Abstract
Sediment deposition is critical in maintaining riparian plant communities by providing essential nutrients and posing growth challenges. This study focuses on Cynodon dactylon, a dominant clonal species in the riparian zones of the Three Gorges Reservoir, and its interaction with sediment deposition over three years. Results indicated an average sediment deposition depth of 2.85 cm in the lower riparian regions. Observations revealed that C. dactylon coverage increased progressively at lower elevations despite its dominance diminishing with rising elevation levels. Additionally, positive linear correlations between C. dactylon coverage and sediment deposition depths were identified during flood periods, underscoring the species’ role in enhancing sediment deposition. These findings suggest that C. dactylon plays a significant role in sediment accumulation, which may bolster its growth and survival prospects during subsequent growing cycles. The study highlights the importance of riparian vegetation, mainly perennial clonal species like C. dactylon, in promoting sediment accumulation and contributing to the stability and functionality of riparian ecosystems.
1. Introduction
Human activities such as dam construction significantly impact river ecosystems, disrupting hydrological connectivity and sediment transport [1,2]. Dams alter water flow regimes, leading to significant changes in sediment transport, often causing sediment accumulation upstream and increased erosion downstream. This disruption affects the physical structure of rivers and has cascading effects on nutrient cycling, aquatic habitats, and overall biodiversity. The ecological consequences include shifts in species composition, loss of critical habitats, and a reduction in ecosystem functionality, ultimately compromising rivers’ ecological services. Recent studies highlight that these impacts are more severe and widespread than previously understood, with long-term implications for local ecosystems and broader environmental health [3,4]. The Three Gorges Dam (TGD), the world’s largest hydroelectric dam, has profoundly altered sediment dynamics in the Three Gorges Reservoir, leading to significant ecological changes [5,6].
Sediment deposition is essential for forming and maintaining riparian zones, acting as both a nutrient source and a physical stressor for vegetation [7,8]. The accumulation of sediment benefits riparian plants by providing germination seedbeds and facilitating propagule dispersal [9]. However, sediment deposition can also impose physical stress by burying plants, reducing light availability, and affecting seedling emergence and survival [8]. The TGD has significantly altered the sediment transport and deposition patterns within its reservoir, with observed sediment deposition depths ranging from 3 to 80 cm [5]. This increased sediment depth is associated with prolonged flooding durations and enhanced fluvial sediment yields, profoundly impacting riparian ecosystem health [10].
Sediment deposition in riparian zones is influenced by hydrological fluctuations, human activities, and vegetation [11]. The morphological traits of riparian plants are determinants of their impact on fluvial sediment dynamics [12]. Riparian plants affected by dam regulation must complete their life cycles within a limited growth period. These plants must employ various life-history strategies to survive in this changing environment. Cynodon dactylon (L.) Pers., the dominant species in the riparian zone of the Three Gorges Reservoir (TGR), exhibits a trend of decreasing coverage and dominance as elevation increases [13]. As a clonal plant, C. dactylon reproduces asexually by regenerating new plants from the axillary buds of stolon and rhizome nodes [14]. After prolonged flooding, C. dactylon reemerges in the spring, often accompanied by sediment deposition dozens of centimeters deep. Research indicates that up to 90% of C. dactylon can survive and quickly recover from its deep root system following months of submergence [15]. Long-term flooding significantly promotes the stem growth of C. dactylon [16]. However, sediment deposition has been found to significantly inhibit the formation and growth of C. dactylon seedlings [17]. As burial depth increases and particle size decreases, the height and leaf length of C. dactylon are markedly suppressed [18]. With the regulation of the TGD, the riparian zone of the reservoir experiences extended periods of flooding and significant sediment deposition, creating a challenging environment for C. dactylon.
Despite extensive research on the interactions between dams, sediments, and riparian vegetation, there remains a significant gap in our understanding of the long-term, in situ responses of plants to sediment dynamics, particularly in environments that are highly variable due to seasonal changes or dam operations. This study addresses critical gaps by focusing on the specific interactions between C. dactylon and sediment deposition in the Three Gorges Reservoir, a unique dam-regulated environment. By analyzing this dominant riparian zone in a highly variable hydrological context, the study provides new insights into the adaptive strategies of riparian plants facing sedimentation stress across different seasons. Understanding the role of C. dactylon in sediment dynamics can guide more effective vegetation management, erosion control, and habitat restoration strategies. This research not only fills a significant knowledge gap but also offers valuable information for enhancing the ecological resilience of riparian zones under ongoing environmental pressures.
2. Materials and Methods
2.1. Study Sites
The study was conducted at five locations within the TGR: Fuling (FL), Zhongxian (ZX), Kaizhou (KZ), Yunyang (YY), and Wushan (WS). This area is characterized by a humid subtropical monsoon climate. Water levels varied due to anti-seasonal impoundment, producing a fluctuation zone of approximately 350 km2.
The study was carried out at five sites in the TGR (Figure 1). The area has a humid subtropical monsoon climate, with mean annual temperatures ranging from 16.5 to 18 °C and yearly precipitation of about 1100 mm. Monthly rainfall varies between 18.72 cm and 197.32 cm, with the maximum occurring in July and the minimum in January. Relative humidity ranged between 75.98% and 81.66%, and wind speed ranged between 0.9 m/s and 1.24 m/s, with no significant seasonality. The average annual frost-free period is 268 days, accounting for 73% of the total days in the year.
Figure 1.
Location of the study area and the quadrat setting schematic.
2.2. Vegetation Investigation
Three belt transects were established perpendicular to the river in the study area at every site. Quadrats were placed along the belt transects every five meters using ArcGIS 10.5 with a WGS84+UTM48N coordinate system. Three 1 m × 1 m quadrats were established in each transect. Carrier phase differential GPS with centimeter-level accuracy was used to locate each quadrat precisely. Steel rods were placed at the four corners of each quadrat to mark its location. Investigations were conducted at the end (July 2018 and September 2019) and the beginning (April 2019 and May 2020) of the emerging period from flooding of the riparian zone. To ensure the consistency of sedimentary data from different locations, plots at elevations between 160 and 165 m above sea level were selected for data statistics. Considering the preservation of steel rods and data integrity (based on four surveys), a total of 25 datasets were obtained from five sites.
All plant species within the quadrats were identified, and the number of each species was recorded. For each plant species, five individuals were selected to measure their height. The height and coverage of each plant species were used to calculate its important value. The height of the plant was defined as the length from the plant’s top to bottom. The same botanist performed all of these vegetation assessments during the project to avoid bias. The site’s topography, soil type, and ground cover were recorded along with the vegetation assessment.
2.3. Sediment Deposition Depth
This study employed polypropylene-random (PPR) pipes to measure soil erosion and deposition at the study sites accurately. PPR pipes were selected due to their durability, resistance to environmental factors, and ease of installation, making them suitable for long-term monitoring in varied field conditions.
In July 2018, before the reservoir was impounded, four PVC pipes were systematically installed at each corner of the designated quadrats. Each pipe was 100 cm long and 25 mm in diameter, with a mark made at the midpoint, 50 cm from the bottom. The pipes were driven vertically into the soil, leaving 50 cm of each pipe exposed above the soil surface. The length of the exposed portion of the pipe was recorded both before and after the flooding.
Following the impoundment of the reservoir, periodic measurements were conducted to assess any changes in the height of the pipes above the soil surface. These measurements were taken from the top of each pipe to the current soil surface. An increase in the visible length of the pipe above the soil surface was interpreted as evidence of soil erosion, indicating that soil had been removed, thereby lowering the ground level relative to the pipe. Conversely, a decrease in the visible length of the pipe above the soil surface was considered indicative of soil deposition, suggesting that sediment or other materials had accumulated on the surface, raising the ground level.
2.4. Data Analysis
Species richness and total coverage were used to measure plant community. Species richness is the number of different plant species recorded in the quadrats. Total coverage is the sum of the species coverage, the percentage of the quadrat area covered by one species.
The data were analyzed using SPSS for Windows, Version 12 (SPSS. Inc., Chicago, IL, USA). Firstly, the raw data for all variables were assessed for normal distribution rates using the one-sample Kolmogorov–Smirnov test and for homogeneity of variances using Levene’s test. Means between groups were compared using a t-test and analysis of variance (ANOVA), followed by Tukey’s post hoc tests. Associations between variables were determined using Pearson’s correlation test. Additionally, the rank-sum and Fisher’s exact tests were employed for data analysis.
3. Results
3.1. Sediment Deposition
The results indicate a significant sediment accretion in the lower portions of the riparian zone (Figure 2). The sediment deposition varied with elevation in different years, with a relatively lower depth observed in 2019, while the average depth over the years was 2.53 cm. There was generally a reduction in sediment depth from 2018 to 2019 across the sites, with the average sediment depth trending downwards from ZX to WS. ZX had the highest sediment depth in 2018 but experienced a significant reduction in 2019. YY and WS maintained relatively consistent sediment depths between the two years compared to the other sites. FL showed a considerable increase from 2018 to 2019, having one of the lowest sediment depths in 2018.
Figure 2.
Sediment deposition depth in different seasons. Horizontal axis represents the location: Fuling (FL), Zhongxian (ZX), Kaizhou (KZ), Yunyang (YY), and Wushan (WS).
3.2. Species Richness and Total Coverage of Riparian Plants
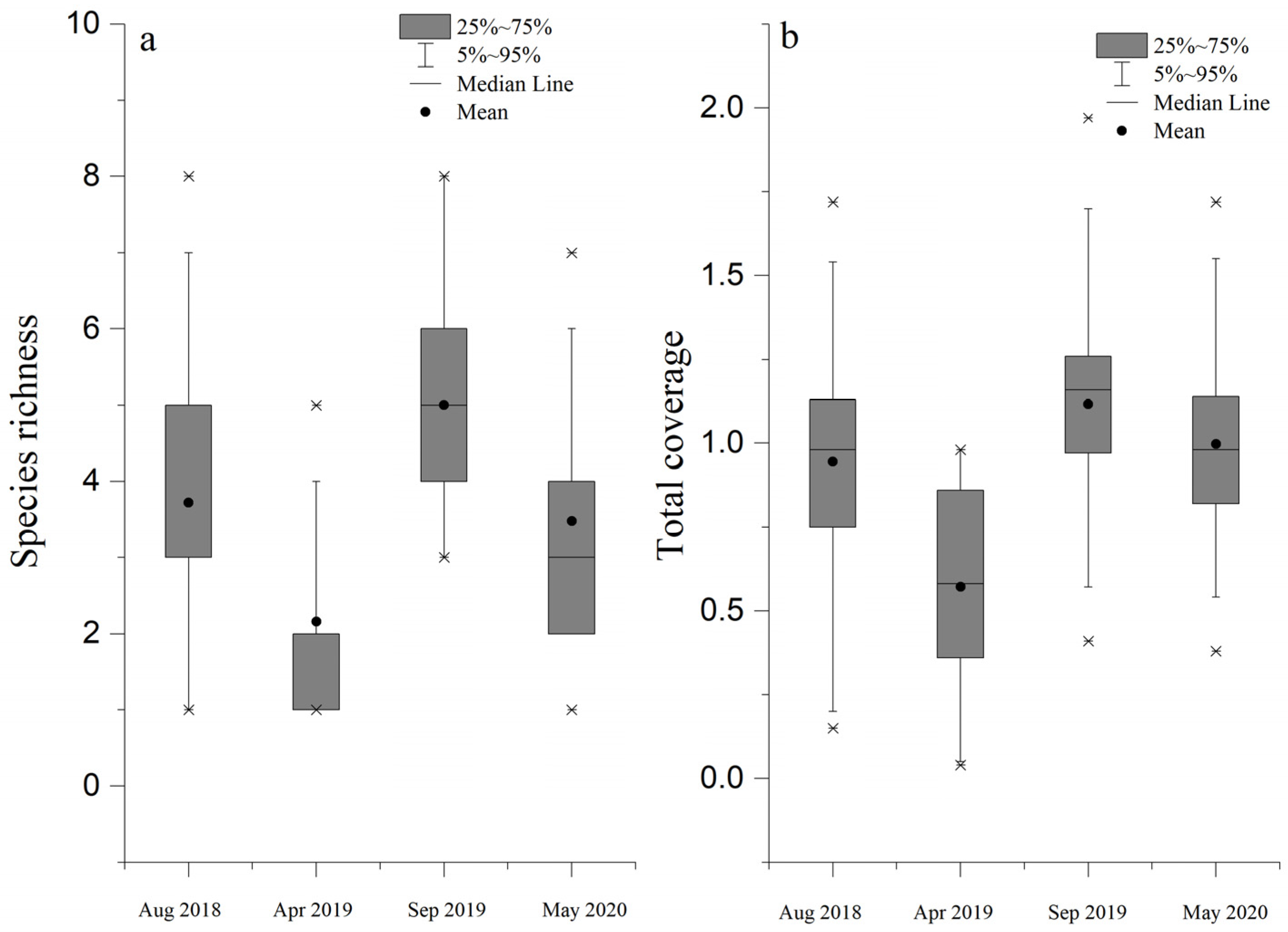
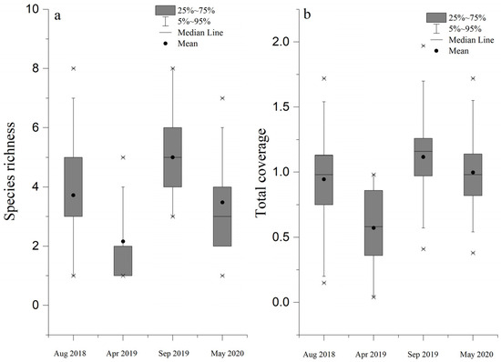
The species richness and total coverage of riparian plants showed a similar trend in different seasons (Figure 3), with the highest value observed in September and the lowest in April. The results indicate a wide range of species richness, while the total coverage is relatively robust. Most plots in April 2019 had a total coverage lower than 0.5, while the total coverage in September 2019 and May 2020 was higher than 1. Both species richness and total coverage exhibited a significant decrease in April 2019. By May 2020, species richness and total coverage decreased but remained higher than the April 2019 levels, indicating moderate variability and resilience.
Figure 3.
Plant species richness (a) and total coverage (b) in different seasons.
3.3. Coverage of C. dactylon and Dominance of C. dactylon
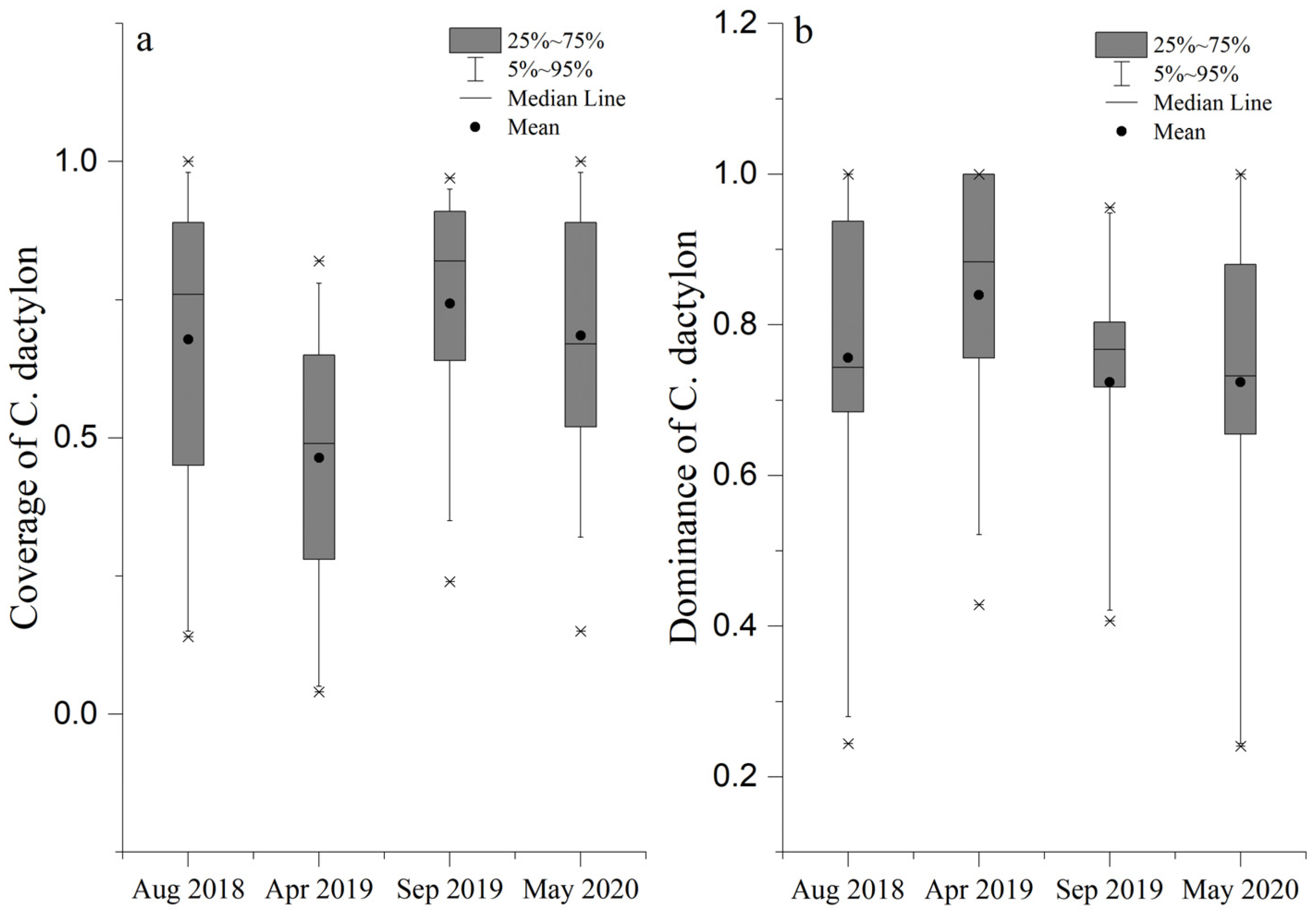
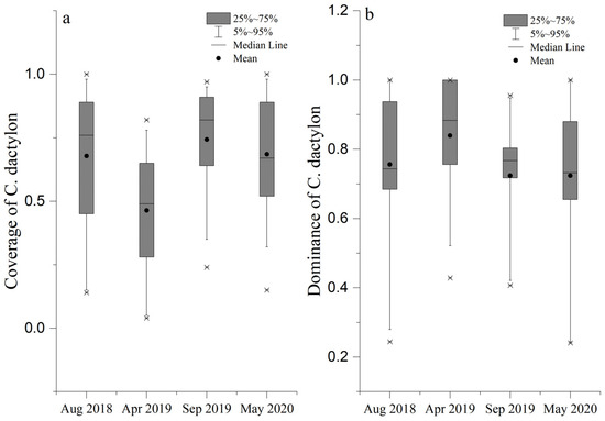
Figure 4 shows the coverage and dominance of C. dactylon across four seasons. The lowest coverage of C. dactylon was observed in April 2020, while the highest was in September 2019. The highest dominance of C. dactylon was observed in April 2020, while the highest was in May 2020. The coverage and dominance of C. dactylon significantly decreased in April 2019, followed by a recovery in September 2019. By May 2020, the coverage and dominance of C. dactylon slightly decreased compared to September 2019 but remained higher than in April 2019. The higher median values and a broader spread of coverage in September 2019 and May 2020 indicate that C. dactylon exhibited increased growth and expansion during these periods. The later elevated medians and distributions of dominance show the competitive advantage of C. dactylon over other vegetation from September 2019 to May 2020.
Figure 4.
Coverage of C. dactylon (a) and dominance of C. dactylon (b) in different seasons.
3.4. Coverage of C. dactylon and Sediment Deposition
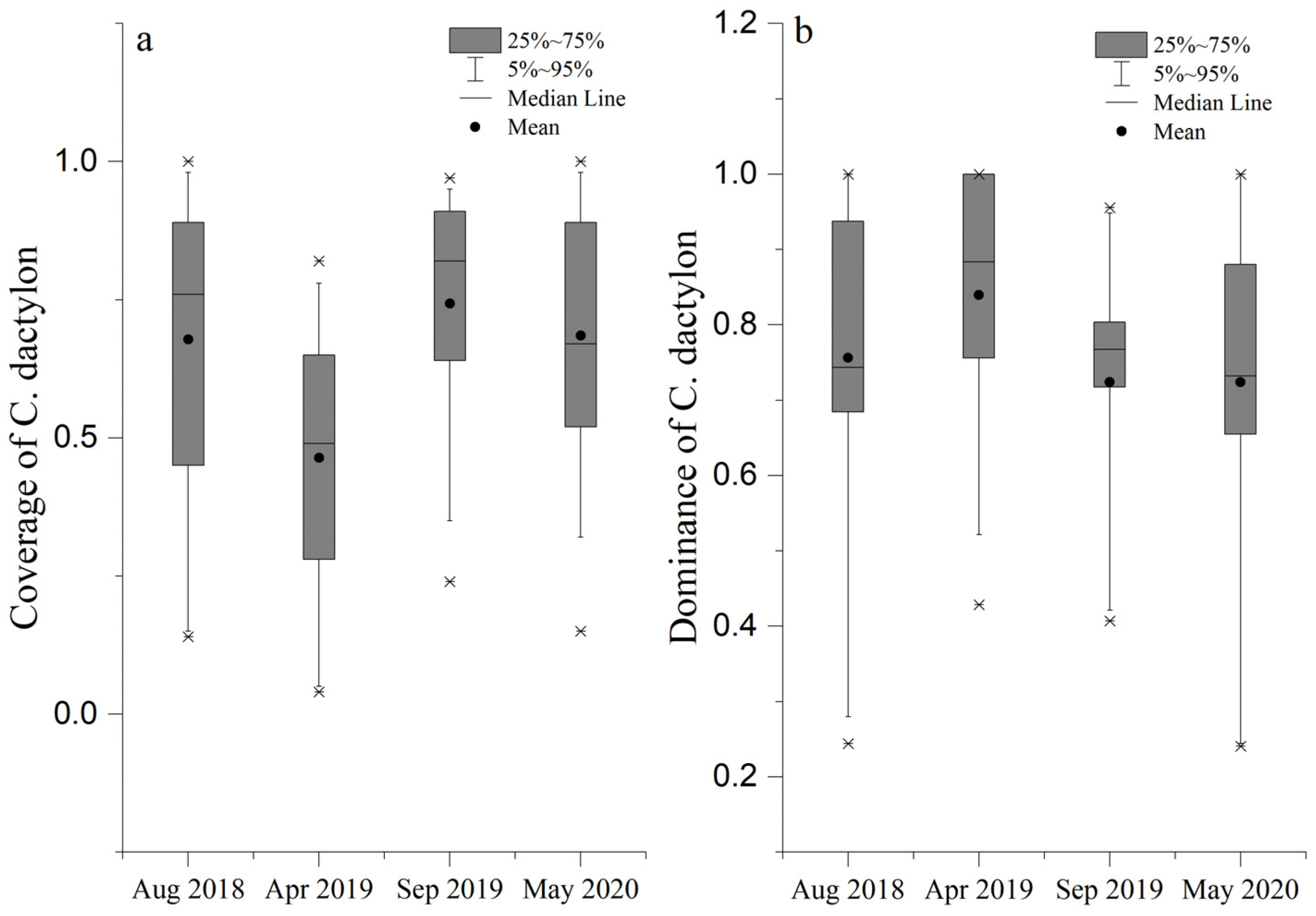
A positive linear relationship was observed between the coverage of C. dactylon and the sediment deposition depth during the inundation (Figure 5). The sediment depth increased with the coverage of C. dactylon and dominance of C. dactylon increasing before the inundation (p < 0.01). While the dominance of C. dactylon decreased with the sediment depth, the coverage of C. dactylon after the inundation showed an increasing trend with increasing sediment depth.
Figure 5.
The relationship of coverage of C. dactylon before the inundation with sediment depth (a), sediment depth with the dominance of C. dactylon (b), dominance of C. dactylon before the inundation with the sediment depth (c), and sediment depth with the coverage of C. dactylon after the inundation (d).
3.5. Logistic Regression of Coverage of C. dactylon and Sediment Deposition
During inundation in 2018–2019, an improvement trend in the dominance of C. dactylon was found in total coverage and species richness (Figure 6). The dominance of C. dactylon reduced with the coverage of C. dactylon and sediment depth increasing. The sediment depth decreased with the coverage of C. dactylon increasing, while the dominance of C. dactylon decreased with the sediment depth increasing. A different relationship was observed between plant coverage and dominance of C. dactylon in two inundation seasons.
Figure 6.
Logistic regression plot of odds ratios and 95% confidence intervals for evaluation. Logistic regression plot of odds ratios and 95% confidence intervals for evaluation of the dominance of C. dactylon with plant community and sediment depth (inundation in 2018, (a); inundation in 2019, (b)). Logistic regression plot of odds ratios and 95% confidence intervals for evaluation of the sediment depth with plant community and quadrat elevation (inundation in 2018, (c); inundation in 2019, (d)). Abbreviations: tc, total coverage; sr, species richness; Cdc, coverage of C. dactylon; dep, sediment deposition depth; ele, elevation of the quadrats.
4. Discussion
This study highlights the intricate relationship between sediment deposition and riparian vegetation dynamics in the TGR, focusing on the resilience and adaptive strategies of C. dactylon in the lower riparian zone. The findings underscore the importance of understanding sediment heterogeneity and its ecological implications for riparian plant communities, particularly in the context of large-scale dam projects.
4.1. Sedimentation Heterogeneity in the Riparian Zone
Our research has uncovered significant sediment deposition in the lower portions of the riparian zone in the TGR, with depth varying by elevation across different years (Figure 2). This finding underscores the crucial role of sediment deposition heterogeneity in many coastal regions and river riparian zones. Mixed sand–gravel systems are often associated with erosion and mechanical weathering, especially at mid-to-high latitudes [19]. The relationship between mixed grain and sediment zones and sediment supply and energetic conditions is a key aspect, with heterogeneous sediment grading occurring where significant wave and current activity results in sediment transport.
The fluvial process determines the sedimentary structure, which changes and adjusts the riparian zone [20]. This shifting mosaic of habitat patches within riparian zones supports a diverse biota in the aquatic–terrestrial ecotone. Significant sedimentation has been observed in the lower portions of the riparian zone of the TGR [5]. Water level fluctuations, suspended sediment dynamics, and topography significantly influence sediment deposition in the riparian zone [21]. The hydrological process created by reservoir regulation and natural hydrodynamics leads to temporally and spatially heterogeneous sedimentation in the riparian zone. Dam construction altered sediment dynamics, leading to downstream sediment starvation and upstream sediment accumulation. Higher variability of sedimentation in 2018 compared to 2019 could be related to the flooding process during inundation and landform changes caused by previous inundation events [22].
4.2. The Dominance of C. dactylon in the Lower Portion of the Riparian Zone
The lower portion of the riparian zone is characterized by a relatively higher coverage and dominance of C. dactylon. This perennial and representative pioneer species in the riparian zone, known for its ability to regenerate from seeds and propagules, especially in moist, bare sand microsites created by large, infrequent floods, is a key focus of our research [23]. Catalase, an enzyme essential for riparian plants like C. dactylon, plays a significant role in responding to flooding within the antioxidative system [24]. The flood tolerance of C. dactylon, demonstrated through physiological and morphological adjustments, aids in its survival and recovery post-flooding [25]. Its high resilience and tolerance to extreme meteorological events, leading to significant shifts in competitive and facilitative interactions with other species under increasing flood stress, further highlight its importance [26].
Annual and perennial plants derived from the seed bank can increase roughness and enhance sediment storage within highly disturbed or altered channels, contributing to geomorphological recovery [27,28]. Perennial species provide suitable conditions for establishing other species and vegetation succession by increasing the stability of geomorphic surfaces after disturbance [29]. Facilitative interactions are more likely to appear in stressful environments according to the stress gradient hypothesis (SGH) [30,31]. The decreasing dominance of C. dactylon and increasing total coverage and biomass of the plant community with rising elevation in the riparian zone indicate that C. dactylon facilitates the plant community in degraded environments.
4.3. The Sediment Deposition Depth with C. dactylon in the Lower Riparian Zone
Our research has revealed a significant positive linear relationship between the coverage of C. dactylon and sediment deposition depth during inundation. This finding underscores the role of vegetation in reducing sediment dragging by creating a rough surface [32], altering hydrological processes [33] and increasing the geomorphic complexity of river systems [34]. The influence of plant functional characteristics, such as biomass, branching architecture, plant height, and root architecture, on streamflow and sediment transport is a key aspect [35,36]. Riparian plants, by increasing roughness and enhancing sediment storage within highly disturbed or altered channels, play a crucial role in geomorphological recovery [37].
Low-statured rhizomatous and herbaceous guilds have been linked with a higher capability for sediment capture [38]. The timescales at which riparian plants form in different geomorphic units and the influence of environmental conditions on species richness and sediment deposition are significant. Plant traits and feedback on sedimentation may reflect adaptive responses to flow regimes [39]. These effects can be exacerbated by changes in base flows and groundwater availability. Sediment-rich nutrients provide plants with considerable depth to the rhizosphere, and once a succession of herbaceous plants is established, they can intensify sediment accumulation.
Sedimentary structures and grain size distribution found in geological records often provide insights into past environmental conditions, such as flood events and vegetation shifts, which may be comparable to current observations. Researchers highlighted how significant hydrologic changes due to dam operations can reshape riparian zones and impact their ecological dynamics [11,40]. Understanding past environmental conditions is crucial in riparian research, as it provides valuable context for current observations and helps us make informed predictions about future changes. The lack of geological records could lead to uncertainty in interpreting past environmental conditions. Future research should integrate multi-proxy approaches and advanced technologies to provide a more comprehensive understanding and better predictions of riparian zone dynamics under current and future environmental changes.
5. Conclusions
In conclusion, the study identified an average sediment deposition depth of 2.85 cm in the lower riparian regions of the Three Gorges Reservoir, where C. dactylon coverage increased with elevation. The positive correlation between C. dactylon coverage and sediment deposition during flood periods underscores the species’ critical role in sediment accumulation. The results highlight the significance of perennial clonal species like C. dactylon in stabilizing riparian ecosystems and enhancing their functionality, particularly in dam-regulated environments.
Author Contributions
Conceptualization, X.Y.; methodology, X.Y. and Y.H.; software, X.Y.; validation, X.Y.; formal analysis, X.Y.; investigation, X.Y. and Y.H.; resources, Q.C.; data curation, X.Y.; writing—original draft preparation, X.Y.; writing—review and editing, X.Y. and Q.X.; visualization, X.Y.; supervision, S.W.; project administration, Q.C.; funding acquisition, S.W. All authors have read and agreed to the published version of the manuscript.
Funding
This study was funded by the Three Gorges’ follow-up scientific research project from Chongqing Municipal Bureau of Water Resources (No. 5000002021BF40001), the National Natural Science Foundation of China [42371071; 51709250; 51779241; 41601042].
Data Availability Statement
The raw data supporting the conclusions of this article will be made available by the authors on request.
Acknowledgments
We thank Xiaolei Su and Xiaoxiang Sun for their constructive comments on earlier drafts. Yiguo Ran and Gaohang Luo provided invaluable help in the data analysis and field work.
Conflicts of Interest
The authors declare that the research was conducted in the absence of any commercial or financial relationships that could be construed as a potential conflict of interest.
References
- Poff, N.L.; Allan, J.D.; Bain, M.B.; Karr, J.R.; Prestegaard, K.L.; Richter, B.D.; Sparks, R.E.; Stromberg, J.C. The natural flow regime. BioScience 1997, 47, 769–784. [Google Scholar] [CrossRef]
- Rodriguez, J.P.; Beard, T.D.; Bennett, E.M.; Cumming, G.S.; Cork, S.; Agard, J.; Dobson, A.P.; Peterson, G.D. Trade-offs across space, time, and ecosystem services. Ecol. Soc. 2006, 11, 28. [Google Scholar] [CrossRef]
- Lämmle, L.; Perez Filho, A.; Donadio, C.; Arienzo, M.; Ferrara, L.; Santos, C.J.; Souza, A.O. Anthropogenic pressure on hydrographic basin and coastal erosion in the delta of Paraíba do Sul River, Southeast Brazil. J. Mar. Sci. Eng. 2022, 10, 1585. [Google Scholar] [CrossRef]
- Statham, P.J. Nutrients in estuaries—An overview and the potential impacts of climate change. Sci. Total Environ. 2012, 434, 213–227. [Google Scholar] [CrossRef]
- Qiang, Z.; Kan, G.; Liu, X. Sediment deposition patterns in the Three Gorges Reservoir and ecological implications. Geomorphology 2014, 217, 66–76. [Google Scholar]
- Yang, Y.; Zheng, J.; Zhang, H.; Chai, Y.; Zhu, Y.; Wang, C. Impact of the Three Gorges Dam on riverbed scour and siltation of the middle reaches of the Yangtze River. Earth Surf. Process. Landf. 2022, 47, 1514–1531. [Google Scholar] [CrossRef]
- Stromberg, J.C.; Tiller, R.; Richter, B. Effects of groundwater decline on riparian vegetation of semiarid regions: The San Pedro River, Arizona, USA. Ecol. Appl. 1996, 6, 113–131. [Google Scholar] [CrossRef]
- Kui, L.; Stella, J.C. Fluvial sediment burial increases mortality of young riparian trees but induces compensatory growth response in survivors. For. Ecol. Manag. 2016, 366, 32–40. [Google Scholar] [CrossRef]
- O’Donnell, J.; Fryirs, K.; Leishman, M. Digging deep for diversity: Riparian seed bank abundance and species richness in relation to burial depth. Freshw. Biol. 2014, 59, 100–113. [Google Scholar] [CrossRef]
- Ye, J.; Qiang, Z.; Kan, G. Ecological effects of sediment deposition in the riparian zones of the Three Gorges Reservoir. Environ. Sci. Technol. 2020, 54, 12256–12264. [Google Scholar]
- Poff, N.L.; Olden, J.D.; Merritt, D.M. Homogenization of regional river dynamics by dams and global biodiversity implications. Proc. Natl. Acad. Sci. USA 2007, 104, 5732–5737. [Google Scholar] [CrossRef]
- Butterfield, B.J.; Grams, P.E.; Durning, L.E.; Hazel, J.; Palmquist, E.C.; Ralston, B.E.; Sankey, J.B. Associations between riparian plant morphological guilds and fluvial sediment dynamics along the regulated Colorado River in Grand Canyon. River Res. Appl. 2020, 36, 410–421. [Google Scholar] [CrossRef]
- Wen, Z.; Ma, M.; Zhang, C.; Yi, X.; Chen, J.; Wu, S. Estimating seasonal aboveground biomass of a riparian pioneer plant community: An exploratory analysis by canopy structural data. Ecol. Indic. 2017, 83, 441–450. [Google Scholar] [CrossRef]
- Dong, M.; de Kroon, H. Plasticity in morphology and biomass allocation in Cynodon dactylon as related to plant size and soil nutrients. Oecologia 1994, 99, 283–289. [Google Scholar]
- Chen, J.; He, L.; Yang, H.; Ma, M.; Chen, Q.; Wu, S.; Xiao, Z. Empirical models for estimating monthly global solar radiation: A most comprehensive review and comparative case study in China. Renew. Sustain. Energy Rev. 2019, 108, 91–111. [Google Scholar] [CrossRef]
- Li, Q.; Ding, W.; Wang, S.; Zhu, Q.; Yang, J.; Ke, S.; Qin, L.; Yang, L.; Zheng, J.; Meng, Y. Influence of multi-year high water level running on growth recovery of Cynodon dactylon population in water-level-fluctuating zone of the Three Gorges Reservoir. Acta Ecol. Sin. 2020, 40, 985–992. [Google Scholar]
- Li, Q. Influence of sand burial and drought on growth recovery of Cynodon dactylon in a water-level-fluctuating zone of the Three Gorges Reservoir. Acta Ecol. Sin. 2016, 36, 200–208. [Google Scholar]
- Li, Q.; Ding, W.; Zhu, Q.; Song, L.; Cao, Y.; Jiang, S.; Wang, G. Influence of silt deposition and sand deposition on Cynodon dactylon population in low-water-level-fluctuating zone of the Three Gorges Reservoir. Acta Ecol. Sin. 2011, 31, 1567–1573. [Google Scholar]
- Holland, S.M.; Elmore, R.D. Sediment heterogeneity and its implications in coastal regions. Geomorphology 2008, 100, 292–304. [Google Scholar]
- Steiger, J.; Gurnell, A.M.; Ergenzinger, P.; Snelder, D.J. Fluvial processes and riparian zone sedimentary structures. River Res. Appl. 2003, 19, 485–505. [Google Scholar]
- Tang, Q.; Bao, Y.; He, X.; Fu, B.; Collins, A.; Zhang, X. Flow regulation manipulates contemporary seasonal sedimentary dynamics in the reservoir fluctuation zone of the Three Gorges Reservoir, China. Sci. Total Environ. 2016, 548–549, 410–420. [Google Scholar] [CrossRef]
- Scott, M.L.; Friedman, J.M. Pioneer species regeneration in riparian zones. Plant Ecol. 2018, 219, 27–39. [Google Scholar]
- Zhu, S.; Li, Z.; Zhang, X.; Jiang, Y.; Wang, W.; Sun, L. Catalase role in flood response of Cynodon dactylon. Plant Physiol. Biochem. 2020, 153, 115–123. [Google Scholar]
- Chen, F.; Zhang, J.; Zhang, W.; Zhao, X.; Liu, Q. Flood tolerance mechanisms in Cynodon dactylon. J. Plant Res. 2010, 123, 565–573. [Google Scholar]
- Liu, Q.; Zhang, W.; Chen, F.; Zhao, X.; Li, Q. Adaptive responses of Cynodon dactylon under flood stress. Plant Ecol. 2023, 234, 337–349. [Google Scholar]
- Fryirs, K.; Brierley, G.J.; Preston, N.J.; Kasai, M. Seed bank dynamics and sediment storage in riparian zones. Ecol. Eng. 2010, 36, 655–665. [Google Scholar]
- O’Donnell, T.K.; Galat, D.L.; Ridenour, C.J. Vegetation and sediment interactions in disturbed channels. River Res. Appl. 2014, 30, 1089–1101. [Google Scholar]
- Hopfensperger, K.N. Vegetation succession in riparian zones. J. Veg. Sci. 2007, 18, 15–26. [Google Scholar]
- Alpert, P.; Mooney, H.A. Stress gradient hypothesis and plant interactions. Trends Ecol. Evol. 1994, 9, 191–193. [Google Scholar]
- Duarte, C.M.; Mikkelsen, J.; Thayer, G.W. Stress gradient hypothesis in seagrass ecosystems. Ecology 2021, 102, e03333. [Google Scholar]
- Liancourt, P.; Callaway, R.M.; Michalet, R. Facilitative interactions in stressful environments. Glob. Change Biol. 2017, 23, 5083–5096. [Google Scholar]
- Tabacchi, E.; Planty-Tabacchi, A.M.; Décamps, H.; Nihoul, J.C.J. Hydrological processes and sediment transport. Freshw. Biol. 2000, 44, 535–554. [Google Scholar]
- Tal, M.; Paola, C. Geomorphic complexity and vegetation in river systems. Geophys. Res. Lett. 2010, 37, L09402. [Google Scholar]
- Hickin, E.J. Vegetation and sediment transport dynamics. Earth Surf. Process. Landf. 1984, 9, 369–388. [Google Scholar]
- Bywater-Reyes, S.; Diehl, R.; Wilcox, A.; Stella, J.; Kui, L. A green new balance: Interactions among riparian vegetation plant traits and morphodynamics in alluvial rivers. Earth Surf. Process. Landf. 2022, 47, 2410–2436. [Google Scholar] [CrossRef]
- Lytle, D.A.; Poff, N.L. Adaptation to flow regimes in riparian plants. Ecology 2004, 85, 2161–2170. [Google Scholar]
- Stromberg, J.C.; Tiller, R.; Richter, B.D. Hydrological variability and riparian vegetation. Hydrobiologia 1996, 328, 237–251. [Google Scholar]
- Asaeda, T.; Rashid, M.H. Herbaceous plants and sediment accumulation. Wetlands 2012, 32, 657–667. [Google Scholar]
- Zhang, C.; Wang, Y.; Yang, D.; Liu, Z.; Zheng, Z. Vegetation cover and nutrient dynamics in riparian zones. Soil Biol. Biochem. 2021, 153, 108099. [Google Scholar]
- Khoeun, R.; Sor, R.; Chann, K.; Phy, S.R.; Oeurng, C.; Sok, T. The impacts of dams on streamflow in tributaries to the Lower Mekong Basin. Sustainability 2024, 16, 6700. [Google Scholar] [CrossRef]
Disclaimer/Publisher’s Note: The statements, opinions and data contained in all publications are solely those of the individual author(s) and contributor(s) and not of MDPI and/or the editor(s). MDPI and/or the editor(s) disclaim responsibility for any injury to people or property resulting from any ideas, methods, instructions or products referred to in the content. |
© 2024 by the authors. Licensee MDPI, Basel, Switzerland. This article is an open access article distributed under the terms and conditions of the Creative Commons Attribution (CC BY) license (https://creativecommons.org/licenses/by/4.0/).





