Rural Transformation in Northern Anhui, China: Spatio-Temporal Patterns and Driving Mechanisms in Traditional Agricultural Areas
Abstract
1. Introduction
2. Materials and Methods
2.1. Study Area
2.2. Data Collection
2.3. Methods
2.3.1. Selection of Indicators for Evaluating the Level of Rural Transformation and Development
2.3.2. Interpolation Method
2.3.3. Calculation of Portfolio Weights Using AHP–Entropy Method
- (1)
- Indicators were standardized using the extreme value standardization method. The formulae are as follows:
- (2)
- Calculate the share of the ith program for the jth indicator
- (3)
- Calculate the entropy value of the jth indicator Ej:
- (4)
- Calculate the weight of the jth indicator Wj:
- (5)
- Linear weighting by the AHP–entropy method. Determine the comprehensive weights of the evaluation indicators:
- (6)
- To measure the comprehensive level of rural transformation development (RTD) for each county and district, the following formula is applied:
2.3.4. Classification of Development Levels
2.3.5. Calculation of Exploratory Spatial Data Analysis
- (1)
- Global spatial autocorrelation is used to characterize the overall spatial dependence of an attribute within a study area, reflecting its tendency to cluster or diverge over the entire spatial scale [42]. The formula is as follows:
- (2)
- Local spatial autocorrelation reveals the spatial heterogeneity of the study area by measuring the local spatial correlation between each spatial unit and its neighboring units, so as to accurately identify significant agglomerations and anomalous units at the local scale. The formula is as follows:
2.3.6. Selection of Indicators for Rural Transformation Factors
2.3.7. Geodetector Analysis
3. Results
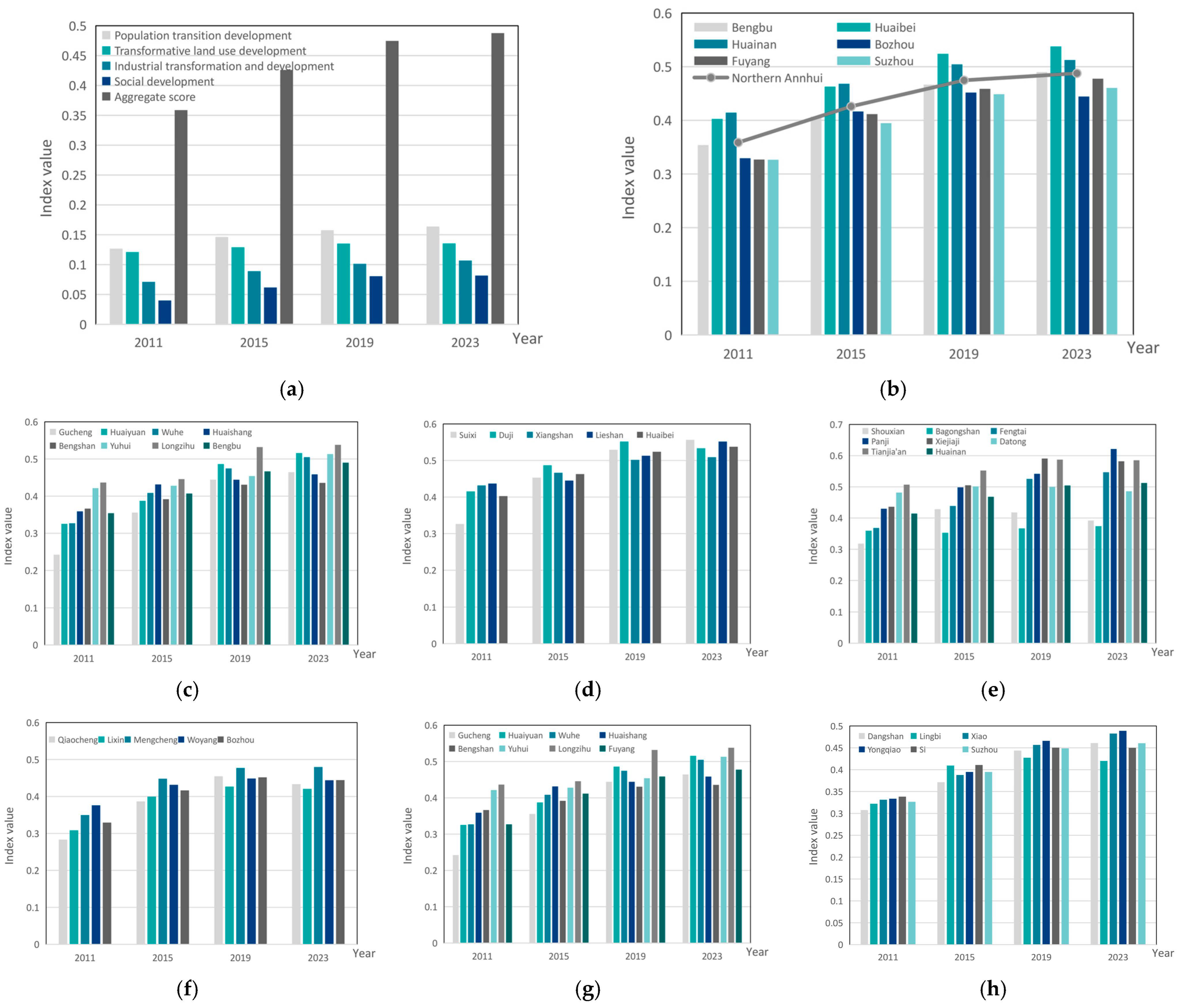
3.1. Temporal and Spatial Patterns of Transformation and Development in Rural Villages of Northern Anhui
3.1.1. Time Characteristics
3.1.2. Spatial Characteristics
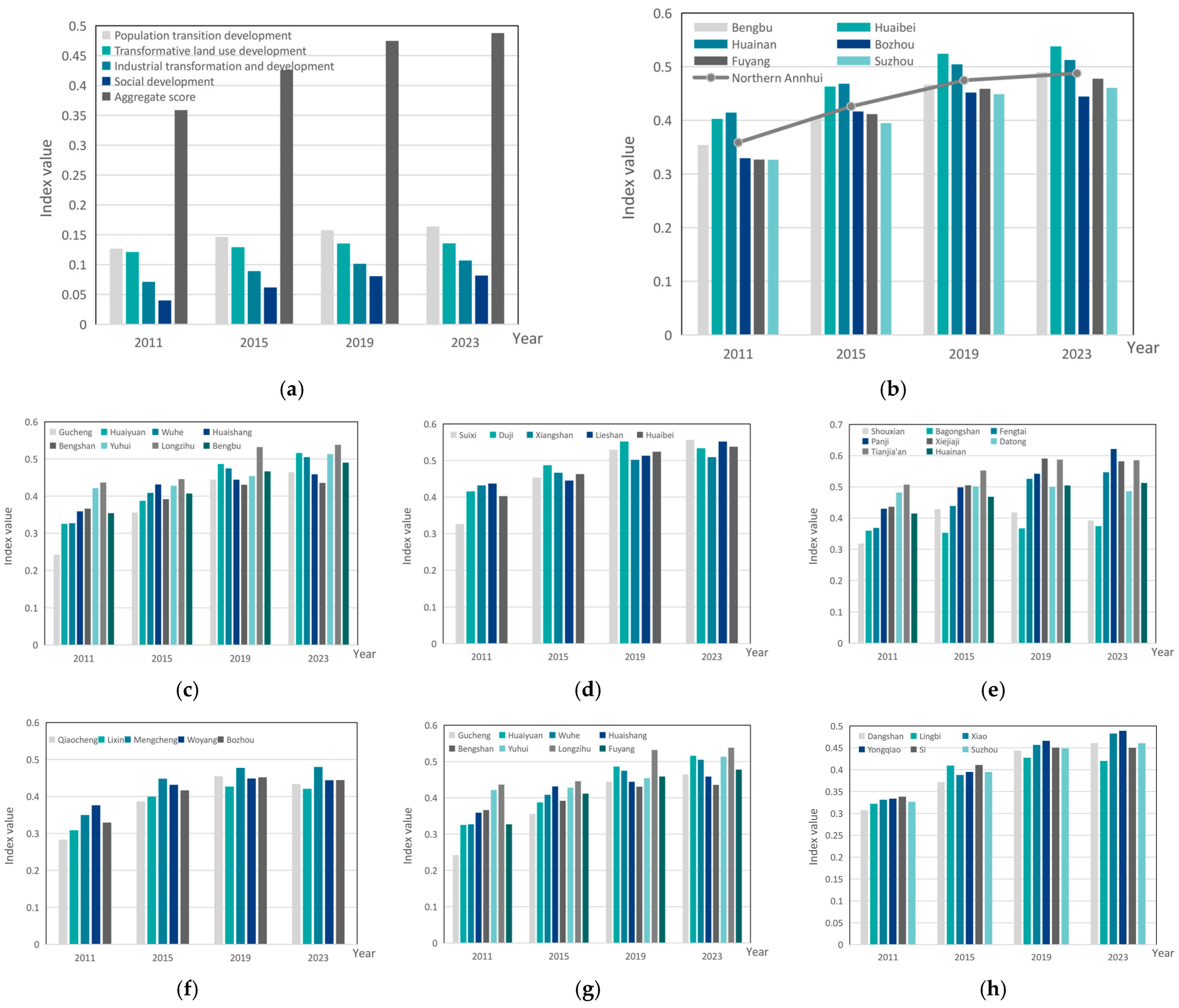
3.1.3. Evolutionary Characteristics of Global Spatial Patterns
3.1.4. Characteristics of Local Spatial Pattern Evolution
3.2. Analysis of Influence Mechanism
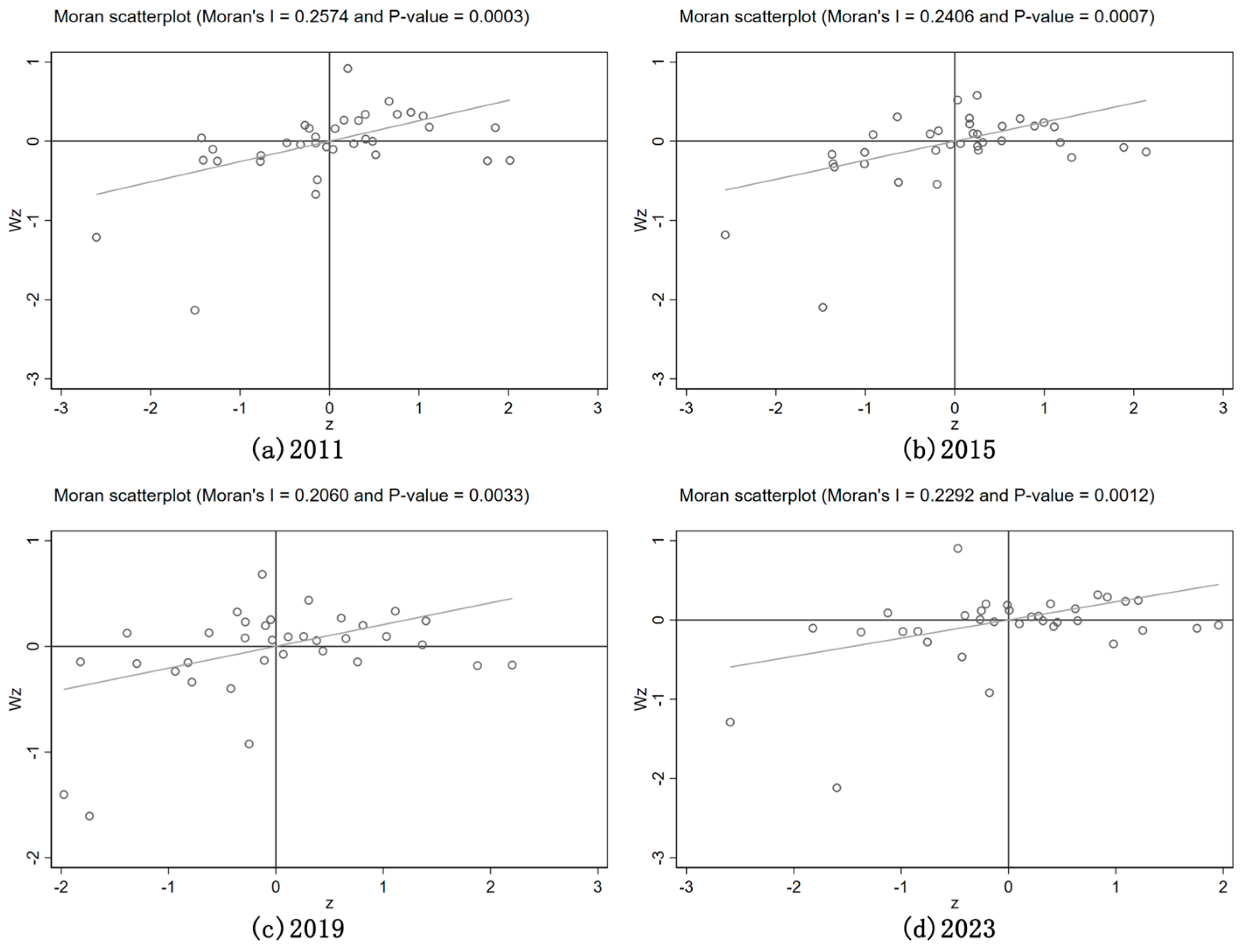
3.2.1. Factor Detection
3.2.2. Interaction Detection
4. Discussion
4.1. Theoretical and Methodological Novelty
4.2. Interpretation and Comparison of Key Findings
4.3. Policy Implications and International Relevance
- (1).
- Targeted investment: Strategic investment in infrastructure, agricultural science and technology, and rural public services, especially in areas with low market incentives, is needed to drive transformation;
- (2).
- Integration of agricultural modernization and industrial diversification: while improving agricultural production efficiency, selective industrial and tertiary industries are used to create non-farm employment, echoing the multi-factor “synergy” mechanism;
- (3).
- The importance of spatial planning: relying on high-value growth poles, strengthening their linkages with neighboring regions, and promoting regional balance;
- (4).
- Multi-factor integrated approach: successful transformation relies on synergizing the drivers of investment, industry, infrastructure, and human capital, rather than on isolated interventions by a single sector.
4.4. Limitations and Future Research Prospects
5. Conclusions
- (1).
- Stable but differentiated transformation: Over the past decade, the level of rural transformation in the Northern Anhui region has shown a clear and overall upward trend (over 35% growth). However, the spatial pattern has been uneven, with a predominantly low level in the early period gradually evolving into a structure of “high in the center and low in the periphery”, and the differences between counties have narrowed;
- (2).
- Spatial dependence: There is a strong positive spatial autocorrelation in Northern Anhui, and the local spatial analysis reveals a stable pattern of coexistence of high-value aggregation and low-value aggregation zones, reflecting the influence of initial conditions and spatial spillovers;
- (3).
- Importance of driving factors and synergistic mechanisms: investment efficiency, economic level, industrialization, and transportation accessibility are the key factors driving the transformation. Factor interactions show a nonlinear enhancement effect, indicating that multi-factor synergy is a more important driver than a single factor, and that transformation needs to rely on integrated policies rather than isolated measures.
Author Contributions
Funding
Institutional Review Board Statement
Informed Consent Statement
Data Availability Statement
Conflicts of Interest
References
- Liu, Y.S. Rural Transformation Development and New Countryside Reconstruction in Eastern Coastal China. Acta Geogr. Sin. 2007, 62, 563–570. [Google Scholar]
- Zhang, Q.; Zhang, H.C.; Liu, Z.F. Rural Revitalization: Strategic Choice from Decline to Revival. Econ. Manag. 2018, 32, 6–11. [Google Scholar]
- He, Y.X. Theoretical Connotation and Practical Mode of Rural Transformation in China. Agric. Econ. J. 2023, 433, 37–39. [Google Scholar]
- Li, Y.H.; Yan, J.Y.; Wu, W.H.; Liu, Y.S. Transformation History and Sustainable Development Outlook of the World’s Countryside. Adv. Geosci. 2018, 37, 627–635. [Google Scholar]
- Han, F.; Cai, J.M. The Morphological Evolution and Reconstruction of Rural Settlements in Semi-Urbanized Areas of China. Geogr. Res. 2011, 30, 1271–1284. [Google Scholar]
- Hao, H.; Xin, L. International Experience of Integrated Development of Rural Tertiary Industry and Its Enlightenment to China. Agric. Econ. J. 2023, 12, 107–109. [Google Scholar]
- Du, Y.H. The Inner Logic and Governance Mechanism of Urban-Rural Economic Imbalance. Ph.D. Thesis, Southwest University of Finance and Economics, Chengdu, China, 2022. [Google Scholar] [CrossRef]
- Sun, J.W.; Liu, Y.S.; Gao, D.Z.; Lu, Y.Q.; Niu, B. Synergistic Mechanism of Comprehensive Land Management and Rural Transformation and Development in Plains Agricultural Areas. J. Geogr. 2022, 77, 1971–1986. [Google Scholar]
- Yang, H.; Zhai, S.X.; Wang, Y.Q. Empowering the Transformation of Rural Industries through Comprehensive Land Consolidation: Theoretical Logic and Practical Pathways. Planners 2025, 41, 48–55. [Google Scholar]
- Liu, Y.S.; Yang, R. Measuring the Transformation Pattern of Urban-Rural Development in China’s Bohai Rim. J. Geogr. 2015, 70, 248–256. [Google Scholar]
- Long, H.L.; Chen, K.Q. Land Use Transformation and Urban-Rural Integration Development Based on Land System Science. J. Geogr. 2021, 76, 295–309. [Google Scholar]
- Long, H.L. Land Use Transitions and Rural Restructuring in China; Springer: Singapore, 2020. [Google Scholar]
- Hu, S.G.; Tong, L.Y.; Long, H.R. On the Theoretical Framework of Land Use Transformation Potential and Its Evaluation. Geogr. Res. 2019, 38, 1367–1377. [Google Scholar]
- Su, K.C.; Yang, Q.Y.; Zhang, B.L.; Zhang, Z.X. The Coupling Mechanism Between Rural Land Use Transition and Small-Scale Peasant Economy Change in Mountainous Areas. Geogr. Res. 2019, 38, 2593–2602. [Google Scholar]
- Yang, R.; Chen, Y.C.; Gong, J.Z. Sorting out the rural development process and geographical patterns in the Pearl River Delta region under the perspective of transformation. Geogr. Res. 2019, 38, 725–740. [Google Scholar]
- Long, H.; Qu, Y. Land use transitions and land management: A mutual feedback perspective. Land Use Policy 2018, 74, 111–120. [Google Scholar] [CrossRef]
- Tu, S.S.; Long, H.L.; Zhang, Y.N.; Ge, D.Z.; Qu, Y. Rural restructuring at village level under rapid urbanization in metropolitan suburbs of China and its implications for innovations in land use policy. Habitat Int. 2018, 77, 143–152. [Google Scholar] [CrossRef]
- Woods, M. Rural cosmopolitanism at the frontier? Chinese farmers and community relations in northern Queensland, c. 1890–1920. Aust. Geogr. 2018, 49, 107–131. [Google Scholar] [CrossRef]
- Sudaryanto, T.; Purba, H.J.; Rachmawati, R.R.; Erwidodo; Dermoredjo, S.K.; Yusuf, E.S.; Nuryantono, N.; Pasaribu, S.H.; Amalia, S.; Amin, M. Three decades of agricultural and rural transformation in Indonesia. IOP Conf. Ser. Earth Environ. Sci. 2021, 892, 012056. [Google Scholar] [CrossRef]
- Yang, R.; Liu, Y.S.; Long, H.L. Characteristics of synergistic evolution of population-land-industry non-agriculturalisation transition in China’s Bohai Rim. Geogr. Res. 2015, 34, 475–486. [Google Scholar]
- Cheng, M.Y.; Liu, Y.S. Spatial Pattern of Non-Agriculturalised Land and Its Influencing Factors in the Huanghuaihai Plain. Geogr. Res. Dev. 2019, 38, 170–176. [Google Scholar]
- Zheng, Z.Y.; Liao, H.P.; Yang, W.; Zhao, Z.Y. On Type Division and Pattern Characteristics of the Rural Areas in Chongqing—Based on the Rural Development Level and Transition Assessment. J. Southwest Univ. Nat. Sci. Ed. 2018, 40, 104–112. [Google Scholar]
- Li, T.T.; Long, H.L. Spatio-Temporal Pattern of Rural Transformation and Development in Shandong Province. Geogr. Res. 2014, 33, 490–500. [Google Scholar]
- Liu, S.F.; Dai, W.Y.; Bao, X.Y.; Huang, W.L.; Wu, G.S. Characteristics of the Evolution of Spatio-Temporal Pattern of Rural Transformation and Development in Developed Coastal Areas: Taking Southeast Fujian as an Example. Hum. Geogr. 2023, 38, 139–147. [Google Scholar]
- Shi, Y.Z.; Zhao, L.L.; Zhao, X.Y.; Lan, H.X. Spatio-Temporal Pattern and Evolution Mechanism of Rural Transformation Based on Institutional Transformation: Taking Yuzhong County of Gansu Province as an Example. Prog. Geogr. Sci. 2022, 41, 2311–2326. [Google Scholar] [CrossRef]
- Wu, K.S.; Kong, D.Y.; Wang, Y.; Yang, X.J. Spatial Differentiation of Influencing Factors and Their Role Effects of Rural Transformation and Development: Taking Shanxi Province as an Example. J. Nat. Resour. 2022, 37, 2033–2050. [Google Scholar]
- Zhang, R.T.; Zhang, X.L.; Lu, J.F.; Li, C.W. Analysis of Spatial and Temporal Differentiation Pattern and Influence Mechanism of Rural Transformation and Development in China. Hum. Geogr. 2021, 36, 138–147. [Google Scholar]
- Qu, Y.B.; He, X.H.; Dong, X.Z.; Liu, C.Q.; Yang, Y.; Li, Y.C. Transformation Characteristics and Driving Mechanisms of Different Types of Rural Settlements in Plain Agricultural Areas. Resour. Sci. 2025, 47, 68–83. [Google Scholar]
- Chen, H.; Yu, B.; Guo, X.W.; Ren, J.H. Analysis of the Characteristics and Influencing Factors of Rural Transformation in Typical Counties of Jianghan Plain. J. Hubei Univ. Nat. Sci. Ed. 2023, 45, 73–81. [Google Scholar]
- Qiu, J.J.; Benfica, R.; Yu, J. Connotation Characteristics, Driving Mechanism and Realisation Path of Digital Transformation and Upgrading of Rural Industries. J. Northwest Agric. For. Univ. Soc. Sci. Ed. 2023, 23, 53–66. [Google Scholar]
- Yao, X.J.; Tong, L.; Li, J.L. Measurement of Agricultural Production Efficiency in Traditional Farming Areas Based on DEA: Taking Northern Anhui as an Example. China Agric. Resour. Reg. Plan. 2020, 41, 131–139. [Google Scholar]
- Imran, M.; Tufail, M.; Mo, C.; Wahab, S.; Khan, M.K.; Hoo, W.C.; Ling, Z. From resources to resilience: Understanding the impact of standard of living and energy consumption on natural resource rent in Asia. Energy Strategy Rev. 2025, 57, 101590. [Google Scholar] [CrossRef]
- Zhou, J.N.; Qin, F.C.; Liu, J.; Zhu, G.L.; Zou, W. Measurement of Urban-Rural Integration Level, Spatio-temporal Evolution and Influence Mechanism in China from a Multi-Dimensional Perspective. Chin. Popul. Resour. Environ. 2019, 29, 166–176. [Google Scholar]
- Chen, S.L.; Wang, D. The Impact Effect and Mechanism of Digital Economy on Economic Resilience. Ind. Technol. Econ. 2022, 41, 26–34. [Google Scholar]
- Li, J.; Sun, Y.Y.; Deng, M.M. Development of Small Cities in the High-Speed Rail Era: A Study Based on Population Hollowing Out. J. Financ. Econ. 2021, 47, 154–168. [Google Scholar]
- Ma, Y.; Wang, A.Z.; Guo, H.F.; Zhang, Y.R.; Nie, J.Q. Research on the Evaluation Index System of Teacher Education Discipline Cluster Based on AHP. Mod. Educ. Manag. 2021, 7, 81–88. [Google Scholar]
- Tian, X. Construction of Teaching Laboratory Evaluation System Based on AHP-Entropy Weight Method. Lab. Res. Explor. 2020, 7, 264–269. [Google Scholar]
- Li, L.M.; Yu, Y.; Liu, B.Q. Research on Performance Evaluation of Industry-University-Research Cooperation Innovation in Qingdao Based on AHP-Entropy Method. Sci. Technol. Manag. Res. 2014, 15, 40–43,49. [Google Scholar]
- Jenks, G.F. The Data Model Concept in Statistical Mapping. Int. Yearb. Cartogr. 1967, 7, 186–190. [Google Scholar]
- Wu, Z.H.; Li, T. Research on Spatial Distribution of Comprehensive Performance of High-Tech Development Zones: Analysis Based on Natural Breakpoint Method. Stat. Inf. Forum 2013, 28, 82–88. [Google Scholar]
- Anselin, L. Spatial Econometrics: Methods and Models; Kluwer Academic Publishers: Dordrecht, The Netherlands, 1988. [Google Scholar]
- Chen, Y.G. Theoretical Development and Method Improvement of Spatial Autocorrelation Based on Moran Statistics. Geogr. Res. 2009, 28, 1449–1463. [Google Scholar]
- Cao, M.M.; Peng, P.; Wang, X.; Zhou, G.; Zhou, R.; Liu, X. Analysis of Spatial and Temporal Evolution Characteristics of Rural Transformation and Its Influencing Factors in Wuling Mountain Area of Hunan. Resour. Environ. Yangtze Basin 2020, 29, 1930–1940. [Google Scholar]
- Wang, J.F.; Xu, C.D. Geographical Detector: Principle and Prospect. Acta Geogr. Sin. 2017, 72, 116–134. [Google Scholar]
- Shi, J.G.; Duan, K.F.; Wu, G.D. Measurement of the Level of Urban-Rural Integration and Development in the Yangtze River Delta Region and Its Spatial and Temporal Characterization. J. Tongji Univ. Soc. Sci. Ed. 2022, 33, 78–89. [Google Scholar]
- Chen, M.; Zhang, J.J.; Xu, Z.; Hu, X.H.; Hu, D.X.; Yang, G. Does the setting of local government economic growth targets promote or hinder urban carbon emission performance? Evidence from China. Environ. Sci. Pollut. Res. 2023, 30, 117404–117434. [Google Scholar] [CrossRef]







| Data Category | Data Type | Data Source | Notes |
|---|---|---|---|
| Socioeconomic data | Socio-economic data | China County Statistical Yearbook, Anhui Statistical Yearbook, and Local Yearbooks of Various Cities, Counties, and Districts | Source of core economic indicators |
| Supplementary socio-economic data | National Economic and Social Development Bulletin, Anhui Provincial Bureau of Statistics, Local Statistical Website | Supplementary sources of regional and economic data | |
| Population data | Local Bureau of Statistics and Human Resources Consultation | Obtain for specific districts and counties | |
| Three-dimensional spatial data | Raster data | Resources and Environmental Science Data Center, Chinese Academy of Sciences (https://www.resdc.cn/ (accessed on 17 April 2025)) | Urban and rural land use data |
| Topographic data | Geospatial Data Cloud Platform (https://www.gscloud.cn/ (accessed on 13 May 2025)) | Elevation and terrain information | |
| Vector data | National Geographic Information Resource Directory Service System (https://www.webmap.cn/ (accessed on 13 May 2025)) | Transportation network, administrative divisions, etc. |
| Normative Layer | Indicator Layer | Index Properties | Calculation Method | AHP Method Weighting | Entropy Weighting | Combined Weights |
|---|---|---|---|---|---|---|
| Population transition development | Urbanization rate (E1) | + | Urban population/total population | 0.118 | 0.071 | 0.095 |
| Practitioner structure (E2) | + | Non-farm workers/total rural workers | 0.151 | 0.024 | 0.087 | |
| Rural–urban income gap (E3) | + | Per capita disposable income of rural residents/per capita disposable income of urban residents | 0.169 | 0.024 | 0.096 | |
| Transformative land use development | Cultivated land area share (E4) | + | Cultivated land area/total county area | 0.069 | 0.037 | 0.053 |
| Rural settlements as a percentage of area (E5) | - | Area of rural settlements/total area of the county | 0.037 | 0.107 | 0.072 | |
| Proportion of land used for urban construction (E6) | + | Land area for urban, industrial, and mining construction/total area of the region | 0.029 | 0.107 | 0.068 | |
| Recovery index (E7) | - | Total sown area of crops/area of arable land | 0.110 | 0.010 | 0.060 | |
| Industrial transformation and development | Share of output value of secondary and tertiary industries (E8) | + | Secondary and tertiary output/total output | 0.108 | 0.053 | 0.081 |
| Gross power of agricultural machinery per capita (E9) | + | Total power of agricultural machinery/population of primary sector | 0.067 | 0.053 | 0.060 | |
| Percentage of food crops (E10) | + | Area sown with food crops/total sown area | 0.020 | 0.085 | 0.053 | |
| Agricultural labor productivity (E11) | + | Agriculture, forestry, and fisheries output/number of people working in agriculture | 0.015 | 0.099 | 0.057 | |
| Social dimension | Level of electricity consumption by rural residents (E12) | + | Rural electricity consumption/rural population | 0.010 | 0.137 | 0.073 |
| Number of full-time teachers per 10,000 population (E13) | + | Number of full-time teachers/number of secondary school students | 0.063 | 0.077 | 0.070 | |
| Beds per 10,000 population (E14) | + | Number of beds in health-care institutions/total population | 0.034 | 0.116 | 0.075 |
| Indicator Hierarchy | Maximum Eigenvalue | Coherence Indicators | Consistency Ratio |
|---|---|---|---|
| Normative layer | 4.0601 | 0.02005 | 0.0225 |
| Population transition development | 3.0009 | 0.00043 | 0.0008 |
| Transformative land use development | 4.0599 | 0.01998 | 0.0224 |
| Industrial transformation and development | 4.1035 | 0.0345 | 0.0388 |
| Social dimension | 3.0244 | 0.01218 | 0.0234 |
| Year | Moran’s I | P(I) | Z(I) |
|---|---|---|---|
| 2011 | 0.2574 | 0.0003 | 3.6126 |
| 2015 | 0.2406 | 0.0007 | 3.3938 |
| 2019 | 0.2060 | 0.0033 | 2.9410 |
| 2023 | 0.2292 | 0.0012 | 3.2494 |
| 22011. | 2015 | 2019 | 2023 | ||||
|---|---|---|---|---|---|---|---|
| Factor Ordering | q-Value | Factor Ordering | q-Value | Factor Ordering | q-Value | Factor Ordering | q-Value |
| X11 | 0.496 ** | X6 | 0.562 ** | X8 | 0.702 ** | X8 | 0.769 ** |
| X12 | 0.407 ** | X11 | 0.410 ** | X9 | 0.480 ** | X9 | 0.548 ** |
| X4 | 0.361 ** | X4 | 0.355 ** | X11 | 0.438 ** | X6 | 0.477 ** |
| X8 | 0.320 ** | X8 | 0.334 ** | X12 | 0.409 ** | X10 | 0.449 ** |
| X6 | 0.268 ** | X7 | 0.275 ** | X6 | 0.399 ** | X4 | 0.405 ** |
| X9 | 0.262 ** | X12 | 0.266 ** | X4 | 0.398 ** | X11 | 0.392 ** |
| X3 | 0.240 ** | X9 | 0.253 ** | X10 | 0.397 ** | X5 | 0.243 ** |
| X1 | 0.232 ** | X10 | 0.168 ** | X7 | 0.325 ** | X12 | 0.217 ** |
| X5 | 0.121 ** | X5 | 0.134 ** | X3 | 0.167 ** | X2 | 0.191 ** |
| X10 | 0.117 ** | X3 | 0.098 ** | X5 | 0.139 ** | X7 | 0.189 ** |
| X7 | 0.087 ** | X1 | 0.073 ** | X2 | 0.106 ** | X3 | 0.170 ** |
| X2 | 0.072 ** | X2 | 0.058 ** | X1 | 0.070 ** | X1 | 0.087 ** |
Disclaimer/Publisher’s Note: The statements, opinions and data contained in all publications are solely those of the individual author(s) and contributor(s) and not of MDPI and/or the editor(s). MDPI and/or the editor(s) disclaim responsibility for any injury to people or property resulting from any ideas, methods, instructions or products referred to in the content. |
© 2025 by the authors. Licensee MDPI, Basel, Switzerland. This article is an open access article distributed under the terms and conditions of the Creative Commons Attribution (CC BY) license (https://creativecommons.org/licenses/by/4.0/).
Share and Cite
Xiao, T.; Li, J.; Zhou, C.; Song, H.; Zhang, S.; Gu, K. Rural Transformation in Northern Anhui, China: Spatio-Temporal Patterns and Driving Mechanisms in Traditional Agricultural Areas. Land 2025, 14, 1940. https://doi.org/10.3390/land14101940
Xiao T, Li J, Zhou C, Song H, Zhang S, Gu K. Rural Transformation in Northern Anhui, China: Spatio-Temporal Patterns and Driving Mechanisms in Traditional Agricultural Areas. Land. 2025; 14(10):1940. https://doi.org/10.3390/land14101940
Chicago/Turabian StyleXiao, Tieqiao, Jingting Li, Can Zhou, Haodong Song, Shaojie Zhang, and Kangkang Gu. 2025. "Rural Transformation in Northern Anhui, China: Spatio-Temporal Patterns and Driving Mechanisms in Traditional Agricultural Areas" Land 14, no. 10: 1940. https://doi.org/10.3390/land14101940
APA StyleXiao, T., Li, J., Zhou, C., Song, H., Zhang, S., & Gu, K. (2025). Rural Transformation in Northern Anhui, China: Spatio-Temporal Patterns and Driving Mechanisms in Traditional Agricultural Areas. Land, 14(10), 1940. https://doi.org/10.3390/land14101940

