Intrinsic Mechanisms of Differences in Wetting-Induced Deformation of Soils on Chinese Loess Plateau: Insights into Land Stability and Sustainable Management
Abstract
1. Introduction
2. Materials and Experimental Methods
2.1. Sampling Site and Materials
2.2. Sample Preparation
2.3. Consolidation–Collapse Test
2.4. Microstructure Test and Quantitative Analysis
3. Results
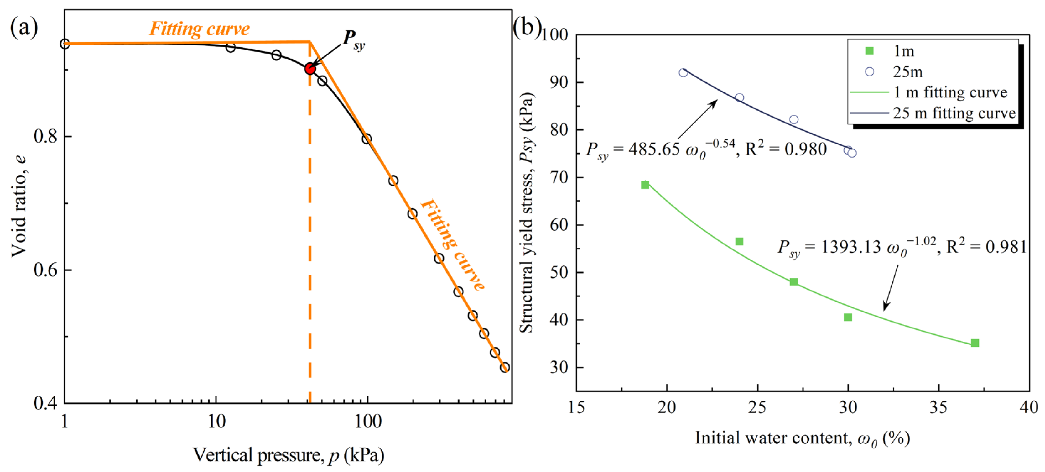
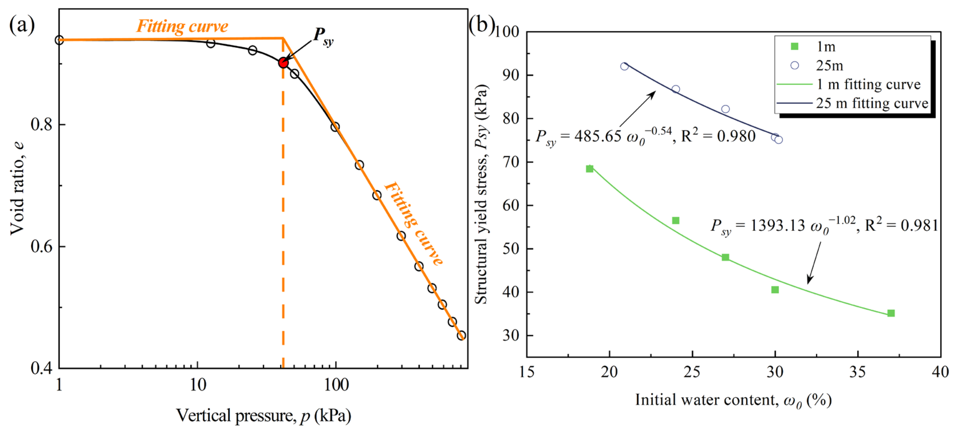
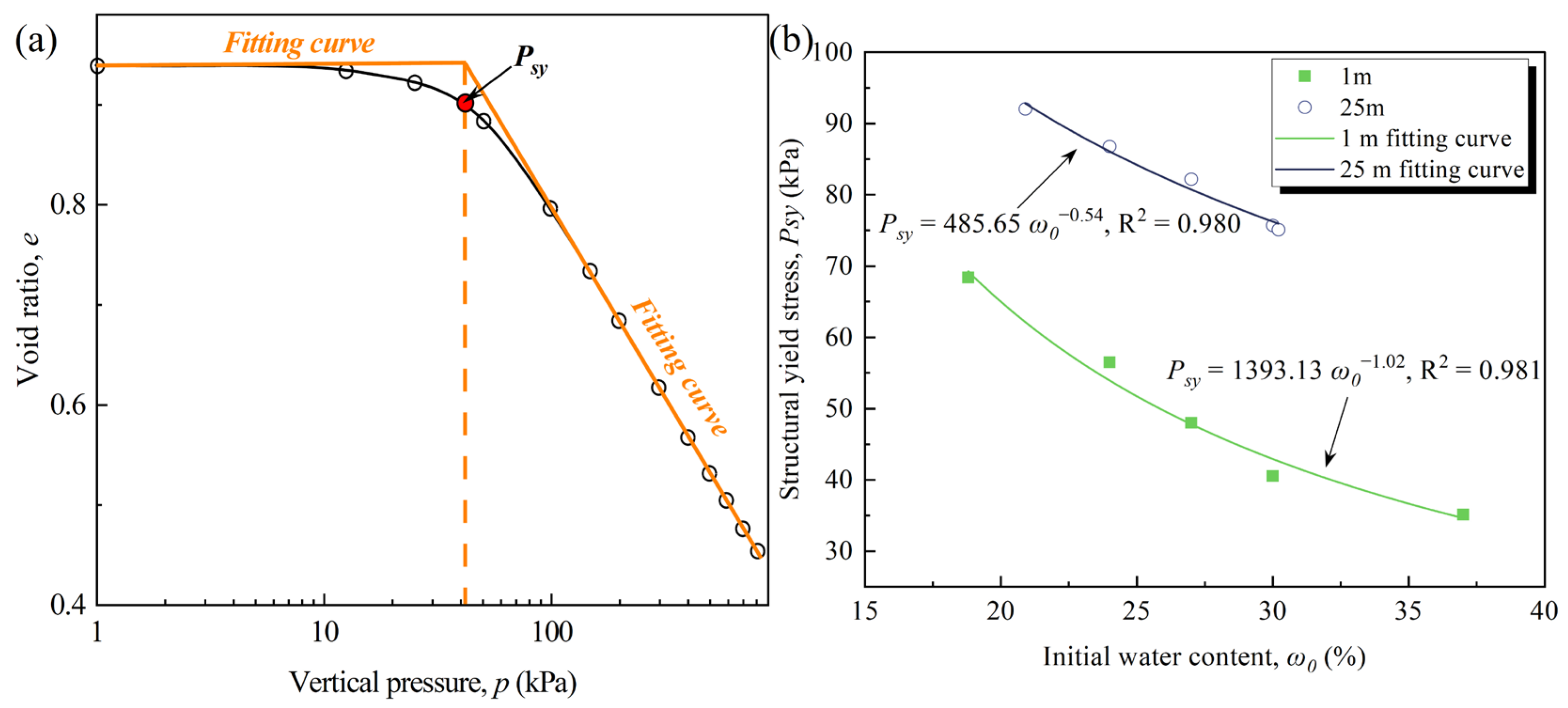
3.1. Compression Characteristics
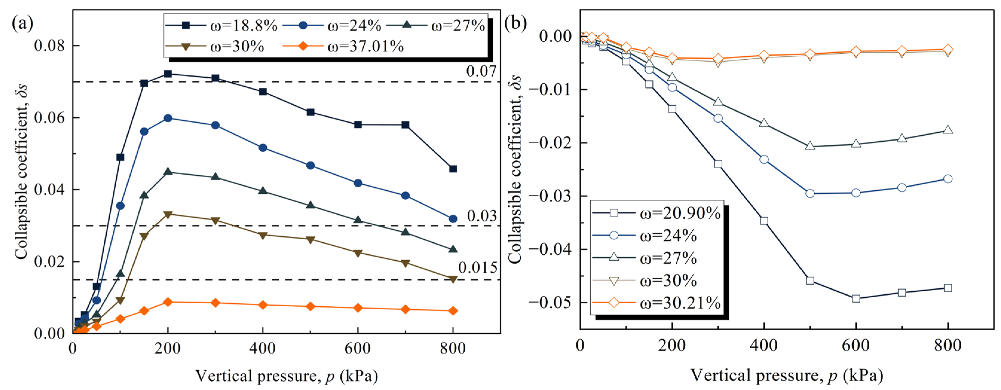
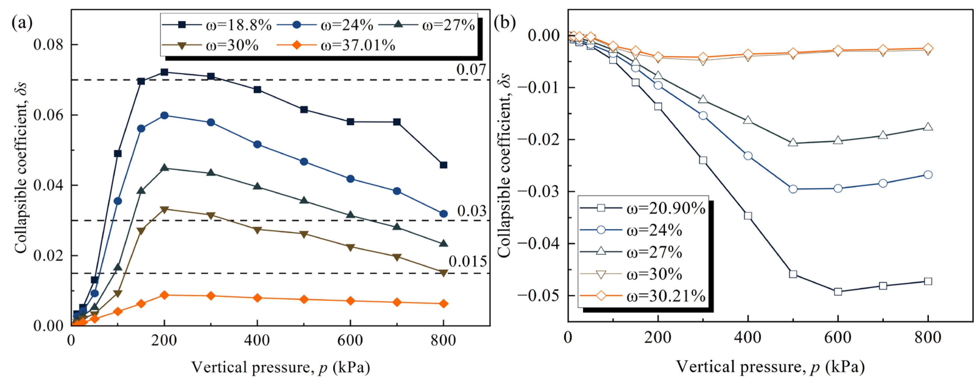
3.2. Collapsibility Results
3.3. Qualitative Analysis of Microstructure
3.4. Quantitative Analysis of Microstructure
3.4.1. Pore Size Distribution
3.4.2. Pore Orientation Angle
3.4.3. Pore Morphology Characteristics
4. Discussion
4.1. Mechanisms of Difference in Mechanical Properties
4.2. Implications for Land Stability and Sustainable Management
- Controlled irrigation systems and drainage networks should be implemented to minimize water infiltration into susceptible zones, particularly in areas dominated by shallow loess layers;
- The development of targeted early warning systems based on the differences in the wetting-induced deformation of shallow and deep loess can help predict and mitigate potential hazards;
- Land use planning should account for the variability in the wetting deformation between shallow and deep loess layers. Agricultural and infrastructural development should prioritize regions with greater structural stability while applying reinforcement measures in areas with high collapsibility;
- Deep loess exhibits greater stability but also shows expansiveness. Therefore, water management and support measures should be prioritized in deep engineering projects, such as tunnel construction.
4.3. Limitations and Prospects
5. Conclusions
- (1)
- The 1 m sample demonstrated greater compressibility compared to the 25 m sample, with contrasting trends in their compressive deformation under wetting conditions. While the 1 m sample’s compressibility increased progressively with wetting, the 25 m sample’s compressibility decreased. The increasing initial water content reduced the structural yield stresses of both samples, with a more pronounced decline in the 1 m sample;
- (2)
- The collapsibility coefficients of the two samples displayed contrasting trends in response to the pressure and initial water content. In its natural state, the 1 m sample exhibited pronounced collapsibility that reduced with the increasing water content. Conversely, the 25 m sample demonstrated expansion (a negative collapsibility coefficient) in its natural state, which gradually transitioned to lower expansiveness as the water content increased;
- (3)
- The 1 m sample exhibited lower microstructural stability with prominent overhead pores and structures, while the 25 m sample displayed densely packed particles with higher structural stability. Micropores were dominant in the 25 m sample, whereas macropores and mesopores were more prevalent in the 1 m sample. The 1 m sample’s higher pore order contrasts with the greater roundness, elongation, and fractal complexity observed in the 25 m sample. These differences in the microstructure and pore characteristics contributed to the greater compressibility and collapsibility of the 1 m sample;
- (4)
- Differences in macroscopic deformation arise from the interplay between the microstructure and mineral composition. Compression behavior is dictated by the microstructural stability and macropore content, while wetting-induced deformation depends on the balance between clay mineral-driven expansion and structural collapse. For the 1 m sample, the abundant macropores and lower clay mineral content led to dominant collapse, resulting in pronounced collapsibility. Conversely, the 25 m sample’s higher micropore content and clay mineral proportion promoted swelling, resulting in expansive deformation.
Author Contributions
Funding
Data Availability Statement
Conflicts of Interest
References
- Cucci, G.; Lacolla, G.; Mastro, M.A.; Caranfa, G. Leaching Effect of Rainfall on Soil under Four-Year Saline Water Irrigation. Soil Water Res. 2021, 11, 181–189. [Google Scholar] [CrossRef]
- Vaezi, A.R.; Ahmadi, M.; Cerdà, A. Contribution of Raindrop Impact to the Change of Soil Physical Properties and Water Erosion under Semi-Arid Rainfalls. Sci. Total Environ. 2017, 583, 382–392. [Google Scholar] [CrossRef] [PubMed]
- Wei, Y.; Wu, X.; Xia, J.; Miller, G.A.; Cai, C.; Guo, Z.; Arash, H. The Effect of Water Content on the Shear Strength Characteristics of Granitic Soils in South China. Soil Tillage Res. 2019, 187, 50–59. [Google Scholar] [CrossRef]
- Zhang, Z.; Zeng, R.; Meng, X.; Zhao, S.; Wang, S.; Ma, J.; Wang, H. Effects of Changes in Soil Properties Caused by Progressive Infiltration of Rainwater on Rainfall-Induced Landslides. Catena 2023, 233, 107475. [Google Scholar] [CrossRef]
- Luo, P.; Ma, M. Failure Mechanisms and Protection Measures for Expansive Soil Slopes: A Review. Sustainability 2024, 16, 5127. [Google Scholar] [CrossRef]
- Zhou, X.; He, J.; Chi, S.; Wang, J. Study on Collapse Settlement and Cracks of Core Wall Rockfill Dams under Wetting Deformation. Int. J. Numer. Anal. Methods Geomech. 2023, 47, 106–128. [Google Scholar] [CrossRef]
- Xiao, W.; Tian, W. Experimental Study on the Failure Process and Modes of Loess Spoil Slope Induced by Rainfall and Engineering Disturbance. PLoS ONE 2024, 19, e0305871. [Google Scholar] [CrossRef]
- Opukumo, A.W.; Davie, C.T.; Glendinning, S.; Oborie, E. A Review of the Identification Methods and Types of Collapsible Soils. J. Eng. Appl. Sci. 2022, 69, 1–21. [Google Scholar] [CrossRef]
- Yang, H.; Xie, W.; Liu, Q.; Zhu, R.; Liu, Y. Three-Stage Collapsibility Evolution of Malan Loess in the Loess Plateau. Catena 2022, 217, 106482. [Google Scholar] [CrossRef]
- Zhang, Z.; Pan, H.; Liu, Y.; Sheng, S. Ecosystem Services’ Response to Land Use Intensity: A Case Study of the Hilly and Gully Region in China’s Loess Plateau. Land 2024, 13, 2039. [Google Scholar] [CrossRef]
- Qiao, F.; Chang, C.; Bo, J.; Wang, L.; Wang, J. Study on the Dynamic Characteristics of Loess. Sustainability 2023, 15, 5428. [Google Scholar] [CrossRef]
- Xu, P.; Lin, Q.; Fang, L. Study on the Mechanical Properties of Loess Improved by Lignosulfonate and Its Mechanism Analysis and Prospects. Appl. Sci. 2022, 12, 9843. [Google Scholar] [CrossRef]
- Wei, L.; Zeng, Z.; Yan, J. Factors Affecting the Stability of Loess Landslides: A Review. Appl. Sci. 2024, 14, 2735. [Google Scholar] [CrossRef]
- Gao, C.; Du, G.; Liu, S.; He, H.; Zhang, D. The Microscopic Mechanisms of Treating Collapsible Loess with Vibratory Probe Compaction Method. Transp. Geotech. 2021, 27, 100492. [Google Scholar] [CrossRef]
- Xie, W.L.; Li, P.; Vanapalli, S.K.; Wang, J.D. Prediction of the Wetting-Induced Collapse Behaviour Using the Soil-Water Characteristic Curve. J. Asian Earth Sci. 2018, 151, 259–268. [Google Scholar] [CrossRef]
- Wang, Y.; Li, Y. Wetting-Induced Collapse of Loess: Tracing Microstructural Evolution. Eng. Geol. 2024, 340, 107673. [Google Scholar] [CrossRef]
- Zheng, H.; Li, X.-A.; Deng, Y.-H.; Hao, Z.-T.; Wen, F.; Zheng, H.; Li, X.-A.; Deng, Y.-H.; Hao, Z.-T.; Wen, F. Study on the Influence of Initial State on Loess Erosion Characteristics and Microscopic Mechanism. Sustainability 2023, 15, 4676. [Google Scholar] [CrossRef]
- Zhang, L.; Li, T.; Zhang, Y. A Simple Method for Predicting Wetting-Induced Collapse Behavior of Compacted Loess with Various Initial Void Ratios and Moisture Contents. Environ. Earth Sci. 2023, 82, 1–12. [Google Scholar] [CrossRef]
- Meng, J.; Li, X.A. Effects of Carbonate on the Structure and Properties of Loess and the Corresponding Mechanism: An Experimental Study of the Malan Loess, Xi’an Area, China. Bull. Eng. Geol. Environ. 2019, 78, 4965–4976. [Google Scholar] [CrossRef]
- Wei, Y.; Fan, W.; Yu, B.; Deng, L.; Ma, G. Investigation of the Collapse Potential of Malan Loess from Different Regions on the Loess Plateau in Terms of Pore Size Distribution and Clay Distribution Form. Acta Geotech. 2023, 18, 6595–6613. [Google Scholar] [CrossRef]
- Yan, G.; Li, Z.; Torres, G.; Scheuermann, S.A.; Li, A.; Yan, G.; Li, Z.; Andres, S.; Scheuermann, A.; Li, L. Transient Two-Phase Flow in Porous Media: A Literature Review and Engineering Application in Geotechnics. Geotechnics 2022, 2, 32–90. [Google Scholar] [CrossRef]
- Zaffar, M.; Lu, S.G. Pore Size Distribution of Clayey Soils and Its Correlation with Soil Organic Matter. Pedosphere 2015, 25, 240–249. [Google Scholar] [CrossRef]
- Derbyshire, E.; Meng, X.; Wang, J.; Zhou, Z.; Li, B. Collapsible Loess on the Loess Plateau of China. In Genesis and Properties of Collapsible Soils: Proceedings of the NATO Advanced Research Workshop, Loughborough, UK, 11–14 April 1994; Springer: Berlin/Heidelberg, Germany, 1995; pp. 267–293. [Google Scholar] [CrossRef]
- Li, P.; Vanapalli, S.; Li, T. Review of Collapse Triggering Mechanism of Collapsible Soils Due to Wetting. J. Rock Mech. Geotech. Eng. 2016, 8, 256–274. [Google Scholar] [CrossRef]
- Liu, Z.; Liu, F.; Ma, F.; Wang, M.; Bai, X.; Zheng, Y.; Yin, H.; Zhang, G. Collapsibility, Composition, and Microstructure of Loess in China. Can. Geotech. J. 2016, 53, 673–686. [Google Scholar] [CrossRef]
- Nan, J.; Peng, J.; Zhu, F.; Zhao, J.; Leng, Y. Multiscale Characteristics of the Wetting Deformation of Malan Loess in the Yan’an Area, China. J. Mt. Sci. 2021, 18, 1112–1130. [Google Scholar] [CrossRef]
- Mu, Q.Y.; Zhou, C.; Ng, C.W.W. Compression and Wetting Induced Volumetric Behavior of Loess: Macro- and Micro-Investigations. Transp. Geotech. 2020, 23, 100345. [Google Scholar] [CrossRef]
- Chen, Y.; Li, P.; Wang, Y.; Li, J. Unraveling the Mystery of Water-Induced Loess Disintegration: A Comprehensive Review of Experimental Research. Sustainability 2024, 16, 2463. [Google Scholar] [CrossRef]
- Abduhell, A.; Zhang, Z.; Cheng, W.; Zhang, Y. Shrinkage Characteristics and Microstructure Evolution of Yili Loess under Different Wetting and Drying Cycles. Water 2023, 15, 2932. [Google Scholar] [CrossRef]
- Wei, Y.; Huang, Z. Variations in Microstructure and Collapsibility Mechanisms of Malan Loess across the Henan Area of the Middle and Lower Reaches of the Yellow River. Appl. Sci. 2024, 14, 8220. [Google Scholar] [CrossRef]
- Li, L.; Wang, J.; Gu, Q.; Zhang, D. Effects of Paleosol on the Collapsibility of Loess Sites under Immersion Test Conditions. Sustainability 2024, 16, 447. [Google Scholar] [CrossRef]
- Chen, H.; Jiang, Y.; Gao, Y.; Yuan, X. Structural Characteristics and Its Influencing Factors of Typical Loess. Bull. Eng. Geol. Environ. 2019, 78, 4893–4905. [Google Scholar] [CrossRef]
- Barden, L.; McGown, A.; Collins, K. The Collapse Mechanism in Partly Saturated Soil. Eng. Geol. 1973, 7, 49–60. [Google Scholar] [CrossRef]
- Houston, S.L.; Houston, W.N. Suction-Oedometer Method for Computation of Heave and Remaining Heave. Geotech. Spec. Publ. 2018, 2017, 93–116. [Google Scholar] [CrossRef]
- Jennings, J.E.B.; Burland, J.B. Limitations to the Use of Effective Stresses in Partly Saturated Soils. Géotechnique 2015, 12, 125–144. [Google Scholar] [CrossRef]
- Wray, W.K.; El-Garhy, B.M.; Youssef, A.A. Three-Dimensional Model for Moisture and Volume Changes Prediction in Expansive Soils. J. Geotech. Geoenviron. Eng. 2005, 131, 311–324. [Google Scholar] [CrossRef]
- Vu, H.Q.; Fredlund, D.G. The Prediction of One-, Two-, and Three-Dimensional Heave in Expansive Soils. Can. Geotech. J. 2011, 41, 713–737. [Google Scholar] [CrossRef]
- Zhang, X.; Briaud, J.L. Three Dimensional Numerical Simulation of Residential Building on Shrink–Swell Soils in Response to Climatic Conditions. Int. J. Numer. Anal. Methods Geomech. 2015, 39, 1369–1409. [Google Scholar] [CrossRef]
- Alonso, E.E.; Gens, A.; Josa, A. A Constitutive Model for Partially Saturated Soils. Géotechnique 2015, 40, 405–430. [Google Scholar] [CrossRef]
- Alonso, E.E.; Vaunat, J.; Gens, A. Modelling the Mechanical Behaviour of Expansive Clays. Eng. Geol. 1999, 54, 173–183. [Google Scholar] [CrossRef]
- Riad, B.; Zhang, X. Modified State Surface Approach to Study Unsaturated Soil Hysteresis Behavior. Transp. Res. Rec. 2020, 2674, 484–498. [Google Scholar] [CrossRef]
- Komolvilas, V.; Kikumoto, M.; Kyokawa, H. Mechanism of Wetting–Induced Deformation and Failure of Unsaturated Soils. Int. J. Numer. Anal. Methods Geomech. 2022, 46, 1064–1092. [Google Scholar] [CrossRef]
- Zhang, X.; Zuo, Y.; Wang, T.; Han, Q. Salinity Effects on Soil Structure and Hydraulic Properties: Implications for Pedotransfer Functions in Coastal Areas. Land 2024, 13, 2077. [Google Scholar] [CrossRef]
- Lin, B.; Cerato, A.B. Applications of SEM and ESEM in Microstructural Investigation of Shale-Weathered Expansive Soils along Swelling-Shrinkage Cycles. Eng. Geol. 2014, 177, 66–74. [Google Scholar] [CrossRef]
- Assallay, A.M.; Rogers, C.D.F.; Smalley, I.J. Formation and Collapse of Metastable Particle Packings and Open Structures in Loess Deposits. Eng. Geol. 1997, 48, 101–115. [Google Scholar] [CrossRef]
- Ma, R.; Cai, C.; Li, Z.; Wang, J.; Xiao, T.; Peng, G.; Yang, W. Evaluation of Soil Aggregate Microstructure and Stability under Wetting and Drying Cycles in Two Ultisols Using Synchrotron-Based X-Ray Micro-Computed Tomography. Soil Tillage Res. 2015, 149, 1–11. [Google Scholar] [CrossRef]
- Li, P.; Xie, W.; Pak, R.Y.S.; Vanapalli, S.K. Microstructural Evolution of Loess Soils from the Loess Plateau of China. Catena 2019, 173, 276–288. [Google Scholar] [CrossRef]
- GB/T 50123-2019; (GB/T 50123-2019 Newer Version) PDF Standard for Geotechnical Testing Method. China Planning Press: Beijing, China, 2019; pp. 85–99. Available online: https://www.chinesestandard.net/PDF.aspx/GBT50123-1999 (accessed on 22 December 2024).
- Nie, Y.; Ni, W.; Lü, X.; Tuo, W.; Yuan, K. Macroscopic Mechanical Behavior and Microstructural Evolution of Compacted Loess in the Chinese Loess Plateau. Soil Tillage Res. 2023, 232, 105767. [Google Scholar] [CrossRef]
- Duan, Z.; Li, Z.Y.; Wu, Y.B.; Niu, B.; Shen, R.J. Mechanical and Microscopic Properties of Soil According to the Rate of Increase in Pore Water Pressure. Soil Tillage Res. 2023, 225, 105530. [Google Scholar] [CrossRef]
- Consoli, N.C.; Rotta, G.V.; Prietto, P.D.M. Yielding–Compressibility–Strength Relationship for an Artificially Cemented Soil Cured under Stress. Géotechnique 2015, 56, 69–72. [Google Scholar] [CrossRef]
- Lei, X. The Types of Loess Pores in China and Their Relationship with Collapsibility. Sci. Sin. B 1988, 31, 1398–1410. [Google Scholar]
- Smith, C.W.; Johnston, M.A.; Lorentz, S. Assessing the Compaction Susceptibility of South African Forestry Soils. II. Soil Properties Affecting Compactibility and Compressibility. Soil Tillage Res. 1997, 43, 335–354. [Google Scholar] [CrossRef]
- Garakani, A.A.; Haeri, S.M.; Cherati, D.Y.; Givi, F.A.; Tadi, M.K.; Hashemi, A.H.; Chiti, N.; Qahremani, F. Effect of Road Salts on the Hydro-Mechanical Behavior of Unsaturated Collapsible Soils. Transp. Geotech. 2018, 17, 77–90. [Google Scholar] [CrossRef]
- Sun, Q.; Zamanian, K.; Huguet, A.; Wiesenberg, G.L.B.; Zhao, T.; Lei, Z. Carbonate Cementing Minerals in Rhizoliths from Badain Jaran Desert: Implication for Pedo-Diagenesis and Environment of Dune Soil. Rhizosphere 2023, 25, 100647. [Google Scholar] [CrossRef]
- Zhu, C.; Peng, S.; Li, Z.; Xu, J.; Deng, G.; Wang, S. Evaluation on Wetting Effect of Loess High-Fill Embankment under Rainfall and Groundwater Uplift. Transp. Geotech. 2023, 38, 100916. [Google Scholar] [CrossRef]
- Mahmood, M.S.; Abrahim, M.J. A Review of Collapsible Soils Behavior and Prediction. IOP Conf. Ser. Mater. Sci. Eng. 2021, 1094, 012044. [Google Scholar] [CrossRef]
- Ito, M.; Azam, S.; Clifton, W. Suction-Based Model for Predicting Cyclic and Transient Volume Changes in Expansive Clays Using a Material Property Function. Eng. Geol. 2022, 296, 106491. [Google Scholar] [CrossRef]
- Bordoni, M.; Bittelli, M.; Valentino, R.; Chersich, S.; Meisina, C. Improving the Estimation of Complete Field Soil Water Characteristic Curves through Field Monitoring Data. J. Hydrol. 2017, 552, 283–305. [Google Scholar] [CrossRef]
- Dong, Y.; Wang, L. Determination of Soil-Shrinkage Curve Using Transient Water Evaporation Method. Int. J. Geomech. 2021, 21. [Google Scholar] [CrossRef]
- Nguyen, L.C.; van Tien, P.; Do, T.N. Deep-Seated Rainfall-Induced Landslides on a New Expressway: A Case Study in Vietnam. Landslides 2020, 17, 395–407. [Google Scholar] [CrossRef]
- Yuan, K.; Ni, W.; Della Vecchia, G.; Lü, X.; Wang, H.; Nie, Y. Influence of Dry Density and Wetting–Drying Cycles on the Soil–Water Retention Curve of Compacted Loess: Experimental Data and Modeling. Acta Geotech. 2024, 19, 8111–8128. [Google Scholar] [CrossRef]
- Zhao, N.F.; Ye, W.M.; Chen, B.; Chen, Y.G.; Cui, Y.J. Modeling of the Swelling–Shrinkage Behavior of Expansive Clays during Wetting–Drying Cycles. Acta Geotech. 2019, 14, 1325–1335. [Google Scholar] [CrossRef]
















| Physical Property | Value | |
|---|---|---|
| 1 m | 25 m | |
| Natural density, ρ (g/cm3) | 1.64 | 1.80 |
| Natural water content, ω (%) | 18.80 | 20.90 |
| Dry density, ρd (g/cm3) | 1.35 | 1.49 |
| Porosity, n | 0.50 | 0.45 |
| Void ratio, e | 1.00 | 0.82 |
| Atterberg limits | ||
| Plastic limit, ωp (%) | 15.40 | 19.40 |
| Liquid limit, ωl (%) | 29.50 | 29.20 |
| Plasticity index, Ip | 14.10 | 9.80 |
| Soil classification | CL | CL |
| Composition of Minerals | Value (%) | |
|---|---|---|
| 1 m | 25 m | |
| Quartz | 49.40 | 45.40 |
| Illite | 10.80 | 18.70 |
| Calcite | 12.50 | 7.60 |
| Feldspar | 16.70 | 16.40 |
| Chlorite | 2.90 | 2.40 |
| Kaolinite | 5.80 | 5.60 |
| Vermiculite | 1.90 | 3.90 |
Disclaimer/Publisher’s Note: The statements, opinions and data contained in all publications are solely those of the individual author(s) and contributor(s) and not of MDPI and/or the editor(s). MDPI and/or the editor(s) disclaim responsibility for any injury to people or property resulting from any ideas, methods, instructions or products referred to in the content. |
© 2025 by the authors. Licensee MDPI, Basel, Switzerland. This article is an open access article distributed under the terms and conditions of the Creative Commons Attribution (CC BY) license (https://creativecommons.org/licenses/by/4.0/).
Share and Cite
Liu, Q.; Xie, W.; Yang, H.; Yuan, K.; Zhang, S.; Li, X.; Qu, P.; Wu, Z.; Zhou, J.; Gao, X. Intrinsic Mechanisms of Differences in Wetting-Induced Deformation of Soils on Chinese Loess Plateau: Insights into Land Stability and Sustainable Management. Land 2025, 14, 312. https://doi.org/10.3390/land14020312
Liu Q, Xie W, Yang H, Yuan K, Zhang S, Li X, Qu P, Wu Z, Zhou J, Gao X. Intrinsic Mechanisms of Differences in Wetting-Induced Deformation of Soils on Chinese Loess Plateau: Insights into Land Stability and Sustainable Management. Land. 2025; 14(2):312. https://doi.org/10.3390/land14020312
Chicago/Turabian StyleLiu, Qiqi, Wanli Xie, Hui Yang, Kangze Yuan, Siyu Zhang, Xinyu Li, Pengxin Qu, Zhiyi Wu, Jiahao Zhou, and Xuanyu Gao. 2025. "Intrinsic Mechanisms of Differences in Wetting-Induced Deformation of Soils on Chinese Loess Plateau: Insights into Land Stability and Sustainable Management" Land 14, no. 2: 312. https://doi.org/10.3390/land14020312
APA StyleLiu, Q., Xie, W., Yang, H., Yuan, K., Zhang, S., Li, X., Qu, P., Wu, Z., Zhou, J., & Gao, X. (2025). Intrinsic Mechanisms of Differences in Wetting-Induced Deformation of Soils on Chinese Loess Plateau: Insights into Land Stability and Sustainable Management. Land, 14(2), 312. https://doi.org/10.3390/land14020312

