Unraveling the Dynamic Relationship between Neighborhood Deprivation and Walkability over Time: A Machine Learning Approach
Abstract
1. Introduction
2. Materials and Methods
2.1. Study Area and Research Design
2.2. Measures of Neighborhood Walkability
2.3. Indicators of Neighborhood Deprivation
2.4. The Kernel-Based Regularized Least Squares Regression
3. Results
3.1. Spatiotemporal Patterns of Neighborhood Walkability from 2016 to 2018
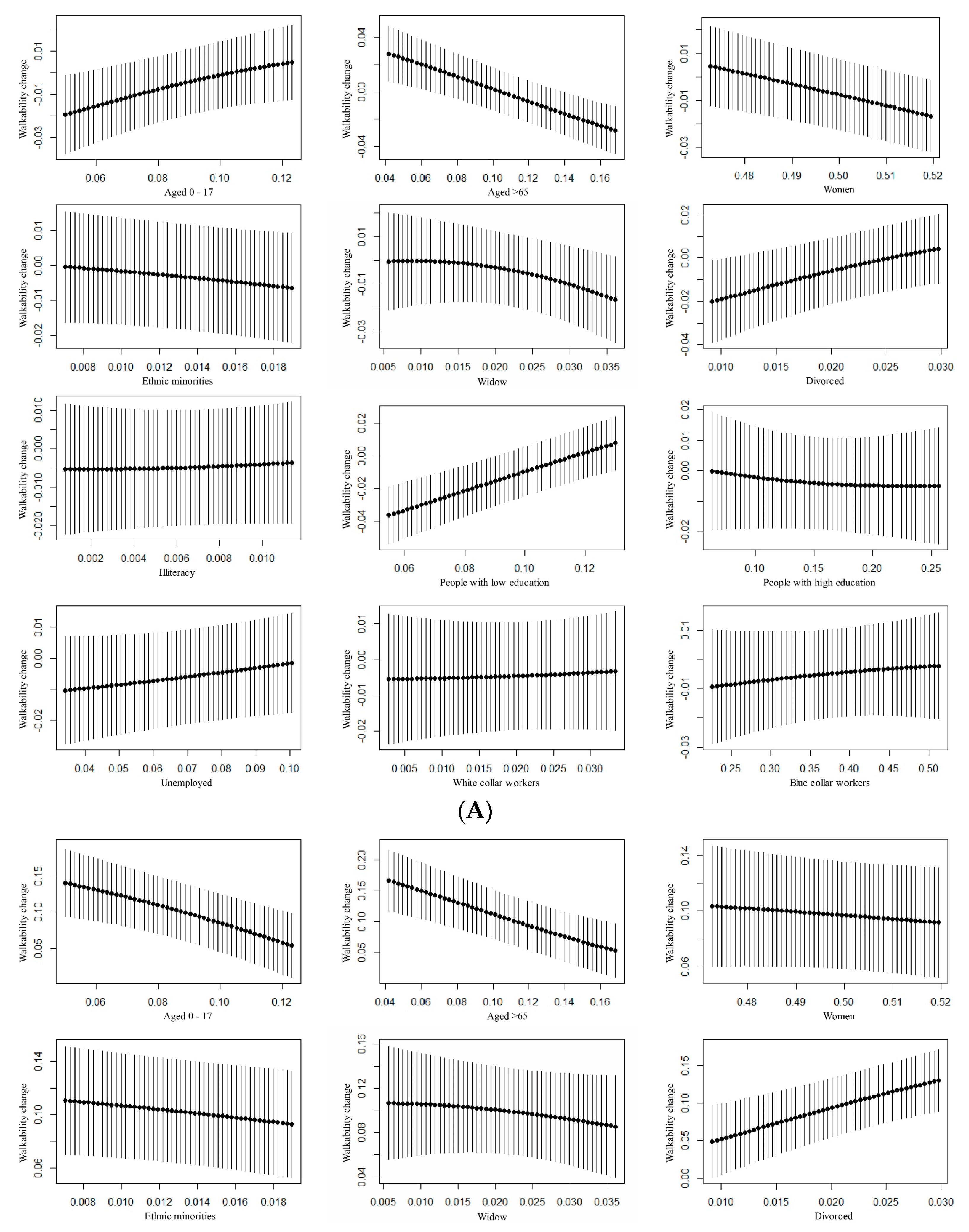
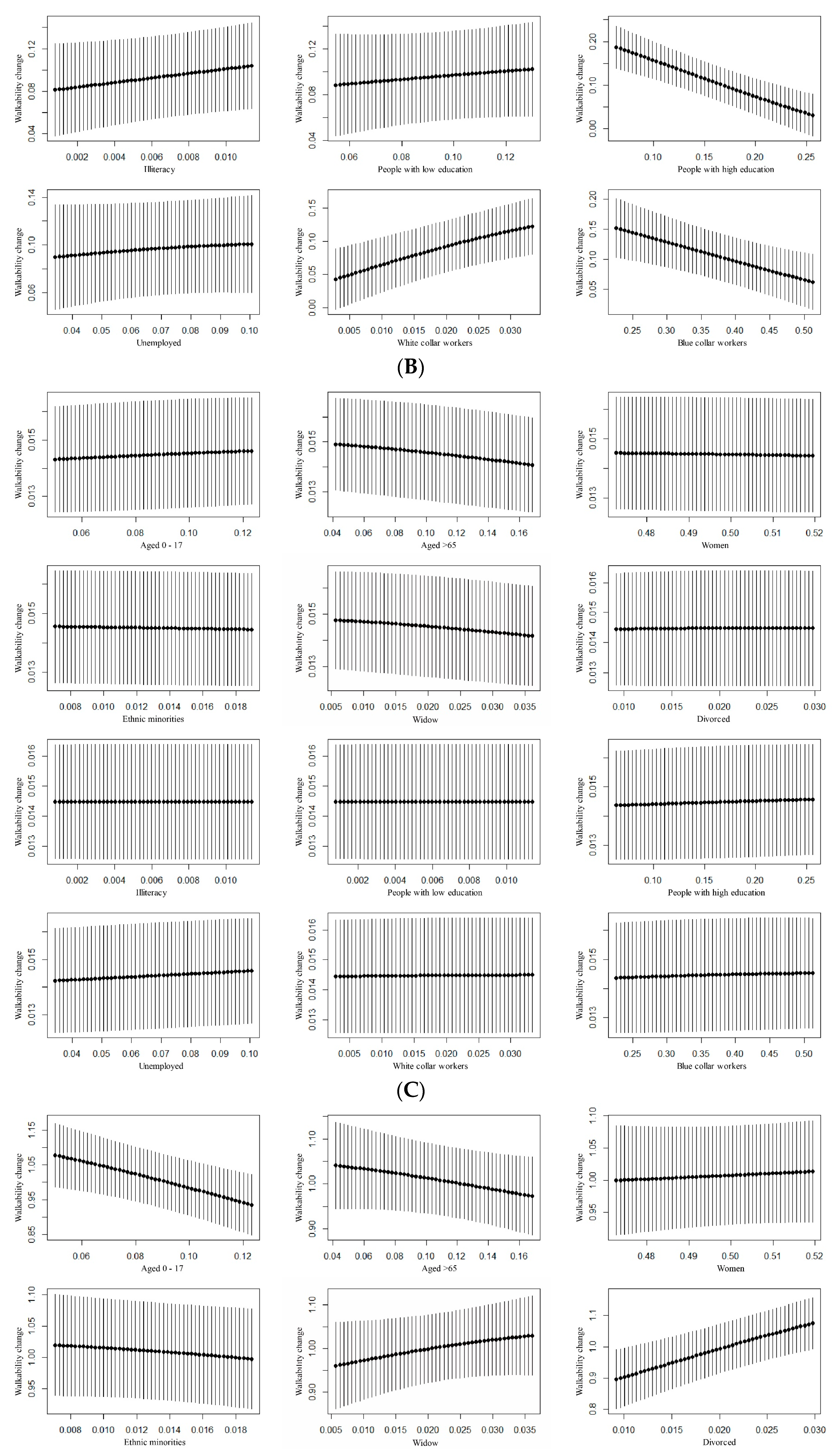
3.2. The Relationship between Neighborhood Deprivation and Walkability over Time
3.3. Interactions among Neighborhood Deprivation Indicators
4. Discussion and Conclusions
Author Contributions
Funding
Data Availability Statement
Conflicts of Interest
References
- World Health Organization: Obesity and Overweight Fact Sheet No 311. Available online: https://www.who.int/news-room/fact-sheets/detail/obesity-and-overweight (accessed on 7 May 2024).
- Caballero, B. Introduction Symposium: Obesity in developing countries: Biological and ecological factors. J. Nutr. 2001, 131, 866S–870S. [Google Scholar] [CrossRef] [PubMed]
- Schüle, S.A.; Bolte, G. Interactive and independent associations between the socioeconomic and objective built environment on the neighbourhood level and individual health: A systematic review of multilevel studies. PLoS ONE 2015, 10, e0123456. [Google Scholar] [CrossRef]
- Su, S.; Zhou, H.; Xu, M.; Ru, H.; Wang, W.; Weng, M. Auditing street walkability and associated social inequalities for planning implications. J. Transp. Geogr. 2019, 74, 62–76. [Google Scholar] [CrossRef]
- Selvakumaran, S.; Lin, C.; Hadgraft, N.; Chandrabose, M.; Owen, N.; Sugiyama, T. Area-level socioeconomic inequalities in overweight and obesity: Systematic review on moderation by built-environment attributes. Health Place 2023, 83, 103101. [Google Scholar] [CrossRef]
- Ogden, C.L. Trends in obesity among adults in the United States, 2005 to 2014. JAMA 2016, 315, 2284–2291. [Google Scholar]
- Su, S.; Pi, J.; Xie, H.; Cai, Z.; Weng, M. Community deprivation, walkability, and public health: Highlighting the social inequalities in land use planning for health promotion. Land Use Policy 2017, 67, 315–326. [Google Scholar] [CrossRef]
- Pereira, M.F.; Almendra, R.; Vale, D.S.; Santana, P. The relationship between built environment and health in the Lisbon Metropolitan area—Can walkability explain diabetes’ hospital admissions? J. Transp. Health 2020, 18, 100893. [Google Scholar] [CrossRef]
- Hoehner, C.M.; Handy, S.L.; Yan, Y.; Blair, S.N.; Berrigan, D. Association between neighborhood walkability, cardiorespiratory fitness and body-mass index. Soc. Sci. Med. 2011, 73, 1707–1716. [Google Scholar] [CrossRef]
- Lang, J.J.; Pinault, L.; Colley, R.C.; Prince, S.A.; Christidis, T.; Tjepkema, M.; Crouse, D.L.; de Groh, M.; Ross, N.; Villeneuve, P.J. Neighbourhood walkability and mortality: Findings from a 15-year follow-up of a nationally representative cohort of Canadian adults in urban areas. Environ. Int. 2022, 161, 107141. [Google Scholar] [CrossRef]
- United Nations: Transforming Our World: The 2030 Agenda for Sustainable Development. Available online: https://sdgs.un.org/publications/transforming-our-world-2030-agenda-sustainable-development-17981 (accessed on 14 February 2023).
- Higgs, C.; Badlands, H.; Simons, K.; Knibbs, L.D.; Giles-Corti, B. The Urban Liveability Index: Developing a policy-relevant urban liability composite measure and evaluating associations with transport mode choice. Int. J. Health Geogr. 2019, 18, 14. [Google Scholar] [CrossRef]
- Micelli, E.; Giliberto, G. Assessing Quality of Life and Walkability for Urban Regeneration: The Piave Neighbourhood in Mestre-Venice. Land 2023, 12, 2133. [Google Scholar] [CrossRef]
- Weng, M.; Ding, N.; Li, J.; Jin, X.; Xiao, H.; He, Z.; Su, S. The 15-min walkable neighbourhoods: Measurement, social inequalities and implications for building healthy communities in urban China. J. Transp. Health 2019, 13, 259–273. [Google Scholar] [CrossRef]
- Cutts, B.B.; Darby, K.J.; Boone, C.G.; Brewis, A. City structure, obesity, and environmental justice: An integrated analysis of physical and social barriers to walkable streets and park access. Soc. Sci. Med. 2009, 69, 1314–1322. [Google Scholar] [CrossRef]
- Steinmetz-Wood, M.; Kestens, Y. Does the effect of walkable built environments vary by neighbourhood socioeconomic status? Prev. Med. 2015, 81, 262–267. [Google Scholar] [CrossRef]
- Guzman, L.A.; Arellana, J.; Castro, W.F. Desirable streets for pedestrians: Using a street-level index to assess walkability. Transp. Res. Part D Transp. Environ. 2022, 111, 103462. [Google Scholar] [CrossRef]
- Jeon, J.; Woo, A. Deep learning analysis of street panorama images to evaluate the streetscape walkability of neighborhoods for subsidized families in Seoul, Korea. Landsc. Urban Plan. 2023, 230, 104631. [Google Scholar] [CrossRef]
- Lu, Y.; Chen, H. Using google street view to reveal environmental justice: Assessing public perceived walkability in macroscale city. Landsc. Urban Plan. 2024, 244, 104995. [Google Scholar] [CrossRef]
- Zhou, H.; He, S.; Cai, Y.; Wang, M.; Su, S. Social inequalities in neighborhood visual walkability: Using street view imagery and deep learning technologies to facilitate healthy city planning. Sustain. Cities Soc. 2019, 50, 101605. [Google Scholar] [CrossRef]
- Chen, X.; Zhang, L.; Zhao, Z.; Zhang, F.; Liu, S.; Long, Y. Characterizing and Measuring the Environmental Amenities of Urban Recreation Leisure Regions Based on Image and Text Fusion Perception: A Case Study of Nanjing, China. Land 2023, 12, 1998. [Google Scholar] [CrossRef]
- Hipp, J.R.; Kane, K.; Kim, J.H. Recipes for neighborhood development: A machine learning approach toward understanding the impact of mixing in neighbourhoods. Landsc. Urban Plan. 2017, 164, 1–12. [Google Scholar] [CrossRef]
- Kang, Y.; Zhang, F.; Peng, W.; Gao, S.; Rao, J.; Duarte, F.; Ratti, C. Understanding house price appreciation using multi-source big geo-data and machine learning. Land Use Policy 2021, 111, 104919. [Google Scholar] [CrossRef]
- Carranza, J.P.; Piumetto, M.A.; Lucca, C.M.; Silva, E.D. Mass appraisal as affordable public policy: Open data and machine learning for mapping urban land values. Land Use Policy 2022, 119, 106211. [Google Scholar] [CrossRef]
- Wang, L.; He, S.; Su, S.; Li, Y.; Hu, L.; Li, G. Urban neighborhood socioeconomic status SES inference: A machine learning approach based on semantic and sentimental analysis of online housing advertisements. Habitat Int. 2022, 124, 102572. [Google Scholar] [CrossRef]
- Ye, Y.; Jia, C.; Winter, S. Measuring Perceived Walkability at the City Scale Using Open Data. Land 2024, 13, 261. [Google Scholar] [CrossRef]
- Yang, J.; Fricker, P.; Jung, A. From intangible to tangible: The role of big data and machine learning in walkability studies. Comput. Environ. Urban Syst. 2024, 109, 102087. [Google Scholar] [CrossRef]
- Li, Z.; Wei, H.; Wu, Y.; Su, S.; Wang, W.; Qu, C. Impact of community deprivation on urban park access over time: Understanding the relative role of contributors for urban planning. Habitat Int. 2019, 92, 102031. [Google Scholar] [CrossRef]
- Hu, L.; Zhao, C.; Wang, M.; Su, S.; Weng, M.; Wang, W. Dynamic healthy food accessibility in a rapidly urbanizing metropolitan area: Socioeconomic inequality and relative contribution of local factors. Cities 2020, 105, 102819. [Google Scholar] [CrossRef]
- Barnes, T.L.; Colabianchi, N.; Hibbert, J.D.; Porter, D.E.; Lawson, A.B.; Liese, A.D. Scale effects in food environment research: Implications from assessing socioeconomic dimensions of supermarket accessibility in an eight-county region of South Carolina. Appl. Geogr. 2016, 68, 20–27. [Google Scholar] [CrossRef]
- Cheung, K.S.; Yiu, C.Y.; Lin, B.P. Love thy neighbours or do ethnic neighbourhood qualities matter? Ethnic price differentials in a multi-ethnic housing market. N. Zealand Econ. Pap. 2024, 58, 20–39. [Google Scholar] [CrossRef]
- Leal, C.; Chaix, B. The influence of geographic life environments on cardiometabolic risk factors: A systematic review, a methodological assessment and a research agenda. Obes. Rev. 2011, 12, 217–230. [Google Scholar] [CrossRef]
- Cheung, K.S.; Yiu, E.; Zhang, Y. What matters more, school choices or neighbourhoods? Evidence from a socioeconomic based school zoning. Cities 2022, 128, 103772. [Google Scholar] [CrossRef]
- Rachele, J.N.; Mavoa, S.; Sugiyama, T.; Kavanagh, A.; Giles-Corti, B.; Brown, W.J.; Inoue, S.; Amagasa, S.; Turrell, G. Changes in neighbourhood walkability and body mass index: An analysis of residential mobility from a longitudinal multilevel study in Brisbane, Australia. Health Place 2024, 87, 103245. [Google Scholar] [CrossRef] [PubMed]
- Oyama, Y. Spatial city image and its formative factors: A street-based neighborhood cognition analysis. Cities 2024, 149, 104898. [Google Scholar] [CrossRef]
- Yin, L.; Wang, Z. Measuring visual enclosure for street walkability: Using machine learning algorithms and Google Street View imagery. Appl. Geogr. 2016, 76, 147–153. [Google Scholar] [CrossRef]
- Moura, F.; Cambra, P.; Gonçalves, A.B. Measuring walkability for distinct pedestrian groups with a participatory assessment method: A case study in Lisbon. Landsc. Urban Plan. 2017, 157, 282–296. [Google Scholar] [CrossRef]
- Hall, C.M.; Ram, Y. Walk score® and its potential contribution to the study of active transport and walkability: A critical and systematic review. Transp. Res. Part D Transp. Environ. 2018, 61, 310–324. [Google Scholar] [CrossRef]
- D’Orso, G.; Migliore, M. A GIS-based method for evaluating the walkability of a pedestrian environment and prioritised investments. J. Transp. Geogr. 2020, 82, 102555. [Google Scholar] [CrossRef]
- Gong, W.; Huang, X.; White, M.; Langenheim, N. Walkability Perceptions and Gender Differences in Urban Fringe New Towns: A Case Study of Shanghai. Land 2023, 12, 1339. [Google Scholar] [CrossRef]
- Bartzokas-Tsiompras, A.; Konstantinidou, E. Visual analytics of graffiti spatial patterns across 30 European city centres. Environ. Plan. B Urban Anal. City Sci. 2023, 50, 564–568. [Google Scholar] [CrossRef]
- Dickinson, C.; Manaugh, K.; Pathak, P.; Sengupta, R. Geographic identity and perceptions of walkable space. Travel Behav. Soc. 2024, 34, 100703. [Google Scholar] [CrossRef]
- Cui, Q.; Zhang, Y.; Yang, G.; Huang, Y.; Chen, Y. Analysing gender differences in the perceived safety from street view imagery. Int. J. Appl. Earth Obs. Geoinf. 2024, 124, 103537. [Google Scholar] [CrossRef]
- Yu, H.; Fang, Y.; Qi, X.; Wang, K.; Lei, Y.; Zhang, D.; Chen, Q.; Liu, D.; Ren, X. Sociodemographic characteristics of healthy volunteers along with their experience, attitude and concerns of clinical trials in Wuhan, China. Sci. Rep. 2023, 13, 19550. [Google Scholar] [CrossRef] [PubMed]
- Yang, Y.; Qian, Y.; Zeng, J.; Wei, X.; Yang, M. Walkability Measurement of 15-Minute Community Life Circle in Shanghai. Land 2023, 12, 153. [Google Scholar] [CrossRef]
- Wang, L.; He, S.; Zhao, C.; Su, S.; Weng, M.; Li, G. Unraveling urban food availability dynamics and associated social inequalities: Towards a sustainable food environment in a developing context. Sustain. Cities Soc. 2021, 77, 103591. [Google Scholar] [CrossRef]
- Wu, J.; Qin, W.; Peng, J.; Li, W. The Evaluation of Walkability and Daily Facility Distribution Reasonability of Futian District, Shenzhen Based on Walk Score. Urban Dev. Stud. 2014, 10, 49–56. [Google Scholar]
- Hainmueller, J.; Hazlett, C.J. Kernel regularized least squares: Reducing misspecification bias with a flexible and interpretable machine learning approach. Political Anal. 2014, 22, 143–168. [Google Scholar] [CrossRef]
- Fan, P.; Wan, G.; Xu, L.; Park, H.; Xie, Y.; Liu, Y.; Chen, J. Walkability in urban landscapes: A comparative study of four large cities in China. Landsc. Ecol. 2018, 33, 323–340. [Google Scholar] [CrossRef]
- Vaninsky, A. The Factor analysis of Economic Activity; Finance and Statistics: Moscow, Russia, 1984. [Google Scholar]
- Rundle, A.; Field, S.; Park, Y.; Freeman, L.; Weiss, C.C.; Neckerman, K. Personal and neighborhood socioeconomic status and indices of neighborhood walk-ability predict body mass index in New York City. Soc. Sci. Med. 2008, 67, 1951–1958. [Google Scholar] [CrossRef]
- Engel, L.; Chudyk, A.M.; Ashe, M.C.; McKay, H.A.; Whitehurst, D.G.T.; Bryan, S. Older adults’ quality of life–Exploring the role of the built environment and social cohesion in community-dwelling seniors on low income. Soc. Sci. Med. 2016, 164, 1–11. [Google Scholar] [CrossRef]
- Winters, M.; Voss, C.; Ashe, M.C.; Gutteridge, K.; McKay, H.; Sims-Gould, J. Where do they go and how do they get there? Older adults’ travel behaviour in a highly walkable environment. Soc. Sci. Med. 2015, 133, 304–312. [Google Scholar] [CrossRef]
- Peng, X. China’s demographic history and future challenges. Science 2011, 333, 581–587. [Google Scholar] [CrossRef] [PubMed]
- Alfonzo, M.; Guo, Z.; Lin, L.; Day, K. Walking, obesity and urban design in Chinese neighbourhoods. Prev. Med. 2014, 69, S79–S85. [Google Scholar] [CrossRef] [PubMed]
- Amoroso, S.; Castelluccio, F.; Maritano, L. Indicators for sustainable pedestrian mobility. Urban Transp. XVIII Urban Transp. Environ. 21st Century 2012, 18, 173. [Google Scholar]
- Boschmann, E.E.; Brady, S.A. Travel behaviors, sustainable mobility, and transit-oriented developments: A travel counts analysis of older adults in the Denver, Colorado metropolitan area. J. Transp. Geogr. 2013, 33, 1–11. [Google Scholar] [CrossRef]
- World Health Organization: Ageing. Available online: https://www.who.int/health-topics/ageing (accessed on 7 May 2024).
- Smith, G.; Gidlow, C.; Davey, R.; Foster, C. What is my walking neighbourhood? A pilot study of English adults’ definitions of their local walking neighbourhoods. Int. J. Behav. Nutr. Phys. Act. 2010, 7, 34. [Google Scholar] [CrossRef]
- Leslie, E.; Coffee, N.; Frank, L.; Owen, N.; Bauman, A.; Hugo, G. Walkability of local communities: Using geographic information systems to objectively assess relevant environmental attributes. Health Place 2007, 13, 111–122. [Google Scholar] [CrossRef]
- Ng, S.; Lau, W.; Brown, F.; Tam, E.; Lao, M.; Booth, V. Walkable City, Living Streets; Civic Exchange: Hong Kong, China, 2015; Volume 201. [Google Scholar]











| Frequency | Highest | Higher | Medium | Lower | Lowest | Occasionally |
|---|---|---|---|---|---|---|
| standard initial weight | 3 | 2.5 | 2 | 1.5 | 1 | 0.5 |
| Attenuation rate | 0 | 0.01 | 0.02 | 0.03 | 0.04 | 0.05 |
| Block length (m) | <120 | 120–150 | 150–165 | 165–180 | 180–195 | >195 |
| Intersection density (a/km2) | >77 | 58–77 | 47–58 | 35–47 | 23–35 | <23 |
| Categories | Indicators | Max | Min | Mean | SD |
|---|---|---|---|---|---|
| Gender | Proportion of women (%) | 1.00 | 0.00 | 0.49 | 0.07 |
| Culture | Proportion of ethnic minorities (%) | 0.67 | 0.00 | 0.02 | 0.03 |
| Occupation | Proportion of unemployed (%) | 0.73 | 0.00 | 0.08 | 0.08 |
| Proportion of blue-collar workers (%) | 1.00 | 0.00 | 0.43 | 0.25 | |
| Proportion of white-collar workers (%) | 0.50 | 0.00 | 0.02 | 0.03 | |
| Education | Proportion of illiteracy (%) | 0.60 | 0.00 | 0.01 | 0.02 |
| Proportion of people with low education (%) | 1.00 | 0.00 | 0.11 | 0.08 | |
| Proportion of people with high education (%) | 1.00 | 0.00 | 0.15 | 0.13 | |
| Marriage | Proportion of widow (%) | 0.18 | 0.00 | 0.02 | 0.02 |
| Proportion of divorced (%) | 0.50 | 0.00 | 0.02 | 0.02 | |
| Age | Proportion of adolescents aged between 0 and 17 years (%) | 0.50 | 0.00 | 0.08 | 0.06 |
| Proportion of elderly people aged over 65 years (%) | 1.00 | 0.00 | 0.10 | 0.09 |
| Overall WS | A WS | B WS | C WS | D WS | E WS | F WS | |
|---|---|---|---|---|---|---|---|
| KRLS-LOOCVC | 0.35 | 0.24 | 0.15 | 0.05 | 0.28 | 0.05 | 0.14 |
| KRLS-R2 | 0.37 | 0.25 | 0.18 | 0.05 | 0.29 | 0.07 | 0.14 |
| OLS-R2 | 0.18 ** | 0.15 ** | 0.13 ** | 0.01 | 0.11 ** | 0.03 | 0.08 ** |
Disclaimer/Publisher’s Note: The statements, opinions and data contained in all publications are solely those of the individual author(s) and contributor(s) and not of MDPI and/or the editor(s). MDPI and/or the editor(s) disclaim responsibility for any injury to people or property resulting from any ideas, methods, instructions or products referred to in the content. |
© 2024 by the authors. Licensee MDPI, Basel, Switzerland. This article is an open access article distributed under the terms and conditions of the Creative Commons Attribution (CC BY) license (https://creativecommons.org/licenses/by/4.0/).
Share and Cite
Wang, Q.; Li, G.; Weng, M. Unraveling the Dynamic Relationship between Neighborhood Deprivation and Walkability over Time: A Machine Learning Approach. Land 2024, 13, 667. https://doi.org/10.3390/land13050667
Wang Q, Li G, Weng M. Unraveling the Dynamic Relationship between Neighborhood Deprivation and Walkability over Time: A Machine Learning Approach. Land. 2024; 13(5):667. https://doi.org/10.3390/land13050667
Chicago/Turabian StyleWang, Qian, Guie Li, and Min Weng. 2024. "Unraveling the Dynamic Relationship between Neighborhood Deprivation and Walkability over Time: A Machine Learning Approach" Land 13, no. 5: 667. https://doi.org/10.3390/land13050667
APA StyleWang, Q., Li, G., & Weng, M. (2024). Unraveling the Dynamic Relationship between Neighborhood Deprivation and Walkability over Time: A Machine Learning Approach. Land, 13(5), 667. https://doi.org/10.3390/land13050667
