Abstract
The Temperate Highland Peat Swamps on Sandstone (TPHSS) in the Sydney Basin of Australia provide critical ecological and hydrological services but are increasingly threatened by wildfires and human activities such as underground mining. The 2019–2020 wildfires severely impacted these swamps, raising concerns about their resilience and recovery. This study assessed the post-fire recovery of swamps and evaluated the ability of remote sensing techniques to determine recovery patterns. Specifically, it investigated differences in post-fire recovery patterns between swamps where groundwater levels and soil moisture contents were impacted by underground mining and those unimpacted by mining. Two mined and one non-mined swamp were studied. Soil moisture contents were monitored at five sites, and previously performed vegetation field surveys (2016–2022) were utilized. Remote sensing indices, including the Normalized Difference Vegetation Index (NDVI) and Soil Moisture Index (SMI), were calculated and compared with ground data to map post-fire responses. The results showed that hydrological conditions directly affect post-fire recovery, with slower recovery in mined swamps compared to non-mined ones. This study demonstrated that NDVI and SMI indices can effectively determine recovery patterns in terms of vegetation and hydrology. However, evaluating the recovery pattern of specific vegetation species requires more frequent field surveys.
1. Introduction
The Temperate Highland Peat Swamps on Sandstone (THPSS) are unique ecosystems located in the Sydney Basin Bioregion of Australia. They are characterized by the accumulation of peat over Triassic Sandstone formations at elevations ranging from 600 to 1200 m above sea level [1]. These swamps support distinctive vegetation that depends on high groundwater levels, elevated soil moisture content, and organic-rich sediments [2,3]. However, some THPSS are situated above underground mining areas, where mining-induced subsidence and fracturing of the sandstone disrupt the hydrology of these ecosystems. Mining activities often result in groundwater drainage, altering the natural hydrological balance by reducing groundwater levels and decreasing soil moisture content [4,5,6]. Consequently, these changes in water availability can compromise the resilience of THPSS to environmental stressors, such as wildfires.
Wildfires are not uncommon in areas containing THPSS. These swamps typically demonstrate high resilience to fire, largely due to their elevated soil moisture levels and their capacity for rapid vegetation regrowth [1,7]. However, the impact of mining on the hydrology of these swamps, particularly in relation to their post-fire recovery, remains poorly understood. Underground mining often reduces soil moisture content, likely as a result of disrupted groundwater flow. Some studies [1,8,9] have suggested that drier soil conditions may reduce the resilience of swamps to fire disturbance, increasing the risk of permanent damage and loss of vegetation and ecological function. However, there is limited empirical evidence to confirm this. Consequently, understanding the post-fire recovery dynamics of mined and non-mined swamps is crucial. It is hypothesized that the recovery process in mined swamps differs significantly from that in non-mined swamps.
Remote sensing offers an innovative approach to quantifying fire severity and vegetation changes both temporally and spatially [10]. Traditionally, fire severity mapping has relied on moderate to coarse spatial resolution Landsat imagery with a pixel size of 30 m [11,12,13]. Advances in satellite technology now enable imagery with pixel resolutions as fine as three meters [14], making the application of remote sensing for characterizing fire impacts increasingly prevalent [15]. Beyond conventional fire severity mapping using multispectral imagery, satellite thermal bands provide the ability to generate spatially comprehensive measurements of surface environmental conditions, such as land surface temperature (LST) and soil moisture index (SMI). These metrics have the potential to enhance our understanding of post-fire recovery in THPSS swamps. While thermal imagery has been utilized in landscape-scale studies of wildfire impacts [16,17,18,19], significant knowledge gaps remain regarding the utility of multispectral and thermal imagery combinations for assessing fire impacts at finer spatial scales, such as the plot scale (<500 m2) and the local scale (1 km2).
This study aims to investigate the post-fire recovery of THPSS swamps, with a focus on comparing mined-under and non-mined-under sites. The specific objectives are to (i) determine the post-fire recovery patterns of mined-under and non-mined-under THPSS swamps and (ii) evaluate the potential of remote sensing data to assess the post-fire recovery of THPSS swamps.
2. Materials and Methods
2.1. Site Description
Three swamps were selected for this study, including two located in the Newnes Plateau (Swamps A and B) and one in the Upper Nepean region (Swamp C) of the Sydney Basin Bioregion (Figure 1). These swamps were chosen based on their accessibility, history of underground mining activities, and exposure to significant fire events. Swamps A and B, which have monitoring locations A1, B1, and B2, are situated above underground mining areas (Figure 1a). In contrast, Swamp C, with one monitoring location (C1), has no history of underground mining (Figure 1b).
Figure 1.
Aerial photo indicating the study locations in (a) Newnes Plateau (mined-under swamps): Swamp A (8.9 ha) and Swamp B (5.09 ha); (b) Upper Nepean (non-mined-under swamp): Swamp C (9.02 ha). The green points on Swamp B represent the vegetation monitoring transects. A1, B1, B2, and C1 represent the soil moisture monitoring points.
In December 2019, an unprecedented wildfire of large scale and severity burned through the Newnes Plateau, affecting Swamps A and B along with other nearby swamps. Similarly, Swamp C experienced a wildfire in May 2020. The combination of mining history and extensive wildfire events provides a unique context for examining the influence on the resilience and post-fire recovery dynamics of these unique ecosystems.
The study swamps have warm summers and cool winters [2]. The long-term average annual rainfall was 793 mm and 1124 mm for the Newnes Plateau and Upper Nepean areas, respectively [20]. The average annual minimum and maximum temperatures at Newnes Plateau and Upper Nepean were −1.1 °C 23.5 °C and 1.7 °C and 29.3 °C [20]. Daily rainfall and air temperature data of the study locations before and after the fire events are presented in Figure A1.
2.2. Remote Sensing Data
To assess post-fire recovery patterns, remote sensing techniques were employed to de-rive the vegetation status: Normalized Difference Vegetation Index (NDVI), fire severity mapping, and SMI. NDVI was chosen due to its established effectiveness in tracking vegetation health, biomass, and cover, especially post-disturbance, which aligns with the study’s goal of monitoring vegetation recovery. While other indices, such as the Soil Adjusted Vegetation Index (SAVI), Enhanced Vegetation Index (EVI), and Enhanced Normalized Difference Vegetation Index (ENDVI), could be used, NDVI provides a straightforward measure for vegetation biomass and greenness changes. Similarly, SMI was selected due to its capacity to quantify soil moisture, a crucial factor for understanding post-fire recovery, as moisture fluctuations drive vegetation dynamics.
These metrics were generated from two distinct datasets with varying spatial resolutions. High spatial resolution (3 m) imagery was used to generate NDVI and dNDVI maps for analyzing vegetation cover and fire severity. Pre- and post-fire Planet imagery was acquired for Swamps A and B specified dates (Table 1).
Table 1.
A summary of the satellite data characteristics used in this study.
Landsat Data: Medium spatial resolution (30 m) imagery was used to estimate LST, which served as an input for calculating SMI. Bands 10 and 11 from Landsat 8 were used for thermal radiance measurements, with adjustments for surface emissivity. Landsat 8 satellite carries the Operational Land Imager (OLI) and Thermal Infrared Sensor (TIRS). The imagery was retrieved from Google Earth Engine and USGS Earth Explorer. The spatial resolution of the multispectral bands was 30 m, and the thermal bands had a 100 m resolution, resampled to 30 m. The revisit time for Landsat 8 is 16 days, with available data spanning from [2019–2023]. These images cover both pre- and post-fire periods for monitoring vegetation and soil moisture recovery.
Additionally, Landsat data (30 m imagery) was employed to analyze vegetation cover (NDVI) for Swamp C, as Planet data were unavailable for Swamp C on the specified dates.
Pre-processing of the remote sensing data was performed to correct for atmospheric effects, cloud cover, and other distortions. Atmospheric correction was conducted using the LEDAPS (Landsat Ecosystem Disturbance Adaptive Processing System) algorithm, which corrects for atmospheric scattering and absorption. Cloud masking was carried out using the Fmask algorithm to remove cloud and cloud-shadow pixels from the imagery. Additionally, geometric corrections were applied to align the images from different dates.
2.3. In Situ Soil Moisture Monitoring
Topsoil moisture fluctuations at sites A1, B1, and B2 were measured using soil water potential meters (Tensiomark, Sentek Pty Ltd. Stepney, South Australia, Australia [21]) installed 10 cm below the surface. At site C1, soil moisture was monitored using a Sentek soil moisture sensor, also placed 10 cm below the surface. For sites A1, B1, and B2, the water potential data were converted to volumetric water content using soil water retention curve parameters specific to the swamps, as described in Shaygan, Baumgartl, and McIntyre [2]. The Sentek sensor at site C1 directly provided volumetric water content values based on calibration curves provided by Sentek Pty Ltd. Stepney, South Australia, Australia [22]. Soil moisture monitoring was conducted for Swamps A, B, and C from 2019 to 2022.
2.4. In Situ Vegetation Monitoring
Field vegetation surveys were conducted annually by the mine, which provided permission for us to use them in this project. Data were collected for Swamp B from 2016 to 2022 using five transects with ten survey points, as shown in Figure 1. Surveys for Swamps A and C could not be carried out due to access restrictions imposed by COVID-19. However, as noted by Young [1], the vegetation communities across the study swamps (A, B, and C) are similar. Consequently, the validation data from Swamp B are considered applicable to all the study swamps.
2.5. Remote Sensing Indices
2.5.1. Vegetation/NDVI
Vegetation recovery was monitored through NDVI. The NDVI value, which has been widely employed for assessing vegetation cover, health, and vigor [23,24,25], correlates with greenness and biomass and utilizes RED and NIR (the Red and Near-Infrared) bands of the electromagnetic spectrum (Equation (1)).
where NIR represents the reflectance in the near-infrared band, and RED represents the reflectance in the red band, NDVI values range from −1 to 1, with higher values signifying healthier vegetation and increased biomass. Based on vegetation cover percentage, the resulting rasters were classified into five severity vegetation cover categories: severely burnt or bare, burnt, low cover, moderate cover, and high cover (Table 2). This classification approach reflects variations in vegetation recovery and fire impact across the study swamps.
2.5.2. Fire Severity/dNDVI
Fire severity maps were generated using high spatial resolution surface reflectance Planet imagery (3 m) [14]. For Swamps A and B, pre-fire and post-fire images were acquired on 3 December 2019 and 27 February 2020, respectively. For Swamp C, pre-fire and post-fire images were acquired on 8 May and 10 May 2020 (Table 1). Differenced NDVI rasters were created by performing image differencing in ArcGIS Pro (version 10.9), using the pre- and post-fire images to produce fire severity rasters. The computation followed Equation (2):
The resulting rasters were classified into five fire severity categories: unburnt, low, moderate, high, and extreme severity (Table 3). To validate these classifications, preliminary dNDVI fire severity maps were used to randomly assign 50 points to each class. These points were then ranked based on fire severity class descriptions outlined by Gibson et al. [26] (Table 3) and verified through aerial photo interpretation (API) of high-resolution imagery captured before and after the fires. Class thresholds were re-evaluated based on API, and an error matrix was generated to calculate the accuracy of the fire severity maps. The error matrix was not able to be produced for Swamp C. However, as the vegetation communities are similar in the study swamps [1], the error matrix from Swamp A and B is applicable to Swamp C.
Table 3.
Fire severity rankings used in the API ground-truthing based on Gibson et al. [26].
2.5.3. Soil Moisture Analysis/SMI
Soil moisture analysis using remote sensing data involved two steps: (i) the calculation of Land Surface Temperature (LST) and (ii) the calculation of SMI.
Land Surface Temperature (LST) is defined as the radiative skin temperature of any land derived from solar radiation [27]. Landsat 8 OLI satellite imagery was used to calculate the LST, and Bands 10 and 11 were used to capture spectral radiance (10.6–11.19 µm and 11.5–12.51 µm, respectively). The Landsat series of satellites derived from GEE (Google Earth Engine, Python version 3.7.0) provided LST estimates at a resolution of 30 m using the algorithm following Ermida et al. [28] and was suitable for local/regional scale study sites. The LST retrieval algorithm used here requires prescribed values of surface emissivity [29]. Surface emissivity over time can vary due to annual and inter-annual variations in vegetation density. Therefore, a vegetation adjustment was applied using NDVI, and a fraction of vegetation cover was derived to calculate LST [30]. The methodology for deriving LST was described by Ermida et al. [28].
The SMI is defined as the proportion of the difference between the current soil moisture and the permanent wilting point to the field capacity and the residual soil moisture [31]. The index values range from 0 to 1, with 0 indicating very dry conditions and 1 indicating soil moisture at field capacity [31]. The SMI value of each study site is the value of a single pixel representing the relevant site. The soil moisture index is primarily derived from the land surface temperature (LST) and vegetation indices (NDVI) of the region under study. The SMI was calculated on the empirical parameterization of the relationship between LST and NDVI using Equation (3).
where LSTmax and LSTmin are the maximum and minimum surface temperatures for a given NDVI and LST is the land surface temperature derived from Landsat 8 bands 10 and 11.
The workflow diagram indicating the steps of calculating NDVI, dNDVI, and SMI is shown in Figure 2. Time series of NDVI and LST were extracted from Google Earth Engine (GEE) using Landsat 8 surface reflectance values.
Figure 2.
The diagram indicates the process of calculating NDVI, dNDVI, and SMI.
2.6. Validation of Remote Sensing Indices
The SMI values were extracted from the corresponding pixels measured soil moisture values collected in situ to derive the correlation between measured volumetric soil moisture contents and SMI values. This provides validation and indicates the accuracy of the calculated SMI values by reflecting how well the SMI represents soil moisture content. The validation was performed by comparing the SMI value of the pixel in the monitoring location with in situ volumetric soil moisture measurements taken at the surface (10 cm depth). Although SMI relates to surface moisture, it is a suitable proxy for soil moisture dynamics of the soil profile. Correlations between surface moisture and deeper soil moisture are commonly observed, particularly in the post-fire recovery phase, where moisture dynamics at the surface directly influence vegetation regrowth. The soil moisture of the deeper depths can be estimated using soil hydrological parameters of soil. To ensure accuracy, the correlation between SMI and in situ measurements was computed for each monitoring site.
NDVI data validation was performed using vegetation survey data from Swamp B. The GPS coordinates of the vegetation monitoring locations were utilized to extract NDVI values corresponding to the relevant pixels. A correlation was then established between the total plant cover recorded in the field surveys and the NDVI values at the respective monitoring points. This correlation assessed the accuracy of the NDVI data and maps, demonstrating how effectively NDVI values represent the vegetation cover within the swamps.
2.7. Analysis
NDVI and SMI values were extracted from individual pixels corresponding with monitoring locations within each swamp and plotted against time to understand the vegetation and moisture changes pre- and post-fire events. Pixels were chosen from homogeneous areas where the swamp width exceeded 30 m to minimize interference from non-swamp vegetation along the swamp edges. A cloud filter of less than 5% was applied in GEE to reduce cloud interference in the plots.
3. Results
In this section, we first present the dNDVI maps of the study swamps to understand the impact of fires within each swamp. Then, we present the NDVI and SMI maps, followed by the NDVI and SMI time series of selected sites. This provides an opportunity to compare the vegetation cover and soil moisture changes between mined-under and non-mined-under swamps. This also provides an opportunity to assess the effect of fire severity on vegetation cover and soil moisture fluctuations. Finally, the assessment of remote sensing accuracy against ground data is reported.
3.1. Fire Severity of the Swamps
The imagery revealed the impact of wildfires on the swamps (Figure 3). At Newnes Plateau, Swamp B and the vegetation communities to the north experienced more severe impacts than Swamp A (Figure 3c). Meanwhile, at Upper Nepean, the central part of Swamp C was notably affected by the wildfire and burnt severely during the fire event in comparison to the surrounding areas (Figure 3f). Based on the fire severity maps, site A1 was classified as low burn severity, B1 as high burn severity, B2 as moderate burn severity, and C1 as extreme burn severity (Figure 3c,f).
Figure 3.
Planet satellite imagery showing (a) CIR pre-fire; (b) CIR post-fire; (c) classified fire severity map using dNDVI on the Swamp A and Swamp B from the Newnes Plateau; (d) CIR pre-fire, (e) CIR post-fire; and (f) classified fire severity map using dNDVI on the Swamp C from Upper Nepean.
The error matrix for the fire severity map indicated an overall accuracy of 77% (Table 3 and Table A1). For the high and extreme severity classes, user accuracy was 77% and 100%, respectively, while producer accuracy was 88% for high severity and 65% for extreme severity (Table A1). The kappa index was 71% (Table A1), suggesting a good agreement between the reference samples and the final severity model.
3.2. Vegetation Cover Changes
A higher NDVI value represents a higher greenness and biomass of vegetation, while a lower value represents a lower greenness and biomass [23,32,33]. Swamp A vegetation communities were not severely affected by the 2019 wildfire, and the communities commenced to recover in March 2020 (Figure 4). Although swamp B and its vegetation communities to the north were affected severely, the communities to the north of swamp B commenced to recover in March 2021, in which the greenness/biomass returned approximately to the pre-fire condition in May 2022, 884 days after the fire (Figure 6). The NDVI time series of the sites in Swamps A and B indicated that the changes in vegetation cover of swamps were similar before the wildfire (Figure 6). Both swamps reached a peak NDVI of 0.8 in July 2019. Then, in both, a significant reduction in NDVI values was observed from September 2019 possibly due to the drought condition (Figure 6). The NDVI values of the A1, B1, and B2 sites approached 0.38, 0.34, and 0.31 in December 2019 following the wildfire (Figure 4) and returned to pre-fire values (>0.66) in July 2022 (Figure 6). The NDVI time series for C1 in the non-mined-under swamp indicates a drop in NDVI to 0.46 after the wildfire (Figure 5 and Figure 6). For this site, the vegetation returned to pre-fire condition after one year when the NDVI value increased to 0.81 (Figure 5 and Figure 6).


Figure 4.
(a–l) Planet NDVI maps for Swamps A and B from September 2019 to April 2023 (wildfire occurred in December 2019). The white box in each map presents the NDVI value range for each month.
Figure 4.
(a–l) Planet NDVI maps for Swamps A and B from September 2019 to April 2023 (wildfire occurred in December 2019). The white box in each map presents the NDVI value range for each month.




Figure 5.
(a–f) Landsat NDVI maps for Swamp C from April 2020 to February 2023 (wildfire occurred in May 2020).
Figure 5.
(a–f) Landsat NDVI maps for Swamp C from April 2020 to February 2023 (wildfire occurred in May 2020).


Figure 6.
The NDVI time series from January 2007 to January 2023 for monitoring locations A1, B1, B2, and C1. The dotted red lines represent the December 2019 fire event affected sites A1, B1, and B2, and the May 2020 fire event affected site C1.
Figure 6.
The NDVI time series from January 2007 to January 2023 for monitoring locations A1, B1, B2, and C1. The dotted red lines represent the December 2019 fire event affected sites A1, B1, and B2, and the May 2020 fire event affected site C1.

3.3. Soil Moisture Index Fluctuations
The soil moisture values recorded in Swamps A and B were notable in December 2019 (when wildfire occurred with high LST; see Appendix A) compared to previous and following months, with SMI values as low as 0.1 in some areas (Figure 7). The SMI value for site A1 (low severity burnt site) dropped to 0.2 at the time of the fire event in December 2019 then returned to its pre-fire condition in November 2020 with an SMI value of 0.60 (Figure 7b). The SMI value then fluctuated before remaining constant between 0.6 and 0.55 (Figure 7b). For site B1 (high-severity burnt site), the SMI dropped to 0.43 at the time of the fire in December 2019. Then, it increased to 0.67 in March 2020 before fluctuating significantly (Figure 7b). For site B2 (moderate severity burnt site), the SMI dropped to 0.32 during the fire before returning to pre-fire conditions with small fluctuations in March 2020 with an SMI value of 0.61 (Figure 7b). The SMI value then remained stable until March 2023 for this site (Figure 7b). For site C1, the SMI value was 0.4 in August 2019, and it dropped to 0.002 as the swamp was burnt in May 2020 (Figure 8). The SMI returned to its pre-fire condition in April 2021, almost a year after the bushfire, with an SMI value of 0.34, and then it remained in a steady condition (Figure 8).
Figure 7.
Soil moisture index (SMI) fluctuations in Newnes Plateau study swamps: (a) SMI maps of Swamp A and Swamp B topsoil from July 2019 to February 2021 and (b) SMI time series for topsoil of studied sites in Newnes Plateau (monitoring locations A1, B1, and B2) (the wildfire occurred in December 2019).
Figure 8.
Soil moisture index (SMI) fluctuations in Upper Nepean study swamp: (a) SMI maps of Swamp C topsoil from August 2019 to April 2021 and (b) SMI time series for topsoil of the studied site in Upper Nepean (monitoring location C1). The dotted red line represents the fire event for the location (the wildfire occurred in May 2020).
3.4. Validation of Remote Sensing Metrics
Figure 9 shows the comparison of NDVI values with field-surveyed vegetation cover data from the five monitoring transects, as indicated in Figure 1. The correlation coefficient (R2) was 0.86 (n = 17), suggesting that the NDVI data time series and NDVI maps effectively represent variations in vegetation cover.
Figure 9.
Correlation between observed field vegetation cover and NDVI values.
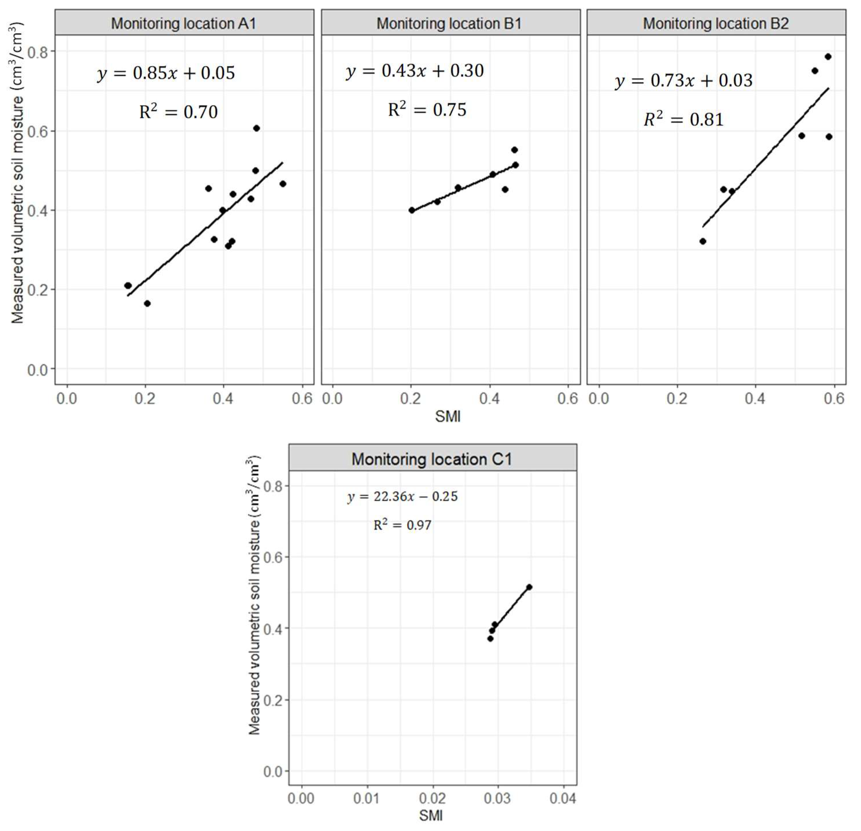
A strong correlation was observed between the measured soil volumetric moisture contents in 10 cm soil depth and SMI values, in which the correlation coefficient values were 0.7 (n = 13), 0.75 (n = 7), 0.8 (n = 8) and 0.97 (n = 5) for sites A1, B1, B2, and C1 (Figure 10).
Figure 10.
Correlation between the calculated soil moisture index (SMI) values and measured volumetric moisture contents of the topsoil of the studied sites.
4. Discussion
4.1. Post-Fire Recovery of Mined-Under and Non-Mined-Under THPSS
Temperate Highland Peat Swamps on Sandstone are characterized by plant species that exhibit rapid regrowth following fires, primarily due to the high soil moisture content of these swamps [1,7,34]. However, post-fire recovery may differ between mined-under swamps and non-mined-under swamps. In this study, vegetation recovery was defined as the point when NDVI variation reaches pre-fire levels. The NDVI time series revealed that vegetation recovery in mined-under swamps was slower compared to non-mined-under swamps. Vegetation in the non-mined-under swamp (i.e., Swamp C) recovered almost a year after the fire, while recovery in the mined-under swamps (i.e., Swamp A and B) took 2.5 years (Figure 4, Figure 5 and Figure 6). The hydrology of swamps affected by underground mining appears to influence post-fire recovery. In this context, soil moisture, which is influenced by rainfall, groundwater levels, evaporation, and evapotranspiration, can serve as an indicator of swamp hydrology when comparing similar soil types [2]. Therefore, understanding soil moisture recovery can help explain the post-fire recovery process in both mined and non-mined swamps. This study found that vegetation recovery in the study swamps was linked to fluctuations in soil moisture. The soil moisture content of the non-mined-under swamp returned to pre-fire levels almost a year after the fire, while the mined-under swamps experienced greater soil moisture fluctuations (Figure 6 and Figure 7). These fluctuations impacted the post-fire vegetation recovery timeline, with non-mined-under swamps recovering more quickly. This finding aligns with other studies [34,35,36], which concluded that enhanced drainage in peatlands results in drier conditions and more fluctuations in soil moisture, ultimately influencing post-fire recovery. This study suggests that post-fire vegetation recovery in swamps is influenced by post-fire hydrology, with higher soil moisture content leading to more rapid recovery, while lower soil moisture may delay the process.
Fire severity may influence the pattern of post-fire vegetation recovery [37,38,39]. Interestingly, no significant differences were observed in the vegetation cover recovery across sites with varying fire severities in the mined-under swamps (A1: low burn, B1: high burn, and B2: moderate burn). The NDVI time series for these sites followed a similar pattern, with recovery occurring by July 2022 (Figure 5). This may be attributed to the comparable soil hydrological properties across the study sites (Table A2), which likely led to similar hydrological changes despite differing fire severities. This finding contrasts with the work of Moody et al. [40], who reported that soil hydraulic properties in high-burn areas differ significantly from those in low-burn sites, with higher fire severity resulting in greater hydraulic conductivity and porosity.
4.2. Remote Sensing as a Tool to Assess the Post-Fire Recovery of THPSS
Remote sensing techniques can indicate changes in vegetation cover and biomass temporally and spatially using NDVI [23,32,33,41]. As such, this index is valuable for understanding the post-fire recovery of swamps. A strong correlation between monitored vegetation cover and remotely sensed values, such as NDVI, can validate the use of remote sensing for assessing vegetation changes over time [38,42,43]. In this study, the strong agreement between monitored vegetation cover and NDVI values (Figure 9) suggests that NDVI can provide valuable ecological insights into the recovery of THPSS swamps, especially where high spatial resolution is needed to accurately detect vegetation recovery after fires. While NDVI values cannot distinguish the recovery of individual plant species, they can reveal broad patterns in the post-fire recovery of THPSS swamp communities. To understand the recovery of specific plant species, however, an intensive vegetation monitoring program (e.g., quarterly surveys) using drones and field surveys would be necessary. This approach is similar to identifying ecological changes, such as growth, in individual plant species that have not been affected by fire [44,45].
The SMI has been established to indicate topsoil moisture content in agricultural land [31,46]. However, its suitability for evaluating soil moisture content in other ecosystems, such as swamps, has not been studied. The strong correlation between measured soil moisture content and SMI values in the selected THPSS (Figure 10) demonstrates that the soil moisture index can effectively reflect the topsoil moisture content of THPSS swamps. This study highlights the potential of remote sensing techniques as a tool for assessing soil moisture fluctuations in the topsoil of both mined-under and non-mined-under swamps. While SMI values cannot directly represent the moisture content at greater depths in the soil profile, a functional relationship exists between shallow soil moisture and surface water content, as characterized by the water retention curve. Therefore, SMI values can provide insights into the soil moisture status and general recovery patterns of THPSS swamp hydrology.
This study demonstrated that remote sensing can serve as an effective tool for assessing the post-fire recovery of THPSS swamps, including both mined-under and non-mined-under swamps. Our focus was on evaluating the broad patterns of post-fire recovery in swamp vegetation communities, and the limitations of remote sensing techniques did not hinder this analysis. However, we recommend conducting frequent vegetation surveys in future studies to determine ecological changes in individual plant species. This research suggests the potential for remote sensing to assess the impact of fire on vegetation and soil moisture changes in both national and global THPSS swamps and peatlands, particularly in areas where physical site access is not feasible. Future studies could also integrate ecological and hydrological models with remote sensing data, enhancing projections of recovery patterns and resilience under varying fire severities and mining impacts. Additionally, emerging technologies, such as drone-based imagery, could improve spatial resolution and enable the detection of fine-scale variations in vegetation within these unique ecosystems.
5. Conclusions
This study assessed the post-fire recovery of THPSS for both mined-under swamps and non-mined-under swamps. The primary objectives were to determine differences in recovery patterns between these swamps and to evaluate the effectiveness of remote sensing indices such as NDVI and SMI in monitoring vegetation and soil moisture recovery. The findings have significant implications for managing THPSS ecosystems, particularly in areas affected by mining and wildfires. The key findings were as follows:
- Remote sensing indices can be used to assess post-fire recovery of THPSS swamps.
- The post-fire recovery of THPSS swamps depends on their post-fire hydrology.
- The post-fire recovery of mined-under swamps is slower than that of non-mined-under swamps.
- The NDVI and SMI values derived from satellite imagery of THPSS can present broad recovery patterns of swamp vegetation and hydrology.
These findings emphasize the critical role of hydrology in post-fire recovery and highlight the potential of remote sensing for ecosystem monitoring. These insights can guide management strategies for THPSS and similar ecosystems, particularly in mitigating the combined impacts of mining and wildfire.
Author Contributions
Conceptualization and methodology, M.S.; software, M.A. and N.U.; validation, P.B.M.; formal analysis and investigation, MA. and M.S.; resources, M.S.; data curation, M.A.; writing—original draft preparation, M.S. and M.A.; writing—review and editing, P.B.M., M.S., T.B. and N.M.; visualization, M.S., M.A., P.B.M., N.M. and T.B.; supervision, M.S., T.B. and N.M.; project administration, M.A. and M.S.; funding acquisition, M.S. All authors have read and agreed to the published version of the manuscript.
Funding
This research was funded by the Australian Coal Association Research Program, Australia, grant number C33028.
Data Availability Statement
The raw data supporting the conclusions of this article will be made available by the authors on request.
Conflicts of Interest
The authors declare no conflicts of interest.
Appendix A
Figure A1.
Air temperature and daily rainfall data for the (a) Newnes Plateau before and after the fire in 2019 and the (b) Upper Nepean before and after the fire in 2020 [47].
Figure A1.
Air temperature and daily rainfall data for the (a) Newnes Plateau before and after the fire in 2019 and the (b) Upper Nepean before and after the fire in 2020 [47].

Figure A2.
Landsat land surface temperature (LST) for the topsoil of the studied sites in Newnes Plateau: (a) A1 (b) B1, and (c) B2. The red mark indicates the fire event.
Figure A2.
Landsat land surface temperature (LST) for the topsoil of the studied sites in Newnes Plateau: (a) A1 (b) B1, and (c) B2. The red mark indicates the fire event.

Figure A3.
Landsat land surface temperature for topsoil of the studied sites in Upper Nepean: Swamp C. The red mark indicates the fire event.
Figure A3.
Landsat land surface temperature for topsoil of the studied sites in Upper Nepean: Swamp C. The red mark indicates the fire event.

Table A1.
Confusion matrix of Swamp A and B classified fire severity map.
Table A1.
Confusion matrix of Swamp A and B classified fire severity map.
| Class | Unburnt | Low | Moderate | High | Extreme | Total | User Accuracy | Kappa |
|---|---|---|---|---|---|---|---|---|
| Unburnt | 67 | 39 | 1 | 0 | 0 | 107 | 0.63 | |
| Low | 0 | 50 | 15 | 0 | 0 | 65 | 0.77 | |
| Moderate | 0 | 1 | 74 | 8 | 0 | 83 | 0.89 | |
| High | 0 | 0 | 3 | 56 | 14 | 73 | 0.77 | |
| Extreme | 0 | 0 | 0 | 0 | 26 | 26 | 1 | |
| Total | 67 | 90 | 93 | 64 | 40 | 354 | ||
| Producer Accuracy | 1 | 0.56 | 0.80 | 0.88 | 0.65 | 0.77 | ||
| Kappa | 0.71 |
Table A2.
Soil hydrological properties of the Newnes Plateau study site.
Table A2.
Soil hydrological properties of the Newnes Plateau study site.
| Location | Fire Severity | Soil Properties | |||
|---|---|---|---|---|---|
| Hydraulic Conductivity (cm/s) | Total Porosity (cm3/cm3) | Macro-Pore Volume (cm3/cm3) | Plant Available Water (cm3/cm3) | ||
| Newnes Plateau | High | 0.002a | 0.56a | 0.18a ns | 0.17a |
| Moderate | 0.002a | 0.56a | 0.17a | 0.18a | |
| Low | 0.003a ns | 0.57a ns | 0.18a | 0.18a ns |
ns: non-significant at p < 0.05 (one-way ANOVA test followed by a post hoc test).
References
- Young, A. Upland Swamps in the Sydney Region; Ann Young: Thirroul, Australia, 2017. [Google Scholar]
- Shaygan, M.; Baumgartl, T.; McIntyre, N. Characterising soil physical properties of selected Temperate Highland Peat Swamps on Sandstone in the Sydney Basin Bioregion. J. Hydrol. Reg. Stud. 2022, 40, 101006. [Google Scholar] [CrossRef]
- Cowley, K.L.; Fryirs, K.A.; Hose, G.C. The hydrological function of upland swamps in eastern Australia: The role of geomorphic condition in regulating water storage and discharge. Geomorphology 2018, 310, 29–44. [Google Scholar] [CrossRef]
- Fryirs, K.A.; Cowley, K.; Hose, G.C. Intrinsic and extrinsic controls on the geomorphic condition of upland swamps in Eastern NSW. Catena 2016, 137, 100–112. [Google Scholar] [CrossRef]
- Mason, T.; Krogh, M.; Popovic, G.; Glamore, W.; Keith, D. Persistent effects of underground longwall coal mining on freshwater wetland hydrology. Sci. Total Environ. 2021, 772, 144772. [Google Scholar] [CrossRef] [PubMed]
- Mason, T.; Keith, D.; Letten, A. Detecting state changes for ecosystem conservation with long-term monitoring of species composition. Ecol. Appl. 2017, 27, 458–468. [Google Scholar] [CrossRef]
- Keith, D.; Myerscough, P. Floristics and soil relations of upland swamp vegetation near Sydney. Aust. J. Ecol. 1993, 18, 325–344. [Google Scholar] [CrossRef]
- Boisramé, G.; Thompson, S.; Collins, B.; Stephens, S. Managed wildfire effects on forest resilience and water in the Sierra Nevada. Ecosystems 2017, 20, 717–732. [Google Scholar] [CrossRef]
- Johnstone, J.F.; Hollingsworth, T.N.; Chapin, F.S., III; Mack, M.C. Changes in fire regime break the legacy lock on successional trajectories in Alaskan boreal forest. Glob. Change Biol. 2010, 16, 1281–1295. [Google Scholar] [CrossRef]
- Parks, S.A.; Holsinger, L.M.; Voss, M.A.; Loehman, R.A.; Robinson, N.P. Mean composite fire severity metrics computed with Google Earth Engine offer improved accuracy and expanded mapping potential. Remote Sens. 2018, 10, 879. [Google Scholar] [CrossRef]
- Wing, M.G.; Burnett, J.D.; Sessions, J. Remote sensing and unmanned aerial system technology for monitoring and quantifying forest fire impacts. Int. J. Remote Sens. Appl. 2014, 4, 18–35. [Google Scholar] [CrossRef]
- Lentile, L.B.; Smith, A.M.; Hudak, A.T.; Morgan, P.; Bobbitt, M.J.; Lewis, S.A.; Robichaud, P.R. Remote sensing for prediction of 1-year post-fire ecosystem condition. Int. J. Wildland Fire 2009, 18, 594–608. [Google Scholar] [CrossRef]
- Hall, R.J.; Freeburn, J.; De Groot, W.; Pritchard, J.; Lynham, T.; Landry, R. Remote sensing of burn severity: Experience from western Canada boreal fires. Int. J. Wildland Fire 2008, 17, 476–489. [Google Scholar] [CrossRef]
- Planet. Mapping and GIS Imagery with Planet. Available online: https://www.planet.com/ (accessed on 15 February 2020).
- Ibrahim, S.a.; Kose, M.; Adamu, B.; Jega, I.M. Remote sensing for assessing the impact of forest fire severity on ecological and socio-economic activities in Kozan District, Turkey. J. Environ. Stud. Sci. 2024, 1–13. [Google Scholar] [CrossRef]
- Schag, G.M.; Stow, D.A.; Riggan, P.J.; Tissell, R.G.; Coen, J.L. Examining landscape-scale fuel and terrain controls of wildfire spread rates using repetitive airborne thermal infrared (ATIR) imagery. Fire 2021, 4, 6. [Google Scholar] [CrossRef]
- San-Miguel, I.; Andison, D.W.; Coops, N.C. Characterizing historical fire patterns as a guide for harvesting planning using landscape metrics derived from long term satellite imagery. For. Ecol. Manag. 2017, 399, 155–165. [Google Scholar] [CrossRef]
- Stow, D.; Riggan, P.; Schag, G.; Brewer, W.; Tissell, R.; Coen, J.; Storey, E. Assessing uncertainty and demonstrating potential for estimating fire rate of spread at landscape scales based on time sequential airborne thermal infrared imaging. Int. J. Remote Sens. 2019, 40, 4876–4897. [Google Scholar] [CrossRef]
- Schag, G.M.; Stow, D.A.; Riggan, P.J.; Nara, A. Spatial-statistical analysis of landscape-level wildfire rate of spread. Remote Sens. 2022, 14, 3980. [Google Scholar] [CrossRef]
- Bureau of Meteorology. Climate Data. Available online: http://www.bom.gov.au/climate/data/ (accessed on 18 May 2023).
- EcoTech. Tensiomark. Available online: https://www.ecotech.de/produkt/tensiomark/ (accessed on 23 February 2019).
- Sentek Pty Ltd. Calibration Manual for Sentek Soil Moisture Sensors. Available online: https://sentektechnologies.com/products/soil-data-probes/ (accessed on 16 September 2019).
- Ozyavuz, M.; Bilgili, B.; Salici, A. Determination of vegetation changes with NDVI method. J. Environ. Prot. Ecol. 2015, 16, 264–273. [Google Scholar]
- Carlson, T.N.; Gillies, R.R.; Perry, E.M. A method to make use of thermal infrared temperature and NDVI measurements to infer surface soil water content and fractional vegetation cover. Remote Sens. Rev. 1994, 9, 161–173. [Google Scholar] [CrossRef]
- Rouse, J.W.; Haas, R.H.; Schell, J.A.; Deering, D.W. Monitoring vegetation systems in the Great Plains with ERTS. NASA Spec. Publ. 1974, 351, 309. [Google Scholar]
- Gibson, R.; Danaher, T.; Hehir, W.; Collins, L. A remote sensing approach to mapping fire severity in south-eastern Australia using sentinel 2 and random forest. Remote Sens. Environ. 2020, 240, 111702. [Google Scholar] [CrossRef]
- Khan, A.; Chatterjee, S.; Weng, Y. Characterizing thermal fields and evaluating UHI effects. In Urban Heat Island Modeling for Tropical Climates; Elsevier: Amsterdam, The Netherlands, 2021; pp. 37–67. [Google Scholar]
- Ermida, S.L.; Soares, P.; Mantas, V.; Göttsche, F.-M.; Trigo, I.F. Google earth engine open-source code for land surface temperature estimation from the landsat series. Remote Sens. 2020, 12, 1471. [Google Scholar] [CrossRef]
- Hulley, G.C.; Hook, S.J.; Abbott, E.; Malakar, N.; Islam, T.; Abrams, M. The ASTER Global Emissivity Dataset (ASTER GED): Mapping Earth’s emissivity at 100-meter spatial scale. Geophys. Res. Lett. 2015, 42, 7966–7976. [Google Scholar] [CrossRef]
- Carlson, T.N.; Ripley, D.A. On the relation between NDVI, fractional vegetation cover, and leaf area index. Remote Sens. Environ. 1997, 62, 241–252. [Google Scholar] [CrossRef]
- Saha, A.; Patil, M.; Goyal, V.C.; Rathore, D.S. Assessment and impact of soil moisture index in agricultural drought estimation using remote sensing and GIS techniques. Proceedings 2019, 7, 2. [Google Scholar] [CrossRef]
- Sun, J.; Wang, X.; Chen, A.; Ma, Y.; Cui, M.; Piao, S. NDVI indicated characteristics of vegetation cover change in China’s metropolises over the last three decades. Environ. Monit. Assess. 2011, 179, 1–14. [Google Scholar] [CrossRef]
- Aburas, M.M.; Abdullah, S.H.; Ramli, M.F.; Ash’aari, Z.H. Measuring land cover change in Seremban, Malaysia using NDVI index. Procedia Environ. Sci. 2015, 30, 238–243. [Google Scholar] [CrossRef]
- Lukenbach, M.C.; Devito, K.J.; Kettridge, N.; Petrone, R.M.; Waddington, J.M. Hydrogeological controls on post-fire moss recovery in peatlands. J. Hydrol. 2015, 530, 405–418. [Google Scholar] [CrossRef]
- Lukenbach, M.C.; Hokanson, K.J.; Moore, P.A.; Devito, K.J.; Kettridge, N.; Thompson, D.K.; Wotton, B.M.; Petrone, R.M.; Waddington, J.M. Hydrological controls on deep burning in a northern forested peatland. Hydrol. Process. 2015, 29, 4114–4124. [Google Scholar] [CrossRef]
- Lukenbach, M.C.; Hokanson, K.J.; Devito, K.J.; Kettridge, N.; Petrone, R.M.; Mendoza, C.A.; Granath, G.; Waddington, J.M. Post-fire ecohydrological conditions at peatland margins in different hydrogeological settings of the Boreal Plain. J. Hydrol. 2017, 548, 741–753. [Google Scholar] [CrossRef]
- Lukenbach, M.C.; Devito, K.J.; Kettridge, N.; Petrone, R.M.; Waddington, J.M. Burn severity alters peatland moss water availability: Implications for post-fire recovery. Ecohydrology 2016, 9, 341–353. [Google Scholar] [CrossRef]
- Lacouture, D.L.; Broadbent, E.N.; Crandall, R.M. Detecting vegetation recovery after fire in a fire-frequented habitat using normalized difference vegetation index (NDVI). Forests 2020, 11, 749. [Google Scholar] [CrossRef]
- Alcañiz, M.; Outeiro, L.; Francos, M.; Úbeda, X. Effects of prescribed fires on soil properties: A review. Sci. Total Environ. 2018, 613, 944–957. [Google Scholar] [CrossRef] [PubMed]
- Moody, J.A.; Ebel, B.A.; Nyman, P.; Martin, D.A.; Stoof, C.; McKinley, R. Relations between soil hydraulic properties and burn severity. Int. J. Wildland Fire 2016, 25, 279–293. [Google Scholar] [CrossRef]
- McKenna, P.; Phinn, S.; Erskine, P.D. Fire severity and vegetation recovery on mine site rehabilitation using WorldView-3 imagery. Fire 2018, 1, 22. [Google Scholar] [CrossRef]
- Wilson, N.R.; Norman, L.M. Analysis of vegetation recovery surrounding a restored wetland using the normalized difference infrared index (NDII) and normalized difference vegetation index (NDVI). Int. J. Remote Sens. 2018, 39, 3243–3274. [Google Scholar] [CrossRef]
- Veraverbeke, S.; Gitas, I.; Katagis, T.; Polychronaki, A.; Somers, B.; Goossens, R. Assessing post-fire vegetation recovery using red–near infrared vegetation indices: Accounting for background and vegetation variability. ISPRS J. Photogramm. Remote Sens. 2012, 68, 28–39. [Google Scholar] [CrossRef]
- Hernandez-Santin, L.; Rudge, M.L.; Bartolo, R.E.; Erskine, P.D. Identifying species and monitoring understorey from UAS-derived data: A literature review and future directions. Drones 2019, 3, 9. [Google Scholar] [CrossRef]
- Fletcher, A.T.; Erskine, P.D. Mapping of a rare plant species (Boronia deanei) using hyper-resolution remote sensing and concurrent ground observation. Ecol. Manag. Restor. 2012, 13, 195–198. [Google Scholar] [CrossRef]
- Carrão, H.; Russo, S.; Sepulcre-Canto, G.; Barbosa, P. An empirical standardized soil moisture index for agricultural drought assessment from remotely sensed data. Int. J. Appl. Earth Obs. Geoinf. 2016, 48, 74–84. [Google Scholar] [CrossRef]
- BOM. Annual and Zmonthly Potential Frost Days; BOM: Melbourne, Australia, 2023. [Google Scholar]
Disclaimer/Publisher’s Note: The statements, opinions and data contained in all publications are solely those of the individual author(s) and contributor(s) and not of MDPI and/or the editor(s). MDPI and/or the editor(s) disclaim responsibility for any injury to people or property resulting from any ideas, methods, instructions or products referred to in the content. |
© 2024 by the authors. Licensee MDPI, Basel, Switzerland. This article is an open access article distributed under the terms and conditions of the Creative Commons Attribution (CC BY) license (https://creativecommons.org/licenses/by/4.0/).






