Applying Built-Up and Bare-Soil Indices from Landsat 8 to Cities in Dry Climates
Abstract
1. Introduction
Study Area
2. Materials and Methods
2.1. Data
2.2. Methodology
2.2.1. Dry Built-Up Index
2.2.2. Dry Bareness Index
2.2.3. Accuracy Assessment
3. Results
3.1. Mapping Built-Up Areas Using the Dry Built-Up Index
3.2. Mapping Bareness Areas Using Dry Bare-Soil Index
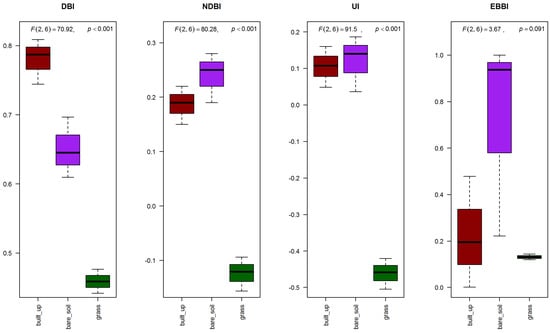
3.3. Acurracy Assessment
4. Discussion
5. Conclusions
Author Contributions
Funding
Acknowledgments
Conflicts of Interest
References
- Zha, Y.; Gao, J.; Ni, S. Use of normalized difference built-up index in automatically mapping urban areas from TM imagery. Int. J. Remote Sens. 2003, 24, 583–594. [Google Scholar] [CrossRef]
- Gallo, K.P.; Owen, T.W. Assessment of urban heat Islands: A multi-sensor perspective for the Dallas-Ft. worth, USA region. Geocarto Int. 1998, 13, 35–41. [Google Scholar] [CrossRef]
- He, C.; Shi, P.; Xie, D.; Zhao, Y. Improving the normalized difference built-up index to map urban built-up areas using a semiautomatic segmentation approach. Remote Sens. Lett. 2010, 1, 213–221. [Google Scholar] [CrossRef]
- Chen, X.-L.; Zhao, H.-M.; Li, P.-X.; Yin, Z.-Y. Remote sensing image-based analysis of the relationship between urban heat island and land use/cover changes. Remote Sens. Environ. 2006, 104, 133–146. [Google Scholar] [CrossRef]
- Chen, W.; Liu, L.; Zhang, C.; Wang, J.; Wang, J.; Pan, Y. Monitoring the seasonal bare soil areas in Beijing using multitemporal TM images. In Proceedings of the 2004 IEEE International Geoscience and Remote Sensing Symposium (IGARSS’04), Anchorage, AK, USA, 20–24 September 2004. [Google Scholar]
- Rogers, A.; Kearney, M. Reducing signature variability in unmixing coastal marsh Thematic Mapper scenes using spectral indices. Int. J. Remote Sens. 2004, 25, 2317–2335. [Google Scholar] [CrossRef]
- As-Syakur, A.R.; Adnyana, I.W.S.; Arthana, I.W.; Nuarsa, I.W. Enhanced built-up and bareness index (EBBI) for mapping built-up and bare land in an urban area. Remote Sens. 2012, 4, 2957–2970. [Google Scholar] [CrossRef]
- Li, H.; Wang, C.; Zhong, C.; Su, A.; Xiong, C.; Wang, J.; Liu, J. Mapping Urban Bare Land Automatically from Landsat Imagery with a Simple Index. Remote Sens. 2017, 9, 249. [Google Scholar] [CrossRef]
- Zhang, Z.; Ji, M.; Shu, J.; Deng, Z.; Wu, Y. Surface urban heat island in Shanghai, China: Examining the relationship between land surface temperature and impervious surface fractions derived from Landsat ETM+ imagery. Int. Arch. Photogramm. Remote Sens. Spat. Inf. Sci. 2008, 37, 601–606. [Google Scholar]
- Ji, M.; Jensen, J.R. Effectiveness of subpixel analysis in detecting and quantifying urban imperviousness from Landsat Thematic Mapper imagery. Geocarto Int. 1999, 14, 33–41. [Google Scholar] [CrossRef]
- Flanagan, M.; Civco, D.L. Subpixel impervious surface mapping. In Proceedings of the 2001 ASPRS Annual Convention, St. Louis, MO, USA, 23–27 April 2001. [Google Scholar]
- Lu, D.; Weng, Q. Use of impervious surface in urban land-use classification. Remote Sens. Environ. 2006, 102, 146–160. [Google Scholar] [CrossRef]
- Kawamura, M.; Jayamana, S.; Tsujiko, Y. Relation between social and environmental conditions in Colombo Sri Lanka and the urban index estimated by satellite remote sensing data. Int. Arch. Photogramm. Remote Sens. 1996, 31, 321–326. [Google Scholar]
- Fernando, T.; Gunawardena, A. Determination of Convertion of Tea Lands in Kandy District Using Different Remote Sensing Indices. Available online: https://www.researchgate.net/profile/Tamasha_Fernando/publication/312377414_DETERMINATION_OF_CONVERSION_OF_TEA_LANDS_IN_KANDY_DISTRICT_USING_DIFFERENT_REMOTE_SENSING_INDICES/links/587c855408ae9a860fecc313/DETERMINATION-OF-CONVERSION-OF-TEA-LANDS-IN-KANDY-DISTRICT-USING-DIFFERENT-REMOTE-SENSING-INDICES.pdf (accessed on 3 July 2018).
- Wu, C.; Murray, A.T. Estimating impervious surface distribution by spectral mixture analysis. Remote Sens. Environ. 2003, 84, 493–505. [Google Scholar] [CrossRef]
- Xu, H. Analysis of impervious surface and its impact on urban heat environment using the normalized difference impervious surface index (NDISI). Photogramm. Eng. Remote Sens. 2010, 76, 557–565. [Google Scholar] [CrossRef]
- Stathakis, D.; Perakis, K.; Savin, I. Efficient segmentation of urban areas by the VIBI. Int. J. Remote Sens. 2012, 33, 6361–6377. [Google Scholar] [CrossRef]
- Deng, C.; Wu, C. BCI: A biophysical composition index for remote sensing of urban environments. Remote Sens. Environ. 2012, 127, 247–259. [Google Scholar] [CrossRef]
- USGS. Landsat 8 Data Users Handbook; USGS: Reston, VA, USA, 2016.
- Bhatti, S.S.; Tripathi, N.K. Built-up area extraction using Landsat 8 OLI imagery. GISci. Remote Sens. 2014, 51, 445–467. [Google Scholar] [CrossRef]
- Zhou, Y.; Yang, G.; Wang, S.; Wang, L.; Wang, F.; Liu, X. A new index for mapping built-up and bare land areas from Landsat-8 OLI data. Remote Sens. Lett. 2014, 5, 862–871. [Google Scholar] [CrossRef]
- Piyoosh, A.K.; Ghosh, S.K. Development of a modified bare soil and urban index for Landsat 8 satellite data. Geocarto Int. 2018, 33, 423–442. [Google Scholar] [CrossRef]
- Ogashawara, I.; Bastos, V.D.S.B. A quantitative approach for analyzing the relationship between urban heat islands and land cover. Remote Sens. 2012, 4, 3596–3618. [Google Scholar] [CrossRef]
- Rasul, A.; Balzter, H.; Smith, C. Applying a Normalized Ratio Scale Technique to Assess Influences of Urban Expansion on Land Surface Temperature of the Semi-Arid City of Erbil. Int. J. Remote Sens. 2017, 38, 3960–3980. [Google Scholar] [CrossRef]
- NCCIRAQ, Erbil Governorate Profil. 2015. Available online: http://iomiraq.net/file/2224/download (accessed on 3 July 2018).
- Najmaddin, P.M.; Whelan, M.J.; Balzter, H. Application of Satellite-Based Precipitation Estimates to Rainfall-Runoff Modelling in a Data-Scarce Semi-Arid Catchment. Climate 2017, 5, 32. [Google Scholar] [CrossRef]
- Rasul, A.O. Remote Sensing of Surface Urban Cool and Heat Island Dynamics in Erbil, Iraq, between 1992 and 2013. Department of Geography. Ph.D. Thesis, University of Leicester, Leicester, UK, 2016. [Google Scholar]
- Rasul, A.; Balzter, H.; Smith, C. Diurnal and seasonal variation of surface urban cool and heat islands in the semi-arid city of Erbil, Iraq. Climate 2016, 4, 42. [Google Scholar] [CrossRef]
- USGS. Landsat Data; USGS: Reston, VA, USA, 2017.
- Faisal, K.; Shaker, A.; Habbani, S. Modeling the Relationship between the Gross Domestic Product and Built-Up Area Using Remote Sensing and GIS Data: A Case Study of Seven Major Cities in Canada. ISPRS Int. J. Geo-Inform. 2016, 5, 23. [Google Scholar] [CrossRef]
- Xu, H. Modification of normalised difference water index (NDWI) to enhance open water features in remotely sensed imagery. Int. J. Remote Sens. 2006, 27, 3025–3033. [Google Scholar] [CrossRef]
- Ranagalage, M.; Estoque, R.C.; Murayama, Y. An urban heat island study of the Colombo metropolitan area, Sri Lanka, based on Landsat data (1997–2017). ISPRS Int. J. Geo-Inform. 2017, 6, 189. [Google Scholar] [CrossRef]
- Liu, W.; Lu, L.; Ye, C.; Liu, Y. Relating urban surface temperature to surface characteristics in Beijing area of China. In Proceedings of the International Society for Optics and Photonics MIPPR 2009: Remote Sensing and GIS Data Processing and Other Applications, Yichang, China, 30 October–1 November 2009. [Google Scholar]
- Xiong, Y.; Huang, S.; Chen, F.; Ye, H.; Wang, C.; Zhu, C. The impacts of rapid urbanization on the thermal environment: A remote sensing study of Guangzhou, South China. Remote Sens. 2012, 4, 2033–2056. [Google Scholar] [CrossRef]
- Qian, J.; Zhou, Q.; Hou, Q. Comparison of pixel-based and object-oriented classification methods for extracting built-up areas in arid zone. In Proceedings of the ISPRS Workshop on Updating Geo-Spatial Databases with Imagery & the 5th ISPRS Workshop on DMGISs, National Geomatics Center of China Sponsored, Urumchi, XingJiang, China, 28–29 August 2007. [Google Scholar]
- Qian, J.; Zhou, Q.; Chen, X. Improvement of urban land use and land cover classification approach in arid areas. In Proceedings of the International Society for Optics and Photonics Image and Signal Processing for Remote Sensing XVI, Toulouse, France, 20–22 September 2010. [Google Scholar]









| Indices | Mean (City) | SD (City) | Mean (10 km Buffer) | SD (10 km Buffer) | Difference (City-Buffer) |
|---|---|---|---|---|---|
| DBI | 0.743 | 0.083 | 0.653 | 0.056 | 0.090 |
| NDBI | 0.186 | 0.052 | 0.214 | 0.039 | −0.028 |
| UI | 0.070 | 0.066 | 0.085 | 0.082 | −0.015 |
| EBBI | 0.303 | 0.223 | 0.567 | 0.245 | −0.264 |
| Indices | Mean (City) | SD (City) | Mean (10 km Buffer) | SD (10 km Buffer) | Difference (Buffer–City) |
|---|---|---|---|---|---|
| DBSI | 0.23 | 0.056 | 0.28 | 0.039 | 0.05 |
| NDBaI | −0.19 | 0.052 | −0.21 | 0.039 | −0.02 |
| BI | 0.20 | 0.045 | 0.22 | 0.038 | 0.02 |
| NDSI | 0.20 | 0.050 | 0.21 | 0.043 | 0.01 |
| Non-Built-Up | Built-Up | Classification Overall | Producer Accuracy (Precision) | User Accuracy (Recall) | |
|---|---|---|---|---|---|
| Non—built-up | 143 | 14 | 157 | 91.08% | 95.33% |
| Built-up | 7 | 136 | 143 | 95.1% | 90.67% |
| Truth overall | 150 | 150 | 300 | ||
| Overall Accuracy | 93% | ||||
| κ | 0.86 |
| Non-Bare | Bare-Soil | Classification Overall | Producer Accuracy (Precision) | User Accuracy (Recall) | |
|---|---|---|---|---|---|
| Non-bare | 132 | 6 | 150 | 95.65% | 88% |
| Bare-soil | 18 | 144 | 150 | 88.89% | 96% |
| Truth overall | 150 | 150 | 300 | ||
| Overall Accuracy | 92% | ||||
| κ | 0.84 |
© 2018 by the authors. Licensee MDPI, Basel, Switzerland. This article is an open access article distributed under the terms and conditions of the Creative Commons Attribution (CC BY) license (http://creativecommons.org/licenses/by/4.0/).
Share and Cite
Rasul, A.; Balzter, H.; Ibrahim, G.R.F.; Hameed, H.M.; Wheeler, J.; Adamu, B.; Ibrahim, S.; Najmaddin, P.M. Applying Built-Up and Bare-Soil Indices from Landsat 8 to Cities in Dry Climates. Land 2018, 7, 81. https://doi.org/10.3390/land7030081
Rasul A, Balzter H, Ibrahim GRF, Hameed HM, Wheeler J, Adamu B, Ibrahim S, Najmaddin PM. Applying Built-Up and Bare-Soil Indices from Landsat 8 to Cities in Dry Climates. Land. 2018; 7(3):81. https://doi.org/10.3390/land7030081
Chicago/Turabian StyleRasul, Azad, Heiko Balzter, Gaylan R. Faqe Ibrahim, Hasan M. Hameed, James Wheeler, Bashir Adamu, Sa’ad Ibrahim, and Peshawa M. Najmaddin. 2018. "Applying Built-Up and Bare-Soil Indices from Landsat 8 to Cities in Dry Climates" Land 7, no. 3: 81. https://doi.org/10.3390/land7030081
APA StyleRasul, A., Balzter, H., Ibrahim, G. R. F., Hameed, H. M., Wheeler, J., Adamu, B., Ibrahim, S., & Najmaddin, P. M. (2018). Applying Built-Up and Bare-Soil Indices from Landsat 8 to Cities in Dry Climates. Land, 7(3), 81. https://doi.org/10.3390/land7030081

