Nonlinear Relationships Between Economic Development Stages and Land Use Efficiency in China’s Cities
Abstract
1. Introduction
2. Materials and Methods
2.1. Study Area
2.2. Modeling Framework and Data Processing
2.3. Methods
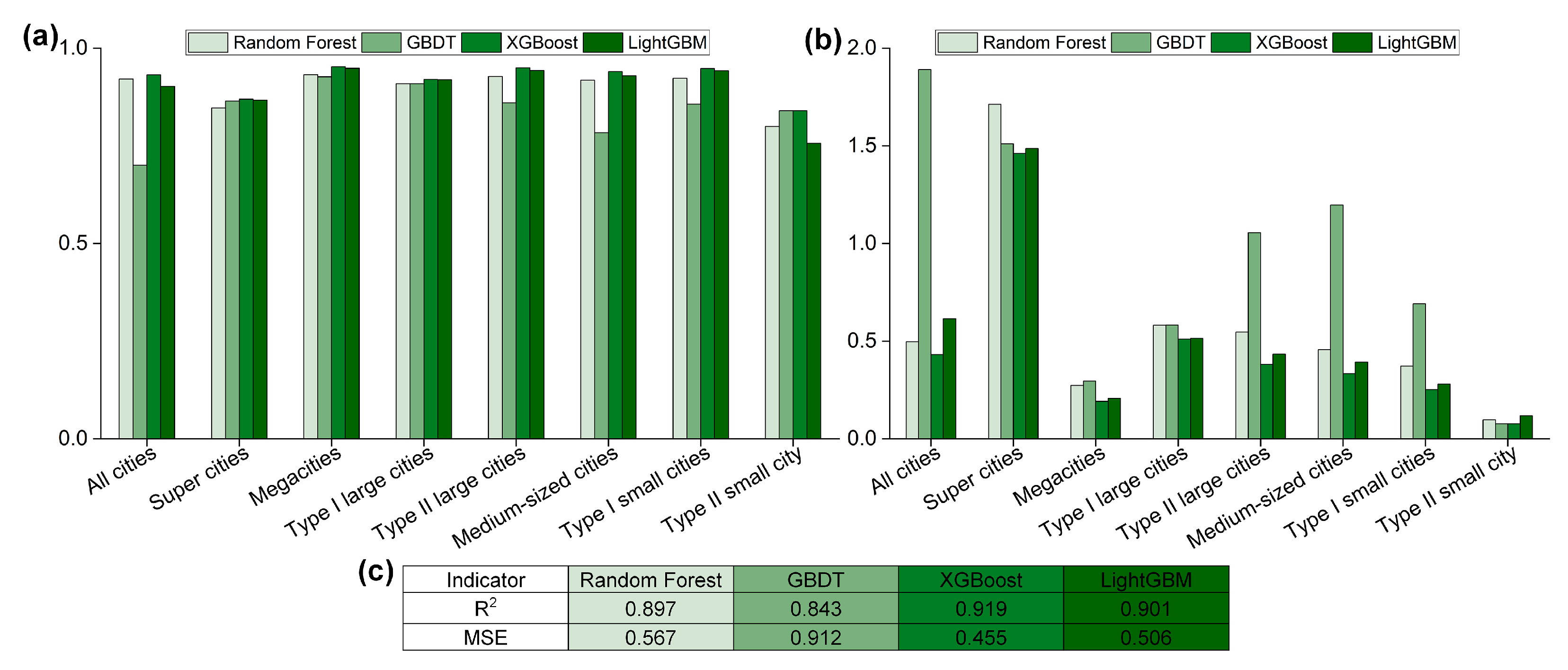
2.3.1. Measurement of LUE
2.3.2. Division of EDSs
2.3.3. Emerging Hotspot Analysis
2.3.4. Identification of Marginal Effects
3. Results
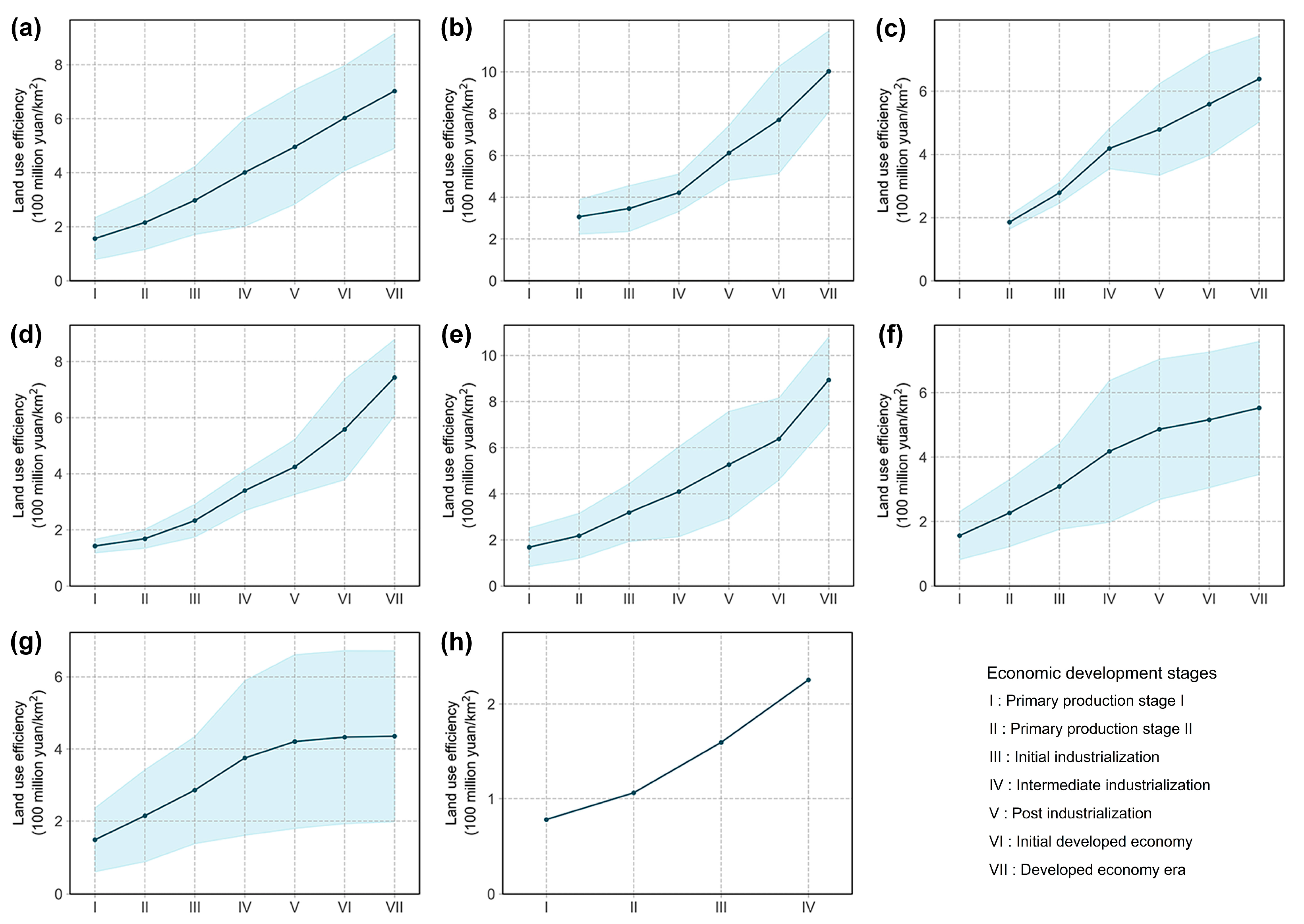
3.1. Characteristics of LUE
3.2. Characteristics of EDSs
3.3. LUE Characteristics Varying Throughout EDSs
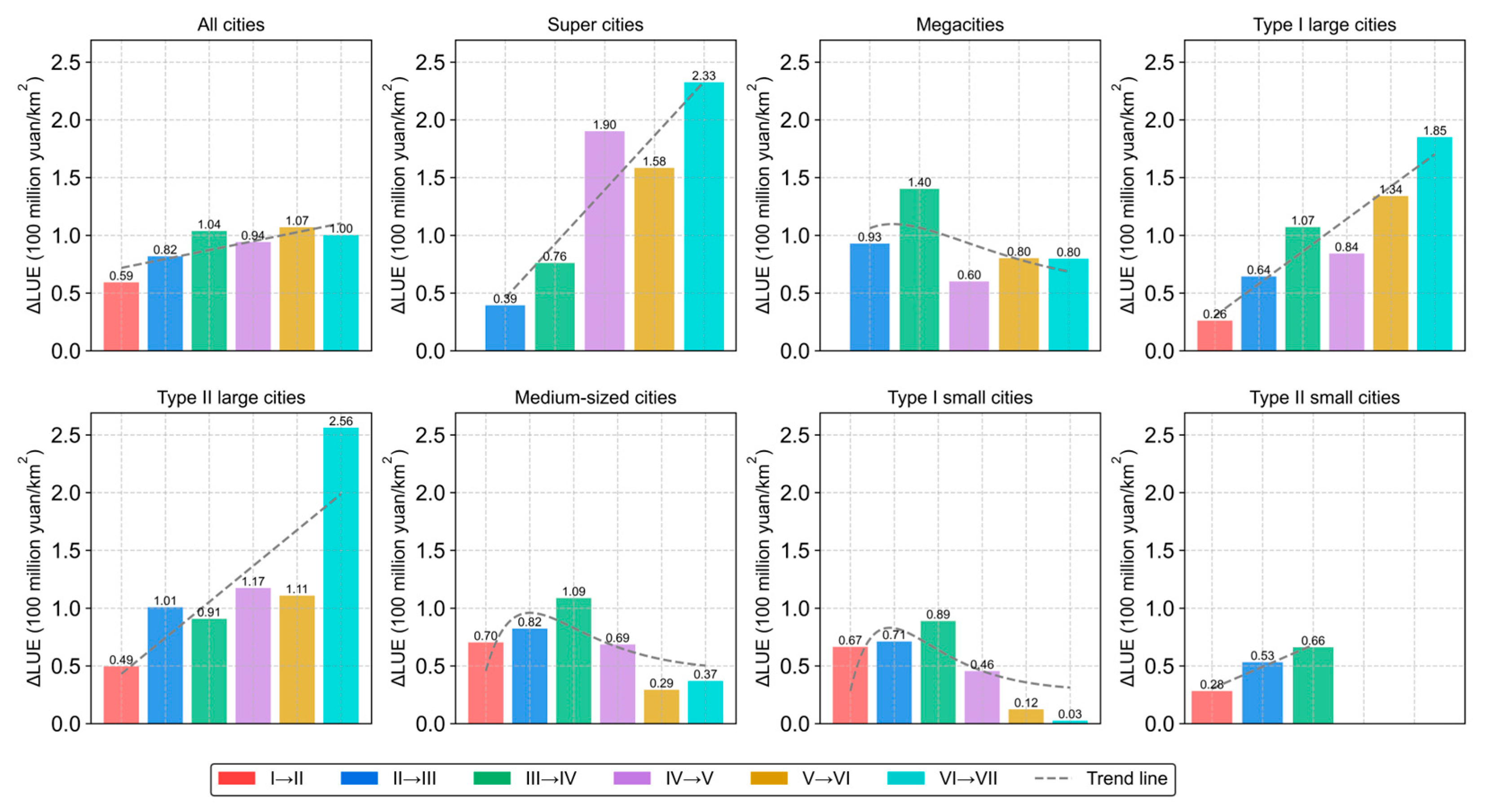
3.4. Impact of EDSs on LUE
4. Discussion
4.1. Typicality of Chinese Cities as Research Objects
4.2. In-Depth Analysis of Mechanism of Impact of EDSs on LUE
4.3. Recommendations for Sustainable Spatial Development
4.4. Limitations
5. Conclusions
Author Contributions
Funding
Data Availability Statement
Conflicts of Interest
References
- Sethi, S.S.; Vinoj, V. Urbanization and regional climate change–linked warming of Indian cities. Nat. Cities 2024, 1, 402–405. [Google Scholar] [CrossRef]
- Chakraborty, T.C.; Venter, Z.S.; Demuzere, M.; Zhan, W.; Gao, J.; Zhao, L.; Qian, Y. Large disagreements in estimates of urban land across scales and their implications. Nat. Commun. 2024, 15, 9165. [Google Scholar] [CrossRef]
- Guo, L.; Tang, M.; Wu, Y.; Bao, S.; Wu, Q. Government–led regional integration and economic growth: Evidence from a quasi–natural experiment of urban agglomeration development planning policies in China. Cities 2025, 156, 105482. [Google Scholar] [CrossRef]
- Wang, S.; Bai, X.; Zhang, X.; Reis, S.; Chen, D.; Xu, J.; Gu, B. Urbanization can benefit agricultural production with large–scale farming in China. Nat. Food. 2021, 2, 183–191. [Google Scholar] [CrossRef]
- Ouyang, Z.; Sciusco, P.; Jiao, T.; Feron, S.; Lei, C.; Li, F.; John, R.; Fan, P.; Li, X.; Williams, C.A.; et al. Albedo changes caused by future urbanization contribute to global warming. Nat. Commun. 2022, 13, 3800. [Google Scholar] [CrossRef]
- Sun, Y.; Zhang, X.; Ren, G.; Zwiers, F.W.; Hu, T. Contribution of urbanization to warming in China. Nat. Clim. Change 2016, 6, 706–709. [Google Scholar] [CrossRef]
- Huang, S.; Wang, S.; Gan, Y.; Wang, C.; Horton, D.E.; Li, C.; Zhang, X.; Niyogi, D.; Xia, J.; Chen, N. Widespread global exacerbation of extreme drought induced by urbanization. Nat. Cities 2024, 1, 597–609. [Google Scholar] [CrossRef]
- Hu, Y.N.; Connor, D.S.; Stuhlmacher, M.; Peng, J.; Turner, B.L., II. More urbanization, more polarization: Evidence from two decades of urban expansion in China. npj Urban Sustain. 2024, 4, 33. [Google Scholar] [CrossRef]
- Guo, K.; Huang, Y.; Chen, D. Analysis of the expansion characteristics of rural settlements based on scale growth function in Himalayan Region. Land 2022, 11, 450. [Google Scholar] [CrossRef]
- Fu, S.; Zhang, X.; Kuang, W.; Guo, C. Characteristics of changes in urban land use and efficiency evaluation in the Qinghai–Tibet Plateau from 1990 to 2020. Land 2022, 11, 757. [Google Scholar] [CrossRef]
- Jiang, H.; Sun, Z.; Guo, H.; Weng, Q.; Du, W.; Xing, Q.; Cai, G. An assessment of urbanization sustainability in China between 1990 and 2015 using land use efficiency indicators. npj Urban Sustain. 2021, 1, 34. [Google Scholar] [CrossRef]
- Koroso, N.H.; Lengoiboni, M.; Zevenbergen, J.A. Urbanization and urban land use efficiency: Evidence from regional and Addis Ababa satellite cities, Ethiopia. Habitat. Int. 2021, 117, 102437. [Google Scholar] [CrossRef]
- Leng, A.; Wang, K.; Bai, J.; Gu, N.; Feng, R. Analyzing sustainable development in Chinese cities: A focus on land use efficiency in production–living–ecological aspects. J. Clean. Prod. 2024, 448, 141461. [Google Scholar] [CrossRef]
- Song, W.; Cao, S.; Du, M.; Lu, L. Distinctive roles of land–use efficiency in sustainable development goals: An investigation of trade–offs and synergies in China. J. Clean. Prod. 2023, 382, 134889. [Google Scholar] [CrossRef]
- He, S.; Yu, S.; Li, G.; Zhang, J. Exploring the influence of urban form on land—Use efficiency from a spatiotemporal heterogeneity perspective: Evidence from 336 Chinese cities. Land Use Policy 2020, 95, 104576. [Google Scholar] [CrossRef]
- Li, Y.; Shu, B.; Wu, Q. Urban land use efficency in China: Spatial and temporal characteristics, regional difference and influence factors. Econ. Geogr. 2014, 34, 133–139. [Google Scholar]
- Luo, G.; Wu, C. Comparative study on urban land use efficiency. Econ. Geogr. 2003, 23, 367–370, 392. [Google Scholar]
- Yang, D.; Luan, W. Spatial-temporal patterns of urban land use efficiency in China’s national special economic parks. Ecol. Indic. 2024, 163, 111959. [Google Scholar] [CrossRef]
- Song, Y.; Yeung, G.; Zhu, D.; Xu, Y.; Zhang, L. Efficiency of urban land use in China’s resource–based cities, 2000–2018. Land Use Policy 2022, 115, 106009. [Google Scholar] [CrossRef]
- Liu, S.; Xiao, W.; Li, L.; Ye, Y.; Song, X. Urban land use efficiency and improvement potential in China: A stochastic frontier analysis. Land Use Policy 2020, 99, 105046. [Google Scholar] [CrossRef]
- Jiang, H. Spatial–temporal differences of industrial land use efficiency and its influencing factors for China’s central region: Analyzed by SBM model. Environ. Technol. Innov. 2021, 22, 101489. [Google Scholar] [CrossRef]
- Xiao, Y.; Zhong, J.; Zhang, Q.; Xiang, X.; Huang, H. Exploring the coupling coordination and key factors between urbanization and land use efficiency in ecologically sensitive areas: A case study of the Loess Plateau, China. Sustain. Cities. Soc. 2022, 86, 104148. [Google Scholar] [CrossRef]
- Wu, C.; Wei, Y.D.; Huang, X.; Chen, B. Economic transition, spatial development and urban land use efficiency in the Yangtze River Delta, China. Habitat. Int. 2017, 63, 67–78. [Google Scholar] [CrossRef]
- Liu, J.; Hou, X.; Wang, Z.; Shen, Y. Study the effect of industrial structure optimization on urban land–use efficiency in China. Land Use Policy 2021, 105, 105390. [Google Scholar] [CrossRef]
- Wang, Z.; Fu, H.; Liu, H.; Liao, C. Urban development sustainability, industrial structure adjustment, and land use efficiency in China. Sustain. Cities. Soc. 2023, 89, 104338. [Google Scholar] [CrossRef]
- Hu, H.; Pan, L.; Jing, X.; Li, G.; Zhuo, Y.; Xu, Z.; Chen, Y.; Wang, X. The spatiotemporal non-stationary effect of industrial agglomeration on urban land use efficiency: A case study of Yangtze River Delta, China. Land 2022, 11, 755. [Google Scholar] [CrossRef]
- Liao, X.; Fang, C.; Shu, T.; Ren, Y. Spatiotemporal impacts of urban structure upon urban land–use efficiency: Evidence from 280 cities in China. Habitat. Int. 2023, 131, 102727. [Google Scholar] [CrossRef]
- Chakraborty, S.; Maity, I.; Dadashpoor, H.; Novotnẏ, J.; Banerji, S. Building in or out? Examining urban expansion patterns and land use efficiency across the global sample of 466 cities with million+ inhabitants. Habitat. Int. 2022, 120, 102503. [Google Scholar] [CrossRef]
- Guo, X.; Chen, Y.; Jia, Z.; Li, Y.; Zhang, L.; Qiao, Z.; Hao, Y. Spatial and temporal inequity of urban land use efficiency in China: A perspective of dynamic expansion. Environ. Impact. Asses. 2024, 104, 107357. [Google Scholar] [CrossRef]
- Koroso, N.H. Urban land policy and urban land use efficiency: An analysis based on remote sensing and institutional credibility thesis. Land Use Policy 2023, 132, 106827. [Google Scholar] [CrossRef]
- Chen, Y.; Chen, Z.; Xu, G.; Tian, Z. Built-up land efficiency in urban China: Insights from the General Land Use Plan (2006–2020). Habitat. Int. 2016, 51, 31–38. [Google Scholar] [CrossRef]
- Xue, D.; Yue, L.; Ahmad, F.; Draz, M.U.; Chandio, A.A.; Ahmad, M.; Amin, W. Empirical investigation of urban land use efficiency and influencing factors of the Yellow River basin Chinese cities. Land Use Policy 2022, 117, 106117. [Google Scholar] [CrossRef]
- Chenery, H.B.; Robinson, S.; Syrquin, M. Industrialization and Growth: A Comparative Study; Oxford University Press: London, UK, 1986. [Google Scholar]
- Qi, Y.; Yang, Y.; Jin, F. China’s economic development stage and its spatio—Temporal evolution: A prefectural–level analysis. Acta Geogr. Sin. 2013, 64, 517–531. [Google Scholar] [CrossRef]
- Chen, S.; Cheng, C. Monitoring fine-scale urban shrinkage space with NPP-VIIRS imagery. Remote Sens. 2025, 17, 688. [Google Scholar] [CrossRef]
- Sarif, N.; Roy, A.K. Measuring urban shrinkage in India using night-light data from DMSP–OLS and VIIRS–NPP satellite sensors. Cities 2024, 152, 105176. [Google Scholar] [CrossRef]
- Small, C.; Pozzi, F.; Elvidge, C.D. Spatial analysis of global urban extent from DMSP-OLS night lights. Remote Sens. Environ. 2005, 96, 277–291. [Google Scholar] [CrossRef]
- Zhang, Q.; Seto, K.C. Mapping urbanization dynamics at regional and global scales using multi–temporal DMSP/OLS nighttime light data. Remote Sens. Environ. 2011, 115, 2320–2329. [Google Scholar] [CrossRef]
- Chen, X.; Nordhaus, W.D. Using luminosity data as a proxy for economic statistics. Proc. Natl. Acad. Sci. USA 2011, 108, 8589–8594. [Google Scholar] [CrossRef]
- Tan, M.; Li, X.; Li, S.; Xin, L.; Wang, X.; Li, Q.; Li, W.; Li, Y.; Xiang, W. Modeling population density based on nighttime light images and land use data in China. Appl. Geogr. 2018, 90, 239–247. [Google Scholar] [CrossRef]
- Guo, X.; Wang, Y. Estimation of regional electricity consumption using National Polar-Orbiting Partnership’s visible infrared imaging radiometer Suite night-time light data with gradient boosting regression trees. Remote Sens. 2024, 16, 3841. [Google Scholar] [CrossRef]
- Zhao, X.; Yu, B.; Liu, Y.; Yao, S.; Lian, T.; Chen, L.; Yang, C.; Chen, Z.; Wu, J. NPP-VIIRS DNB daily data in natural disaster assessment: Evidence from selected case studies. Remote Sens. 2018, 10, 1526. [Google Scholar] [CrossRef]
- Eberenz, S.; Stocker, D.; Röösli, T.; Bresch, D.N. Asset exposure data for global physical risk assessment. Earth Syst. Sci. Data. 2020, 12, 817–833. [Google Scholar] [CrossRef]
- Zhao, N.; Liu, Y.; Cao, G.; Samson, E.L.; Zhang, J. Forecasting China’s GDP at the pixel level using nighttime lights time series and population images. Gisci. Remote Sens. 2017, 54, 407–425. [Google Scholar] [CrossRef]
- Li, X.; Deng, Y.; Liu, B.; Yang, J.; Li, M.; Jing, W.; Chen, Z. GDP spatial differentiation in the perspective of urban functional zones. Cities 2024, 151, 105126. [Google Scholar] [CrossRef]
- Wang, T.; Sun, F. Global gridded GDP data set consistent with the shared socioeconomic pathways. Sci. Data. 2022, 9, 221. [Google Scholar] [CrossRef]
- Fan, J.; Wang, Y.; Liang, B. The evolution process and regulation of China’s regional development pattern. Acta Geogr. Sin. 2019, 74, 2437–2454. [Google Scholar]
- Lu, Z.; Zhang, Z. Research on regional variability in the evolution of territorial space pattern and its driving factors in Beijing-Tianjin-Hebei Region. China Land Sci. 2022, 36, 42–52. [Google Scholar]
- Gui, B.; Bhardwaj, A.; Sam, L. Revealing the evolution of spatiotemporal patterns of urban expansion using mathematical modelling and emerging hotspot analysis. J. Environ. Manag. 2024, 364, 121477. [Google Scholar] [CrossRef] [PubMed]
- Deng, X.; Gao, F.; Liao, S.; Liu, Y.; Chen, W. Spatiotemporal evolution patterns of urban heat island and its relationship with urbanization in Guangdong–Hong Kong–Macao greater bay area of China from 2000 to 2020. Ecol. Indic. 2023, 146, 109817. [Google Scholar] [CrossRef]
- Kang, Y.; Cho, N.; Son, S. Spatiotemporal characteristics of elderly population’s traffic accidents in Seoul using space–time cube and space–time kernel density estimation. PLoS ONE. 2018, 13, e196845. [Google Scholar] [CrossRef]
- Mo, C.; Tan, D.; Mai, T.; Bei, C.; Qin, J.; Pang, W.; Zhang, Z. An analysis of spatiotemporal pattern for COIVD-19 in China based on space–time cube. J. Med. Virol. 2020, 92, 1587–1595. [Google Scholar] [CrossRef]
- Abellan-Garcia, J.; Fernández, J.; Khan, M.I.; Abbas, Y.M.; Carrillo, J. Uniaxial tensile ductility behavior of ultrahigh-performance concrete based on the mixture design–Partial dependence approach. Cement. Concerte. Comp. 2023, 140, 105060. [Google Scholar] [CrossRef]
- Shiroyama, R.; Yoshimura, C. Assessing bluegill (Lepomis macrochirus) habitat suitability using partial dependence function combined with classification approaches. Ecol. Inform. 2016, 35, 9–18. [Google Scholar] [CrossRef]
- Guo, Z.; Li, Z.; Lu, C.; She, J.; Zhou, Y. Spatio-temporal evolution of resilience: The case of the Chengdu–Chongqing urban agglomeration in China. Cities 2024, 153, 105226. [Google Scholar] [CrossRef]
- Han, S.; Wang, H.; Ao, Y.; Wang, B.; Chen, B.; Martek, I. Resilient city construction efficiency and its influencing factors in China’s Chengdu—Chongqing Economic Circle: Considering both construction input and resilience level of the city. Sustain. Cities Soc. 2024, 114, 105726. [Google Scholar] [CrossRef]
- Wang, K.; Li, G.; Liu, H. Does natural resources supervision improve construction land use efficiency: Evidence from China. J. Environ. Manag. 2021, 297, 113317. [Google Scholar] [CrossRef] [PubMed]
- Zhang, W.; Wang, B.; Wang, J.; Wu, Q.; Wei, Y.D. How does industrial agglomeration affect urban land use efficiency? A spatial analysis of Chinese cities. Land Use Policy 2022, 119, 106178. [Google Scholar] [CrossRef]
- Bai, X.; Shi, P.; Liu, Y. Realizing China’s urban dream. Nature 2014, 509, 158–160. [Google Scholar] [CrossRef] [PubMed]
- Song, Y.; He, C.; Yeung, G.; Xu, Y. Industrial structure upgrading and urban land use efficiency: Evidence from 115 resource–based cities in China, 2000–2019. Geogr. Res. 2023, 42, 86–105. [Google Scholar]
- Wang, Y.; Sun, B. The types of city size distributions and their evolution. Cities 2024, 150, 105045. [Google Scholar] [CrossRef]
- Li, H.; Wei, Y.D.; Liao, F.H.; Huang, Z. Administrative hierarchy and urban land expansion in transitional China. Appl. Geogr. 2015, 56, 177–186. [Google Scholar] [CrossRef]
- Huang, R.; Yao, X. City size and energy efficiency of Chinese manufacturing firms: An empirical study from a city characteristic perspective. Energ. Econ. 2024, 129, 107207. [Google Scholar] [CrossRef]
- Yan, S.; Peng, J.; Wu, Q. Exploring the non–linear effects of city size on urban industrial land use efficiency: A spatial econometric analysis of cities in eastern China. Land Use Policy 2020, 99, 104944. [Google Scholar] [CrossRef]
- Cui, X.; Wang, X. Urban land use change and its effect on social metabolism: An empirical study in Shanghai. Habitat. Int. 2015, 49, 251–259. [Google Scholar] [CrossRef]
- Xu, Z. Towards carbon neutrality in China: A systematic identification of China’s sustainable land-use pathways across multiple scales. Sustain. Prod. Consump. 2024, 44, 167–178. [Google Scholar] [CrossRef]
- He, T.; Lu, Y.; Yue, W.; Xiao, W.; Shen, X.; Shan, Z. A new approach to peri-urban area land use efficiency identification using multi-source datasets: A case study in 36 Chinese metropolitan areas. Appl. Geogr. 2023, 150, 102826. [Google Scholar] [CrossRef]
- Ruan, L.; He, T.; Xiao, W.; Chen, W.; Lu, D.; Liu, S. Measuring the coupling of built–up land intensity and use efficiency: An example of the Yangtze River Delta urban agglomeration. Sustain. Cities. Soc. 2022, 87, 104224. [Google Scholar] [CrossRef]
- Zhang, J.; Xu, R.; Chen, J. Does industrial land marketization reform faciliate urban land use efficiency? Int. Rev. Econ. Financ. 2024, 96, 103609. [Google Scholar] [CrossRef]
- He, F.; Yang, J.; Zhang, Y.; Yu, W.; Xiao, X.; Xia, J. Does partition matter? A new approach to modeling land use change. Comput. Environ. Urban Syst. 2023, 106, 102041. [Google Scholar] [CrossRef]
- Huang, Q.; Song, W. A land-use spatial optimum allocation model coupling a multi-agent system with the shuffled frog leaping algorithm. Comput. Environ. Urban Syst. 2019, 77, 101360. [Google Scholar] [CrossRef]
- Liu, Y.; Tang, W.; He, J.; Liu, Y.; Ai, T.; Liu, D. A land-use spatial optimization model based on genetic optimization and game theory. Comput. Environ. Urban Syst. 2015, 49, 1–14. [Google Scholar] [CrossRef]










| Data Type | Data Description | Data Source |
|---|---|---|
| CNLUCC | 30 m/1995–2020/Raster | https://www.resdc.cn/ (25 February 2025) |
| CLCD | 30 m/1995–2020/Raster | https://doi.org/10.5281/zenodo.5816591 (25 February 2025) |
| Sentinel | 10 m/Raster | https://dataspace.copernicus.eu/ (25 February 2025) |
| DMSP/OLS | 1000 m/1995–2013/Raster | https://www.ngdc.noaa.gov/ (25 February 2025) |
| NPP/VIIRS | 500 m/2013–2020/Raster | https://www.ngdc.noaa.gov/ (25 February 2025) |
| Population | 1000 m/1995–2020/Raster | https://www.resdc.cn/ (25 February 2025) |
| China City Statistical Yearbook | 1995–2020/Text | http://www.stats.gov.cn/ (25 February 2025) |
Disclaimer/Publisher’s Note: The statements, opinions and data contained in all publications are solely those of the individual author(s) and contributor(s) and not of MDPI and/or the editor(s). MDPI and/or the editor(s) disclaim responsibility for any injury to people or property resulting from any ideas, methods, instructions or products referred to in the content. |
© 2025 by the authors. Licensee MDPI, Basel, Switzerland. This article is an open access article distributed under the terms and conditions of the Creative Commons Attribution (CC BY) license (https://creativecommons.org/licenses/by/4.0/).
Share and Cite
Luo, X.; Luan, W.; Lin, Q.; Liu, Z.; Shi, Z.; Cao, G. Nonlinear Relationships Between Economic Development Stages and Land Use Efficiency in China’s Cities. Land 2025, 14, 1699. https://doi.org/10.3390/land14091699
Luo X, Luan W, Lin Q, Liu Z, Shi Z, Cao G. Nonlinear Relationships Between Economic Development Stages and Land Use Efficiency in China’s Cities. Land. 2025; 14(9):1699. https://doi.org/10.3390/land14091699
Chicago/Turabian StyleLuo, Xue, Weixin Luan, Qiaoqiao Lin, Zun Liu, Zhipeng Shi, and Gai Cao. 2025. "Nonlinear Relationships Between Economic Development Stages and Land Use Efficiency in China’s Cities" Land 14, no. 9: 1699. https://doi.org/10.3390/land14091699
APA StyleLuo, X., Luan, W., Lin, Q., Liu, Z., Shi, Z., & Cao, G. (2025). Nonlinear Relationships Between Economic Development Stages and Land Use Efficiency in China’s Cities. Land, 14(9), 1699. https://doi.org/10.3390/land14091699

