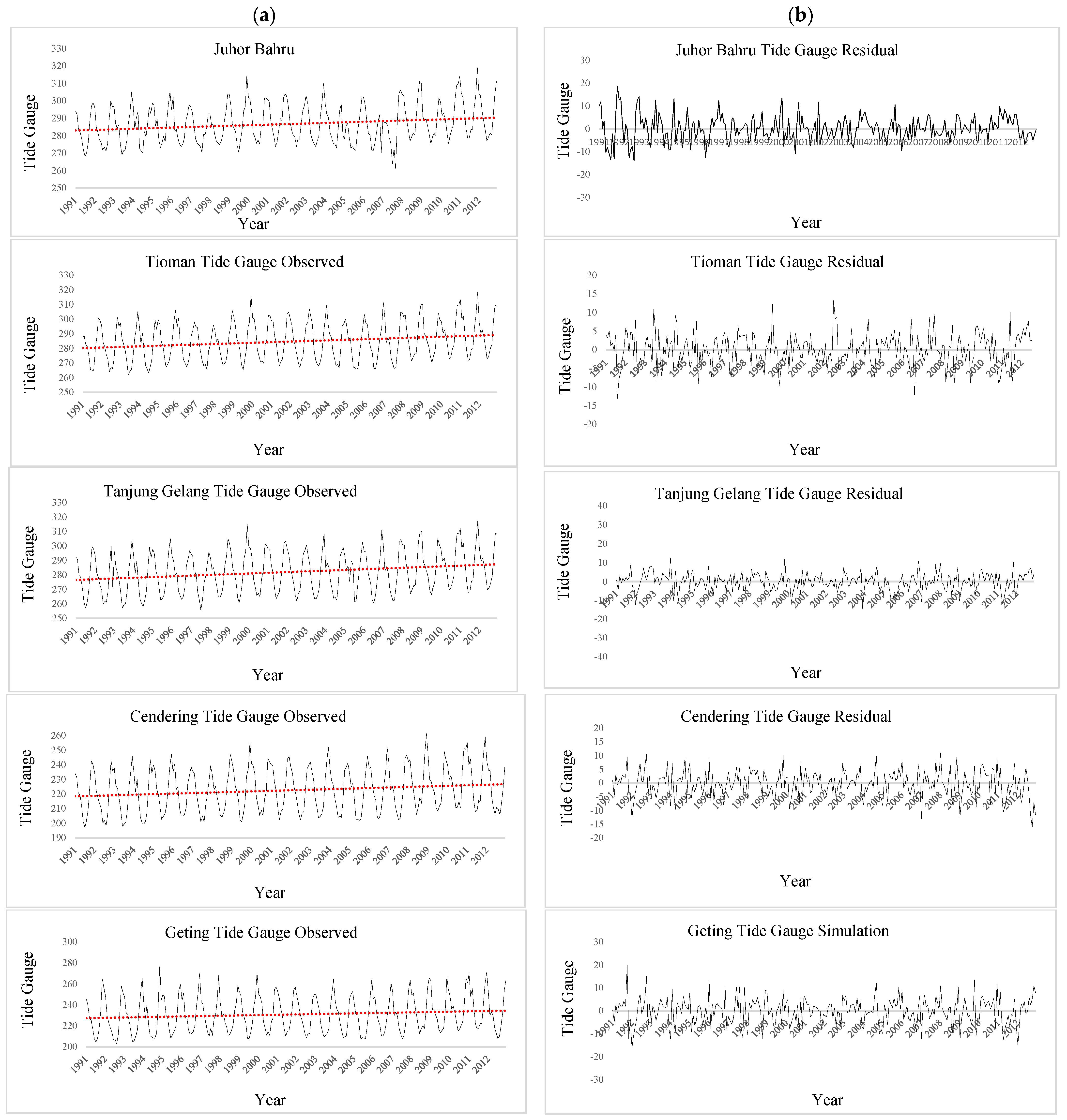
3.1. Analysis of Relative Sea-Level Variation and Rate
3.2. F-ANN Model Architecture and Performance
3.3. Simulation of the Model
3.4. Prediction of the Model
4. Discussion
4.1. FNN Model Sea Level Predictions
4.2. Tide Gauge Results of Five Stations on the East Coast of Peninsular of Malaysia
4.3. Sea-Level Rise and Hazard Vulnerability
5. Conclusions
Author Contributions
Funding
Institutional Review Board Statement
Informed Consent Statement
Data Availability Statement
Conflicts of Interest
References
- Pessoa, M.F.; Lidon, F.C. Impact of human activities on coastal vegetation—A review. Emir. J. Food Agric. 2013, 25, 926–944. [Google Scholar] [CrossRef]
- Jiménez, J.A.; Valdemoro, H.I.; Bosom, E.; Sánchez-Arcilla, A.; Nicholls, R.J. Impacts of sea-level rise-induced erosion on the Catalan coast. Reg. Environ. Chang. 2017, 17, 593–603. [Google Scholar] [CrossRef]
- Folger, P.; Carter, N.T. Sea-Level Rise and US Coasts: Science and Policy Considerations; Congressional Research Service: Washington, DC, USA, 2016. [Google Scholar]
- Bagheri, M.; Zaiton Ibrahim, Z.; Akhir, M.F.; Talaat, W.I.A.W.; Oryani, B.; Rezania, S.; Pour, A.B. Developing a Climate Change Vulnerability Index for Coastal City Sustainability, Mitigation, and Adaptation: A Case Study of Kuala Terengganu, Malaysia. Land 2021, 10, 1271. [Google Scholar] [CrossRef]
- Nauels, A.; Gütschow, J.; Mengel, M.; Meinshausen, M.; Clark, P.U.; Schleussner, C.F. Attributing long-term sea-level rise to Paris Agreement emission pledges. Proc. Natl. Acad. Sci. USA 2019, 116, 23487–23492. [Google Scholar] [CrossRef] [PubMed]
- Schneider, P.; Asch, F. Rice production and food security in Asian Mega deltas—A review on characteristics, vulnerabilities and agricultural adaptation options to cope with climate change. J. Agron. Crop Sci. 2020, 206, 491–503. [Google Scholar] [CrossRef]
- Bagheri, M.; Zaiton Ibrahim, Z.; Mansor, S.; Abd Manaf, L.; Akhir, M.F.; Talaat, W.I.A.W.; Beiranvand Pour, A. Application of Multi-Criteria Decision-Making Model and Expert Choice Software for Coastal City Vulnerability Evaluation. Urban. Sci. 2021, 5, 84. [Google Scholar] [CrossRef]
- Mimura, N. Sea-level rise is caused by climate change and its implications for society. Proc. Jpn. Acad. Ser. B 2013, 89, 281–301. [Google Scholar] [CrossRef]
- Kamruzzaman, M.; Jang, M.W.; Cho, J.; Hwang, S. Future Changes in Precipitation and Drought Characteristics over Bangladesh under CMIP5 Climatological Projections. Water 2019, 11, 2219. [Google Scholar] [CrossRef]
- IPCC. Climate Change 2014: Synthesis Report; Pachauri, R.K., Meyer, L.A., Eds.; Contribution of Working Groups I, II, and III to the Fifth Assessment Report of the Intergovernmental Panel on Climate Change; IPCC: Geneva, Switzerland, 2014; p. 151. [Google Scholar]
- Meier, M.F.; Wahr, J.M. Sea level is rising: Do we know why? Proc. Natl. Acad. Sci. USA 2002, 99, 6524–6526. [Google Scholar] [CrossRef] [PubMed]
- Clark, P.U.; Church, J.A.; Gregory, J.M.; Payne, A.J. Recent progress in understanding and projecting regional and global mean sea-level change. Curr. Clim. Chang. Rep. 2015, 1, 224–246. [Google Scholar] [CrossRef]
- Rezania, S.; Oryani, B.; Cho, J.; Sabbagh, F.; Rupani, P.F.; Talaiekhozani, A.; Rahimi, N.; Lotfi Ghahroud, M. Technical Aspects of Biofuel Production from Different Sources in Malaysia—A Review. Processes 2020, 8, 993. [Google Scholar] [CrossRef]
- Shaffril, H.A.M.; Abu Samah, B.; D’Silva, J.L.; Jegak, U. Global warming at the east coast zone of Peninsular Malaysia. Am. J. Agric. Biol. Sci. 2011, 6, 377–383. [Google Scholar] [CrossRef]
- Awang, N.A.; Hamid, M.R.A. Sea level rise in Malaysia. Sea level rise adaptation measures. Hydrolink 2013, 2, 47–49. [Google Scholar]
- Cabral, H.; Fonseca, V.; Sousa, T.; Costa Leal, M. Synergistic effects of climate change and marine pollution: An overlooked interaction in coastal and estuarine areas. Int. J. Environ. Res. Public Health 2019, 16, 2737. [Google Scholar] [CrossRef]
- Ariffin, E.H.; Sedrati, M.; Akhir, M.F.; Norzilah, M.N.M.; Yaacob, R.; Husain, M.L. Short-term observations of beach Morphodynamics during seasonal monsoons: Two examples from Kuala Terengganu coast (Malaysia). J. Coast. Conserv. 2019, 23, 985–994. [Google Scholar] [CrossRef]
- Din, A.H.M.; Hamid, A.I.A.; Yazid, N.M.; Tugi, A.; Khalid, N.F.; Omar, K.M.; Ahmad, A. Malaysian Sea Water Level Pattern Derived from 19 Years Tidal Data. J. Teknol. 2017, 79, 137–145. [Google Scholar] [CrossRef][Green Version]
- Foster, G.; Brown, P.T. Time and tide: Analysis of sea level time series. Clim. Dyn. 2015, 45, 291–308. [Google Scholar] [CrossRef]
- Beenstock, M.; Felsenstein, D.; Frank, E.; Reingewertz, Y. Tide gauge location and the measurement of global sea-level rise. Environ. Ecol. Stat. 2015, 22, 179–206. [Google Scholar] [CrossRef]
- Bradshaw, E.; Rickards, L.; Aarup, T. Sea level data archaeology and the global sea level observing system (GLOSS). GeoResJ 2015, 6, 9–16. [Google Scholar] [CrossRef]
- Wöppelmann, G.; Pirazzoli, P.A. Tide Gauges. In Encyclopedia of Coastal Science; Schwartz, M.L., Ed.; Encyclopedia of Earth Science Series; Springer: Dordrecht, The Netherlands, 2005. [Google Scholar] [CrossRef]
- Buonocore, B.; Cotroneo, Y.; Capozzi, V.; Aulicino, G.; Zambardino, G.; Budillon, G. Sea-Level Variability in the Gulf of Naples and the “Acqua Alta” Episodes in Ischia from Tide-Gauge Observations in the Period 2002–2019. Water 2020, 12, 2466. [Google Scholar] [CrossRef]
- Johari, A.; Akhir, M.F. Exploring thermocline and water masses variability in the southern South China Sea from the World Ocean Database (WOD). Acta Oceanol. Sin. 2019, 38, 38–47. [Google Scholar] [CrossRef]
- Din, A.H.M.; Abazu, I.C.; Pa’suya, M.F.; Omar, K.M.; Hamid, A.I.A. The impact of sea-level rise on geodetic vertical datum of Peninsular Malaysia. Int. Arch. Photogramm. Remote Sens. Spat. Inf. Sci. 2016, 42, 237–245. [Google Scholar] [CrossRef]
- Garcin, M.; Baills, A.; Le Cozannet, G.; Bulteau, T.; Auboin, A.L.; Sauter, J. Pluridecadal impact of mining activities on coastline mobility of estuaries of New Caledonia (South Pacific). J. Coast. Res. 2013, 65, 494–499. [Google Scholar] [CrossRef]
- Huang, Y. Advances in artificial neural networks–methodological development and application. Algorithms 2009, 2, 973–1007. [Google Scholar] [CrossRef]
- Hopfield, J.J. Neural networks and physical systems with emergent collective computational abilities. Proc. Natl. Acad. Sci. USA 1982, 79, 2554–2558. [Google Scholar] [CrossRef] [PubMed]
- Hung, N.Q.; Babel, M.S.; Weesakul, S.; Tripathi, N.K. An artificial neural network model for rainfall forecasting in Bangkok, Thailand. Hydrol. Earth Syst. Sci. Discuss. 2008, 5, 183–218. [Google Scholar] [CrossRef]
- Abiodun, O.I.; Jantan, A.; Omolara, A.E.; Dada, K.V.; Mohamed, N.A.; Arshad, H. State-of-the-art in artificial neural network applications: A survey. Heliyon 2018, 4, e00938. [Google Scholar] [CrossRef]
- Alaloul, W.S.; Qureshi, A.H. Data Processing Using Artificial Neural Networks. In Dynamic Data Assimilation-Beating the Uncertainties; IntechOpen: London, UK, 2020. [Google Scholar]
- Catic, A.; Gurbeta, L.; Kurtovic-Kozaric, A.; Mehmedbasic, S.; Badnjevic, A. Application of Neural Networks for classification of Patau, Edwards, Down, Turner, and Klinefelter Syndrome based on first-trimester maternal serum screening data, ultrasonographic findings, and patient demographics. BMC Med. Genom. 2018, 11, 19. [Google Scholar] [CrossRef]
- Cabaneros, S.M.; Calautit, J.K.; Hughes, B.R. A review of artificial neural network models for ambient air pollution prediction. Environ. Model. Softw. 2019, 119, 285–304. [Google Scholar] [CrossRef]
- Changwei, Y.; Zonghao, L.; Xueyan, G.; Wenying, Y.; Jing, J.; Liang, Z. Application of BP neural network model in risk evaluation of railway construction. In Complexity; Hindawi: London, UK, 2019. [Google Scholar]
- Said, M.I.M. Artificial Intelligence Approach to Predicting River Water Quality: A Review. J. Environ. Treat. Tech. 2020, 8, 1093–1100. [Google Scholar]
- Yuan, Q.; Shen, H.; Li, T.; Li, Z.; Li, S.; Jiang, Y.; Gao, J. Deep learning in environmental remote sensing: Achievements and challenges. Remote Sens. Env. 2020, 241, 111716. [Google Scholar] [CrossRef]
- Ouma, Y.O.; Okuk, C.O.; Njau, E.N. Use of Artificial Neural Networks and Multiple Linear Regression Model for the Prediction of Dissolved Oxygen in Rivers: Case Study of Hydrographic Basin of River Nyando, Kenya. In Complexity; Hindawi: London, UK, 2020. [Google Scholar]
- Wang, Y.; Ni, X.S.; Stone, B. A two-stage hybrid model by using artificial neural networks as feature construction algorithms. Int. J. Data Min. Knowl. Manag. Process 2018, 8, 6. [Google Scholar] [CrossRef]
- Hornik, K. Some new results on neural network approximation. Neural Netw. 1993, 6, 1069–1072. [Google Scholar] [CrossRef]
- Haykin, S.S. Neural Networks. A Comprehensive Foundation; Prentice-Hall: Hamilton, ON, Canada, 1999. [Google Scholar]
- Runge, J.; Zmeureanu, R. Forecasting energy use in buildings using artificial neural networks: A review. Energies 2019, 12, 3254. [Google Scholar] [CrossRef]
- Bertolaccini, L.; Solli, P.; Pardolesi, A.; Pasini, A. An overview of the use of artificial neural networks in lung cancer research. J. Thorac. Dis. 2017, 9, 924. [Google Scholar] [CrossRef] [PubMed]
- Zhao, L.; Hicks, F.E.; Fayek, A.R. Applicability of multilayer feed-forward neural networks to model the onset of river breakup. Cold Reg. Sci. Technol. 2012, 70, 32–42. [Google Scholar] [CrossRef]
- Masters, T. Practical Neural Network Recipes in C++; Academic Press: Cambridge, MA, USA; Morgan Kaufmann: San Diego, CA, USA, 1993. [Google Scholar]
- Mas, J.F.; Puig, H.; Palacio, J.L.; Sosa-López, A. Modeling deforestation using GIS and artificial neural networks. Environ. Model. Softw. 2004, 19, 461–471. [Google Scholar] [CrossRef]
- Molinari, D.; De Bruijn, K.; Castillo, J.; Aronica, G.T.; Bouwer, L.M. Review Article: Validation of flood risk models: Current practice and innovations. Nat. Hazards Earth Syst. Sci. Discuss. 2017. in review. [Google Scholar] [CrossRef]
- Fredrick, M.H.; Kostanic, I. Principles of Neurocomputing for Science and Engineering; Mc Graw Hill: New York, NY, USA, 2001; ISBN 0-0-025966-6. [Google Scholar]
- Hornik, K.; Stichcombe, M.; White, H. Multi-layer feedforward networks are universal approximators. Neural Netw. 1989, 2, 359–366. [Google Scholar] [CrossRef]
- Eftekhar, B.; Mohammad, K.; Ardebili, H.E.; Ghodsi, M.; Ketabchi, E. Comparison of artificial neural network and logistic regression models for prediction of mortality in head trauma based on initial clinical data. BMC Med Inform. Decis. Mak. 2005, 5, 3. [Google Scholar] [CrossRef]
- Tezel, G.; Buyukyildiz, M. Monthly evaporation forecasting using artificial neural networks and support vector machines. Appl. Clim. 2016, 124, 69–80. [Google Scholar] [CrossRef]
- Makarynskyy, O.; Makarynska, D.; Rayson, M.; Langtry, S. Combining deterministic modeling with artificial neural networks for suspended sediment estimates. Appl. Soft Comput. 2015, 35, 247–256. [Google Scholar] [CrossRef]
- Tasadduq, I.; Rehman, S.; Bubshait, K. Application of neural networks for the prediction of hourly mean surface temperatures in Saudi Arabia. Renew. Energy 2002, 25, 545–554. [Google Scholar] [CrossRef]
- Bagheri, M.; Ibrahim, Z.Z.; Mansor, S.B.; Abd Manaf, L.; Badarulzaman, N.; Vaghefi, N. Shoreline change analysis and erosion prediction using historical data of Kuala Terengganu, Malaysia. Environ. Earth Sci. 2019, 78, 477. [Google Scholar] [CrossRef]
- Polo, F.A.O.; Bermejo, J.F.; Fernández, J.F.G.; Márquez, A.C. Failure mode prediction and energy forecasting of PV plants to assist dynamic maintenance tasks by ANN-based models. Renew. Energy 2015, 81, 227–238. [Google Scholar] [CrossRef]
- Kwan, M.S.; Tangang, F.T.; Juneng, L. Present-day regional climate simulation over Malaysia and the western Maritime Continent region using PRECIS forced with ERA40 reanalysis. Appl. Clim. 2014, 115, 1–14. [Google Scholar] [CrossRef]
- Amerian, Y.; Voosoghi, B. Least-squares spectral analysis for detection of systematic behavior of digital level compensator. J. Geod. Sci. 2011, 1, 35–40. [Google Scholar] [CrossRef]
- Zime, S. Africa Economic Growth Forecasting Research Based on Artificial Neural Network Model: Case Study of Benin; University of Electronic Science and Technology of China: Chengdu, China, 2014; Volume 3, ISSN 2278-0181. [Google Scholar]
- Ghamarnia, H.; Jalili, Z. Artificial network for predicting water uptake under shallow saline ground water conditions. J. Sci. Res. Rep. 2015, 7, 359–372. [Google Scholar] [CrossRef]
- Olden, J.D.; Jackson, D.A. Illuminating the “black box”: A randomization approach for understanding variable contributions in artificial neural networks. Ecol. Model. 2002, 154, 135–150. [Google Scholar] [CrossRef]
- Demuth, H.; Beale, M.; Hagan, M. Neural Network Toolbox™ 6 User’s Guide; MathWorks: Natick, MA, USA, 1992. [Google Scholar]
- Khamis, A.; Abdullah, S.N.S.B. Forecasting Wheat Price Using Backpropagation and NARX Neural Network. Int. J. Eng. Sci. 2014, 3, 19–26. [Google Scholar]
- Nitsure, S.P.; Londhe, S.N.; Khare, K.C. Prediction of seawater levels using wind information and soft computing techniques. Appl. Ocean Res. 2014, 47, 344–351. [Google Scholar] [CrossRef]
- Mashaly, A.F.; Alazba, A.A.; Al-Awaadh, A.M.; Mattar, M.A. A predictive model for assessing and optimizing solar still performance using artificial neural networks under a hyper-arid environment. Sol. Energy 2015, 118, 41–58. [Google Scholar] [CrossRef]
- Makarynskyy, O.; Makarynska, D.; Kuhn, M.; Featherstone, W.E. Predicting sea level variations with artificial neural networks at Hillarys Boat Harbour, Western Australia. Estuarine. Coast. Shelf Sci. 2004, 61, 351–360. [Google Scholar] [CrossRef]
- Rafiean, H.; Aliei, M. Application of Neuro-Fuzzy Model for Predicting Sea Level Rise Utilizing Climatic Signals: A Case Study. Tech. J. Eng. Appl. Sci. 2013, 3, 3825–3830. [Google Scholar]
- NAHRIM. The Study of the Impact of Climate Change on Sea-Level Rise in Malaysia (Final Report); National Hydraulic Research Institute Malaysia: Seri Kembangan, Malaysia, 2010; p. 172. [Google Scholar]
- Din, A.H.M.; Zulkifli, N.A.; Hamden, M.H.; Aris, W.A.W. Sea level trend over Malaysian seas from multi-mission satellite altimetry and vertical land motion-corrected tidal data. Adv. Space Res. 2019, 63, 3452–3472. [Google Scholar] [CrossRef]
- NAHRIM. Proceedings of the National Seminar on Coastal Morphology (COSMO) on the Muddy Coast of Malaysia (Final Report); Coastal Research Centre, National Hydraulic Research Institute Malaysia (NAHRIM): Seri Kembangan, Malaysia, 2010; p. 220. [Google Scholar]












| Tide Stations | RMSE | MAE | MSE | SSE | R |
|---|---|---|---|---|---|
| Juhor Bahru | 0.067 | 0.013 | 0.005 | 0.002 | 0.66 |
| Tioman | 0.050 | 0.049 | 0.003 | 0.017 | 0.87 |
| Tanjung Gelang | 0.086 | 0.056 | 0.004 | 0.023 | 0.70 |
| Cendering | 0.056 | 0.085 | 0.010 | 0.058 | 0.88 |
| Geting | 0.068 | 0.040 | 0.002 | 0.015 | 0.86 |
| Tide Stations | Training | Validation | Testing | |||
|---|---|---|---|---|---|---|
| R (%) | MSE | R (%) | MSE | R (%) | MSE | |
| Johor Bahru (JB) | 1 | 1.667 | 0.999 | 1.447 | 1 | 1.401 |
| Tioman (T) | 0.999 | 1.873 | 0.999 | 1.446 | 1 | 1.067 |
| Tanjung Glang (TG) | 0.999 | 1.763 | 0.999 | 1.786 | 0.999 | 1.659 |
| Cendering (C) | 1 | 1.277 | 1 | 1.366 | 0.999 | 1.526 |
| Geting (G) | 1 | 1.002 | 1 | 1.032 | 1 | 1.312 |
| Tide Stations | Training | Validation | Testing | |||
|---|---|---|---|---|---|---|
| R (%) | MSE | R (%) | MSE | R (%) | MSE | |
| Johor Bahru (JB) | 99.9 | 1.953 | 99.9 | 1.585 | 99.4 | 1.517 |
| Tioman (T) | 99.9 | 1.617 | 1 | 1.299 | 1 | 1.052 |
| Tanjung Glang (TG) | 99.9 | 1.863 | 1 | 1.214 | 99.9 | 1.164 |
| Cendering (C) | 1 | 1.294 | 1 | 1.008 | 99.9 | 1.614 |
| Geting (G) | 1 | 1.570 | 99.9 | 1.973 | 1 | 1.072 |
| Location | Start | End | Rate (mm/yr) | ||
|---|---|---|---|---|---|
| East Coast | Johor Bahru | January 2013 | December 2020 | 2.59 ± 7.00 | |
| L | Tioman | January 2013 | December 2020 | 1.95 ± 6.54 | |
| Tanjung Gelang | January 2013 | December 2020 | 1.87 ± 7.33 | ||
| H | Cendering | January 2013 | December 2020 | 1.38 ± 7.59 | |
| Geting | January 2013 | December 2020 | 2.46 ± 7.33 | ||
Publisher’s Note: MDPI stays neutral with regard to jurisdictional claims in published maps and institutional affiliations. |
© 2021 by the authors. Licensee MDPI, Basel, Switzerland. This article is an open access article distributed under the terms and conditions of the Creative Commons Attribution (CC BY) license (https://creativecommons.org/licenses/by/4.0/).
Share and Cite
Bagheri, M.; Ibrahim, Z.Z.; Akhir, M.F.; Oryani, B.; Rezania, S.; Wolf, I.D.; Pour, A.B.; Talaat, W.I.A.W. Impacts of Future Sea-Level Rise under Global Warming Assessed from Tide Gauge Records: A Case Study of the East Coast Economic Region of Peninsular Malaysia. Land 2021, 10, 1382. https://doi.org/10.3390/land10121382
Bagheri M, Ibrahim ZZ, Akhir MF, Oryani B, Rezania S, Wolf ID, Pour AB, Talaat WIAW. Impacts of Future Sea-Level Rise under Global Warming Assessed from Tide Gauge Records: A Case Study of the East Coast Economic Region of Peninsular Malaysia. Land. 2021; 10(12):1382. https://doi.org/10.3390/land10121382
Chicago/Turabian StyleBagheri, Milad, Zelina Z. Ibrahim, Mohd Fadzil Akhir, Bahareh Oryani, Shahabaldin Rezania, Isabelle D. Wolf, Amin Beiranvand Pour, and Wan Izatul Asma Wan Talaat. 2021. "Impacts of Future Sea-Level Rise under Global Warming Assessed from Tide Gauge Records: A Case Study of the East Coast Economic Region of Peninsular Malaysia" Land 10, no. 12: 1382. https://doi.org/10.3390/land10121382
APA StyleBagheri, M., Ibrahim, Z. Z., Akhir, M. F., Oryani, B., Rezania, S., Wolf, I. D., Pour, A. B., & Talaat, W. I. A. W. (2021). Impacts of Future Sea-Level Rise under Global Warming Assessed from Tide Gauge Records: A Case Study of the East Coast Economic Region of Peninsular Malaysia. Land, 10(12), 1382. https://doi.org/10.3390/land10121382

