Comparative Analysis of Deep Learning and Traditional Methods for High-Resolution Cropland Extraction with Different Training Data Characteristics
Abstract
1. Introduction
2. Study Area and Data
2.1. Study Areas
2.2. Remote Sensing Data and Pre-Processing
2.3. Cropland Sample Dataset
3. Methodology
3.1. Classifier Algorithms
3.2. Experiment Design
3.2.1. Sample Dataset Creation
3.2.2. Sample Dataset Quality Control
3.2.3. Model Parameter Settings and Implementation
3.3. Model Evaluation
4. Results
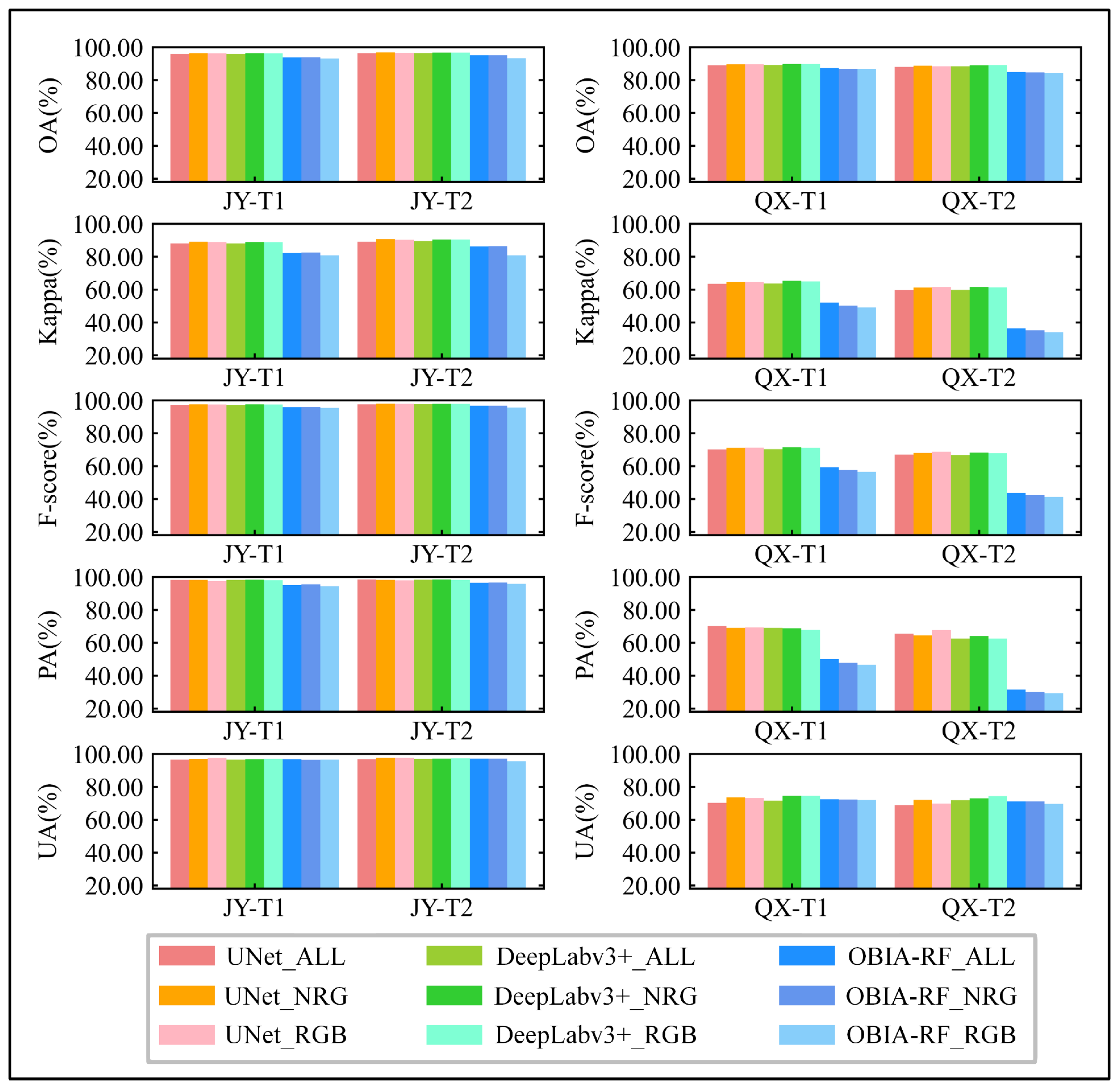
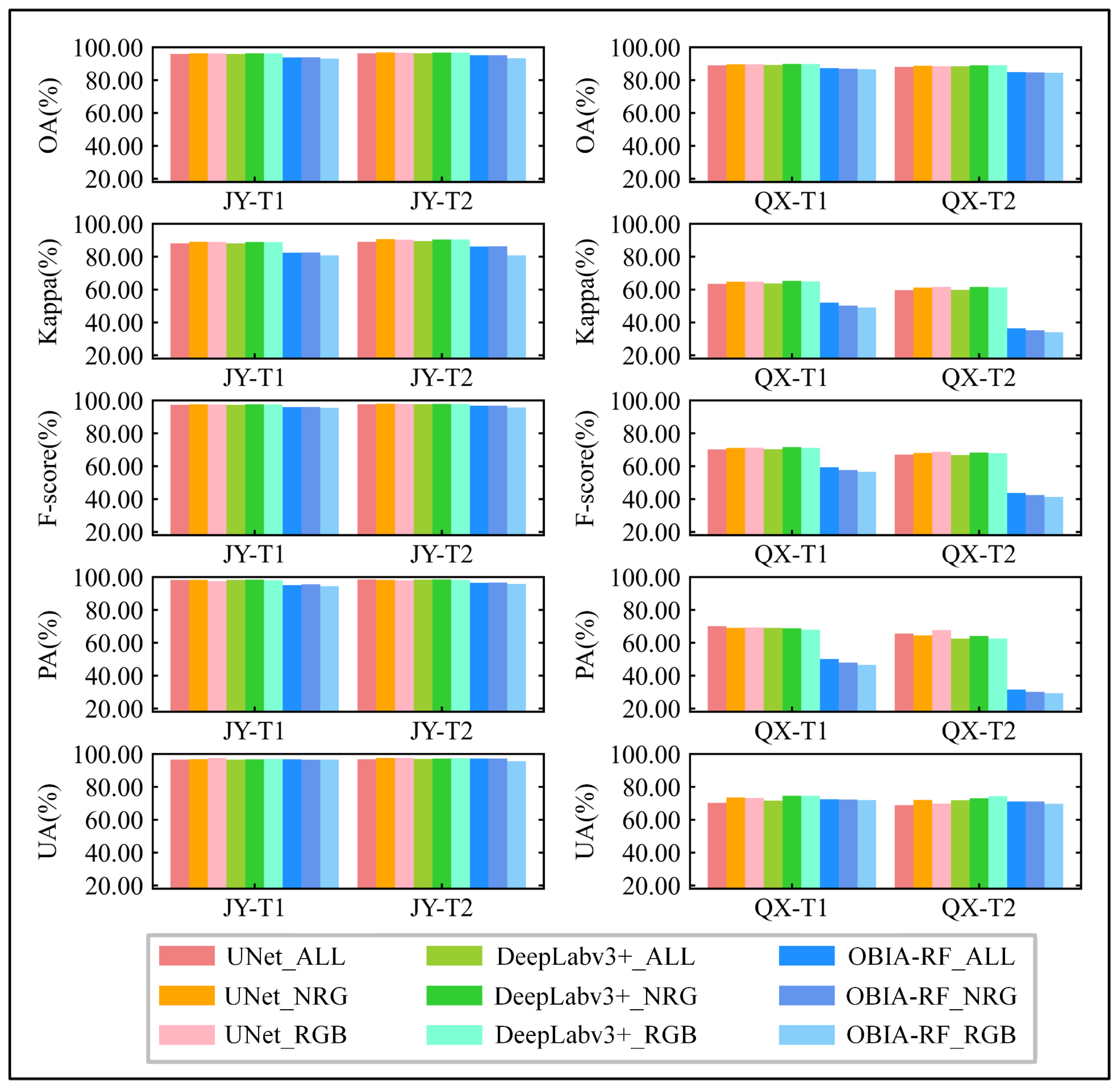
4.1. Effect of Classifier Selection on High-Resolution Cropland Extraction
4.2. Effect of Band Combination on High-Resolution Cropland Extraction
4.3. Effect of Temporal Characteristics on High-Resolution Cropland Extraction
4.4. Effect of Class Mislabeling on High-Resolution Cropland Extraction
5. Discussion
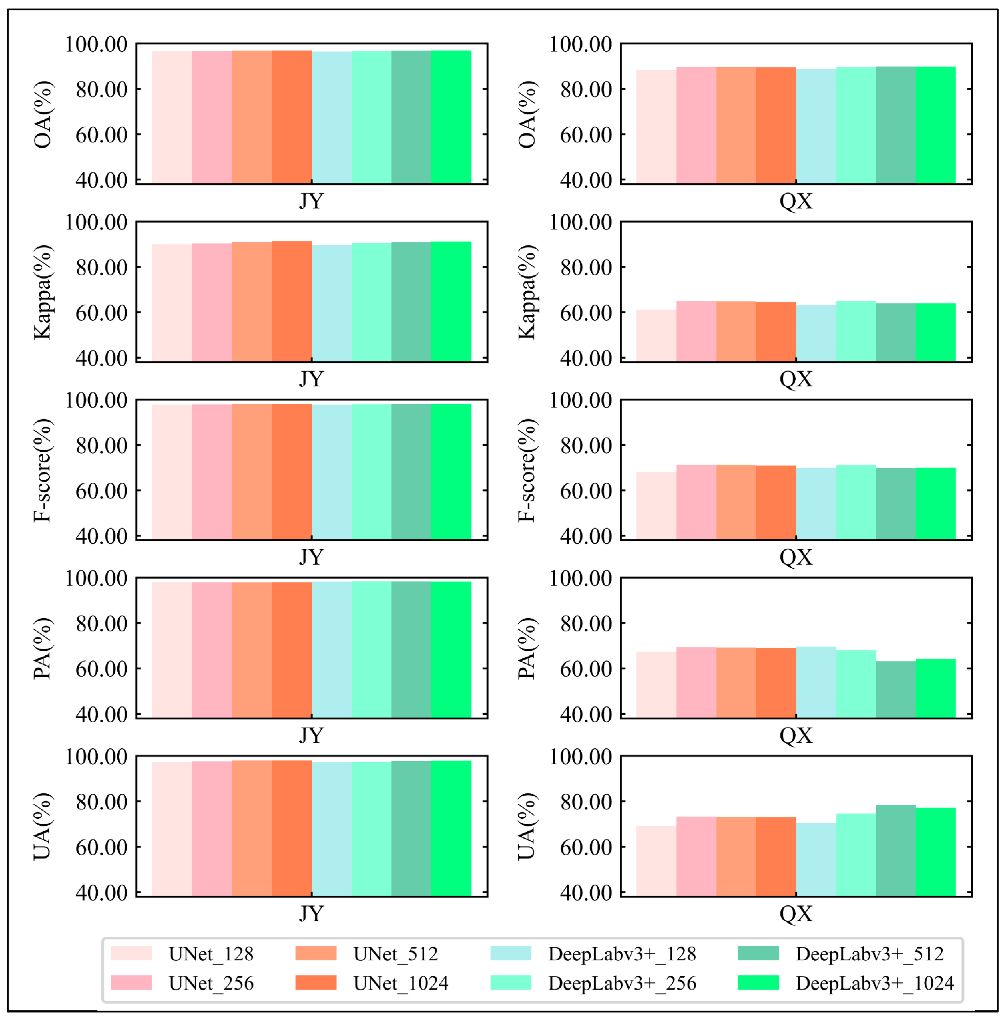
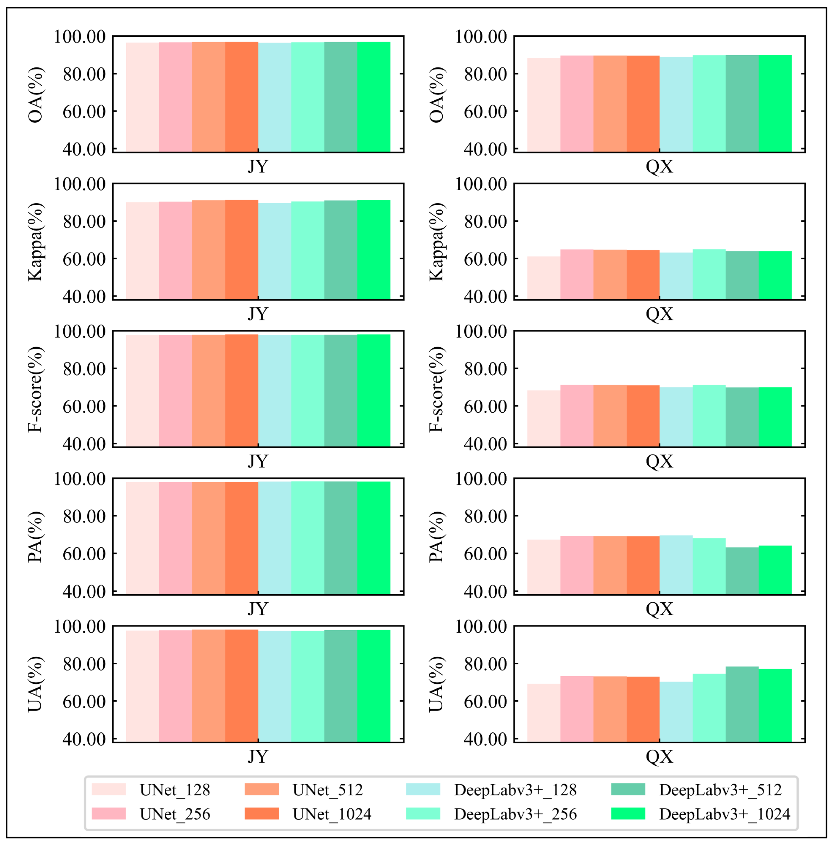
5.1. Analysis on Patch Size of Sample Blocks for Deep Learning Methods
5.2. Analysis on Data Augmentation for Deep Learning Methods
5.3. Analysis of Classifier Robustness
5.4. Applicability of Different Classifiers
5.5. Contributions and Limitations of the Current Study
6. Conclusions
- (1)
- The UNet and DeepLabv3+ models demonstrated superior performance to OBIA-RF for HRRS cropland extraction across various crop growth stages in both simple and complex agricultural landscapes, highlighting the advantages of DL algorithms in such applications. Furthermore, the performance evaluation conducted on a mixed sample dataset (containing samples from different agricultural landscapes and crop growth stages) showed that the DL models were more robust than OBIA-RF.
- (2)
- Different band combinations had negligible effects on the cropland extraction performance of the UNet and DeepLabv3+ models, indicating that these models could effectively learn deep abstract features and contextual semantic information and were insensitive to band combination changes. Conversely, OBIA-RF showed varying levels of accuracy across different band combinations. Specifically, Near-Infrared–Red–Green–Blue and Near-Infrared–Red–Green outperformed Red–Green–Blue, reflecting the significance of the NIR band’s information in cropland extraction when the OBIA-RF model was used.
- (3)
- From the perspective of temporal characteristics, the cropland mapping results were different when the corresponding RS images were from different crop growth stages, with smaller discrepancies in plain areas compared to mountainous regions between the vigorous and non-vigorous crop growth periods. Moreover, OBIA-RF was more sensitive to the temporal changes than UNet and DeepLabv3+.
- (4)
- In terms of class mislabeling on the high-resolution cropland extraction, the classification performance of all three models (UNet, DeepLabv3+ and OBIA-RF) remained relatively resilient to training data noise with up to 5% mislabeling. Beyond this threshold, the classification accuracy declined as the error rate increased. While UNet and DeepLabv3+ exhibited similar trends of performance degradation, OBIA-RF experienced a more significant drop in accuracy.
- (5)
- Data augmentation strategies for HRRS cropland extraction do not significantly improve the classification accuracy of UNet and DeepLabv3+. In complex mountainous areas, these strategies even reduced performance. Thus, it is advised that these strategies can be judiciously applied in practical applications. Furthermore, UNet and DeepLabv3+ had relatively low sensitivity to the patch size of sample blocks and the depth of the ResNet backbone.
Author Contributions
Funding
Data Availability Statement
Conflicts of Interest
References
- Patil, P.; Gumma, M.K. A review of the available land cover and cropland maps for South Asia. Agriculture 2018, 8, 111. [Google Scholar] [CrossRef]
- Zhao, J.; Chen, P.J.C. High-resolution cropland mapping in China’s Huang-Huai-Hai Plain: The coupling of machine learning methods and prior information. Comput. Electron. Agric. 2024, 224, 109225. [Google Scholar] [CrossRef]
- Karthikeyan, L.; Chawla, I.; Mishra, A.K. A review of remote sensing applications in agriculture for food security: Crop growth and yield, irrigation, and crop losses. J. Hydrol. 2020, 586, 124905. [Google Scholar] [CrossRef]
- LeCun, Y.; Bengio, Y.; Hinton, G. Deep learning. Nature 2015, 521, 436–444. [Google Scholar] [CrossRef] [PubMed]
- Zhang, X.; Zhou, Y.n.; Luo, J. Deep learning for processing and analysis of remote sensing big data: A technical review. Big Earth Data 2022, 6, 527–560. [Google Scholar] [CrossRef]
- Hosseiny, B.; Mahdianpari, M.; Hemati, M.; Radman, A.; Mohammadimanesh, F.; Chanussot, J. Beyond supervised learning in remote sensing: A systematic review of deep learning approaches. IEEE J. Sel. Top. Appl. Earth Obs. Remote Sens. 2023, 17, 1035–1052. [Google Scholar] [CrossRef]
- Zhang, L.; Zhang, L.; Du, B. Deep learning for remote sensing data: A technical tutorial on the state of the art. IEEE Geosci. Remote Sens. Mag. 2016, 4, 22–40. [Google Scholar] [CrossRef]
- Cao, F.; Xing, B.; Luo, J.; Li, D.; Qian, Y.; Zhang, C.; Bai, H.; Zhang, H. An Efficient Object Detection Algorithm Based on Improved YOLOv5 for High-Spatial-Resolution Remote Sensing Images. Remote Sens. 2023, 15, 3755. [Google Scholar] [CrossRef]
- Gui, S.; Song, S.; Qin, R.; Tang, Y. Remote sensing object detection in the deep learning era—A review. Remote Sens. 2024, 16, 327. [Google Scholar] [CrossRef]
- Tong, X.-Y.; Xia, G.-S.; Lu, Q.; Shen, H.; Li, S.; You, S.; Zhang, L. Land-cover classification with high-resolution remote sensing images using transferable deep models. Remote Sens. Environ. 2020, 237, 111322. [Google Scholar] [CrossRef]
- Li, Z.; Zhang, H.; Lu, F.; Xue, R.; Yang, G.; Zhang, L. Breaking the resolution barrier: A low-to-high network for large-scale high-resolution land-cover mapping using low-resolution labels. ISPRS J. Photogramm. Remote Sens. 2022, 192, 244–267. [Google Scholar] [CrossRef]
- Zhang, D.; Pan, Y.; Zhang, J.; Hu, T.; Zhao, J.; Li, N.; Chen, Q. A generalized approach based on convolutional neural networks for large area cropland mapping at very high resolution. Remote Sens. Environ. 2020, 247, 111912. [Google Scholar] [CrossRef]
- Li, J.; Wei, Y.; Wei, T.; He, W. A Comprehensive Deep-Learning Framework for Fine-Grained Farmland Mapping from High-Resolution Images. IEEE Trans. Geosci. Remote Sens. 2025, 63, 5601215. [Google Scholar] [CrossRef]
- Wang, Y.; Yang, M.; Zhang, T.; Hu, S.; Zhuang, Q. DAENet: A Deep Attention-Enhanced Network for Cropland Extraction in Complex Terrain from High-Resolution Satellite Imagery. Agriculture 2025, 15, 1318. [Google Scholar] [CrossRef]
- Che, H.; Pan, Y.; Xia, X.; Zhu, X.; Li, L.; Huang, Y.; Zheng, X.; Wang, L.J.G. A new transferable deep learning approach for crop mapping. GIScience Remote Sens. 2024, 61, 2395700. [Google Scholar] [CrossRef]
- Ronneberger, O.; Fischer, P.; Brox, T. U-net: Convolutional networks for biomedical image segmentation. In Proceedings of the Medical Image Computing and Computer-Assisted Intervention–MICCAI 2015: 18th International Conference, Munich, Germany, 5–9 October 2015; Proceedings, Part III 18. 2015; pp. 234–241. [Google Scholar]
- Chen, L.-C.; Zhu, Y.; Papandreou, G.; Schroff, F.; Adam, H. Encoder-decoder with atrous separable convolution for semantic image segmentation. In Proceedings of the European Conference on Computer Vision (ECCV), Munich, Germany, 8–14 September 2018; pp. 801–818. [Google Scholar]
- Peng, L.; Chen, X.; Chen, J.; Zhao, W.; Cao, X. Understanding the Role of Receptive Field of Convolutional Neural Network for Cloud Detection in Landsat 8 OLI Imagery. IEEE Trans. Geosci. Remote Sens. 2022, 60, 5407317. [Google Scholar] [CrossRef]
- Zhu, Y.; Pan, Y.; Hu, T.; Zhang, D.; Zhao, C.; Gao, Y. A generalized framework for agricultural field delineation from high-resolution satellite imageries. Int. J. Digit. Earth 2024, 17, 2297947. [Google Scholar] [CrossRef]
- Zhang, G.; Roslan, S.N.A.b.; Wang, C.; Quan, L. Research on land cover classification of multi-source remote sensing data based on improved U-net network. Sci. Rep. 2023, 13, 16275. [Google Scholar] [CrossRef] [PubMed]
- Xiao, L.; Wang, J.; Yang, K.; Zhou, H.; Meng, Q.; He, Y.; Shen, S. SE-ResUNet Using Feature Combinations: A Deep Learning Framework for Accurate Mountainous Cropland Extraction Using Multi-Source Remote Sensing Data. Land 2025, 14, 937. [Google Scholar] [CrossRef]
- Zhang, W.; Guo, S.; Zhang, P.; Xia, Z.; Zhang, X.; Lin, C.; Tang, P.; Fang, H.; Du, P. A novel knowledge-driven automated solution for high-resolution cropland extraction by cross-scale sample transfer. IEEE Trans. Geosci. Remote Sens. 2023, 61, 4406816. [Google Scholar] [CrossRef]
- Jia, X.; Hao, Z.; Sun, L.; Yang, Q.; Wang, Z.; Yin, Z.; Shi, L.; Li, X.; Du, Y.; Ling, F. Super-Resolution Cropland Mapping by Spectral and Spatial Training Samples Simulation. IEEE Trans. Geosci. Remote Sens. 2025, 63, 4405515. [Google Scholar] [CrossRef]
- Waldner, F.; Canto, G.S.; Defourny, P. Automated annual cropland mapping using knowledge-based temporal features. ISPRS J. Photogramm. Remote Sens. 2015, 110, 1–13. [Google Scholar] [CrossRef]
- Pelletier, C.; Valero, S.; Inglada, J.; Champion, N.; Marais Sicre, C.; Dedieu, G. Effect of training class label noise on classification performances for land cover mapping with satellite image time series. Remote Sens. 2017, 9, 173. [Google Scholar] [CrossRef]
- Garcia, L.P.; de Carvalho, A.C.; Lorena, A.C. Effect of label noise in the complexity of classification problems. Neurocomputing 2015, 160, 108–119. [Google Scholar] [CrossRef]
- Zhu, X.; Wu, X. Class noise vs. attribute noise: A quantitative study. Artif. Intell. Rev. 2004, 22, 177–210. [Google Scholar] [CrossRef]
- Frénay, B.; Verleysen, M. Classification in the presence of label noise: A survey. IEEE Trans. Neural Netw. Learn. Syst. 2013, 25, 845–869. [Google Scholar] [CrossRef]
- Foody, G.M.; Pal, M.; Rocchini, D.; Garzon-Lopez, C.X.; Bastin, L. The sensitivity of mapping methods to reference data quality: Training supervised image classifications with imperfect reference data. ISPRS Int. J. Geo-Inf. 2016, 5, 199. [Google Scholar] [CrossRef]
- Rogan, J.; Franklin, J.; Stow, D.; Miller, J.; Woodcock, C.; Roberts, D. Mapping land-cover modifications over large areas: A comparison of machine learning algorithms. Remote Sens. Environ. 2008, 112, 2272–2283. [Google Scholar] [CrossRef]
- Mellor, A.; Boukir, S.; Haywood, A.; Jones, S. Exploring issues of training data imbalance and mislabelling on random forest performance for large area land cover classification using the ensemble margin. ISPRS J. Photogramm. Remote Sens. 2015, 105, 155–168. [Google Scholar] [CrossRef]
- Yaramasu, R.; Bandaru, V.; Pnvr, K. Pre-season crop type mapping using deep neural networks. Comput. Electron. Agric. 2020, 176, 105664. [Google Scholar] [CrossRef]
- Dong, R.; Fang, W.; Fu, H.; Gan, L.; Wang, J.; Gong, P. High-Resolution Land Cover Mapping Through Learning With Noise Correction. IEEE Trans. Geosci. Remote Sens. 2022, 60, 4402013. [Google Scholar] [CrossRef]
- Ning, H.; Li, Z.; Wang, C.; Yang, L. Choosing an appropriate training set size when using existing data to train neural networks for land cover segmentation. Ann. GIS 2020, 26, 329–342. [Google Scholar] [CrossRef]
- DeFries, R.; Chan, J.C.-W. Multiple criteria for evaluating machine learning algorithms for land cover classification from satellite data. Remote Sens. Environ. 2000, 74, 503–515. [Google Scholar] [CrossRef]
- Rodriguez-Galiano, V.F.; Ghimire, B.; Rogan, J.; Chica-Olmo, M.; Rigol-Sanchez, J.P. An assessment of the effectiveness of a random forest classifier for land-cover classification. ISPRS J. Photogramm. Remote Sens. 2012, 67, 93–104. [Google Scholar] [CrossRef]
- Maggiori, E.; Tarabalka, Y.; Charpiat, G.; Alliez, P. Convolutional neural networks for large-scale remote-sensing image classification. IEEE Trans. Geosci. Remote Sens. 2016, 55, 645–657. [Google Scholar] [CrossRef]
- Kaiser, P.; Wegner, J.D.; Lucchi, A.; Jaggi, M.; Hofmann, T.; Schindler, K. Learning aerial image segmentation from online maps. IEEE Trans. Geosci. Remote Sens. 2017, 55, 6054–6068. [Google Scholar] [CrossRef]
- Census Data of Juye. Available online: http://www.juye.gov.cn/ (accessed on 15 April 2017).
- Zhao, J.; Sun, X.; Wang, M.; Li, G.; Hou, X. Crop mapping and quantitative evaluation of cultivated land use intensity in Shandong Province, 2018–2022. Land Degrad. Dev. 2024, 35, 4648–4665. [Google Scholar] [CrossRef]
- Census Data of Qixia. Available online: http://www.sdqixia.gov.cn/ (accessed on 15 August 2018).
- Xu, Q.; Yang, G.; Long, H.; Wang, C. Crop discrimination in shandong province based on phenology analysis of multi-year time series. Intell. Autom. Soft Comput. 2013, 19, 513–523. [Google Scholar] [CrossRef]
- Laben, C.A.; Brower, B.V. Process for Enhancing the Spatial Resolution of Multispectral Imagery Using Pan-Sharpening. U.S. Patent 6,011,875, 4 January 2000. [Google Scholar]
- Hashemi-Beni, L.; Gebrehiwot, A. Deep learning for remote sensing image classification for agriculture applications. Int. Arch. Photogramm. Remote Sens. Spat. Inf. Sci. 2020, XLIV-M-2-2020, 51–54. [Google Scholar] [CrossRef]
- Wang, X.; Jing, S.; Dai, H.; Shi, A. High-resolution remote sensing images semantic segmentation using improved UNet and SegNet. Comput. Electr. Eng. 2023, 108, 108734. [Google Scholar] [CrossRef]
- Xu, C.; Gao, M.; Yan, J.; Jin, Y.; Yang, G.; Wu, W. MP-Net: An efficient and precise multi-layer pyramid crop classification network for remote sensing images. Comput. Electron. Agric. 2023, 212, 108065. [Google Scholar] [CrossRef]
- He, K.; Zhang, X.; Ren, S.; Sun, J. Deep residual learning for image recognition. In Proceedings of the IEEE Conference on Computer Vision and Pattern Recognition, Las Vegas, NV, USA, 27–30 June 2016; pp. 770–778. [Google Scholar]
- Ma, L.; Li, M.; Ma, X.; Cheng, L.; Du, P.; Liu, Y. A review of supervised object-based land-cover image classification. ISPRS J. Photogramm. Remote Sens. 2017, 130, 277–293. [Google Scholar] [CrossRef]
- Pal, M. Random forest classifier for remote sensing classification. Int. J. Remote Sens. 2005, 26, 217–222. [Google Scholar] [CrossRef]
- Kingma, D.P.; Ba, J. Adam: A method for stochastic optimization. In Proceedings of the International Conference on Learning Representations, San Diego, CA, USA, 7–9 May 2015. [Google Scholar]
- Shorten, C.; Khoshgoftaar, T.M. A survey on image data augmentation for deep learning. J. Big Data 2019, 6, 60. [Google Scholar] [CrossRef]
- Yang, L.; Huang, R.; Huang, J.; Lin, T.; Wang, L.; Mijiti, R.; Wei, P.; Tang, C.; Shao, J.; Li, Q.; et al. Semantic segmentation based on temporal features: Learning of temporal–spatial information from time-series SAR images for paddy rice mapping. IEEE Trans. Geosci. Remote Sens. 2021, 60, 4403216. [Google Scholar] [CrossRef]










| Launch Time | Global Observation Cycle | Repeat Observation Cycle | Swath Width (km) | Spatial Resolution (m) | Wavelength (nm) |
|---|---|---|---|---|---|
| 26 April 2013 | 41 days | 4 days | 60 | PAN: 2 MS: 8 | PAN: 450–900 Blue: 450–520 Green: 520–590 Red: 630–690 Infrared: 770–890 |
| Study Area | Terrain Characteristic | Coverage (km2) | Satellite Sensor | Acquisition Date |
|---|---|---|---|---|
| Juye | Plain area | 1302 | GF-1 | 20 October 2015 (T1) 1 April 2016 (T2) |
| Qixia | Mountainous area | 1793 | GF-1 | 25 June 2016 (T1) 22 August 2016 (T2) |
| UNet | DeepLabv3+_ | OBIA-RF | |||
|---|---|---|---|---|---|
| JY-T1 | ALL | OA | 95.92% | 95.93% | 93.72% |
| Kappa | 88.11% | 88.13% | 82.45% | ||
| F1-score | 97.38% | 97.39% | 95.90% | ||
| PA | 98.21% | 98.26% | 95.09% | ||
| UA | 96.57% | 96.54% | 96.73% | ||
| NRG | OA | 96.21% | 96.20% | 93.81% | |
| Kappa | 88.99% | 88.95% | 82.56% | ||
| F1-score | 97.57% | 97.57% | 95.98% | ||
| PA | 98.28% | 98.39% | 95.52% | ||
| UA | 96.86% | 96.75% | 96.45% | ||
| RGB | OA | 96.10% | 96.12% | 93.08% | |
| Kappa | 88.89% | 88.76% | 80.80% | ||
| F1-score | 97.48% | 97.50% | 95.48% | ||
| PA | 97.49% | 98.10% | 94.39% | ||
| UA | 97.47% | 96.92% | 96.59% | ||
| JY-T2 | ALL | OA | 96.26% | 96.38% | 95.10% |
| Kappa | 89.07% | 89.50% | 86.15% | ||
| F1-score | 97.60% | 97.68% | 96.82% | ||
| PA | 98.54% | 98.39% | 96.48% | ||
| UA | 96.68% | 96.98% | 97.16% | ||
| NRG | OA | 96.78% | 96.68% | 95.14% | |
| Kappa | 90.74% | 90.37% | 86.24% | ||
| F1-score | 97.93% | 97.87% | 96.85% | ||
| PA | 98.28% | 98.54% | 96.57% | ||
| UA | 97.57% | 97.21% | 97.13% | ||
| RGB | OA | 96.60% | 96.66% | 93.28% | |
| Kappa | 90.25% | 90.37% | 80.80% | ||
| F1-score | 97.80% | 97.85% | 95.66% | ||
| PA | 98.00% | 98.34% | 95.77% | ||
| UA | 97.61% | 97.37% | 95.55% | ||
| QX-T1 | ALL | OA | 88.90% | 89.14% | 87.17% |
| Kappa | 63.40% | 63.68% | 51.95% | ||
| F1-score | 70.21% | 70.32% | 59.27% | ||
| PA | 70.21% | 69.07% | 50.12% | ||
| UA | 70.25% | 71.64% | 72.50% | ||
| NRG | OA | 89.56% | 89.79% | 86.85% | |
| Kappa | 64.76% | 65.30% | 50.13% | ||
| F1-score | 71.12% | 71.51% | 57.53% | ||
| PA | 69.07% | 68.77% | 47.81% | ||
| UA | 73.43% | 74.49% | 72.21% | ||
| RGB | OA | 89.57% | 89.71% | 86.65% | |
| Kappa | 64.83% | 64.87% | 49.05% | ||
| F1-score | 71.20% | 71.11% | 56.50% | ||
| PA | 69.25% | 67.99% | 46.54% | ||
| UA | 73.29% | 74.56% | 71.90% | ||
| QX-T2 | ALL | OA | 87.98% | 88.41% | 84.86% |
| Kappa | 59.67% | 59.77% | 36.38% | ||
| F1-score | 67.00% | 66.75% | 43.65% | ||
| PA | 65.60% | 62.50% | 31.49% | ||
| UA | 68.81% | 71.74% | 71.11% | ||
| NRG | OA | 88.70% | 88.90% | 84.70% | |
| Kappa | 61.13% | 61.58% | 35.13% | ||
| F1-score | 67.97% | 68.27% | 42.33% | ||
| PA | 64.41% | 64.09% | 30.14% | ||
| UA | 71.99% | 73.04% | 71.06% | ||
| RGB | OA | 88.49% | 88.98% | 84.45% | |
| Kappa | 61.60% | 61.27% | 33.98% | ||
| F1-score | 68.64% | 67.86% | 41.27% | ||
| PA | 67.63% | 62.46% | 29.32% | ||
| UA | 69.77% | 74.34% | 69.62% |
| Error Type | Noise Level | ||||||
|---|---|---|---|---|---|---|---|
| I | II | III | IV | V | VI | VII | |
| Juye | |||||||
| Over-labeling | 0.003 | 0.016 | 0.031 | 0.061 | 0.092 | 0.124 | 0.154 |
| Under-labeling | 0.007 | 0.034 | 0.069 | 0.139 | 0.208 | 0.276 | 0.346 |
| Mix-labeling | 0.010 | 0.050 | 0.100 | 0.200 | 0.300 | 0.400 | 0.500 |
| Qixia | |||||||
| Over-labeling | 0.008 | 0.041 | 0.082 | 0.164 | 0.245 | 0.326 | 0.408 |
| Under-labeling | 0.002 | 0.009 | 0.018 | 0.036 | 0.055 | 0.074 | 0.092 |
| Mix-labeling | 0.010 | 0.050 | 0.100 | 0.200 | 0.300 | 0.400 | 0.500 |
| UNet_OD | UNet_AD | DeepLabv3+_OD | DeepLabv3+_AD | ||
|---|---|---|---|---|---|
| Juye | OA | 96.60% | 96.72% | 96.66% | 96.85% |
| Kappa | 90.25% | 90.61% | 90.37% | 90.96% | |
| F1-score | 97.80% | 97.88% | 97.85% | 97.97% | |
| PA | 98.00% | 98.01% | 98.34% | 98.25% | |
| UA | 97.61% | 97.75% | 97.37% | 97.70% | |
| Qixia | OA | 89.57% | 89.36% | 89.71% | 89.49% |
| Kappa | 64.83% | 64.17% | 64.87% | 64.23% | |
| F1-score | 71.20% | 70.66% | 71.11% | 70.61% | |
| PA | 69.25% | 68.83% | 67.99% | 67.75% | |
| UA | 73.29% | 72.67% | 74.56% | 73.74% |
| Study Area | Computation Time (h) | |||
|---|---|---|---|---|
| OBIA-RF | UNet | DeepLabv3+ | ||
| Train | Juye | 0.38 | 4.57 | 4.71 |
| Qixia | 0.88 | 7.76 | 8.00 | |
| Inference | Juye | 0.01 | 0.03 | 0.04 |
| Qixia | 0.02 | 0.04 | 0.05 | |
Disclaimer/Publisher’s Note: The statements, opinions and data contained in all publications are solely those of the individual author(s) and contributor(s) and not of MDPI and/or the editor(s). MDPI and/or the editor(s) disclaim responsibility for any injury to people or property resulting from any ideas, methods, instructions or products referred to in the content. |
© 2025 by the authors. Licensee MDPI, Basel, Switzerland. This article is an open access article distributed under the terms and conditions of the Creative Commons Attribution (CC BY) license (https://creativecommons.org/licenses/by/4.0/).
Share and Cite
Zhang, D.; Zhu, X.; Pan, Y.; Guo, H.; Li, Q.; Wei, H. Comparative Analysis of Deep Learning and Traditional Methods for High-Resolution Cropland Extraction with Different Training Data Characteristics. Land 2025, 14, 2038. https://doi.org/10.3390/land14102038
Zhang D, Zhu X, Pan Y, Guo H, Li Q, Wei H. Comparative Analysis of Deep Learning and Traditional Methods for High-Resolution Cropland Extraction with Different Training Data Characteristics. Land. 2025; 14(10):2038. https://doi.org/10.3390/land14102038
Chicago/Turabian StyleZhang, Dujuan, Xiufang Zhu, Yaozhong Pan, Hengliang Guo, Qiannan Li, and Haitao Wei. 2025. "Comparative Analysis of Deep Learning and Traditional Methods for High-Resolution Cropland Extraction with Different Training Data Characteristics" Land 14, no. 10: 2038. https://doi.org/10.3390/land14102038
APA StyleZhang, D., Zhu, X., Pan, Y., Guo, H., Li, Q., & Wei, H. (2025). Comparative Analysis of Deep Learning and Traditional Methods for High-Resolution Cropland Extraction with Different Training Data Characteristics. Land, 14(10), 2038. https://doi.org/10.3390/land14102038

