Ecological Comprehensive Efficiency and Driving Mechanisms of China’s Water–Energy–Food System and Climate Change System Based on the Carbon Nexus: Insights from the Integration of Network DEA and the Geographic Detector
Abstract
1. Introduction
2. Literature Review
2.1. W-E-F System, Carbon Emissions, and Climate Change
2.2. Influencing Factors on the W-E-F and Climate Change System
- Natural factors. Climate change [24] and resource endowment [25] significantly affect the spatial and temporal distribution of water, energy, and food resources. Rising CO2 concentrations and precipitation may partly offset the negative effects of temperature increases on crop yields, yet climate variability overall poses substantial challenges to the future stability of the W-E-F nexus [26]. Hydrometeorological gradients, such as elevation and precipitation, also influence system interactions. As these increase, the synergy between water and energy services may weaken, shift into trade-offs, and later strengthen, reflecting the competitive and adaptive dynamics of ecological processes. Photosynthesis, evapotranspiration, and vegetation cover are identified as critical drivers of these interactions [27]. Land-use and land-cover change further exert pressure on the nexus, as shifts in agroforestry, settlements, grasslands, or bare land significantly alter hydrological behavior, energy use patterns, and food production potential [28].
- Socioeconomic factors. Population growth, urbanization, and economic development reshape demand and supply within the W-E-F system. For example, urbanization has been found to negatively correlate with energy consumption in water and food production due to changing resource development decisions [25]. At the same time, GDP is positively associated with water use in both energy and food production, while climate conditions, such as droughts or abundant rainfall, moderate these relationships [29]. Regional economic size [30], population density [31], education level, technology adoption, and effective irrigated area all demonstrate significant spatial heterogeneity in their impacts on W-E-F stress [32]. Furthermore, rapid urban expansion increases the demand for construction land, which intensifies water and energy consumption while reducing arable land, thus threatening food security and ecosystem regulation capacity [33].
- Policy and governance factors. Effective policy frameworks and green development strategies are critical in balancing W-E-F demands. Integrated approaches—such as water–fertilizer irrigation, renewable energy promotion, energy efficiency improvement, crop structure adjustment, and food price stabilization—have been shown to enhance the orderliness and resilience of the W-E-F system [34,35]. In addition, broader economic indicators, including price mechanisms, employment rates, and international trade in resources, also play essential roles in influencing W-E-F security [36]. Renewable energy development (e.g., solar and wind power) can reduce water competition, but large-scale irrigation expansion may exacerbate trade-offs with hydropower demand, underscoring the need for coordinated management strategies [37].
- Systemic interdependencies. Finally, the intrinsic interdependencies among water, energy, and food are defining features of the W-E-F system. Energy production—such as biofuel generation and power plant cooling—requires substantial water resources; water treatment and distribution processes depend on energy inputs; and food production is simultaneously energy-intensive and heavily reliant on irrigation [38]. Understanding these interconnections is vital for developing strategies that mitigate conflicts and promote sustainable, synergistic development.
2.3. Application of the DEA Model and Geodetector in This Field
3. Data Sources and Research Methods
3.1. Data Source and Indicator System Construction
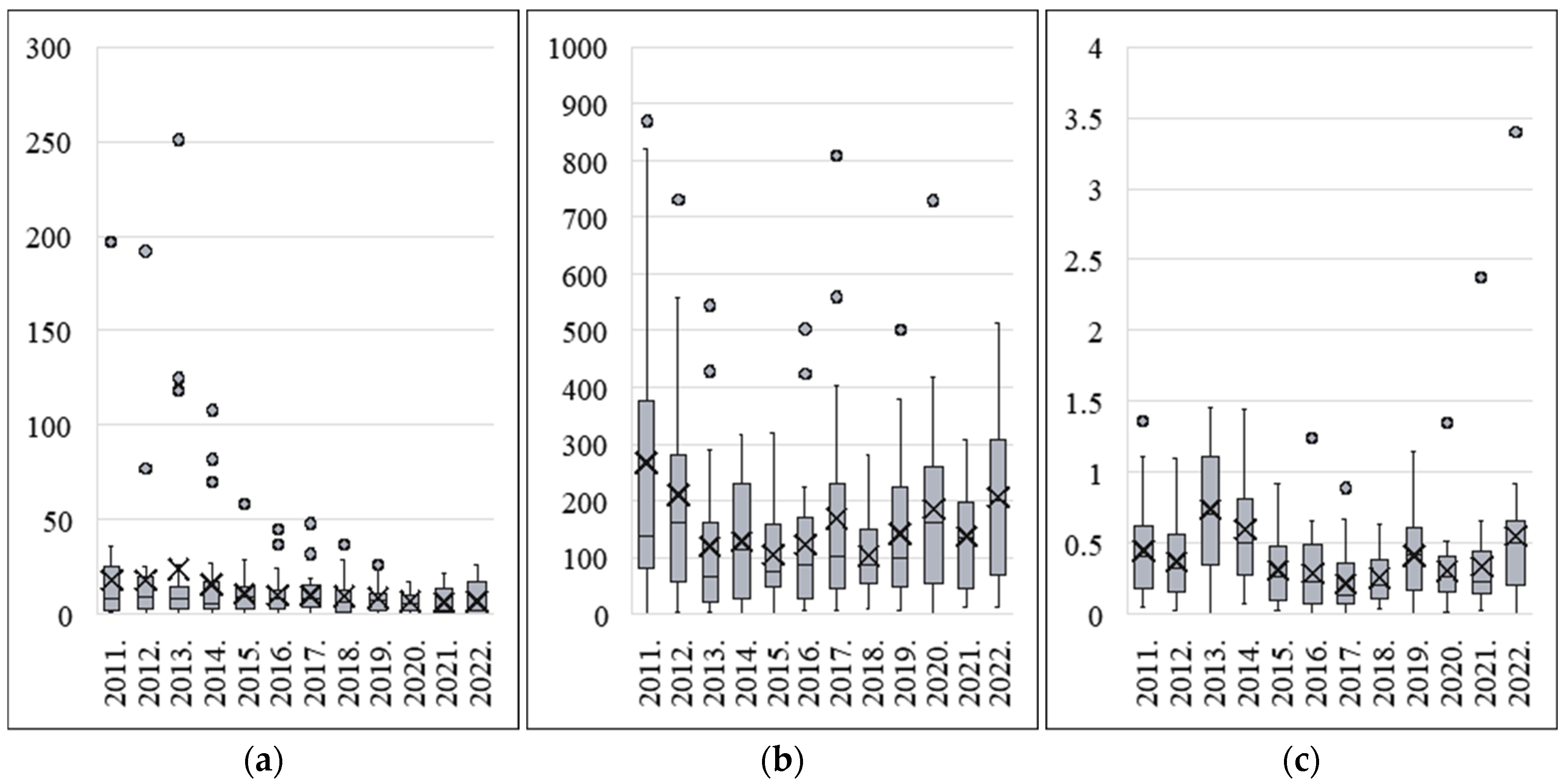
3.2. Descriptive Statistics
3.3. Measure the Level of Ecological Comprehensive Efficiency (Dynamic Two-Stage Network SBM-DEA Model)
- Goal function.
- 2.
- Period and division efficiencies.
3.4. Dagum Gini Coefficient
3.5. Kernel Density Estimation
3.6. Hierarchical Clustering Analysis Based on Euclidean Distance Using the Complete Linkage Algorithm
3.7. Geographical Detector Model
4. Empirical Analyses
4.1. Assessment of Ecological Comprehensive Efficiency Results in China
4.2. Stage Efficiency Analysis
4.2.1. Efficiency Analysis of Water–Energy–Food Integration Stage (S1)
4.2.2. Efficiency Analysis of Climate Change Stage (S2)
4.3. Sub-Variable Efficiency Analysis
4.4. Robustness Check
4.5. Driving Mechanism Analysis
4.5.1. Risk Detector
4.5.2. Factor Detector
4.5.3. Interaction Detector
5. Discussion
6. Conclusions and Suggestions
6.1. Conclusions
6.2. Limitations
6.3. Suggestions
Author Contributions
Funding
Data Availability Statement
Acknowledgments
Conflicts of Interest
Appendix A

Appendix B
Appendix C
Appendix D
Appendix E
References
- Ahmed, H.; Rahul, T. Climate Changes through Data Science: Understanding and Mitigating Environmental Crisis. Mesopotamian J. Big Data 2023, 20, 125–137. [Google Scholar] [CrossRef]
- Che, S.; Wang, J.; Chen, H. Can China’s decentralized energy governance reduce carbon emissions? Evidence from new energy demonstration cities. Energy 2023, 284, 128665. [Google Scholar] [CrossRef]
- The Changing Landscape of Global Emissions—CO2 Emissions in 2023—Analysis. Available online: https://www.iea.org/reports/co2-emissions-in-2023/the-changing-landscape-of-global-emissions (accessed on 28 August 2025).
- Yoon, P.; Lee, S.; Choi, J.; Yoo, S.; Hur, S. Analysis of Climate Change Impact on Resource Intensity and Carbon Emissions in Protected Farming Systems Using Water-Energy-Food-Carbon Nexus. Resour. Conserv. Recycl. 2022, 184, 106394. [Google Scholar] [CrossRef]
- Simpson, G.; Jewitt, G. The Development of the Water-Energy-Food Nexus as a Framework for Achieving Resource Security: A Review. Front. Environ. Sci. 2019, 7, 8. [Google Scholar] [CrossRef]
- Mahmood, M.; Shahab, S.; Shahbaz, M. The Relevance of Economic Freedom for Energy, Environment, and Economic Growth in Asia-Pacific Region. Environ. Sci. Pollut. Res. 2022, 29, 5396–5405. [Google Scholar] [CrossRef]
- Mroue, A.; Mohtar, R.; Pistikopoulos, E.; Holtzapple, M. Energy Portfolio Assessment Tool (EPAT): Sustainable Energy Planning Using the WEF Nexus Approach—Texas Case. Sci. Total Environ. 2019, 648, 1649–1664. [Google Scholar] [CrossRef]
- Isaacs, K.; Snapp, S.; Chung, K.; Waldman, K. Assessing the Value of Diverse Cropping Systems under a New Agricultural Policy Environment in Rwanda. Food Sec. 2016, 8, 491–506. [Google Scholar] [CrossRef]
- Yue, Q.; Zhang, F.; Wang, Y.; Zhang, X.; Guo, P. Fuzzy Multi-Objective Modelling for Managing Water-Food-Energy-Climate Change-Land Nexus towards Sustainability. J. Hydrol. 2021, 596, 125704. [Google Scholar] [CrossRef]
- Zhang, C.; Chen, X.; Li, Y.; Ding, W.; Fu, G. Water-Energy-Food Nexus: Concepts, Questions and Methodologies. J. Clean. Prod. 2018, 195, 625–639. [Google Scholar] [CrossRef]
- Kenway, S.; Lant, P.; Priestley, T. Quantifying Water–Energy Links and Related Carbon Emissions in Cities. J. Water Clim. Change 2011, 2, 247–259. [Google Scholar] [CrossRef]
- Chamas, Z.; Abou Najm, M.; Al-Hindi, M.; Yassine, A.; Khattar, R. Sustainable Resource Optimization under Water-Energy-Food-Carbon Nexus. J. Clean. Prod. 2021, 278, 123894. [Google Scholar] [CrossRef]
- Li, M.; Cao, X.; Liu, D.; Fu, Q.; Li, T.; Shang, R. Sustainable Management of Agricultural Water and Land Resources under Changing Climate and Socio-Economic Conditions: A Multi-Dimensional Optimization Approach. Agric. Water Manag. 2022, 259, 107235. [Google Scholar] [CrossRef]
- Horton, D.; Johnson, N.; Singh, D.; Swain, D.; Rajaratnam, B.; Diffenbaugh, N. Contribution of Changes in Atmospheric Circulation Patterns to Extreme Temperature Trends. Nature 2015, 522, 465–469. [Google Scholar] [CrossRef]
- Angélil, O.; Stone, D.; Wehner, M.; Paciorek, C.; Krishnan, H.; Collins, W. An Independent Assessment of Anthropogenic Attribution Statements for Recent Extreme Temperature and Rainfall Events. J. Clim. 2017, 30, 5–16. [Google Scholar] [CrossRef]
- Chapman, S.; Watson, J.; Salazar, A.; Thatcher, M.; McAlpine, C. The Impact of Urbanization and Climate Change on Urban Temperatures: A Systematic Review. Landsc. Ecol. 2017, 32, 1921–1935. [Google Scholar] [CrossRef]
- Sun, Y.; Zhang, X.; Ren, G.; Zwiers, F.; Hu, T. Contribution of Urbanization to Warming in China. Nat. Clim. Change 2016, 6, 706–709. [Google Scholar] [CrossRef]
- Yu, R.; Zhai, P.; Lu, Y. Implications of Differential Effects between 1.5 and 2 °C Global Warming on Temperature and Precipitation Extremes in China’s Urban Agglomerations. Int. J. Climatol. 2018, 38, 2374–2385. [Google Scholar] [CrossRef]
- Fu, T.; Tian, H. Climate Change Penalty to Ozone Air Quality: Review of Current Understandings and Knowledge Gaps. Curr. Pollut. Rep. 2019, 5, 159–171. [Google Scholar] [CrossRef]
- Han, W.; Li, Z.; Wu, F.; Zhang, Y.; Guo, J.; Su, T.; Cribb, M.; Fan, J.; Chen, T.; Wei, J.; et al. The Mechanisms and Seasonal Differences of the Impact of Aerosols on Daytime Surface Urban Heat Island Effect. Atmos. Chem. Phys. 2020, 20, 6479–6493. [Google Scholar] [CrossRef]
- Ramanathan, R. Combining Indicators of Energy Consumption and CO2 Emissions: A Cross-Country Comparison. Int. J. Glob. Energy Issues 2002, 17, 214–227. [Google Scholar] [CrossRef]
- Feng, C.; Chu, F.; Ding, J.; Bi, G.; Liang, L. Carbon Emissions Abatement (CEA) Allocation and Compensation Schemes Based on DEA. Omega 2015, 53, 78–89. [Google Scholar] [CrossRef]
- Wu, J.; Chu, J.; Liang, L. Target Setting and Allocation of Carbon Emissions Abatement Based on DEA and Closest Target: An Application to 20 APEC Economies. Nat. Hazards 2016, 84, 279–296. [Google Scholar] [CrossRef]
- Yan, X.; Fang, L.; Mu, L. How Does the Water-Energy-Food Nexus Work in Developing Countries? An Empirical Study of China. Sci. Total Environ. 2020, 716, 134791. [Google Scholar] [CrossRef] [PubMed]
- Franz, M.; Schlitz, N.; Schumacher, K. Globalization and the Water-Energy-Food Nexus—Using the Global Production Networks Approach to Analyze Society-Environment Relations. Environ. Sci. Policy 2018, 90, 201–212. [Google Scholar] [CrossRef]
- Han, X.; Hua, E.; Engel, B.; Guan, J.; Yin, J.; Wu, N.; Sun, S.; Wang, Y. Understanding Implications of Climate Change and Socio-Economic Development for the Water-Energy-Food Nexus: A Meta-Regression Analysis. Agric. Water Manag. 2022, 269, 107693. [Google Scholar] [CrossRef]
- Deng, G.; Jiang, H.; Ma, S.; Wen, Y.; He, C.; Sheng, L.; Gu, D. How Water–Energy–Food Services and Their Interactions Change along Multiple Environmental Gradients. Agric. Water Manag. 2025, 309, 109339. [Google Scholar] [CrossRef]
- Wolde, Z.; Wei, W.; Likessa, D.; Omari, R.; Ketema, H. Understanding the Impact of Land Use and Land Cover Change on Water–Energy–Food Nexus in the Gidabo Watershed, East African Rift Valley. Nat. Resour. Res. 2021, 30, 2687–2702. [Google Scholar] [CrossRef]
- Taniguchi, M.; Masuhara, N.; Teramoto, S. Tradeoffs in the Water-Energy-Food Nexus in the Urbanizing Asia-Pacific Region. Water Int. 2018, 43, 892–903. [Google Scholar] [CrossRef]
- Yu, Y.; Zhang, C.; Zhu, W.; Park, S.; Shi, Q. Identifying the Driving Factors of Water Consumption from Water-Energy-Food Nexus in the Yangtze River Delta Region, China. Environ. Sci. Pollut. Res. 2021, 28, 48638–48655. [Google Scholar] [CrossRef]
- Li, G.; Huang, D.; Sun, C.; Li, Y. Developing Interpretive Structural Modeling Based on Factor Analysis for the Water-Energy-Food Nexus Conundrum. Sci. Total Environ. 2019, 651, 309–322. [Google Scholar] [CrossRef]
- Jin, B.; Shi, R.; Chen, S.; He, Y.; Zhao, M. Analysis of the Factors Influencing the Water-Energy-Food System Stress in China. Environ. Sci. Pollut. Res. 2023, 31, 46686–46702. [Google Scholar] [CrossRef]
- Qin, Q.; He, W.; Yuan, L.; Degefu, D.; Ramsey, T. Coupled and Coordinated Development of Water-Energy-Food-Ecology-Land System in the Yangtze River Delta, China. npj Clean Water 2025, 8, 38. [Google Scholar] [CrossRef]
- Ling, M.; Qi, T.; Li, W.; Yu, L.; Xia, Q. Simulating and Predicting the Development Trends of the Water–Energy–Food–Ecology System in Henan Province, China. Ecol. Indic. 2024, 158, 111513. [Google Scholar] [CrossRef]
- Zhang, T.; Tan, Q.; Yu, X.; Zhang, S. Synergy Assessment and Optimization for Water-Energy-Food Nexus: Modeling and Application. Renew. Sustain. Energy Rev. 2020, 134, 110059. [Google Scholar] [CrossRef]
- David, L.; Adepoju, O.; Nwulu, N.; Aigbavboa, C. Determining the Impact of Economic Indicators on Water, Energy and Food Nexus for Sustainable Resource Security. Clean Techn. Environ. Policy 2024, 26, 803–820. [Google Scholar] [CrossRef]
- Wu, L.; Elshorbagy, A.; Alam, M. Dynamics of Water-Energy-Food Nexus Interactions with Climate Change and Policy Options. Environ. Res. Commun. 2022, 4, 015009. [Google Scholar] [CrossRef]
- Mooren, C.; Munaretto, S.; La Jeunesse, I.; Sievers, E.; Hegger, D.; Driessen, P.; Hüesker, F.; Cirelli, C.; Canovas, I.; Mounir, K.; et al. Water–Energy–Food–Ecosystem Nexus: How to Frame and How to Govern. Sustain. Sci. 2025. [Google Scholar] [CrossRef]
- Zhang, T.; Xu, Y. Evaluation on the Efficiency of Water-Energy-Food Nexus Based on Data Envelopment Analysis (DEA) and Malmquist in Different Regions of China. Int. J. Comput. Intell. Syst. 2019, 12, 1649. [Google Scholar] [CrossRef]
- Li, J.; Liu, S.; Zhao, Y.; Gong, Z.; Wei, G.; Wang, L. Water-Energy-Food Nexus and Eco-Sustainability: A Three-Stage Dual-Boundary Network DEA Model for Evaluating Jiangsu Province in China. Int. J. Comput. Intell. Syst. 2021, 14, 1501. [Google Scholar] [CrossRef]
- Han, D.; Yu, D.; Cao, Q. Assessment on the Features of Coupling Interaction of the Food-Energy-Water Nexus in China. J. Clean. Prod. 2020, 249, 119379. [Google Scholar] [CrossRef]
- Lins, M.; Gomes, E.; Soares de Mello, J.; Soares de Mello, A. Olympic Ranking Based on a Zero Sum Gains DEA Model. Eur. J. Oper. Res. 2003, 148, 312–322. [Google Scholar] [CrossRef]
- Yang, M.; Hou, Y.; Ji, Q.; Zhang, D. Assessment and Optimization of Provincial CO2 Emission Reduction Scheme in China: An Improved ZSG-DEA Approach. Energy Econ. 2020, 91, 104931. [Google Scholar] [CrossRef]
- Chu, J.; Wu, J.; Song, M. An SBM-DEA Model with Parallel Computing Design for Environmental Efficiency Evaluation in the Big Data Context: A Transportation System Application. Ann. Oper. Res. 2018, 270, 105–124. [Google Scholar] [CrossRef]
- Huang, D.; Shen, Z.; Sun, C.; Li, G. Shifting from Production-Based to Consumption-Based Nexus Governance: Evidence from an Input–Output Analysis of the Local Water-Energy-Food Nexus. Water Resour. Manag. 2021, 35, 1673–1688. [Google Scholar] [CrossRef]
- Yeh, T.; Chen, T.; Lai, P. A Comparative Study of Energy Utilization Efficiency between Taiwan and China. Energy Policy 2010, 38, 2386–2394. [Google Scholar] [CrossRef]
- Zhou, P.; Ang, B.; Wang, H. Energy and CO2 Emission Performance in Electricity Generation: A Non-Radial Directional Distance Function Approach. Eur. J. Oper. Res. 2012, 221, 625–635. [Google Scholar] [CrossRef]
- Zhang, N.; Choi, Y. Total-Factor Carbon Emission Performance of Fossil Fuel Power Plants in China: A Metafrontier Non-Radial Malmquist Index Analysis. Energy Econ. 2013, 40, 549–559. [Google Scholar] [CrossRef]
- Wu, F.; Fan, L.W.; Zhou, P.; Zhou, D. Industrial Energy Efficiency with CO2 Emissions in China: A Nonparametric Analysis. Energy Policy 2012, 49, 164–172. [Google Scholar] [CrossRef]
- Sueyoshi, T.; Yuan, Y. Measuring Energy Usage and Sustainability Development in Asian Nations by DEA Intermediate Approach. Econ. Struct. 2018, 7, 6. [Google Scholar] [CrossRef]
- Zhang, Y.; Yu, Z.; Zhang, J. Analysis of Carbon Emission Performance and Regional Differences in China’s Eight Economic Regions: Based on the Super-Efficiency SBM Model and the Theil Index. PLoS ONE 2021, 16, e0250994. [Google Scholar] [CrossRef]
- Tian, G.; Li, J.; Wu, Z.; Zhao, Q.; Xia, Q.; Zhang, J.; Niu, X. Unveiling the Resilience of the Water-Energy-Food Nexus: A Context-Specific Framework and Evolutionary Insights for the Yellow River Basin. Agric. Water Manag. 2025, 315, 109514. [Google Scholar] [CrossRef]
- Cao, X.; Li, X.; Zhou, Y. Unveiling the Driving Mechanisms of the Network Land Use Efficiency: A Multi-Model Research. Stoch Environ Res. Risk Assess 2025, 39, 3853–3873. [Google Scholar] [CrossRef]
- Zhang, S.; Yang, D.; Meng, H.; Wan, M.; Ji, Y.; Zhang, J.; Yang, H. Spatiotemporal Pattern Evolution and Driving Factors of China’s Energy Transition from a Heterogeneity Perspective. J. Clean. Prod. 2025, 487, 144624. [Google Scholar] [CrossRef]
- Jiang, L.; Liu, S.; Liu, L.; Liu, C. Revealing the Spatiotemporal Characteristics and Drivers of the Block-Scale Thermal Environment near a Large River: Evidences from Shanghai, China. Build. Environ. 2022, 226, 109728. [Google Scholar] [CrossRef]
- Li, Y.; Xie, W.; Zhang, J.; Zhang, D. Spatiotemporal Changes and Driving Factors of Ecological Environmental Quality in the Yongding-Luan River Basin Based on RSEI. Front. Environ. Sci. 2024, 12, 1494098. [Google Scholar] [CrossRef]
- Zhang, T.; Tan, Q.; Cai, Y. General Equilibrium Analysis of Carbon Tax Policy on Water-Energy-Food Nexus Efficiency. Energy 2024, 304, 132079. [Google Scholar] [CrossRef]
- Chen, Y.; Liu, L. Improving Eco-Efficiency in Coal Mining Area for Sustainability Development: An Emergy and Super-Efficiency SBM-DEA with Undesirable Output. J. Clean. Prod. 2022, 339, 130701. [Google Scholar] [CrossRef]
- Sun, Y.; Zhao, T.; Xia, L. Spatial-Temporal Differentiation of Carbon Efficiency and Coupling Coordination Degree of Chinese County Territory and Obstacles Analysis. Sustain. Cities Soc. 2022, 76, 103429. [Google Scholar] [CrossRef]
- Lee, C.C.; He, Z.W.; Luo, H.P. Spatio-Temporal Characteristics of Land Ecological Security and Analysis of Influencing Factors in Cities of Major Grain-Producing Regions of China. Environ. Impact Assess. Rev. 2024, 104, 107344. [Google Scholar] [CrossRef]
- Lu, L.; Chiu, S.; Chiu, Y.; Chang, T. Sustainability Efficiency of Climate Change and Global Disasters Based on Greenhouse Gas Emissions from the Parallel Production Sectors—A Modified Dynamic Parallel Three-Stage Network DEA Model. J. Environ. Manag. 2022, 317, 115401. [Google Scholar] [CrossRef]
- Tone, K. A Slacks-Based Measure of Efficiency in Data Envelopment Analysis. Eur. J. Oper. Res. 2001, 130, 498–509. [Google Scholar] [CrossRef]
- Xue, L.; Zhang, W.; Zheng, Z. Measurement and influential factors of the efficiency of coal resources of China’s provinces: Based on Bootstrap-DEA and Tobit. Energy 2021, 221, 119763. [Google Scholar] [CrossRef]
- Beliyou, H.; Dawit, M.; Jowel, C. Hierarchical Modelling of Small-Scale Irrigation: Constraints and Opportunities for Adoption in Sub-Saharan Africa. Water Econ. Policy 2022, 8, 2250005. [Google Scholar] [CrossRef]
- Que, Y.; Zhang, J.; Qin, R. Analysis on the loss path and cooperative protection of global biodiversity based on input-output model. J. Clean. Prod. 2023, 419, 138232. [Google Scholar] [CrossRef]
- Niu, B.; Ge, D.; Sun, J. Multi-scales urban-rural integrated development and land-use transition: The story of China. Habitat Int. 2023, 132, 102744. [Google Scholar] [CrossRef]
- Weins, N.; Zhu, A.; Qian, J. Ecological Civilization in the making: The ‘construction’ of China’s climate-forestry nexus. Environ. Sociol. 2023, 9, 6–19. [Google Scholar] [CrossRef]
- Ahmad, B.; Dalia, S. Renewable Energy and Sustainable Agriculture: Review of Indicators. Sustainability 2023, 15, 14307. [Google Scholar] [CrossRef]
- Zheng, Z. Re-calculation of responsibility distribution and spatiotemporal patterns of global production carbon emissions from the perspective of global value chain. Sci. Total Environ. 2021, 773, 145065. [Google Scholar] [CrossRef]
- GB/T 4754-2017; Industrial Classification for National Economic Activities. General Administration of Quality Supervision, Inspection and Quarantine of the People’s Republic of China: Beijing, China; Standardization Administration of China: Beijing, China, 2017. Available online: https://openstd.samr.gov.cn/bzgk/gb/newGbInfo?hcno=A703F0E23DD165A5A1318679F312D158 (accessed on 9 October 2025).
















| Attribute | Variable | Meaning | Data Source | Expected Ecological Impact | ||
|---|---|---|---|---|---|---|
| Input | W-E-F integration stage (Stage 1) | Water subsystem | Total water supply | Waterworks of all sizes supply the amount of all kinds of water consumed in both urban and rural areas. | Bulletin of China’s Water Resources | / |
| Investment in water conservancy construction | The cost of projects used to control and deploy natural surface and groundwater to eliminate harm and promote benefits. | China Water Resources Statistical Yearbook | / | |||
| Energy subsystem | Energy consumption | The total of all kinds of energy consumed by various sectors of the national economy and households within a certain region and period. | China Energy Statistical Yearbook | / | ||
| Investment in the energy industry | The expenditure of the industrial production sector for the development and utilization of various energy resources in nature and their transformation into secondary energy. | China Statistical Yearbook on Fixed Assets Investment | / | |||
| Food subsystem | Grain sown area | The area planted in accordance with the normal requirements for sown food crops. | China Rural Statistical Yearbook | / | ||
| Total investment in grain production | Expenditures on food production. | China Statistical Yearbook on Fixed Assets Investment | / | |||
| Output | W-E-F integration stage (Stage 1) | Water subsystem | Total water consumption | Gross water consumption/consumption allocated to users, including water transfer losses, refers to the aggregate of all water consumption within the urban and rural jurisdiction. | China Statistical Yearbook on Environment | − |
| Total wastewater (undesirable output) | The amount of wastewater discharged from the building complex or the whole town over a certain period of time, and the total amount of industrial wastewater discharged from all outlets within a plant to the outside of the plant. | China Statistical Yearbook on Environment | − | |||
| Energy subsystem | GDP | The results of production activities by all resident units in a region during a certain period are calculated at market prices. | Statistical Communiqués on the National Economic and Social Development of Various Provinces in China over the Years | + | ||
| Air pollutant emissions (undesirable output) | The mixture and amount of gaseous, volatile, semi-volatile, and particulate matter emitted into the air. | China Statistical Yearbook on Environment | − | |||
| Food subsystem | Gross agricultural production | The total amount of agricultural, forestry, animal husbandry, and fishery products in monetary terms within a year. | China Rural Statistical Yearbook | + | ||
| Agricultural non-point source pollution (undesirable output) | Pollution of water, soil, air, and agricultural products caused by pollutants generated during the agricultural production process in rural areas, without reasonable disposal. | Derived using the inventory analysis method, with the specific calculation method provided in Appendix B. | − | |||
| Climate change stage (Stage 2) | Annual mean temperature change (desirable output) | Average temperature difference between the current year and the previous year. | Meteorological Data Center of China Meteorological Administration | + | ||
| Change in annual precipitation (desirable output) | Difference between the current and previous year’s precipitation. | Meteorological Data Center of China Meteorological Administration | + | |||
| Sudden environmental change events (undesirable output) | An event where toxic and harmful substances, such as pollutants or radioactive materials, enter the atmosphere, water bodies, soil, and other environmental media due to pollutant emissions or natural disasters, production safety accidents, and other factors, suddenly causing or potentially causing a decline in environmental quality. | China Statistical Yearbook on Environment | − | |||
| Link & Input (Stage2) | CO2 emissions from water conservancy | The amount of CO2 emitted is related to water resource management, water conservancy project construction, flood prevention and control, etc. | Derived using the carbon emission factor method, with the specific calculation method provided in Appendix C. | / | ||
| Energy CO2 emissions | The amount of CO2 emitted by energy enterprises. | CSMAR; the list of industries to which energy enterprises belong is provided in Appendix D. | / | |||
| CO2 emissions from agriculture | The amount of CO2 emitted from agricultural production. | Derived using the carbon emission factor method, with the specific calculation method provided in Appendix E. | / | |||
| Carry-over | Fixed asset investment | A general term referring to the workload of constructing and purchasing fixed assets across the whole society, as well as the related expenses. | China Statistical Yearbook on Fixed Assets Investment | / | ||
| Variable | Meanings |
|---|---|
| The weights assigned to each time period | |
| The weights assigned to each subsystem | |
| The -th input of subsystem in period | |
| The -th input slack of subsystem in period | |
| The linking variables flowing from subsystem hhh to subsystem | |
| The slack associated with these linkages from subsystem hhh to subsystem | |
| The carry-over input passed from period to period +1 | |
| The slack of carry-over input passed from period to period +1 | |
| The r-th desirable output of subsystem in period (e.g., GDP, gross agricultural production) | |
| Capturing the output shortfall of the r-th desirable output of subsystem in period | |
| The r-th undesirable output of subsystem in period (e.g., wastewater discharge, pollutant emissions) | |
| Excesses of the r-th undesirable output of subsystem in period | |
| The number of desirable outputs in subsystem | |
| The number of undesirable outputs in subsystem |
| Factor | Clustering Categories (Mean ± Standard Deviation) | F | P | |||||||
|---|---|---|---|---|---|---|---|---|---|---|
| Ecological quality | C6 | C2 | C8 | C5 | C7 | C3 | C4 | C1 | 4201 | 0.00 *** |
| 43 ± 1 | 13 ± 2 | 61 ± 3 | 38 ± 1 | 52 ± 2 | 20 ± 2 | 26 ± 2 | 5 ± 1 | |||
| Industrial upgrading | C1 | C3 | C2 | C4 | C6 | C5 | C8 | C7 | 16,216 | 0.00 *** |
| 0.138 ± 0.096 | 0.849 ± 0.117 | 0.443 ± 0.101 | 1.330 ± 0.183 | 3.536 ± 0.308 | 2.555 ± 0.342 | 15.5 ± 0.431 | 12.9 ± 0.377 | |||
| Population size | C2 | C3 | C4 | C5 | C1 | C6 | C7 | C8 | 4143 | 0.00 *** |
| 2455 ± 194 | 3613 ± 281 | 4550 ± 251 | 6142 ± 362 | 911 ± 321 | 7987 ± 458 | 9900 ± 285 | 12,058 ± 627 | |||
| Urban expansion | C2 | C1 | C3 | C4 | C6 | C5 | C7 | C8 | 6413 | 0.00 *** |
| 0.009 ± 0.002 | 0.002 ± 0.002 | 0.017 ± 0.003 | 0.034 ± 0.006 | 0.09 ± 0.006 | 0.068 ± 0.007 | 0.158 ± 0.001 | 0.195 ± 0.001 | |||
| Infrastructure level | C1 | C2 | C3 | C4 | C8 | C5 | C7 | C6 | 9654 | 0.00 *** |
| 0.3 ± 0.2 | 1.2 ± 0.3 | 2.6 ± 0.5 | 4.8 ± 0.4 | 31 ± 1 | 7 ± 1 | 26 ± 1 | 11 ± 1 | |||
| Environmental protection efforts | C2 | C3 | C1 | C4 | C5 | C6 | C7 | C8 | 1748 | 0.00 *** |
| 91 ± 11 | 126 ± 12 | 49 ± 15 | 176 ± 14 | 240 ± 19 | 317 ± 32 | 496 ± 45 | 747 ± 44 | |||
| Ecological Quality | Industrial Upgrading | Population Size | Urban Expansion | Infrastructure Level | Environmental Protection Efforts | ||
|---|---|---|---|---|---|---|---|
| Whole China | q statistic | 0.0204 | 0.0046 | 0.0180 | 0.0146 | 0.0166 | 0.0197 |
| p value | 0.0051 | 0.0100 | 0.0062 | 0.0098 | 0.0100 | 0.0080 | |
| Central China | q statistic | 0.1565 | 0.3160 | 0.2696 | 0.2677 | 0.2930 | 0.1961 |
| p value | 0.0092 | 0.0029 | 0.0062 | 0.0093 | 0.0099 | 0.0096 | |
| East China | q statistic | 0.0313 | 0.0323 | 0.0308 | 0.0289 | 0.0217 | 0.0405 |
| p value | 0.0096 | 0.0098 | 0.0099 | 0.0100 | 0.0098 | 0.0098 | |
| North China | q statistic | 0.1368 | 0.1454 | 0.0752 | 0.1475 | 0.1359 | 0.2195 |
| p value | 0.0057 | 0.0071 | 0.0086 | 0.0083 | 0.0079 | 0.0044 | |
| Northeast China | q statistic | 0.2053 | 0.0166 | 0.0572 | 0.1137 | 0.0826 | 0.2707 |
| p value | 0.0084 | 0.0099 | 0.0099 | 0.0099 | 0.0096 | 0.0074 | |
| Northwest China | q statistic | 0.1799 | 0.0566 | 0.0291 | 0.0366 | 0.0779 | 0.0423 |
| p value | 0.0025 | 0.0072 | 0.0099 | 0.0091 | 0.0061 | 0.0092 | |
| South China | q statistic | 0.1050 | 0.1506 | 0.1203 | 0.1211 | 0.0332 | 0.0807 |
| p value | 0.0100 | 0.0100 | 0.0100 | 0.0100 | 0.0100 | 0.0099 | |
| Southwest China | q statistic | 0.1880 | 0.0664 | 0.0802 | 0.1246 | 0.1651 | 0.1450 |
| p value | 0.0046 | 0.0097 | 0.0086 | 0.0096 | 0.0091 | 0.0040 |
Disclaimer/Publisher’s Note: The statements, opinions and data contained in all publications are solely those of the individual author(s) and contributor(s) and not of MDPI and/or the editor(s). MDPI and/or the editor(s) disclaim responsibility for any injury to people or property resulting from any ideas, methods, instructions or products referred to in the content. |
© 2025 by the authors. Licensee MDPI, Basel, Switzerland. This article is an open access article distributed under the terms and conditions of the Creative Commons Attribution (CC BY) license (https://creativecommons.org/licenses/by/4.0/).
Share and Cite
Ren, F.-R.; Sun, F.-Y.; Liu, X.-Y.; Liu, H.-L. Ecological Comprehensive Efficiency and Driving Mechanisms of China’s Water–Energy–Food System and Climate Change System Based on the Carbon Nexus: Insights from the Integration of Network DEA and the Geographic Detector. Land 2025, 14, 2042. https://doi.org/10.3390/land14102042
Ren F-R, Sun F-Y, Liu X-Y, Liu H-L. Ecological Comprehensive Efficiency and Driving Mechanisms of China’s Water–Energy–Food System and Climate Change System Based on the Carbon Nexus: Insights from the Integration of Network DEA and the Geographic Detector. Land. 2025; 14(10):2042. https://doi.org/10.3390/land14102042
Chicago/Turabian StyleRen, Fang-Rong, Fang-Yi Sun, Xiao-Yan Liu, and Hui-Lin Liu. 2025. "Ecological Comprehensive Efficiency and Driving Mechanisms of China’s Water–Energy–Food System and Climate Change System Based on the Carbon Nexus: Insights from the Integration of Network DEA and the Geographic Detector" Land 14, no. 10: 2042. https://doi.org/10.3390/land14102042
APA StyleRen, F.-R., Sun, F.-Y., Liu, X.-Y., & Liu, H.-L. (2025). Ecological Comprehensive Efficiency and Driving Mechanisms of China’s Water–Energy–Food System and Climate Change System Based on the Carbon Nexus: Insights from the Integration of Network DEA and the Geographic Detector. Land, 14(10), 2042. https://doi.org/10.3390/land14102042
