The Interplay Between Carbon Storage, Productivity, and Native Tree Density of Agroforestry Systems
Abstract
1. Introduction
- The productivity of the rustic system is negatively correlated with the carbon stored as biomass because the majority of carbon will be stored in the unproductive biomass of the native tree canopy;
- The productivity of the polyculture system is positively correlated with the carbon stored as biomass because carbon will only be stored in the productive biomass of the planted crops.
2. Materials and Methods
2.1. Study Site and Data Collection
2.2. Carbon Storage and Productivity Calculation
- Required inputs. Tree heights were not measured in this study because of prohibitive time constraints and difficulties in measuring tree heights in dense forest stands, so only equations using DBH, and sometimes wood density, were used;
- Diameter range applicability. Allometric equations using DBH should, in general, not be used outside the range of diameters that were used to derive them, so equations with a diameter range including all diameters measured were preferred. For some species, however, equations that did not fully cover the range of diameters measured in this study had to be used;
- Geographic suitability. Preference was given to equations derived in Indonesia or Southeast Asia;
- Habitat suitability. Preference was given to equations derived in agroforestry contexts;
- Accuracy. Where all else was equal, preference was given to equations with the highest reported accuracy.
2.3. Data Analysis
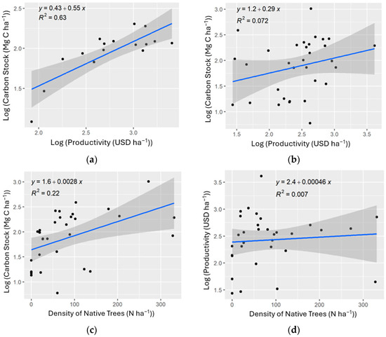
3. Results
4. Discussion
4.1. Links Between Carbon Storage, Native Tree Density, and Productivity
4.2. Comparison with Other Sites in Indonesia
4.3. Limitations
4.4. Recommendations for Management
5. Conclusions
Author Contributions
Funding
Data Availability Statement
Acknowledgments
Conflicts of Interest
Appendix A
| Local Name(s) | English Name | Latin Name | Crop or Native |
|---|---|---|---|
| Alpukat | Avocado | Persea americana | C |
| Andong | Ti plant | Cordyline fruticosa | C |
| Batu | Bornean ironwood | Eusideroxylon zwageri | N |
| Bayur | Pterospermum javanicum | N | |
| Benda/Taap | Terap | Artocarpus elasticus | N |
| Besi-besi | Mallotus molissimus | N | |
| Blandingan/Lamtoro | Jumbay | Leucaena leucocephala | C |
| Bling-bing | Averrhoa racemosa | N | |
| Bungkak-bungkak | Unidentified | Unidentified | N |
| Bunut kuning | White fig | Ficus virens | N |
| Camboja | Plumeria sp. | C | |
| Cemera pandak | Coastal she-oak | Casuarina equisetifolia | N |
| Cempaga | Dysoxylum sp. | N | |
| Cengkeh | Clove | Syzygium aromaticum | C |
| Dadap | Tiger’s claw | Erythrina variegata | C |
| Dao | Argus pheasant-tree | Dracontomelon dao | N |
| Duku | Langsat | Lansium domesticum | C |
| Durian | Durian | Durio sp. | C |
| Gamal | Mother of cocoa | Gliricidia sepium | C |
| Genitri | Utrasum bean tree | Elaeocarpus angustifolius | N |
| Gmelina | Gmelina sp. | N | |
| Iseh | Unidentified | Unidentified | N |
| Jabon | Burflower-tree | Neolamarckia cadamba | N |
| Jambu | Guava | Psidium guajava | C |
| Jati | Teak | Tectona grandis | C |
| Jelema | Forest nutmeg | Knema cinerea | N |
| Jeruk | Orange | Citrus × sinensis | C |
| Jimas | Duabanga moluccana | N | |
| Juet | Malabar plum | Syzygium cumini | C |
| Kaik-kaik/Ket-ket | Unidentified | Unidentified | N |
| Kakao | Cacao | Theobroma cacao | C |
| Katulampa | Elaeocarpus glaber | N | |
| Kayu batu/Suluh | Aegiphila martinicensis | N | |
| Kayu belang | Pterospermum sp. | N | |
| Kayu jelema | Knema laurina | N | |
| Kelapa | Coconut | Cocos nucifera | C |
| Kelor | Drumstick tree | Moringa oleifera | C |
| Kenanga | Ylang-ylang | Cananga odorata | N |
| Kepuh | Bastard poon tree | Sterculia foetida | N |
| Kepundung | Baccaurea racemosa | N | |
| Kopi | Coffee | Coffea canephora | C |
| Kwanitan | Dysoxylum sp. | N | |
| Lateng | Stinging tree | Dendrocnide sinuata—many different species are referred to as ‘lateng’ or ‘jelateng’, but only D. sinuata grows to tree size | N |
| Loa/Mabi | Cluster fig | Ficus racemosa | N |
| Mahoni | Mahogany | Swietonia mahagoni | N |
| Mancitan | Unidentified | Unidentified | N |
| Mangga hutan | Forest mango | Mangifera laurina | N |
| Manggis | Mangosteen | Garcinia mangostana | C |
| Nangka | Jackfruit | Artocarpus heterophyllus | C |
| Nyam | Styrax tonkinensis | N | |
| Nyatuh | Palaquium rostratum | N | |
| Pala | Nutmeg | Myristica fragrans | C |
| Palabuah | Dysoxylum sp. | N | |
| Pamor-pamor | Unidentified | Unidentified | N |
| Peji | Pinanga coronata | C | |
| Pepaya | Papaya | Carica papaya | C |
| Pete | Bitter bean | Parkia speciosa | C |
| Pinang | Betel nut tree | Areca catechu | C |
| Pisang | Banana | Musa sp. | C |
| Pradah | Unidentified | Unidentified | N |
| Puyung-puyung | Unidentified | Unidentified | N |
| Rambutan | Rambutan | Nephelium lappaceum | C |
| Sarai/Uduh | Fishtail palm | Caryota mitis | C |
| Sengon | Moluccan albizia | Paraserianthes falcataria (syn. Falcataria falcata) | N |
| Sirsak | Soursop | Annona muricata | C |
| Suren | Indian mahogany | Toona ciliata | N |
| Tangi | Crape myrtle | Lagerstroemia indica | N |
| Temen | Graptophyllum pictum | N | |
| Uyah/Uyah-uyah | Oakleaf fig | Ficus montana | N |
| Wani | White mango | Mangifera caesia | N |
| Waru | Sea hibiscus | Hibiscus tiliaceus | N |
| Yeh-yeh | Oreocnide integrifolia | N |
References
- Agache, I.; Sampath, V.; Aguilera, J.; Akdis, C.; Akdis, M.; Barry, M.; Bouagnon, A.; Chinthrajah, S.; Collins, W.; Dulitzki, C.; et al. Climate change and global health: A call to more research and more action. Allergy 2022, 77, 1389–1407. [Google Scholar] [CrossRef] [PubMed]
- Liu, F.X.; Chang-Richards, A.; Wang, K.I.K.; Dirks, K.N. Effects of climate change on health and wellbeing: A systematic review. Sustain. Dev. 2023, 31, 2067–2090. [Google Scholar] [CrossRef]
- Walinski, A.; Sander, J.; Gerlinger, G.; Clemens, V.; Meyer-Lindenberg, A.; Heinz, A. The Effects of Climate Change on Mental Health. Dtsch. Arztebl. Int. 2023, 120, 117. [Google Scholar] [CrossRef]
- Bellard, C.; Bertelsmeier, C.; Leadley, P.; Thuiller, W.; Courchamp, F. Impacts of climate change on the future of biodiversity. Ecol. Lett. 2012, 15, 365–377. [Google Scholar] [CrossRef] [PubMed]
- Habib-ur-Rahman, M.; Ahmad, A.; Raza, A.; Hasnain, M.U.; Alharby, H.F.; Alzahrani, Y.M.; Bamagoos, A.A.; Hakeem, K.R.; Ahmad, S.; Nasim, W.; et al. Impact of climate change on agricultural production; Issues, challenges, and opportunities in Asia. Front. Plant Sci. 2022, 13, 925548. [Google Scholar] [CrossRef] [PubMed]
- Lesk, C.; Anderson, W.; Rigden, A.; Coast, O.; Jaegermeyr, J.; McDermid, S.; Davis, K.F.; Konar, M. Compound heat and moisture extreme impacts on global crop yields under climate change. Nat. Rev. Earth Environ. 2022, 3, 872–889. [Google Scholar] [CrossRef]
- Malhi, G.S.; Kaur, M.; Kaushik, P. Impact of Climate Change on Agriculture and Its Mitigation Strategies: A Review. Sustainability 2021, 13, 1318. [Google Scholar] [CrossRef]
- Singh, B.K.; Delgado-Baquerizo, M.; Egidi, E.; Guirado, E.; Leach, J.E.; Liu, H.W.; Trivedi, P. Climate change impacts on plant pathogens, food security and paths forward. Nat. Rev. Microbiol. 2023, 21, 640–656. [Google Scholar] [CrossRef]
- Trew, B.T.; Maclean, I.M.D. Vulnerability of global biodiversity hotspots to climate change. Glob. Ecol. Biogeogr. 2021, 30, 768–783. [Google Scholar] [CrossRef]
- Urban, M.C. Accelerating extinction risk from climate change. Science 2015, 348, 571–573. [Google Scholar] [CrossRef]
- Harvey, J.A.; Tougeron, K.; Gols, R.; Heinen, R.; Abarca, M.; Abram, P.K.; Basset, Y.; Berg, M.; Boggs, C.; Brodeur, J.; et al. Scientists’ warning on climate change and insects. Ecol. Monogr. 2023, 93, e1553. [Google Scholar] [CrossRef]
- Raven, P.H.; Wagner, D.L. Agricultural intensification and climate change are rapidly decreasing insect biodiversity. Proc. Natl. Acad. Sci. USA 2021, 118, e2002548117. [Google Scholar] [CrossRef] [PubMed]
- McQuaid, C.D. Understanding the effects of climate change on Southern Ocean ecosystems. Afr. J. Mar. Sci. 2023, 45, 155–163. [Google Scholar] [CrossRef]
- Kemp, L.; Xu, C.; Depledge, J.; Ebi, K.L.; Gibbins, G.; Kohler, T.A.; Rockström, J.; Scheffer, M.; Schellnhuber, H.J.; Steffen, W. Climate Endgame: Exploring catastrophic climate change scenarios. Proc. Natl. Acad. Sci. USA 2022, 119, e2108146119. [Google Scholar] [CrossRef] [PubMed]
- Vijayavenkataraman, S.; Iniyan, S.; Goic, R. A review of climate change, mitigation and adaptation. Renew. Sust. Energy Rev. 2012, 16, 878–897. [Google Scholar] [CrossRef]
- Bruce, J.P.; Frome, M.; Haites, E.; Janzen, H.; Lal, R.; Paustian, K. Carbon sequestration in soils. J. Soil. Water Conserv. 1999, 54, 382–389. [Google Scholar]
- Fawzy, S.; Osman, A.I.; Doran, J.; Rooney, D.W. Strategies for mitigation of climate change: A review. Environ. Chem. Lett. 2020, 18, 2069–2094. [Google Scholar] [CrossRef]
- Shukla, P.R.; Skeg, J.; Buendia, E.C.; Masson-Delmotte, V.; Pörtner, H.-O.; Roberts, D.; Zhai, P.; Slade, R.; Connors, S.; Van Diemen, S. Climate Change and Land: An IPCC Special Report on Climate Change, Desertification, Land Degradation, Sustainable Land Management, Food Security, and Greenhouse Gas Fluxes in Terrestrial Ecosystems; IPCC: Geneva, Switzerland, 2019. [Google Scholar]
- UNFCCC. Kyoto Protocol to the United Nations Framework Convention on Climate Change. 1997. Available online: https://unfccc.int/sites/default/files/resource/docs/cop3/l07a01.pdf (accessed on 20 October 2024).
- Keith, H.; Mackey, B.G.; Lindenmayer, D.B. Re-evaluation of forest biomass carbon stocks and lessons from the world’s most carbon-dense forests. Proc. Natl. Acad. Sci. USA 2009, 106, 11635–11640. [Google Scholar] [CrossRef] [PubMed]
- Curtis, P.G.; Slay, C.M.; Harris, N.L.; Tyukavina, A.; Hansen, M.C. Classifying drivers of global forest loss. Science 2018, 361, 1108–1111. [Google Scholar] [CrossRef] [PubMed]
- Albrecht, A.; Kandji, S.T. Carbon sequestration in tropical agroforestry systems. Agric. Ecosyst. Environ. 2003, 99, 15–27. [Google Scholar] [CrossRef]
- Cardinael, R.; Umulisa, V.; Toudert, A.; Olivier, A.; Bockel, L.; Bernoux, M. Revisiting IPCC Tier 1 coefficients for soil organic and biomass carbon storage in agroforestry systems. Environ. Res. Lett. 2018, 13, 124020. [Google Scholar] [CrossRef]
- Gupta, R.K.; Kumar, V.; Sharma, K.; Buttar, T.S.; Singh, G.; Mir, G. Carbon sequestration potential through agroforestry: A review. Int. J. Curr. Microbiol. Appl. Sci. 2017, 6, 211–220. [Google Scholar] [CrossRef]
- Jose, S.; Bardhan, S. Agroforestry for biomass production and carbon sequestration: An overview. Agrofor. Syst. 2012, 86, 105–111. [Google Scholar] [CrossRef]
- Ruark, G.; Schoeneberger, M.; Nair, P. Agroforestry–Helping to Achieve Sustainable Forest Management. In The Role of Planted Forests in Sustainable Forest Management: Reports and Papers of the United Nations Forum on Forests Intersessional Experts Meeting; United Nations: New York, NY, USA, 2003. [Google Scholar]
- van Noordwijk, M.; Coe, R.; Sinclair, F.L.; Luedeling, E.; Bayala, J.; Muthuri, C.W.; Cooper, P.; Kindt, R.; Duguma, L.; Lamanna, C.; et al. Climate change adaptation in and through agroforestry: Four decades of research initiated by Peter Huxley. Mitig. Adapt. Strateg. Glob. Chang. 2021, 26, 18. [Google Scholar] [CrossRef]
- Gordon, A. Temperate Agroforestry Systems, 2nd ed.; CAB International: Wallingford, UK, 2018. [Google Scholar]
- Torquebiau, E.F. A renewed perspective on agroforestry concepts and classification. Comptes Rendus L’académie Sci. Ser. III Sci. La Vie 2000, 323, 1009–1017. [Google Scholar] [CrossRef] [PubMed]
- Jose, S. Agroforestry for ecosystem services and environmental benefits: An overview. Agrofor. Syst. 2009, 76, 1–10. [Google Scholar] [CrossRef]
- Kirby, K.R.; Potvin, C. Variation in carbon storage among tree species: Implications for the management of a small-scale carbon sink project. For. Ecol. Manag. 2007, 246, 208–221. [Google Scholar] [CrossRef]
- Poorter, L.; van der Sande, M.T.; Thompson, J.; Arets, E.J.; Alarcón, A.; Álvarez-Sánchez, J.; Ascarrunz, N.; Balvanera, P.; Barajas-Guzmán, G.; Boit, A.; et al. Diversity enhances carbon storage in tropical forests. Glob. Ecol. Biogeogr. 2015, 24, 1314–1328. [Google Scholar] [CrossRef]
- Cristóbal-Acevedo, D.; Tinoco-Rueda, J.A.; Prado-Hernandez, J.V.; Hernández-Acosta, E. Soil carbon and nitrogen in tropical montane cloud forest, agroforestry and coffee monoculture systems. Rev. Chapingo Ser. Cienc. For. Ambiente 2019, 25, 169–184. [Google Scholar]
- De Beenhouwer, M.; Geeraert, L.; Mertens, J.; Van Geel, M.; Aerts, R.; Vanderhaegen, K.; Honnay, O. Biodiversity and carbon storage co-benefits of coffee agroforestry across a gradient of increasing management intensity in the SW Ethiopian highlands. Agric. Ecosyst. Environ. 2016, 222, 193–199. [Google Scholar] [CrossRef]
- Tadesse, G.; Zavaleta, E.; Shennan, C. Effects of land-use changes on woody species distribution and above-ground carbon storage of forest-coffee systems. Agric. Ecosyst. Environ. 2014, 197, 21–30. [Google Scholar] [CrossRef]
- Toru, T.; Kibret, K. Carbon stock under major land use/land cover types of Hades sub-watershed, eastern Ethiopia. Carbon Balance Manag. 2019, 14, 7. [Google Scholar] [CrossRef] [PubMed]
- Guillemot, J.; le Maire, G.; Munishamappa, M.; Charbonnier, F.; Vaast, P. Native coffee agroforestry in the Western Ghats of India maintains higher carbon storage and tree diversity compared to exotic agroforestry. Agric. Ecosyst. Environ. 2018, 265, 461–469. [Google Scholar] [CrossRef]
- Schroth, G.; Bede, L.C.; Paiva, A.O.; Cassano, C.R.; Amorim, A.M.; Faria, D.; Mariano-Neto, E.; Martini, A.M.; Sambuichi, R.H.; Lôbo, R.N. Contribution of agroforests to landscape carbon storage. Mitig. Adapt. Strateg. Glob. Chang. 2015, 20, 1175–1190. [Google Scholar] [CrossRef]
- Middendorp, R.S.; Vanacker, V.; Lambin, E.F. Impacts of shaded agroforestry management on carbon sequestration, biodiversity and farmers income in cocoa production landscapes. Landsc. Ecol. 2018, 33, 1953–1974. [Google Scholar] [CrossRef]
- Bentrup, G.; Hopwood, J.; Adamson, N.L.; Vaughan, M. Temperate Agroforestry Systems and Insect Pollinators: A Review. Forests 2019, 10, 981. [Google Scholar] [CrossRef]
- Centeno-Alvarado, D.; Lopes, A.V.; Arnan, X. Fostering pollination through agroforestry: A global review. Agric. Ecosyst. Environ. 2023, 351, 108478. [Google Scholar] [CrossRef]
- Manson, S.; Nekaris, K.A.I.; Nijman, V.; Campera, M. Effect of shade on biodiversity within coffee farms: A meta-analysis. Sci. Total Environ. 2024, 914, 169882. [Google Scholar] [CrossRef]
- Quandt, A.; Neufeldt, H.; McCabe, J.T. The role of agroforestry in building livelihood resilience to floods and drought in semiarid Kenya. Ecol. Soc. 2017, 22, 10. [Google Scholar] [CrossRef]
- Simelton, E.; Dam, B.V.; Catacutan, D. Trees and agroforestry for coping with extreme weather events: Experiences from northern and central Viet Nam. Agrofor. Syst. 2015, 89, 1065–1082. [Google Scholar] [CrossRef]
- Dollinger, J.; Jose, S. Agroforestry for soil health. Agrofor. Syst. 2018, 92, 213–219. [Google Scholar] [CrossRef]
- Manson, S.; Nekaris, K.A.I.; Rendell, A.; Budiadi, B.; Imron, M.A.; Campera, M. Agrochemicals and shade complexity affect soil quality in coffee home gardens. Earth 2022, 3, 853–865. [Google Scholar] [CrossRef]
- Lehmann, L.M.; Smith, J.; Westaway, S.; Pisanelli, A.; Russo, G.; Borek, R.; Sandor, M.; Gliga, A.; Smith, L.; Ghaley, B.B. Productivity and economic evaluation of agroforestry systems for sustainable production of food and non-food products. Sustainability 2020, 12, 5429. [Google Scholar] [CrossRef]
- Steffan-Dewenter, I.; Kessler, M.; Barkmann, J.; Bos, M.M.; Buchori, D.; Erasmi, S.; Faust, H.; Gerold, G.; Glenk, K.; Gradstein, S.R. Tradeoffs between income, biodiversity, and ecosystem functioning during tropical rainforest conversion and agroforestry intensification. Proc. Natl. Acad. Sci. USA 2007, 104, 4973–4978. [Google Scholar] [CrossRef] [PubMed]
- Bisseleua, D.; Missoup, A.D.; Vidal, S. Biodiversity conservation, ecosystem functioning, and economic incentives under cocoa agroforestry intensification. Conserv. Biol. 2009, 23, 1176–1184. [Google Scholar] [CrossRef]
- Quinion, A.; Chirwa, P.W.; Akinnifesi, F.K.; Ajayi, O.C. Do agroforestry technologies improve the livelihoods of the resource poor farmers? Evidence from Kasungu and Machinga districts of Malawi. Agrofor. Syst. 2010, 80, 457–465. [Google Scholar] [CrossRef]
- Parikesit; Withaningsih, S.; Rozi, F. Socio-ecological dimensions of agroforestry called kebun campuran in tropical karst ecosystem of West Java, Indonesia. Biodiversitas 2020, 22, 122–131. [Google Scholar] [CrossRef]
- Nöldeke, B.; Winter, E.; Laumonier, Y.; Simamora, T. Simulating Agroforestry Adoption in Rural Indonesia: The Potential of Trees on Farms for Livelihoods and Environment. Land 2021, 10, 385. [Google Scholar] [CrossRef]
- Escobar-López, A.; Castillo-Santiago, M.Á.; Mas, J.F.; Hernández-Stefanoni, J.L.; López-Martínez, J.O. Identification of coffee agroforestry systems using remote sensing data: A review of methods and sensor data. Geocarto Int. 2024, 39, 2297555. [Google Scholar] [CrossRef]
- Sinaga, T.P.; Nugroho, A.; Lee, Y.-W.; Suh, Y. GIS mapping of tsunami vulnerability: Case study of the Jembrana regency in Bali, Indonesia. KSCE J. Civil. Eng. 2011, 15, 537–543. [Google Scholar] [CrossRef]
- Campera, M.; Chavez, J.; Humber, C.; Jain, V.; Cioci, H.; Aulia, F.; Alua, K.A.; Prawerti, D.A.D.; Ali, S.R.R.; Swastika, I.W.; et al. Impact of Cropland Management on Invertebrate Richness and Abundance in Agroforestry Systems in Bali, Indonesia. Land 2024, 13, 493. [Google Scholar] [CrossRef]
- Google Maps. Bali, Indonesia. Available online: http://maps.google.co.uk (accessed on 29 August 2024).
- Chavez, J.; Nijman, V.; Sukmadewi, D.K.T.; Sadnyana, M.D.; Manson, S.; Campera, M. Impact of Farm Management on Soil Fertility in Agroforestry Systems in Bali, Indonesia. Sustainability 2024, 16, 7874. [Google Scholar] [CrossRef]
- Avenza Systems. Avenza. Available online: https://www.avenza.com/ (accessed on 7 August 2024).
- Moguel, P.; Toledo, V.M. Biodiversity Conservation in Traditional Coffee Systems of Mexico. Conserv. Biol. 1999, 13, 11–21. [Google Scholar] [CrossRef]
- Elevitch, C.R.; Mazaroli, D.N.; Ragone, D. Agroforestry Standards for Regenerative Agriculture. Sustainability 2018, 10, 3337. [Google Scholar] [CrossRef]
- Google LLC. Google Earth 10.59.0.2. Available online: https://earth.google.com (accessed on 8 August 2024).
- Chemeda, B.A.; Wakjira, F.S.; Hizikias, E.B. Tree diversity and biomass carbon stock analysis along altitudinal gradients in coffee-based agroforestry system of Western Ethiopia. Cogent Food Agric. 2022, 8, 2123767. [Google Scholar] [CrossRef]
- Dossa, E.L.; Fernandes, E.C.M.; Reid, W.S.; Ezui, K. Above- and belowground biomass, nutrient and carbon stocks contrasting an open-grown and a shaded coffee plantation. Agrofor. Syst. 2008, 72, 103–117. [Google Scholar] [CrossRef]
- Goncalves, N.; Andrade, D.; Batista, A.; Cullen, L.; Souza, A.; Gomes, H.; Uezu, A. Potential economic impact of carbon sequestration in coffee agroforestry systems. Agrofor. Syst. 2021, 95, 419–430. [Google Scholar] [CrossRef]
- Mellisse, B.T.; Tolera, M.; Derese, A. Traditional homegardens change to perennial monocropping of khat (Catha edulis) reduced woody species and enset conservation and climate change mitigation potentials of the Wondo Genet landscape of southern Ethiopia. Heliyon 2024, 10, e23631. [Google Scholar] [CrossRef] [PubMed]
- van Rikxoort, H.; Schroth, G.; Läderach, P.; Rodríguez-Sánchez, B. Carbon footprints and carbon stocks reveal climate-friendly coffee production. Agron. Sust. Dev. 2014, 34, 887–897. [Google Scholar] [CrossRef]
- Hardiwinoto, S.; Rahayu, S. Carbon stock potential at several agarwood-based agroforestry practices in Sragen and Karanganyar, Central Java. IOP Conf. Ser. Earth Environ. Sci. 2020, 449, 012030. [Google Scholar]
- Hairiah, K.; Sitompul, S.M.; Van Noordwijk, M.; Palm, C. Methods for Sampling Carbon Stocks Above and Below Ground; World Agroforestry Centre (ICRAF) SEA Regional Office: Bogor, Indonesia, 2001. [Google Scholar]
- Magarik, Y.A.; Roman, L.A.; Henning, J.G. How should we measure the DBH of multi-stemmed urban trees? Urban For. Urban Green. 2020, 47, 126481. [Google Scholar] [CrossRef]
- Chave, J.; Andalo, C.; Brown, S.; Cairns, M.A.; Chambers, J.Q.; Eamus, D.; Fölster, H.; Fromard, F.; Higuchi, N.; Kira, T. Tree allometry and improved estimation of carbon stocks and balance in tropical forests. Oecologia 2005, 145, 87–99. [Google Scholar] [CrossRef] [PubMed]
- Resolve. Ecoregions. 2017. Available online: https://ecoregions.appspot.com/ (accessed on 8 August 2024).
- Anitha, K.; Verchot, L.V.; Joseph, S.; Herold, M.; Manuri, S.; Avitabile, V. A review of forest and tree plantation biomass equations in Indonesia. Ann. For. Sci. 2015, 72, 981–997. [Google Scholar] [CrossRef]
- Henry, M.; Bombelli, A.; Trotta, C.; Alessandrini, A.; Birigazzi, L.; Sola, G.; Vieilledent, G.; Santenoise, P.; Longuetaud, F.; Valentini, R.; et al. GlobAllomeTree: International platform for tree allometric equations to support volume, biomass and carbon assessment. iForest 2013, 6, 326–330. [Google Scholar] [CrossRef]
- Prayogo, C.; Sari, R.R.; Asmara, D.H.; Rahayu, S.; Hairiah, K. Allometric equation for pinang (Areca catechu) biomass and C stocks. Agrivita 2018, 40, 381–389. [Google Scholar] [CrossRef]
- Santos Martin, F.; Navarro-Cerrillo, R.; Mulia, R.; Van Noordwijk, M. Allometric equations based on a fractal branching model for estimating aboveground biomass of four native tree species in the Philippines. Agrofor. Syst. 2010, 78, 193–202. [Google Scholar] [CrossRef]
- Brown, S. Estimating Biomass and Biomass Change of Tropical Forests: A Primer; Food & Agriculture Organization: Rome, Italy, 1997. [Google Scholar]
- Hairiah, K.; Dewi, S.; Agus, F.; Velarde, S.; Andree, E.; Rahayu, S.; van Noordwijk, M. Measuring Carbon Stocks Across Land Use Systems: A Manual; World Agroforestry Centre (ICRAF) SEA Regional Office: Bogor, Indonesia, 2011. [Google Scholar]
- Segura, M.; Kanninen, M.; Suárez, D. Allometric models for estimating aboveground biomass of shade trees and coffee bushes grown together. Agrofor. Syst. 2006, 68, 143–150. [Google Scholar] [CrossRef]
- Krisnawati, H.; Adinugroho, W.C.; Imanuddin, R. Allometric Models for Estimating Tree Biomass at Various Forest Ecosystem Types in Indonesia: Monograph; Wahyu Catur Adinugroho: Bogor, Indonesia, 2012. [Google Scholar]
- Dung, N.; Toai, P.; Hung, V.; Anh, L.; Khoa, P. Tree Allometric Equations in Evergreen Broadleaf and Bamboo Forests in the North Central Coastal Region, Viet Nam. In Tree Allometric Equation Development for Estimation of Forest Above-Ground Biomass in Viet Nam; Inoguchi, A., Sola, G., Henry, M., Birigazzi, L., Eds.; UN-REDD Programme: Hanoi, Vietnam, 2012; pp. 1–66. [Google Scholar]
- Rahutomo, A.B. Potensi Biomassa, Karbon dan Serapan Gas CO2 Jenis Gamal (Gliricidia sepium) Bagian Above Ground di Hutan Pendidikan Wanagama I, Yogakarta. Bachelor’s Thesis, Universitas Gadjah Mada, Yogyakarta, Indonesia, 2012. [Google Scholar]
- Agus, C.; Karyanto, O.; Hardiwinoto, S.; Na’iem, M.; Kita, S.; Haibara, K.; Toda, H. Biomass productivity and carbon stock in short rotation plantation of Gmelina arborea Roxb. in tropical forest. Indones. J. Agric. Sci. 2001, 1, 11–16. [Google Scholar]
- Micosa-Tandung, L. Biomass prediction equations for giant ipil-ipil (Leucaena leucocephala (Lam.) de Wit). Trans. Nat. Acad. Sci. Technol. 1987, 9, 243–263. [Google Scholar]
- Arifin, J. Estimasi Penyimpanan C Pada Berbagai Sistem Penggunaan Lahan di Kecamatan Ngantang, Malang, Jurusan Tanah, Fakultas Pertanian; Universitas Brawijaya: Malang, Indonesia, 2001; 61p. [Google Scholar]
- Hairiah, K.; Rahayu, S. Pengukuran Karbon Tersimpan di Berbagai Macam Penggunaan Lahan; World Agroforestry Centre: Bogor, Indonesia, 2007; p. 77. [Google Scholar]
- Kuyah, S.; Muthuri, C.; Wakaba, D.; Cyamweshi, A.R.; Kiprotich, P.; Mukuralinda, A. Allometric equations and carbon sequestration potential of mango (Mangifera indica) and avocado (Persea americana) in Kenya. Trees For. People 2024, 15, 100467. [Google Scholar] [CrossRef]
- Rodríguez-Laguna, R.; Jiménez-Pérez, J.; Meza-Rangel, J.; Aguirre-Calderón, O.; Razo-Zarate, R. Carbono contenido en un bosque tropical subcaducifolio en la reserva de la biosfera el cielo, Tamaulipas, México. Rev. Latinoam. Recur. Nat. 2008, 4, 215–222. [Google Scholar]
- Hung, N.D.; Giang, L.T.; Tu, D.N.; Hung, P.T.; Lam, P.T.; Khanh, N.T.; Thuy, H.M. Tree Allometric Equations in Evergreen Broadleaf and Bamboo Forests in the North East Region, Viet Nam. In Tree Allometric Equation Development for Estimation of Forest Above-Ground Biomass in Viet Nam; Inoguchi, A., Matieu, H., Birigazzi, L., Eds.; UN-REDD Programme: Hanoi, Vietnam, 2012. [Google Scholar]
- Badriyah, N. Penaksiran Potensi Kandungan Karbon Jenis Mahoni di Hutan Rakyat Desa Jatimulyo Kec. Jatipuro Kab. Karanganyar. Bachelor’s Thesis, Universitas Gadjah Mada, Yogyakarta, Indonesia, 2008. [Google Scholar]
- Aminudin, S. Kajian Potensi Cadangan Karbon Pada Pengusahaan Hutan Rakyat (Studi Kasus: Hutan Rakyat Desa Dengok, Kecamatan Playen, Kabupaten Gunungkidul). Master’s Thesis, IPB University, Bogor, Indonesia, 2008. [Google Scholar]
- Yuliasmara, F.; Wibawa, A.; Prawoto, A. Carbon stock in different ages and plantation system of cocoa: Allometric approach. Pelita Perkeb. 2009, 25, 175. [Google Scholar] [CrossRef]
- Sakman, E. Volume Tables for Forest Trees in Bangladesh. Field Document No. 34; Food and Agricultural Organisation of the United Nations, UNDP/FAO Project BGD/79/017: Dhaka, Bangladesh, 1983. [Google Scholar]
- Zanne, A.E.; Lopez-Gonzalez, G.; Coomes, D.A.; Ilic, J.; Jansen, S.; Lewis, S.L.; Miller, R.B.; Swenson, N.G.; Wiemann, M.C.; Chave, J. Towards a Worldwide Wood Economics Spectrum. Ecol. Lett. 2009, 12, 351–366. [Google Scholar]
- Tanabe, K.; Wagner, F. Good Practice Guidance for Land Use, Land-Use Change and Forestry; Institute for Global Environmental Strategies: Hayama, Japan, 2003. [Google Scholar]
- Nagar, B.; Rawat, S.; Pandey, R.; Kumar, M. Variation in specific gravity and carbon proportion of agroforestry tree species of Himalaya. Environ. Chall. 2021, 4, 100156. [Google Scholar] [CrossRef]
- Anna, N.; Karlinasari, L.; Sudrajat, D.J.; Siregar, I.Z. The growth, pilodyn penetration, and wood properties of 12 Neolamarckia cadamba provenances at 42 months old. Biodiversitas 2020, 21, d210332. [Google Scholar]
- van Noordwijk, M.; Rahayu, S.; Hairiah, K.; Wulan, Y.; Farida, A.; Verbist, B. Carbon stock assessment for a forest-to-coffee conversion landscape in Sumber-Jaya (Lampung, Indonesia): From allometric equations to land use change analysis. Sci. China C 2002, 45, 75–86. [Google Scholar]
- Eggleston, H.; Buendia, L.; Miwa, K.; Ngara, T.; Tanabe, K. 2006 IPCC Guidelines for National Greenhouse Gas Inventories; IPCC: Geneva, Switzerland, 2006. [Google Scholar]
- Houghton, J.; Meira Filho, L.; Lim, B.; Treanton, K.; Mamaty, I.; Bonduki, Y.; Griggs, D.; Callander, B. Revised 1996 intergovernmental panel on climate change guidelines for national greenhouse inventories. In Proceedings of the IPCC Expert Group Planning Meeting on the Elaboration of Good Practice Guidance in Land-Use Change and Forestry for the Revised 1996 IPCC Guidelines for National Greenhouse Gas Inventories, Geneva, Switzerland, 6–8 August 2001. [Google Scholar]
- R Core Team. R: A Language and Environment for Statistical Computing; R Foundation for Statistical Computing: Vienna, Austria, 2019. [Google Scholar]
- Kassambara, A. rstatix: Pipe-Friendly Framework for Basic Statistical Tests. 2023. Available online: https://rpkgs.datanovia.com/rstatix/ (accessed on 7 August 2024).
- Abbas, F.; Hammad, H.M.; Fahad, S.; Cerdà, A.; Rizwan, M.; Farhad, W.; Ehsan, S.; Bakhat, H.F. Agroforestry: A sustainable environmental practice for carbon sequestration under the climate change scenarios—A review. Environ. Sci. Pollut. Res. 2017, 24, 11177–11191. [Google Scholar] [CrossRef] [PubMed]
- Obeng, E.A.; Aguilar, F.X. Marginal effects on biodiversity, carbon sequestration and nutrient cycling of transitions from tropical forests to cacao farming systems. Agrofor. Syst. 2015, 89, 19–35. [Google Scholar] [CrossRef]
- Magne, A.N.; Nonga, N.E.; Yemefack, M.; Robiglio, V. Profitability and implications of cocoa intensification on carbon emissions in Southern Cameroun. Agrofor. Syst. 2014, 88, 1133–1142. [Google Scholar] [CrossRef]
- Wiryono; Kristiansen, P.; Lobry De Bruyn, L.; Nurliana, S. Ecosystem services provided by agroforestry home gardens in Bengkulu, Indonesia: Smallholder utilization, biodiversity conservation, and carbon storage. Biodiversitas 2023, 24, 2657–2665. [Google Scholar] [CrossRef]
- Wiryono; Puteri, V.N.U.; Senoaji, G. The diversity of plant species, the types of plant uses and the estimate of carbon stock in agroforestry system in Harapan Makmur Village, Bengkulu, Indonesia. Biodiversitas 2016, 17, d170136. [Google Scholar] [CrossRef]
- Sadono, R.; Pujiono, E.; Lestari, L. Land cover changes and carbon storage before and after community forestry program in Bleberan village, Gunungkidul, Indonesia, 1999–2018. For. Sci. Technol. 2020, 16, 134–144. [Google Scholar] [CrossRef]
- Ferraz, A.; Saatchi, S.; Xu, L.; Hagen, S.; Chave, J.; Yu, Y.; Meyer, V.; Garcia, M.; Silva, C.; Roswintiart, O. Carbon storage potential in degraded forests of Kalimantan, Indonesia. Environ. Res. Lett. 2018, 13, 095001. [Google Scholar] [CrossRef]
- Van Diggelen, F.; Enge, P. The World’s First GPS MOOC and Worldwide Laboratory Using Smartphones. In Proceedings of the 28th International Technical Meeting of the Satellite Division of the Institute of Navigation (ION GNSS+ 2015), Tampa, FL, USA, 14–18 September 2015. [Google Scholar]
- Ayala-Montejo, D.; Valdés-Velarde, E.; Benedicto-Valdés, G.S.; Escamilla-Prado, E.; Sanchez-Hernández, R.; Gallardo, J.F.; Martínez-Zurimendi, P. Soil Biological Activity, Carbon and Nitrogen Dynamics in Modified Coffee Agroforestry Systems in Mexico. Agronomy 2022, 12, 1794. [Google Scholar] [CrossRef]
- Andrade, H.J.; Zapata, P.C. Mitigation of Climate Change Of Coffee Production Systems In Cundinamarca, Colombia. Floresta Ambiente 2019, 26, e20180126. [Google Scholar] [CrossRef]
- Lehmann, L.M.; Lysák, M.; Schafer, L.; Henriksen, C.B. Quantification of the understorey contribution to carbon storage in a peri-urban temperate food forest. Urban For. Urban Green. 2019, 45, 12635. [Google Scholar] [CrossRef]





| Species | Equation | Applicability | Source |
|---|---|---|---|
| Moist tropical forest stands (broadleaved tree species) | [70] | ||
| Areca catechu | [74] | ||
| Artocarpus heterphyllus | [75] 1 | ||
| Caryota mitis, Cocos nucifera and Pinanga coronata (Arecaceae species) | Not provided | [76,77] | |
| Coffea canephora * (developed for C. arabica) | [78] | ||
| Durio spp. (developed for D. zibethinus) | Not provided | [79] 1 | |
| Dysoxylum spp. (developed for D. binectariferum) | [80] 1 | ||
| Eusideroxylon zwageri | [79] 1 | ||
| Gliricidia sepium * | [81] | ||
| Gmelina spp. (developed for G. arborea) | Not provided | [82] | |
| Leucaena leucocephala | Not provided | [83] 1 | |
| Musa spp. * (developed for M. × paradisiaca) | [84,85] | ||
| Persea americana | [86] | ||
| Psidium guajava | Not provided | [87] | |
| Styrax tonkinensis | [88] 1 | ||
| Swietenia mahagoni | [89] | ||
| Tectona grandis * | [90] | ||
| Theobroma cacao | Not provided | [91] | |
| Toona ciliata | Not provided | [92] 1 |
| Species | Wood Density (g cm−3) | Source |
|---|---|---|
| Annona muricata | 0.360 | Average of most appropriate values from [93] |
| Artocarpus spp. | 0.58 | [94] |
| Averrhoa carambola | 0.570 | [94] |
| Baccaurea racemosa | 0.580 | Average of most appropriate values from [93] |
| Cananga odorata | 0.29 | [94] |
| Carica papaya | 0.158 | [95] |
| Casuarina equisetifolia | 0.8045 | Average of most appropriate values from [93] |
| Citrus grandis (used for C. × sinensis) | 0.59 | [94] |
| Dracontomelon spp. | 0.5 | [94]. |
| Duabanga moluccana | 0.335 | Average of most appropriate values from [93] |
| Durio spp. | 0.53 | [94] |
| Dysoxylum quercifolium (used for D. spp.) | 0.49 | [94] |
| Elaeocarpus angustifolius | 0.390 | [93] |
| Elaeocarpus glaber | 0.450 | [93] |
| Erythrina variegata | 0.280 | [93] |
| Eusideroxylon zwageri | 0.787 | Average of most appropriate values from [93] |
| Ficus spp. | 0.39 | [94] |
| Garcinia mangostana | 0.810 | [93] |
| Hibiscus tiliaceus | 0.57 | [94] |
| Knema spp. | 0.53 | [94] |
| Lagerstroemia spp. | 0.55 | [94] |
| Lansium domesticum | 0.705 | Average of most appropriate values from [93] |
| Mallotus molissimus | 0.350 | [93] |
| Mangifera spp. | 0.52 | [94] |
| Moringa oleifera | 0.262 | [93] |
| Myristica spp. | 0.53 | [94] |
| Neolamarckia cadamba | 0.12 | [96] |
| Nephelium lappaceum | 0.789 | Average of most appropriate values from [93] |
| Palaquium rostratum | 0.527 | Average of most appropriate values from [93] |
| Paraserianthes falcataria | 0.29 | [93] |
| Parkia speciosa | 0.395 | Average of most appropriate values from [93] |
| Plumeria spp. | 0.500 | [93] |
| Pterospermum javanicum (also used for P. sp.) | 0.4 | [93] |
| Sterculia foetida | 0.448 | Average of most appropriate values from [93] |
| Syzygium spp. | 0.725 | Average of values from [94] |
| Toona ciliata | 0.402 | Average of most appropriate values from [93] |
| Group 1 | Group 2 | Estimate | Confidence (Low) | Confidence (High) | p-Value (Adjusted) | Significance |
|---|---|---|---|---|---|---|
| Forest | Polyculture | −0.418 | −0.822 | −0.0134 | 0.043 | * |
| Forest | Rustic | −0.487 | −0.904 | −0.0711 | 0.022 | * |
| Polyculture | Rustic | −0.0698 | −0.363 | 0.224 | 0.833 | ns |
Disclaimer/Publisher’s Note: The statements, opinions and data contained in all publications are solely those of the individual author(s) and contributor(s) and not of MDPI and/or the editor(s). MDPI and/or the editor(s) disclaim responsibility for any injury to people or property resulting from any ideas, methods, instructions or products referred to in the content. |
© 2025 by the authors. Licensee MDPI, Basel, Switzerland. This article is an open access article distributed under the terms and conditions of the Creative Commons Attribution (CC BY) license (https://creativecommons.org/licenses/by/4.0/).
Share and Cite
Alexander, L.; Manson, S.; Jain, V.; Setiawan, I.M.; Sadnyana, M.D.; Syirazi, M.; Wibowo, Z.A.; Sukmadewi, D.K.T.; Campera, M. The Interplay Between Carbon Storage, Productivity, and Native Tree Density of Agroforestry Systems. Land 2025, 14, 344. https://doi.org/10.3390/land14020344
Alexander L, Manson S, Jain V, Setiawan IM, Sadnyana MD, Syirazi M, Wibowo ZA, Sukmadewi DKT, Campera M. The Interplay Between Carbon Storage, Productivity, and Native Tree Density of Agroforestry Systems. Land. 2025; 14(2):344. https://doi.org/10.3390/land14020344
Chicago/Turabian StyleAlexander, Laurence, Sophie Manson, Vinni Jain, I Made Setiawan, Made Dwi Sadnyana, Muhammad Syirazi, Zefanya Ajiningrat Wibowo, Desak Ketut Tristiana Sukmadewi, and Marco Campera. 2025. "The Interplay Between Carbon Storage, Productivity, and Native Tree Density of Agroforestry Systems" Land 14, no. 2: 344. https://doi.org/10.3390/land14020344
APA StyleAlexander, L., Manson, S., Jain, V., Setiawan, I. M., Sadnyana, M. D., Syirazi, M., Wibowo, Z. A., Sukmadewi, D. K. T., & Campera, M. (2025). The Interplay Between Carbon Storage, Productivity, and Native Tree Density of Agroforestry Systems. Land, 14(2), 344. https://doi.org/10.3390/land14020344

