Next Article in Journal
A Spatiotemporal Analysis of Potential Demand for Urban Parks Using Long-Term Population Projections
Previous Article in Journal
Population–Land–Industry–Facility System Coupling Coordination and Influencing Factors in Hebei Province
 
 
Font Type:
Arial Georgia Verdana
Font Size:
Aa Aa Aa
Line Spacing:
Column Width:
Background:
Article

Interactions Between Soil Texture and Cover Crop Diversity Shape Carbon Dynamics and Aggregate Stability

by
Vladimír Šimanský
1,* and
Martin Lukac
2,3
1
Institute of Agrochemistry and Soil Science, Faculty of Agrobiology and Food Resources, Slovak University of Agriculture, Trieda A. Hlinku 2, 949 76 Nitra, Slovakia
2
School of Agriculture, Policy and Development, University of Reading, Reading RG1 1AF, UK
3
Department of Forest Management, Faculty of Forestry and Wood Sciences, Czech University of Life Sciences, 16521 Prague, Czech Republic
*
Author to whom correspondence should be addressed.
Land 2025, 14(10), 2044; https://doi.org/10.3390/land14102044
Submission received: 4 September 2025 / Revised: 10 October 2025 / Accepted: 11 October 2025 / Published: 13 October 2025
(This article belongs to the Section Land, Soil and Water)

Abstract

Increasing attention is being paid to the use of cover crops as a means of improving soil quality, particularly in relation to soil organic matter (SOM) accumulation and aggregate stability. This study evaluated the effects of soil texture, soil depth, and cover crop type on soil organic carbon (Corg), labile carbon (CL), and soil structure under field conditions in western Slovakia. A field experiment compared two texturally distinct Phaeozem soils—silty clay loam and sandy loam —and two cover cropping strategies: pea (Pisum sativum L.) monoculture and a four-species mixture of flax (Linum usitatissimum L.), camelina (Camelina sativa L.), white mustard (Sinapis alba L.), and Italian millet (Setaria italica L.). Fine-textured soil accumulated up to 50% more Corg and 1.5 times more CL than sandy soil, while aggregate stability was up to 90% higher. The surface layer (0–10 cm) contained more SOM, but the deeper layer (10–20 cm) showed greater aggregate stability. Pea cultivation increased total organic carbon, whereas the diverse mixture enhanced labile carbon content and promoted the formation of smaller yet more stable aggregates. Strong correlations between CL and aggregate stability confirmed the key role of labile organic matter fractions in soil structural stabilisation. Overall, the results demonstrate that the interaction between soil texture and cover crop diversity critically shapes SOM dynamics and soil structure. Combining diverse cover crops with fine-textured soils provides an effective strategy to enhance soil quality, carbon sequestration, and long-term agricultural sustainability.

1. Introduction

Soil health is a key prerequisite for sustainable agriculture, with organic matter and soil structure playing crucial roles in maintaining soil functionality [1,2,3,4]. However, the complex interplay between soil texture, organic matter stabilisation, and structural development is still not understood sufficiently. In recent years, research has increasingly focused on the impact of cover crops on soil carbon accumulation and the improvement of soil structure [5,6,7,8]. Cover crops, particularly diverse mixtures, have been shown to increase soil organic carbon content [8] and enhance soil aggregate stability [9]. Fine-textured soils have a greater capacity to stabilise carbon because of their enhanced ability to bind organic matter to mineral particles [10], allowing longer carbon retention within the soil environment. This binding potential varies not only with soil texture but also with depth and biological activity, all factors often overlooked in short-term studies.
Labile carbon is a more sensitive indicator of changes in soil management than total organic carbon [3,11,12,13], and its accumulation is strongly influenced by both the type of cover crop [14] and biological activity. The root architecture and exudates of cover crops stimulate microbial processes, promoting the formation of stable aggregates and ultimately improving soil structure [15,16]. Additionally, long-term cover cropping has been shown to increase soil porosity [7]. Several studies also highlight the ability of cover crops to reduce soil compaction, particularly in reduced tillage systems. Seasonal dynamics of root growth further influence the vertical distribution of soil carbon. Moreover, the effects of cover crops on microbial diversity and enzymatic activity represent another important mechanism contributing to improved soil quality [17,18].
Despite the growing interest in using cover crops to improve soil organic matter (SOM) and soil structure [8,9], several uncertainties remain that limit their effective application in agricultural practice. One major challenge is the limited understanding of the mechanisms by which different cover crop species influence organic matter stabilisation in soils with varying textures. Long-term studies quantifying the contribution of cover crops to the formation of stable humic compounds and their association with mineral soil fractions are also lacking. Another uncertainty concerns the extent to which root biomass and exudates of individual cover crop species contribute to aggregate formation and stability over time. Furthermore, in multi-species mixtures, it remains unclear which species exert the greatest influence on soil structural improvement.
This study seeks to address these gaps by providing a more nuanced understanding of how cover crops interact with soil texture and depth to influence carbon stabilisation and structural development. Given that external and internal factors, including cover crops, act synergistically rather than independently, the objectives of this study were to (i) determine the extent to which soil texture, soil depth, cover crop type, and their interactions affect SOM and soil structure and (ii) identify the relationships between SOM and soil structure under different cover crops in texturally distinct soils. We hypothesised that (H1) fine-textured soils would exhibit higher organic matter content than sandy soils, and (H2) that a diverse cover crop mixture would be more effective in increasing labile carbon content and aggregate stability than a single-species cover crop. By testing these hypotheses in a realistic field-based experimental design, this study advances the understanding of soil carbon dynamics and provides practical insights for optimising cover crop strategies in sustainable agriculture.

2. Materials and Methods

2.1. Site Description

The study site is located in Dolná Streda, near the city of Sereď in the Galanta District, Trnava Region, western Slovakia (Figure 1). The village lies in the Danubian Lowland on the right bank of the lower Váh River. The elevation ranges from 109 to 130 m above sea level. The area consists of alluvial sediments, has a flat topography, and is largely deforested. The locality has a warm temperate, fully humid climate with warm summers (Cfb), according to the Köppen–Geiger classification [19]. The average annual temperature ranges from 9 to 10 °C, and the average annual precipitation is approximately 696 mm [20]. July is the warmest month, with mean air temperatures between 16 °C and 18 °C, while January is the coldest, with average temperatures ranging from −2 °C to −4 °C. Table 1 presents the monthly precipitation and mean air temperature during the experimental period. These meteorological data were compared with the climatic normal (1991–2020) according to Kožnárová and Klabzuba [21].

2.2. Experimental Desing

The field experiment was established on a plot containing a complex of texturally different soils [22]—silty clay loam Phaeozem (Aric, Calcic, Pantopachic) and sandy loam Phaeozem (Aric, Arenic, Calcic)—ensuring that both soil types were represented in the experiment. The field had been used previously for intensive cultivation of market crops, primarily cereals. Soil characteristics prior to the experiment are summarised in Table 2.
The experiment was designed using the long-strip methodology, with each strip measuring 8 m × 200 m. The strips were placed adjacent to each other within the same field. The study was established as a comparative field trial involving two distinct cover cropping strategies: (i) a monoculture of field pea (Pisum sativum L.) and (ii) a diverse mixture of four species. Both strips were positioned to encompass soils with contrasting textures (Figure 1). During the 2023 growing season, the field was planted with oilseed rape (Brassica napus L.), followed by durum wheat (Triticum durum L.) in 2024. After the wheat harvest (5 July 2024), shallow tillage was carried out using disc harrows to a depth of 10 cm. In the first strip, field pea (Pisum sativum L.) was sown as a cover crop on 1 August 2024, at a seeding depth of 5 cm and a rate of 100 kg ha−1. In the second strip of equal dimensions (8 m × 200 m), a mixed-species cover crop was sown at a total rate of 7 kg ha−1, consisting of flax (Linum usitatissimum L.) 2 kg ha−1, camelina (Camelina sativa L.) 1 kg ha−1, white mustard (Sinapis alba L.) 2 kg ha−1, and Italian millet (Setaria italica L.) 2 kg ha−1. The seeding depth was 2 cm, and the sowing date was also 1 August 2024. Both cover crops remained in the field for 110 days and were incorporated into the soil on 18 November using disc harrows. No chemical treatments or fertilisers were applied during the experiment.

2.3. Soil Sampling and Analysis

Soil samples for determining soil structure, soil pH, and soil organic matter (SOM) were collected just before the incorporation of cover crops in autumn 2024. Each plot (cover crop × soil texture) contained 10 sampling points, resulting in a total of 20 sampling locations. At each point, small soil pits (approximately 0.5 m × 0.5 m) were excavated. Samples were taken from the pits using a spade to preserve the natural aggregate structure. Two soil depths were sampled: 1. 0–10 cm, and 2. 10–20 cm. The collected soil samples were homogenised, air-dried at laboratory temperature, ground, and sieved through a 0.25 mm mesh for the determination of soil pH and SOM. Soil pH was measured potentiometrically in H2O at a soil-to-distilled-water ratio of 1:2.5 using a pH meter (HI 2211, HANA Instruments, Smithfield, RI, USA). Soil organic carbon (Corg) was determined oxidometrically by wet combustion—oxidation of organic matter with a mixture of H2SO4 and K2Cr2O7—followed by titration with Mohr’s salt [23]. Labile carbon (CL) was determined in 0.005 mol L−1 KMnO4 using the Loginow method [24].
Water-stable aggregates (WSA) were analysed using the Baksheev method [25]. The aggregates were classified into macro-aggregates (>0.25 mm) and micro-aggregates (<0.25 mm). Macro-aggregates (WSAma) were further divided into large (>5 mm), medium (5–1 mm), and small (1–0.25 mm) size-fractions. The particle-size distribution of the soil samples was determined after removing CaCO3 using 2 mol L−3 HCl and eliminating organic matter with 6% H2O2. After repeated washing, the samples were dispersed using a solution of 0.06 mol dm−3 (NaPO3)6 and 0.075 mol dm−3 Na2CO3. The resulting fractions were designated as sand (2–0.05 mm), silt (0.05–0.001 mm), and clay (<0.001 mm). Particle-size distribution was determined using the pipette method [26]. Aggregate stability (AS) was calculated using Equation (1):
A S = W S A m a W S A m i S W S × 100
where WSAma denotes the content of water-stable macro-aggregates, WSAmi is the content of water-stable micro-aggregates, S is the sand content, and W is the total weight of the soil sample.
The mean weight diameter (MWD) of the aggregates was calculated using Equation (2):
M W D = i = 1 n x i W S A
where MWD is the mean weight diameter of water-stable aggregates (mm), xᵢ is the mean diameter of each size-fraction (mm), WSA is the total sample weight within the corresponding size-fraction, and n is the number of size-fractions.

2.4. Statistical Analysis

The Statgraphics Centurion XV⋅I software version 16.2. (Statpoint Technologies, Inc., Washington, DC, USA) was used for statistical analysis. The means of soil characteristics were compared across soil texture, soil depth, and cover crop treatments using multi-way analysis of variance (ANOVA). Homogeneous groups were identified using the Tukey test at α = 0.05. Correlation analysis was performed using Pearson’s product–moment correlation coefficient to evaluate linear relationships among the studied variables and to determine their statistical significance at p ≤ 0.05, p ≤ 0.01, and p ≤ 0.001.

3. Results and Discussion

3.1. Soil Organic Matter

The results showed that soil organic carbon (Corg) content was significantly influenced by three main factors: soil texture, soil depth, and cover crop type. Significant interactions among these factors were also identified (Table 3).
These findings are consistent with numerous studies highlighting the complex dynamics of Corg accumulation and loss, which depend on both the physical and biological properties of the soil [6,14,27]. A markedly higher Corg content (by approximately 50%) was observed in silty clay loam soil compared with sandy loam soil (Figure 2A). This pattern aligns with the established understanding that finer-textured soils have a greater capacity to stabilise organic matter due to enhanced aggregation and stronger binding of organic molecules to mineral particles [15,28,29]. Soils with a higher proportion of fine particles (i.e., higher clay content) tend to accumulate more Corg, particularly under long-term management practices that include organic inputs [29,30].
The 10% decrease in Corg content in the 10–20 cm layer compared with the 0–10 cm surface layer (Figure 2B) was expected, as most organic carbon accumulates in the topsoil where biological activity, organic residue inputs, and microbial processes are most intense. This vertical gradient in Corg is well documented in the literature and is also linked to lower oxygen availability and slower mineralization rates in deeper soil layers [31]. The observed 6% difference in Corg content between pea and the more diverse cover crop mixture (Figure 2C) is noteworthy. Although one might expect the mixture to produce more biomass and, consequently, more organic carbon, some studies suggest that leguminous crops such as pea may contribute more effectively to Corg accumulation due to biological nitrogen fixation and the higher quality of their organic residues [30]. Moreover, differences among cover crop species may be influenced by root architecture and their capacity to stimulate microbial activity [18]. The significant interactions among soil texture, depth, and cover crop type indicate that the effect of one factor depends on the level of another. For example, the effectiveness of cover crops in increasing Corg may be greater in finer-textured soils, which retain organic matter more efficiently [14,29]. However, the absence of a statistically significant three-way interaction suggests that the combined effects of these factors may either counterbalance one another or act independently.
The results also showed that labile carbon (CL) content in the soil was significantly influenced by three main factors: soil type, soil depth, and cover crop type. Strong interactions among these factors were also observed (Table 3). These findings are consistent with current knowledge on soil carbon dynamics, particularly regarding the labile fraction, which is more sensitive to changes on soil management practices and environmental conditions than total organic carbon [3,12,27]. The finding that CL content was more than 1.5 times higher in silty clay loam soil than in sandy loam soil is not surprising. Fine-textured soils tend to reduce the mineralization of labile carbon, thereby promoting its accumulation [14]. The 20% higher CL content observed in the surface layer (0–10 cm) compared with the 10–20 cm layer (Figure 2B) was also expected, as the surface is most affected by organic matter inputs (plant residues and root exudates) and by microbial activity. Labile carbon has a rapid turnover rate and responds quickly to changes in management and organic inputs [12,14].
The result that the diverse cover crop mixture resulted in a 9% higher CL content compared with pea (Figure 2C) may be attributed to the fact that diverse mixtures provide more heterogeneous organic inputs—different root architectures, exudates, and aboveground biomass—that stimulate microbial activity and enhance labile carbon accumulation. Blanco-Canqui [14] reported that cover crops can increase labile carbon content by up to 54%, often exceeding the corresponding increase in total Corg, although such effects depend strongly on site-specific soil–climatic conditions and management practices worldwide. The strong interactions observed among soil texture, depth, and cover crop type (Table 3) suggest that the effect of one factor depends on the level of another. For example, the impact of cover crops on CL may be more pronounced in silty clay loam soils, which retain organic matter more effectively. The statistically significant combined effect of all three factors further underscores the complex dynamics of soil carbon, where biological and physical processes interact closely.

3.2. Soil Structure

The results indicate that aggregate stability (AS) and mean weight diameter (MWD) were strongly influenced by soil texture, soil depth, and cover crop type. Significant interactions among these factors were also observed (Table 3). The finding that AS and MWD were up to 90% and 174% higher, respectively, in silty clay loam soil than in sandy loam soil (Figure 3A,D) reflects the superior aggregation capacity and greater stability of soil aggregates in finer-textured soils [32]. Soils with higher clay content form stronger bonds with organic particles. In addition, these soils have a greater ability to retain water and nutrients, which support microbial activity and thereby enhances the biological stabilisation of aggregates [15,33].
In comparison with the 0–10 cm layer, aggregate stability was 19% higher and the mean weight diameter (MWD) was 24% higher in the 10–20 cm layer, which may appear unexpected, as the surface layer is typically assumed to exhibit greater biological activity. However, if the surface layer has been more frequently disturbed (e.g., by tillage, as in this study), aggregate breakdown may occur, whereas the deeper layer remains more stable [34]. This phenomenon may also be influenced by the type of cover crop and its root system, which can penetrate deeper and promote aggregation in lower layers. Although the effect of cover crops was statistically significant, it was weaker than that of soil texture and depth (Figure 3). The higher AS observed under the diverse cover crop mixture compared with pea is consistent with previous findings showing that diversified cover crops enhance biological activity and increase the production of root exudates, which promote the formation of stable aggregates [15]. The crop mixture also generated a more diverse root biomass compared with pea. The results indicate that while the cover crop mixture exhibited higher AS, it also showed a 7% lower MWD compared with pea. This suggests that the cover crop mixture, through the production of root exudates and a higher labile carbon content, primarily promoted the formation of smaller but more stable soil aggregates. In contrast, pea cultivation tended to support the formation of larger aggregates with greater stability. In other words, the higher AS observed under cover crop mixtures likely results from the synergistic effects of diverse root systems and microbial exudates. The lower MWD under cover crop mixtures may be attributed to the increased formation of smaller, yet highly stable aggregates, which decreases the average diameter but enhances overall structural stability. Similar findings were reported by Gentsch et al. [9]. The observed strong interactions—such as those between soil texture and depth or involving all three factors combined—indicate that no single factor acts in isolation. For example, the effect of cover crops may be more pronounced in fine-textured soils, which respond more effectively to biological inputs. Similarly, in deeper layers, root system effects may become more significant when combined with favourable soil texture.
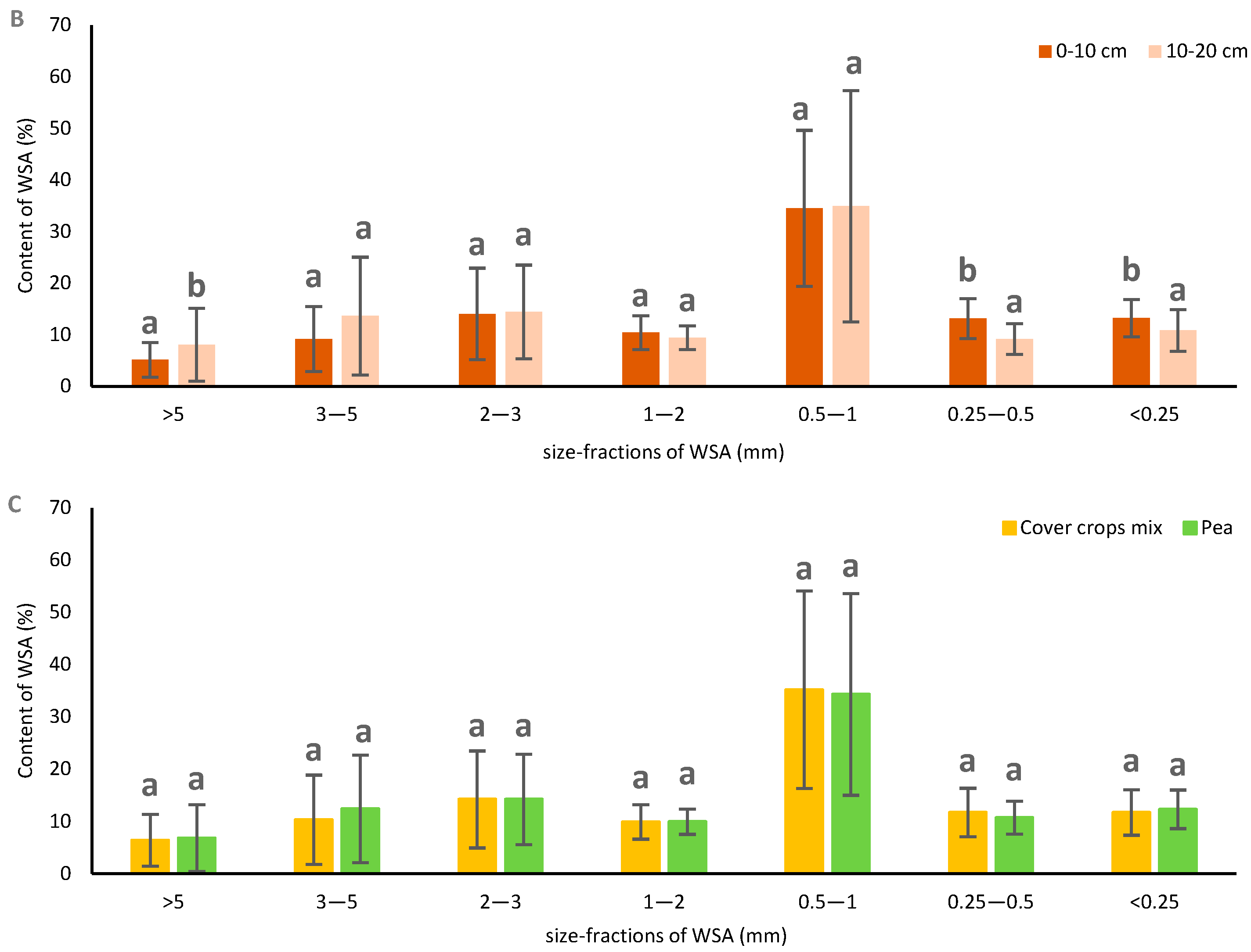
The results also showed that the influence of cover crops on individual size-fractions of water-stable aggregates (WSA) was not consistent, whereas soil texture and depth had a more pronounced effect, particularly on large (>5 mm) and medium (5–1 mm) macro-aggregates (Table 3). The finding that the contents of large (>5 mm) and especially medium-sized (5–3 mm) WSAma were higher in fine-textured soils and at the 10–20 cm depth is related to the higher proportion of fine particles, greater organic matter content, and the enhanced ability of such soils to form stable aggregates [15]. Deeper soil layers may also be less disturbed by tillage, allowing more stable aggregation to develop [35]. The fact that medium-sized WSAma (1–0.5 mm) fractions were nearly identical regardless of depth and cover crop type but significantly influenced by texture (Figure 4) suggests that biological inputs from cover crops have less impact on these size-fractions than the inherent physical properties of the soil. In sandy loam soil, a higher proportion of small WSAma (1–0.25 mm) and micro-aggregates (WSAmi) was observed compared with silty clay loam soil (Figure 4). In sandy soils, the formation of large aggregates is more difficult, and the soil tends to disintegrate into smaller fractions. These soils may also experience greater aggregate fragmentation due to weaker cohesion among particles [15,36]. Significant interactions, such as those between soil texture and depth or between depth and cover crop type for medium-sized WSAma, confirm that the effects of individual factors are interdependent. For instance, the impact of cover crops may be more pronounced in specific soil types or depths where conditions are particularly favourable for root growth and microbial activity.

3.3. Correlation Coefficients Between Soil Organic Matter and Soil Structure

SOM plays a key role in stabilising soil aggregates [3,15,37], as confirmed by the results of this study (Table 4). When all correlations were assessed together, SOM showed significant relationships with aggregate stability (AS), mean weight diameter (MWD), and the individual size-fractions of water-stable aggregates (WSA). As noted by Schweizer et al. [38], SOM enhances cohesion between soil particles through biological bonds such as polysaccharides produced by microorganisms. Interestingly, labile carbon exhibited stronger correlations with AS, MWD, and WSA than soil organic carbon (Corg). Schweizer et al. [38] emphasised that labile fractions of organic matter are the most active in aggregate formation and stabilisation, as they provide substrates for microbial activity, which is crucial for aggregate development [15]. Negative correlations were found between SOM and the smaller aggregate fractions—specifically small WSAma (1–0.25 mm) and WSAmi (Table 4)—which can be explained by the tendency of smaller particles in soils with higher SOM content to form larger aggregates, thereby reducing the proportion of small WSA fractions [38].
A stronger effect on soil aggregation was observed for clay content than for SOM. Higher clay content was associated with increased amounts of large and medium WSAma, greater mean weight diameter, and higher overall aggregate stability. Clay particles possess a high specific surface area and a strong ability to bind organic substances, thereby promoting the formation of stable aggregates. Furthermore, clay supports the development of organo-mineral complexes that are more resistant to breakdown [15,39,40]. When correlations were analysed separately by soil texture, stronger and more significant relationships between SOM and structure parameters—including certain WSA size-fractions—were observed in silty clay loam soil than in sandy loam soil. Strong correlations were detected between CL and individual WSA size-fractions on one hand, and between Corg and overall aggregate stability on the other (Table 4). In the topsoil, CL content exerted a stronger effect on AS, whereas in the subsoil, clay content was more influential. Overall, significant correlations were observed among clay content, SOM, AS, MWD, and the various WSA size-fractions (Table 4).
The direction of correlation—positive or negative—depended on the size-fraction of WSA. For example, positive correlations were recorded between clay content, SOM, and large and medium WSAma size-fractions, while negative correlations were observed between these variables and small WSAma or WSAmi size-fractions. These findings are consistent with current understanding of the vertical distribution of soil properties: the upper layer is characterised by higher biological activity and fresh organic matter input, whereas the lower layer is dominated by physicochemical stabilisation mediated by clay [41,42]. The influence of clay content compared with SOM on soil structure was more pronounced in plots with the diverse cover crop mixture than in those with pea. Moreover, the contents of large and medium WSAma size-fractions were more strongly affected by CL than by Corg.
Overall, our results confirm the validity of both tested hypotheses within the framework of this initial study. A more diverse mixture of cover crops, through its higher labile carbon content, primarily promotes the formation of moderately smaller but more stable aggregates. Conversely, growing pea as a cover crop, due to its higher organic carbon content, supports the formation of moderately larger aggregates with increased stability. Cultivating a richer mixture of cover crops on fine-textured soils thus has a positive effect on soil structure and contributes to the improvement of soil physical quality.

4. Conclusions

This study demonstrates that soil texture, soil depth, and cover crop type significantly influence SOM dynamics and aggregate stability, with strong interactions among these factors. Fine-textured soils contained substantially higher levels of organic and labile carbon and exhibited greater aggregate stability than sandy loam soils. While the surface layer accumulated more SOM, aggregate stability was higher in the subsoil, likely due to lower disturbance and greater clay-mediated stabilisation.
Among the tested cover crops, pea cultivation enhanced soil organic carbon content, whereas the diverse mixture of flax, camelina, white mustard, and Italian millet increased labile carbon and promoted the formation of smaller but more stable aggregates. The strong relationship between labile carbon and aggregate stability underscores the pivotal role of labile organic matter fractions in maintaining soil structure, particularly in fine-textured soils.
Practically, these results suggest that combining diverse cover crop mixtures with fine-textured soils can enhance soil quality by improving both carbon retention and structural stability. Such systems represent an effective strategy for farmers aiming to optimise soil management, increase resilience, and promote long-term sustainability in agricultural production.

Author Contributions

Conceptualization, V.Š. and M.L.; methodology, V.Š.; software, V.Š.; validation, V.Š. and M.L.; formal analysis, V.Š.; investigation, V.Š.; resources, V.Š.; data curation, V.Š.; writing—original draft preparation, V.Š.; writing—review and editing, V.Š. and M.L.; visualization, V.Š.; supervision, V.Š.; funding acquisition, V.Š. All authors have read and agreed to the published version of the manuscript.

Funding

This research was supported by the Slovak Research and Development Agency under contract No. APVV-21-0089.

Data Availability Statement

The datasets generated and analysed during the current study are available from the authors upon a reasonable request.

Acknowledgments

The authors express their gratitude to the editor and the reviewers for their constructive comments.

Conflicts of Interest

The authors declare no conflicts of interest. The funders had no role in the study’s design; in the collection, analyses, or the interpretation of the data; in the writing of the manuscript, or in the decision to publish the results.

References

  1. Shepherd, M.A.; Harrison, R.; Webb, J. Managing soil organic matter–implications for soil structure on organic farms. Soil Use Manag. 2002, 18, 284–292. [Google Scholar] [CrossRef]
  2. Sümmerer, M.; Just, C.; Wiesmeier, M. Soil carbon benchmarks and cropland management effects: Insights from the Bavarian soil organic matter monitoring. Geoderma Reg. 2025, 40, e00909. [Google Scholar] [CrossRef]
  3. Šimanský, V. Soil organic matter in water-stable aggregates under different soil management practices in a productive vineyard. Arch. Agron. Soil Sci. 2013, 9, 1207–1214. [Google Scholar] [CrossRef]
  4. Šimanský, V.; Juriga, M. Soil organic carbon sequestration in different size-fractions of water-stable aggregates in Haplic Luvisol after organic amendment. Acta Fytotechn. Zootechn. 2024, 27, 172–178. [Google Scholar] [CrossRef]
  5. Engedal, T.; Hansen, V.; Rasmussen, J.; Magid, J.; Mueller, C.W.; Thomsen, S.T.; Sorensen, H.; Jensen, L.S. Plant organ rather than cover crop species determines residue incorporation into SOC pools. Soil Biol. Biochem. 2025, 200, 109616. [Google Scholar] [CrossRef]
  6. Dai, W.; Jenkins, G.F.J.N. Water-stable soil aggregation and associated carbon in a no-till Atwood silt loam soil with cover crops and poultry litter. Soil Till. Res. 2025, 248, 106399. [Google Scholar] [CrossRef]
  7. Gajewski, P.; Majchrzak, L.; Bocianowski, J.; Kaczmarek, Z. Effects of cover crops and tillage methods on selected physical and water retention properties of Luvisol. Int. Agrophys. 2025, 39, 73–86. [Google Scholar] [CrossRef] [PubMed]
  8. Souza, V.S.; Canisares, L.P.; Schiebelbein, B.E.; de Castro Santos, D.; Menillo, R.B.; Pinheiro Junior, C.R.; Cherubin, M.R. Cover crops enhance soil health, crop yield and resilience of tropical agroecosystem. Field Crops Res. 2025, 322, 109755. [Google Scholar] [CrossRef]
  9. Gentsch, N.; Riechers, F.L.; Boy, J.; Schweneker, D.; Feuerstein, U.; Heuermann, D.; Guggenberger, G. Cover crops improve soil structure and change organic carbon distribution in macroaggregate fractions. Soil 2024, 10, 139–150. [Google Scholar] [CrossRef]
  10. Munna, M.N.H.; Lal, R. Impacts of cover cropping and organic amendments on soil physical quality under temperate climate. Cogent Food Agric. 2025, 11, 2467452. [Google Scholar] [CrossRef]
  11. Bair, G.J.; Lefroy, R.D.B.; Lisle, L. Soil carbon fractions, based on their degree of oxidation, and the development of a Carbon Management Index for agricultural systems. Austr. J. Agric. Res. 1995, 46, 1459–1466. [Google Scholar] [CrossRef]
  12. Janzen, H.H.; Campell, C.A.; Ellert, B.H.; Bremer, E. Soil Organic Matter Dynamics and their Relationship to Soil Quality. In Soil Quality for Crop Production and Ecosystem Health; Gregorich, E.G., Carter, M.R., Eds.; Elsevier: Amsterdam, The Netherlands, 1997. [Google Scholar]
  13. Šimanský, V. Contents of labile carbon and nitrogen under different soil management practices in a vineyard in an extremely humid year. Acta Fytotechn. Zootechn. 2017, 20, 16–19. [Google Scholar] [CrossRef]
  14. Blanco-Canqui, H. Do cover crops impact labile C more than total C? Soil Use Manag. 2023, 39, 989–1005. [Google Scholar] [CrossRef]
  15. Bronick, C.J.; Lal, R. Soil structure and management: A review. Geoderma 2005, 124, 3–22. [Google Scholar] [CrossRef]
  16. Šimanský, V.; Wójcik-Gront, E.; Horváthová, J.; Pikuła, D.; Lošák, T.; Parzych, A.; Lukac, M.; Aydın, E. Changes in relationships between humic substances and soil structure following different mineral fertilization of Vitis vinifera L. in Slovakia. Agronomy 2022, 12, 1460. [Google Scholar] [CrossRef]
  17. Henzel, D.; Junge, S.M.; Joergensen, R.G.; Finckh, M.R. Can potato cropping be made regenerative? Cover crops and dead organic mulch support soil microbial activity. Biol. Fertil. Soils 2025, 61, 735–746. [Google Scholar] [CrossRef]
  18. Georgiou, K.; Doetterl, S.; Angers, D.; Champiny, R.E.; Cotrufo, M.F.; Craig, M.E.; Grandy, A.S.; Lavallee, J.M.; Lin, Y.; Lugato, E.; et al. Soil carbon saturation: What do we really know? Glob. Change Biol. 2025, 31, e70197. [Google Scholar] [CrossRef]
  19. Kottek, M.; Grieser, J.; Beck, C.H.; Rudolf, B.; Rubel, F. World map of the Köppen-Geiger climate classification updated. Meteorol. Z. 2006, 15, 259–263. [Google Scholar] [CrossRef]
  20. Bochníček, O.; Hrušková, K. Climate Atlas of Slovakia; Slovak Hydrometeorological Institute: Bratislava, Slovakia, 2015. [Google Scholar]
  21. Kožnárová, V.; Klabzuba, J. Recommendation of World Meteorological Organization to describing meteorological or climatological conditions. Rost. Vyr. 2002, 48, 190–192. [Google Scholar] [CrossRef]
  22. World Reference Base for Soil Resources 2014. International Soil Classification System for Naming Soils and Creating Legends for Soil Maps. Update 2015; World Soil Resources Reports No. 106; FAO: Rome, Italy, 2015; Available online: http://www.fao.org/3/i3794en/I3794en.pdf (accessed on 13 June 2025).
  23. Dziadowiec, H.; Gonet, S. Przewodnik Metodyczny do Badań Materii Organicznej Gleb [Methodological Guidebook for the Organic Matter Researches]; PTG: Warszawa, Poland, 1999. (In Polish) [Google Scholar]
  24. Łoginow, W.; Wisniewski, W.; Gonet, S.S.; Ciescinska, B. Fractionation of organic carbon based on susceptibility to oxidation. Pol. J. Soil Sci. 1987, 20, 47–52. [Google Scholar]
  25. Vadjunina, A.F.; Korchagina, Z.A. Methods of Study of Soil Physical Properties; Agropromizdat: Moscow, Russia, 1986; p. 560. [Google Scholar]
  26. Hrivňáková, K.; Makovníková, J.; Barančíková, G.; Bezák, P.; Bezáková, Z.; Dodok, R.; Grečo, V.; Chlpík, J.; Kobza, J.; Lištjak, M.; et al. Jednotné Metodické Postupy Analyzy Pôdy [Uniform Methods of Soil Analyses]; VÚPOP: Bratislava, Slovakia, 2011. (In Slovak) [Google Scholar]
  27. Šimanský, V.; Jonczak, J.; Pikula, D.; Lukac, M. Grass sward cover improves the sustainability of soil management in a vineyard. Soil Sci. Plant Nutr. 2023, 69, 240–249. [Google Scholar] [CrossRef]
  28. Campbell, C.A.; McConkey, B.G.; Zentner, R.P.; Sellea, F.; Curtin, D. Long-term effects of tillage and crop rotations on soil organic C and total N in a clay soil in southwestern Saskatchewan. Can. J. Soil Sci. 1996, 76, 395–401. [Google Scholar] [CrossRef]
  29. Neufeldt, H.; Resck, D.V.S.; Ayarza, M.A. Texture and land-use effects on soil organic matter in Cerrado Oxisols, Central Brazil. Geoderma 1997, 107, 151–164. [Google Scholar] [CrossRef]
  30. Bolinder, M.A.; Crotty, F.; Elsen, A.; Frac, M.; Kismányoky, T.; Lipiec, J.; Tits, M.; Tóth, Z.; Kätterer, T. The effect of crop residues, cover crops, manures and nitrogen fertilization on soil organic carbon changes in agroecosystems: A synthesis of reviews. Mitig. Adapt. Strateg. Glob. Change 2020, 25, 929–952. [Google Scholar] [CrossRef]
  31. Lal, R. Organic Matter, Effects on Soil Physical Properties and Processes. In Encyclopedia of Agrophysics. Encyclopedia of Earth Sciences Series; Gliński, J., Horabik, J., Lipiec, J., Eds.; Springer: Dordrecht, The Netherlands, 2011. [Google Scholar]
  32. Šimanský, V.; Kravka, M.; Jonczak, J. Stability of soil aggregates in loamy soils of Slovakia. J. Elem. 2017, 22, 581–592. [Google Scholar] [CrossRef]
  33. Weil, R.R.; Brady, N.C. The Nature and Properties of Soils, 15th ed.; Pearson Press: Upper Saddle River, NJ, USA, 2017; p. 1086. [Google Scholar]
  34. Plante, A.F.; McGill, W.B. Soil aggregate dynamic and the retention of organic matter in laboratory-incubated soil with differing simulated tillage frequencies. Soil Till. Res. 2002, 66, 79–92. [Google Scholar] [CrossRef]
  35. McNear, D.H., Jr. The rhizosphere-Roots, soil and everything in between. Nat. Educ. Know. 2013, 4, 1. [Google Scholar]
  36. Foth, H.D. Fundamentals of Soil Science; JohnWiley & Sons: New York, NY, USA, 1990; p. 360. [Google Scholar]
  37. Tisdall, J.M.; Oades, J.M. Organic matter and water stable aggregate. Eur. J. Soil Sci. 1982, 33, 141–163. [Google Scholar] [CrossRef]
  38. Schweizer, S.A.; Mueller, C.W.; Höschen, C.; Ivanov, P.; Kögel-Knabner, I. The role of clay content and mineral surface area for soil organic carbon storage in an arable toposequence. Biogeochemistry 2021, 156, 401–420. [Google Scholar] [CrossRef]
  39. Sanderman, J.; Maddern, T.; Baldock, J. Similar composition but differential stability of mineral retained organic matter across four classes of clay minerals. Biogeochemistry 2014, 121, 409–424. [Google Scholar] [CrossRef]
  40. Newcomb, C.J.; Qafoku, N.P.; Grate, J.W.; Bailey, V.L.; De Yoreo, J.J. Developing a molecular picture of soil organic matter–mineral interactions by quantifying organo–mineral binding. Nat. Commun. 2017, 8, 396. [Google Scholar] [CrossRef] [PubMed]
  41. Six, J.; Conant, R.T.; Paul, E.A.; Paustian, K. Stabilization mechanisms of soil organic matter: Implications for C-saturation of soils. Plant Soil 2002, 241, 155–176. [Google Scholar] [CrossRef]
  42. Islam, M.R.; Singh, B.; Dijkstra, F.A. Stabilisation of soil organic matter: Interactions between clay and microbes. Biogeochemistry 2022, 160, 145–158. [Google Scholar] [CrossRef]
Figure 1. Location of the field experiment: (A) sandy loam soil with cover crop mixture; (B) sandy loam soil with pea as a cover crop; (C) silty clay loam soil with cover crop mixture; (D) silty clay loam soil with pea as a cover crop.
Figure 1. Location of the field experiment: (A) sandy loam soil with cover crop mixture; (B) sandy loam soil with pea as a cover crop; (C) silty clay loam soil with cover crop mixture; (D) silty clay loam soil with pea as a cover crop.
Land 14 02044 g001
Figure 2. Soil organic matter. (A) Effect of soil texture, (B) soil depth, and (C) cover crops. Different letters between the same colour columns indicate statistically significant differences at p < 0.05.
Figure 2. Soil organic matter. (A) Effect of soil texture, (B) soil depth, and (C) cover crops. Different letters between the same colour columns indicate statistically significant differences at p < 0.05.
Land 14 02044 g002
Figure 3. Aggregate stability (AC) and mean weight diameter (DF). Different letters indicate statistically significant differences at p < 0.05.
Figure 3. Aggregate stability (AC) and mean weight diameter (DF). Different letters indicate statistically significant differences at p < 0.05.
Land 14 02044 g003
Figure 4. Contents of size-fractions of water-stable aggregates. (A) Effect of soil texture, (B) soil depth, and (C) cover crops. Different letters indicate statistically significant differences at p < 0.05.
Figure 4. Contents of size-fractions of water-stable aggregates. (A) Effect of soil texture, (B) soil depth, and (C) cover crops. Different letters indicate statistically significant differences at p < 0.05.
Land 14 02044 g004aLand 14 02044 g004b
Table 1. Monthly precipitation and average air temperature in 2024. The evaluation of monthly precipitation and air temperature is based on long-term averages for the period 1991–2020.
Table 1. Monthly precipitation and average air temperature in 2024. The evaluation of monthly precipitation and air temperature is based on long-term averages for the period 1991–2020.
MonthTotal Precipitation Average Air Temperature
Climatic Normal (mm)Year 2024
(mm)
Difference (%)ClassificationClimatic Normal (°C)Year 2024
(°C)
Difference (°C)Classification
August54.63870normal21.124.02.8extraordinary warm
September58.1148255very wet15.916.80.9normal
October46.14393normal10.411.41.0normal
November44.91431very dry5.63.8−1.8cold
Table 2. Soil characteristics before the experiment.
Table 2. Soil characteristics before the experiment.
Soil TextureParticle-Size Distribution Bulk Density (g cm−3)Soil pH
in H2O
Corg
(%)
ClaySiltSand
Silty clay loam37.1953.419.401.487.422.80
Sandy loam19.1268.9711.911.517.361.82
Table 3. Analysis of variance for soil organic matter and soil structure parameters.
Table 3. Analysis of variance for soil organic matter and soil structure parameters.
SOMSoil Structure
Macro-Aggregates (Size-Fractions in mm)Micro-Aggregates
LargeMediumSmall
CorgCLASMWD>53–52–31–20.5–10.25–0.5<0.25
Main effects
Soil texture<0.01<0.01<0.01<0.01<0.01<0.01<0.01<0.01<0.01<0.01<0.01
Soil depth<0.01<0.01<0.01<0.01<0.05<0.05>0.05>0.05>0.05<0.01<0.01
Cover crops<0.01<0.01<0.01<0.05>0.05>0.05>0.05>0.05>0.05>0.05>0.05
Interactions
Soil depth × Soil texture<0.01<0.01<0.01<0.01<0.05<0.05>0.05>0.05<0.01>0.05>0.05
Soil depth × Cover crops<0.05<0.01<0.01<0.05>0.05>0.05>0.05>0.05<0.01<0.05>0.05
Soil texture × Cover crops<0.01<0.01<0.01>0.05>0.05>0.05>0.05>0.05>0.05>0.05>0.05
Soil depth × Soil texture × Cover Crops>0.05<0.01<0.01>0.05>0.05>0.05>0.05>0.05>0.05>0.05>0.05
Note: SOM—soil organic matter; CL—labile carbon; AS—aggregate stability; MWD—mean weight diameter.
Table 4. Correlation coefficients between soil organic matter and soil structure parameters.
Table 4. Correlation coefficients between soil organic matter and soil structure parameters.
Soil Structure
>53–52–31–20.5–10.25–0.5<0.25ASMWD
Together
Corg0.735 ***0.791 ***0.913 ***0.904 ***−0.893 ***−0.574 **−0.786 ***0.845 ***0.828 ***
CL0.760 ***0.795 ***0.946 ***0.938 ***−0.919 ***−0.569 **−0.811 ***0.878 ***0.848 ***
Clay0.871 ***0.906 ***0.976 ***0.904 ***−0.964 ***−0.716 ***−0.913 ***0.929 ***0.944 ***
Sandy loam
Corgn.s.n.s.n.s.n.s.−0.627 *0.599 *0.581 *−0.874 ***n.s.
CL0.780 **n.s.n.s.n.s.−0.650 *0.704 *n.s.n.s.n.s.
Silty clay loam
Corg−0.634 *n.s.n.s.n.s.0.592 *0.707 *0.769 **−0.776 **−0.694 *
CL−0.900 ***−0.907 ***n.s.0.856 ***0.909 ***0.784 **0.820 **−0.748 **−0.971 ***
0–10 cm
Corg0.912 ***0.982 ***0.965 ***0.953 ***−0.958 ***−0.806 **−0.934 ***0.964 ***0.986 ***
CL0.951 ***0.967 ***0.952 ***0.955 ***−0.975 ***−0.731 **−0.922 ***0.995 ***0.988 ***
Clay0.941 ***0.989 ***0.965 ***0.971 ***−0.972 ***−0.791 **−0.947 ***0.974 ***0.999 ***
10–20 cm
Corg0.985 ***0.981 ***0.939 ***0.808 **−0.984 ***−0.880 ***−0.963 ***0.971 ***0.994 ***
CL0.931 ***0.929 ***0.998 ***0.919 ***−0.970 ***−0.912 ***−0.973 ***0.988 ***0.966 ***
Clay0.968 ***0.964 ***0.987 ***0.876 ***−0.989 ***−0.914 ***−0.980 ***0.996 ***0.991 ***
Cover crop mix
Corg0.806 **0.820 **0.900 ***0.984 ***−0.898 ***n.s.−0.784 **0.883 ***0.847 ***
CL0.885 ***0.891 ***0.948 ***0.984 ***−0.957 ***n.s.−0.832 ***0.893 ***0.914 ***
Clay0.932 ***0.954 ***0.987 ***0.974 ***−0.955 ***−0.674 *−0.919 ***0.972 ***0.968 ***
Pea
Corg0.693 *0.767 **0.953 ***0.892 ***−0.903 ***−0.718 **−0.811 **0.856 ***0.816 **
CL0.687 *0.758 **0.955 ***0.906 ***−0.896 ***−0.728 **−0.819 **0.880 ***0.811 **
Clay0.836 ***0.884 ***0.965 ***0.833 ***−0.973 ***−0.824 ***−0.919 ***0.915 ***0.927 ***
Note: Corg—soil organic carbon; CL—labile carbon; AS—aggregate stability; MWD—mean weight diameter of aggregates; n.s.—non-significant; * p ≤ 0.05; ** p ≤ 0.01; *** p ≤ 0.001.
Disclaimer/Publisher’s Note: The statements, opinions and data contained in all publications are solely those of the individual author(s) and contributor(s) and not of MDPI and/or the editor(s). MDPI and/or the editor(s) disclaim responsibility for any injury to people or property resulting from any ideas, methods, instructions or products referred to in the content.

Share and Cite

MDPI and ACS Style

Šimanský, V.; Lukac, M. Interactions Between Soil Texture and Cover Crop Diversity Shape Carbon Dynamics and Aggregate Stability. Land 2025, 14, 2044. https://doi.org/10.3390/land14102044

AMA Style

Šimanský V, Lukac M. Interactions Between Soil Texture and Cover Crop Diversity Shape Carbon Dynamics and Aggregate Stability. Land. 2025; 14(10):2044. https://doi.org/10.3390/land14102044

Chicago/Turabian Style

Šimanský, Vladimír, and Martin Lukac. 2025. "Interactions Between Soil Texture and Cover Crop Diversity Shape Carbon Dynamics and Aggregate Stability" Land 14, no. 10: 2044. https://doi.org/10.3390/land14102044

APA Style

Šimanský, V., & Lukac, M. (2025). Interactions Between Soil Texture and Cover Crop Diversity Shape Carbon Dynamics and Aggregate Stability. Land, 14(10), 2044. https://doi.org/10.3390/land14102044

Note that from the first issue of 2016, this journal uses article numbers instead of page numbers. See further details here.

Article Metrics

Back to TopTop