Landslide Susceptibility Evaluation Based on the Combination of Environmental Similarity and BP Neural Networks
Abstract
1. Introduction
2. Theoretical Methods
2.1. Environmental Similarity Method Process
2.2. Environmental Similarity Calculation Method
2.3. Sample Dataset Construction Method
2.4. BP Neural Network Model
2.5. Model Accuracy Verification Method
3. Overview of the Study Area and Data Preprocessing
3.1. Study Area
3.2. Data Preprocessing
3.2.1. Historical Landslide Data
3.2.2. Environmental Factor Data
4. Results Analysis
4.1. Sample Expansion Based on Environmental Similarity
4.2. Comparative Analysis of Landslide Susceptibility Models
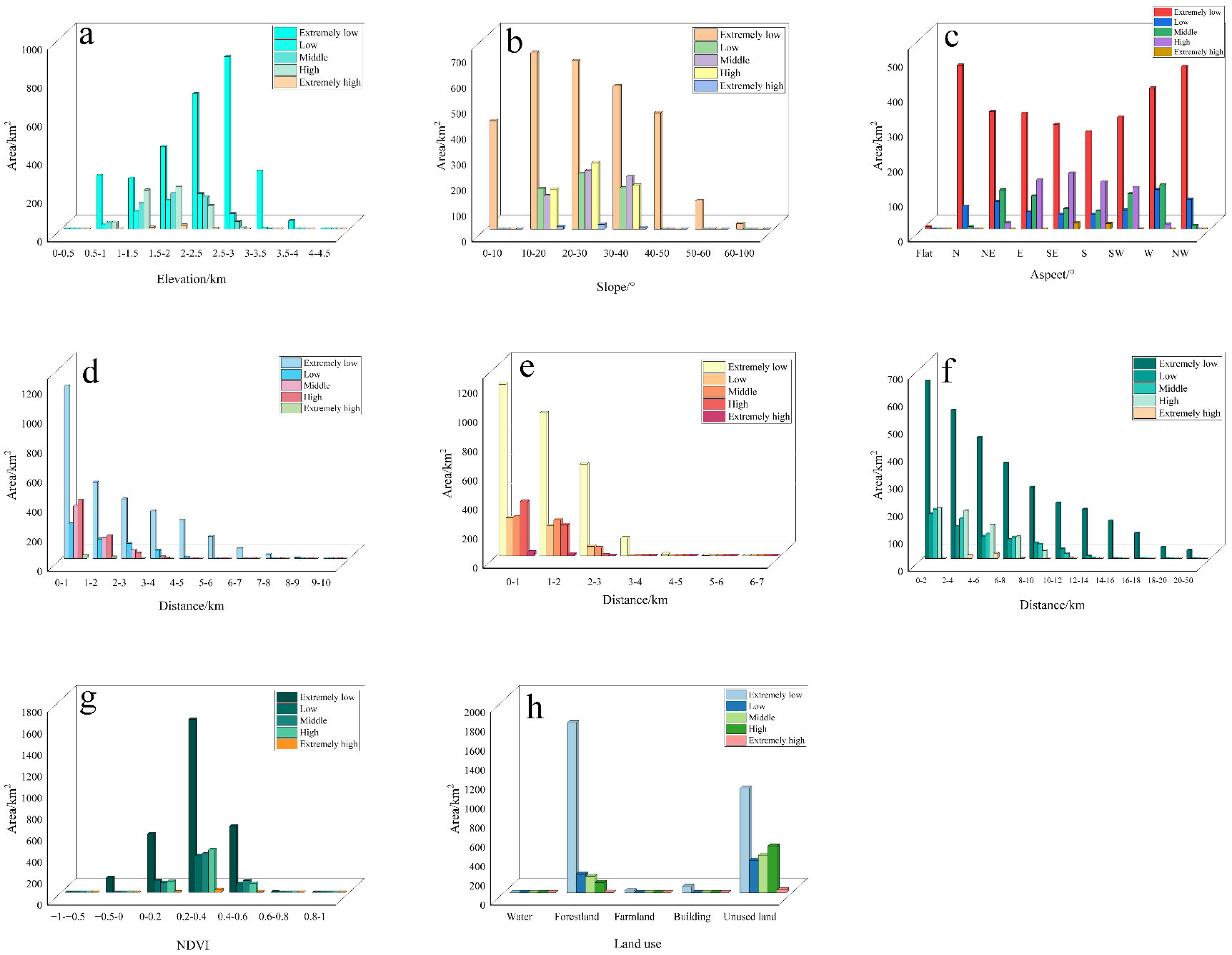
4.3. Landslide Susceptibility Evaluation Based on the ESM-BP Method
5. Discussion and Conclusions
5.1. Discussion
- (1)
- Environmental Similarity Methodology: By integrating multiple environmental factors (e.g., elevation, slope, NDVI), this method quantifies the similarity between evaluation points and historical landslide samples, offering a novel framework for susceptibility evaluation. While it reduces the reliance on large sample datasets and shows promising applicability in this study, the current experimental results lack an in-depth analysis of the model’s predictive mechanisms and systematic comparisons with alternative sample augmentation or transfer learning approaches. A core assumption of the method is the consistency between historical landslide samples and the current environmental conditions. However, extreme climate events (e.g., extreme rainfall, prolonged droughts) can trigger non-stationary geological responses, significantly diminishing the predictive power of conventional environmental factors. Additionally, region-specific environmental factors must be carefully selected based on the local characteristics. Future work should rigorously validate the method’s applicability under diverse extreme climate scenarios and complex geological settings, while exploring optimized factor selection strategies through multidimensional experiments and comparative analyses to comprehensively elucidate its strengths and limitations.
- (2)
- Threshold Determination for Susceptibility Classification: The reasonable classification of landslide susceptibility levels and the establishment of an effective sample dataset are crucial in improving the model’s performance in landslide susceptibility assessment. Existing threshold classification methods often rely on fixed thresholds or manually defined standards, which lack universality and fail to comprehensively reflect the geological environment and landslide mechanisms across different regions. In this study, a normal distribution method was employed for threshold classification, providing a scientifically grounded representation of the spatial distribution patterns of landslides within the study area. This approach outperforms traditional empirical methods. However, due to variations in the geological characteristics and landslide mechanisms across different regions, the current threshold classification method still has certain limitations. Future research could further optimize threshold classification by integrating multidimensional environmental factors and regional differences. Additionally, exploring adaptive algorithms for dynamic threshold adjustment mechanisms could enhance the method’s adaptability to different geographical conditions and temporal variations [40].
- (3)
- Although this study demonstrates the effectiveness of the ESM-BP method in landslide susceptibility assessment, certain data-related limitations require further exploration. First, historical landslide data were validated and refined by integrating field surveys, manual visual interpretation, and existing geological survey data. However, these methods are inherently susceptible to human subjectivity and interpretation biases, potentially increasing the data uncertainty. Second, although the environmental similarity method has been employed to expand the limited sample set, the scarcity of high-quality historical data may constrain the accuracy of similarity calculations within the study area. Future research could explore the integration of multi-source datasets or the application of transfer learning to further enrich the original landslide dataset.
5.2. Conclusions
- (1)
- By introducing the theory of environmental similarity, the original 102 historical landslide points were expanded to 4500 sample data with different susceptibility levels.
- (2)
- The BP neural network model has the highest accuracy, with an accuracy value of 0.93, a Kappa coefficient value of 0.91, and an RMSE value of 0.25. Compared with SVM, the accuracy value was improved by 0.02, and the RMSE value decreased by 0.04; compared with RF, the accuracy value increased by 0.14, the Kappa coefficient value increased by 0.18, and the RMSE value decreased by 0.21.
Author Contributions
Funding
Data Availability Statement
Conflicts of Interest
References
- Huang, Y.; Zhao, L. Review on landslide susceptibility mapping using support vector machines. Catena 2018, 165, 520–529. [Google Scholar] [CrossRef]
- Ado, M.; Amitab, K.; Maji, A.K.; Jasińska, E.; Gono, R.; Leonowicz, Z.; Jasiński, M. Landslide susceptibility mapping using machine learning: A literature survey. Remote Sens. 2022, 14, 3029. [Google Scholar] [CrossRef]
- Pradhan, B.; Dikshit, A.; Lee, S.; Kim, H. An explainable ai (xai) model for landslide susceptibility modeling. Appl. Soft Comput. 2023, 142, 110324. [Google Scholar] [CrossRef]
- Di Napoli, M.; Carotenuto, F.; Cevasco, A.; Confuorto, P.; Di Martire, D.; Firpo, M.; Pepe, G.; Raso, E.; Calcaterra, D. Machine learning ensemble modelling as a tool to improve landslide susceptibility mapping reliability. Landslides 2020, 17, 1897–1914. [Google Scholar] [CrossRef]
- Dai, F.; Lee, C.F.; Ngai, Y.Y. Landslide risk assessment and management: An overview. Eng. Geol. 2002, 64, 65–87. [Google Scholar] [CrossRef]
- Froude, M.J.; Petley, D.N. Global fatal landslide occurrence from 2004 to 2016. Nat. Hazards Earth Syst. Sci. 2018, 18, 2161–2181. [Google Scholar] [CrossRef]
- Petley, D. Global patterns of loss of life from landslides. Geology 2012, 40, 927–930. [Google Scholar] [CrossRef]
- Liu, X.; Miao, C. Large-scale assessment of landslide hazard, vulnerability and risk in china. Geomat. Nat. Hazards Risk 2018, 9, 1037–1052. [Google Scholar] [CrossRef]
- Wang, C.; Lin, Q.; Wang, L.; Jiang, T.; Su, B.; Wang, Y.; Mondal, S.K.; Huang, J.; Wang, Y. The influences of the spatial extent selection for non-landslide samples on statistical-based landslide susceptibility modelling: A case study of anhui province in china. Nat. Hazards 2022, 112, 1967–1988. [Google Scholar] [CrossRef]
- Lin, Q.; Wang, Y. Spatial and temporal analysis of a fatal landslide inventory in china from 1950 to 2016. Landslides 2018, 15, 2357–2372. [Google Scholar] [CrossRef]
- Ullah, I.; Aslam, B.; Shah, S.H.I.A.; Tariq, A.; Qin, S.; Majeed, M.; Havenith, H.-B. An integrated approach of machine learning, remote sensing, and gis data for the landslide susceptibility mapping. Land 2022, 11, 1265. [Google Scholar] [CrossRef]
- Liao, M.; Wen, H.; Yang, L. Identifying the essential conditioning factors of landslide susceptibility models under different grid resolutions using hybrid machine learning: A case of wushan and wuxi counties, china. Catena 2022, 217, 106428. [Google Scholar] [CrossRef]
- Zeng, T.; Jin, B.; Glade, T.; Xie, Y.; Li, Y.; Zhu, Y.; Yin, K. Assessing the imperative of conditioning factor grading in machine learning-based landslide susceptibility modeling: A critical inquiry. Catena 2024, 236, 107732. [Google Scholar] [CrossRef]
- Keefer, D.K.; Larsen, M.C. Assessing landslide hazards. Science 2007, 316, 1136–1138. [Google Scholar] [CrossRef]
- Conoscenti, C.; Rotigliano, E.; Cama, M.; Caraballo-Arias, N.A.; Lombardo, L.; Agnesi, V. Exploring the effect of absence selection on landslide susceptibility models: A case study in sicily, italy. Geomorphology 2016, 261, 222–235. [Google Scholar] [CrossRef]
- Hong, H.; Miao, Y.; Liu, J.; Zhu, A.-X. Exploring the effects of the design and quantity of absence data on the performance of random forest-based landslide susceptibility mapping. Catena 2019, 176, 45–64. [Google Scholar] [CrossRef]
- Lin, Q.; Lima, P.; Steger, S.; Glade, T.; Jiang, T.; Zhang, J.; Liu, T.; Wang, Y. National-scale data-driven rainfall induced landslide susceptibility mapping for china by accounting for incomplete landslide data. Geosci. Front. 2021, 12, 101248. [Google Scholar] [CrossRef]
- Wang, L.-J.; Guo, M.; Sawada, K.; Lin, J.; Zhang, J. A comparative study of landslide susceptibility maps using logistic regression, frequency ratio, decision tree, weights of evidence and artificial neural network. Geosci. J. 2016, 20, 117–136. [Google Scholar] [CrossRef]
- Nefeslioglu, H.A.; Sezer, E.A.; Gokceoglu, C.; Ayas, Z. A modified analytical hierarchy process (m-ahp) approach for decision support systems in natural hazard assessments. Comput. Geosci. 2013, 59, 1–8. [Google Scholar] [CrossRef]
- Reichenbach, P.; Rossi, M.; Malamud, B.D.; Mihir, M.; Guzzetti, F. A review of statistically-based landslide susceptibility models. Earth-Sci. Rev. 2018, 180, 60–91. [Google Scholar] [CrossRef]
- Kawabata, D.; Bandibas, J. Landslide susceptibility mapping using geological data, a dem from aster images and an artificial neural network (ann). Geomorphology 2009, 113, 97–109. [Google Scholar] [CrossRef]
- Nanehkaran, Y.A.; Chen, B.; Cemiloglu, A.; Chen, J.; Anwar, S.; Azarafza, M.; Derakhshani, R. Riverside landslide susceptibility overview: Leveraging artificial neural networks and machine learning in accordance with the united nations (un) sustainable development goals. Water 2023, 15, 2707. [Google Scholar] [CrossRef]
- Van Den Eeckhaut, M.; Hervás, J.; Jaedicke, C.; Malet, J.-P.; Montanarella, L.; Nadim, F. Statistical modelling of europe-wide landslide susceptibility using limited landslide inventory data. Landslides 2012, 9, 357–369. [Google Scholar] [CrossRef]
- Du, J.; Glade, T.; Woldai, T.; Chai, B.; Zeng, B. Landslide susceptibility assessment based on an incomplete landslide inventory in the jilong valley, tibet, chinese himalayas. Eng. Geol. 2020, 270, 105572. [Google Scholar] [CrossRef]
- Fu, Z.; Li, C.; Yao, W. Landslide susceptibility assessment through tradaboost transfer learning models using two landslide inventories. Catena 2023, 222, 106799. [Google Scholar]
- Tian, Y.; Deng, Y.-L.; Zhang, M.-Z.; Pang, X.; Ma, R.-P.; Zhang, J.-X. Short-term displacement prediction for newly established monitoring slopes based on transfer learning. China Geol. 2024, 7, 351–364. [Google Scholar] [CrossRef]
- Ran, P.; Li, S.; Zhuo, G.; Wang, X.; Meng, M.; Liu, L.; Chen, Y.; Huang, H.; Ye, Y.; Lei, X. Early identification and influencing factors analysis of active landslides in mountainous areas of southwest china using SBAS−InSAR. Sustainability 2023, 15, 4366. [Google Scholar] [CrossRef]
- Zhu, A.X.; Lu, G.; Liu, J.; Qin, C.Z.; Zhou, C. Spatial prediction based on third law of geography. Ann. GIS 2018, 24, 225–240. [Google Scholar] [CrossRef]
- Zhu, A.-X.; Miao, Y.; Liu, J.; Bai, S.; Zeng, C.; Ma, T.; Hong, H. A similarity-based approach to sampling absence data for landslide susceptibility mapping using data-driven methods. Catena 2019, 183, 104188. [Google Scholar] [CrossRef]
- Chen, W.; Peng, J.; Hong, H.; Shahabi, H.; Pradhan, B.; Liu, J.; Zhu, A.-X.; Pei, X.; Duan, Z. Landslide susceptibility modelling using gis-based machine learning techniques for chongren county, jiangxi province, china. Sci. Total Environ. 2018, 626, 1121–1135. [Google Scholar] [CrossRef]
- Conforti, M.; Borrelli, L.; Cofone, G.; Gullà, G. Exploring performance and robustness of shallow landslide susceptibility modeling at regional scale using different training and testing sets. Environ. Earth Sci. 2023, 82, 161. [Google Scholar] [CrossRef]
- Yi, Y.; Zhang, Z.; Zhang, W.; Jia, H.; Zhang, J. Landslide susceptibility mapping using multiscale sampling strategy and convolutional neural network: A case study in jiuzhaigou region. Catena 2020, 195, 104851. [Google Scholar] [CrossRef]
- Habumugisha, J.M.; Chen, N.; Rahman, M.; Islam, M.M.; Ahmad, H.; Elbeltagi, A.; Sharma, G.; Liza, S.N.; Dewan, A. Landslide susceptibility mapping with deep learning algorithms. Sustainability 2022, 14, 1734. [Google Scholar] [CrossRef]
- Yang, Z.; Zhao, Q.; Gan, J.; Zhang, J.; Chen, M.; Zhu, Y. Damage evolution characteristics of siliceous slate with varying initial water content during freeze-thaw cycles. Sci. Total Environ. 2024, 950, 175200. [Google Scholar] [CrossRef]
- Li, L.; Xu, C.; Yao, X.; Shao, B.; Ouyang, J.; Zhang, Z.; Huang, Y. Large-scale landslides around the reservoir area of baihetan hydropower station in southwest china: Analysis of the spatial distribution. Nat. Hazards Res. 2022, 2, 218–229. [Google Scholar] [CrossRef]
- Li, Z.-H.; Shi, A.-C.; Xiao, H.-X.; Niu, Z.-H.; Jiang, N.; Li, H.-B.; Hu, Y.-X. Robust landslide recognition using uav datasets: A case study in baihetan reservoir. Remote Sens. 2024, 16, 2558. [Google Scholar] [CrossRef]
- Harp, E.L.; Keefer, D.K.; Sato, H.P.; Yagi, H. Landslide inventories: The essential part of seismic landslide hazard analyses. Eng. Geol. 2011, 122, 9–21. [Google Scholar] [CrossRef]
- Zhu, Y.; Qiu, H.; Liu, Z.; Ye, B.; Tang, B.; Li, Y.; Kamp, U. Rainfall and water level fluctuations dominated the landslide deformation at baihetan reservoir, china. J. Hydrol. 2024, 642, 131871. [Google Scholar] [CrossRef]
- Qiu, H.; Zhu, Y.; Zhou, W.; Sun, H.; He, J.; Liu, Z. Influence of dem resolution on landslide simulation performance based on the scoops3d model. Geomat. Nat. Hazards Risk 2022, 13, 1663–1681. [Google Scholar] [CrossRef]
- Wang, Q.; Li, W.; Chen, W.; Bai, H. Gis-based assessment of landslide susceptibility using certainty factor and index of entropy models for the qianyang county of baoji city, china. J. Earth Syst. Sci. 2015, 124, 1399–1415. [Google Scholar] [CrossRef]










| Category | Factor | Weight | Data Source |
|---|---|---|---|
| Topography | Elevation | 0.19 | https://dataspace.copernicus.eu/ |
| Slope | 0.14 | ||
| Aspect | 0.12 | ||
| Curvature | 0.03 | ||
| Vegetation cover | NDVI | 0.08 | |
| Human activity | Distance to roads | 0.11 | https://www.openstreetmap.org/ |
| Land use | 0.09 | ||
| Hydrology | Distance to rivers | 0.10 | |
| Geology | Distance to faults | 0.12 | https://data.earthquake.cn/ |
| Lithology | 0.01 | ||
| Meteorology | Rainfall | 0.01 | https://data.tpdc.ac.cn/ |
| Model Comparison | p-Value |
|---|---|
| RF vs. SVM | 0.00067 |
| RF vs. BPNN | 0.0109 |
| SVM vs. BPNN | 0.0036 |
| Total Area: 4649.68 km2 | ||
|---|---|---|
| Grade | Area/km2 | Percentage |
| Extremely low | 2931.93 | 63.06% |
| Low | 533.28 | 11.47% |
| Middle | 562.84 | 12.11% |
| High | 587.52 | 12.64% |
| Extremely high | 34.11 | 0.73% |
Disclaimer/Publisher’s Note: The statements, opinions and data contained in all publications are solely those of the individual author(s) and contributor(s) and not of MDPI and/or the editor(s). MDPI and/or the editor(s) disclaim responsibility for any injury to people or property resulting from any ideas, methods, instructions or products referred to in the content. |
© 2025 by the authors. Licensee MDPI, Basel, Switzerland. This article is an open access article distributed under the terms and conditions of the Creative Commons Attribution (CC BY) license (https://creativecommons.org/licenses/by/4.0/).
Share and Cite
Wang, R.; Xi, W.; Huang, G.; Yang, Z.; Yang, K.; Zhuang, Y.; Cao, R.; Zhou, D.; Ma, Y. Landslide Susceptibility Evaluation Based on the Combination of Environmental Similarity and BP Neural Networks. Land 2025, 14, 839. https://doi.org/10.3390/land14040839
Wang R, Xi W, Huang G, Yang Z, Yang K, Zhuang Y, Cao R, Zhou D, Ma Y. Landslide Susceptibility Evaluation Based on the Combination of Environmental Similarity and BP Neural Networks. Land. 2025; 14(4):839. https://doi.org/10.3390/land14040839
Chicago/Turabian StyleWang, Ruiting, Wenfei Xi, Guangcai Huang, Zhiquan Yang, Kunwu Yang, Yongzai Zhuang, Ruihan Cao, Dingjie Zhou, and Yijie Ma. 2025. "Landslide Susceptibility Evaluation Based on the Combination of Environmental Similarity and BP Neural Networks" Land 14, no. 4: 839. https://doi.org/10.3390/land14040839
APA StyleWang, R., Xi, W., Huang, G., Yang, Z., Yang, K., Zhuang, Y., Cao, R., Zhou, D., & Ma, Y. (2025). Landslide Susceptibility Evaluation Based on the Combination of Environmental Similarity and BP Neural Networks. Land, 14(4), 839. https://doi.org/10.3390/land14040839

