Risk Evaluation of Urban Subway Site Selection: Balance, Attractiveness, and Financing Models
Abstract
1. Introduction
2. Study Area and Data Sources
2.1. Overview of the Study Area
2.2. Data Sources and Pre-Processing
3. Methods and Models
3.1. Balance of Subway Station Site Selection
3.1.1. Selection of Balance Indicators
3.1.2. Calculation of Balance Index Weights
- ➢
- Indicator normalization
- ➢
- Indicator variability (expressed as standard deviation)
- ➢
- Indicator conflicts
- ➢
- Amount of information
- ➢
- Final weights
3.1.3. Balance Evaluation of Subway Stations Based on the NP-RV Model
3.2. Attractiveness of Subway Site Selection (A)
3.3. Financing Models for Subway Site Selection (F)
3.4. SIRE-BAF Framework for Risk Evaluation of Subway Site Selection
4. Results and Discussion
4.1. Balance of Subway Stations
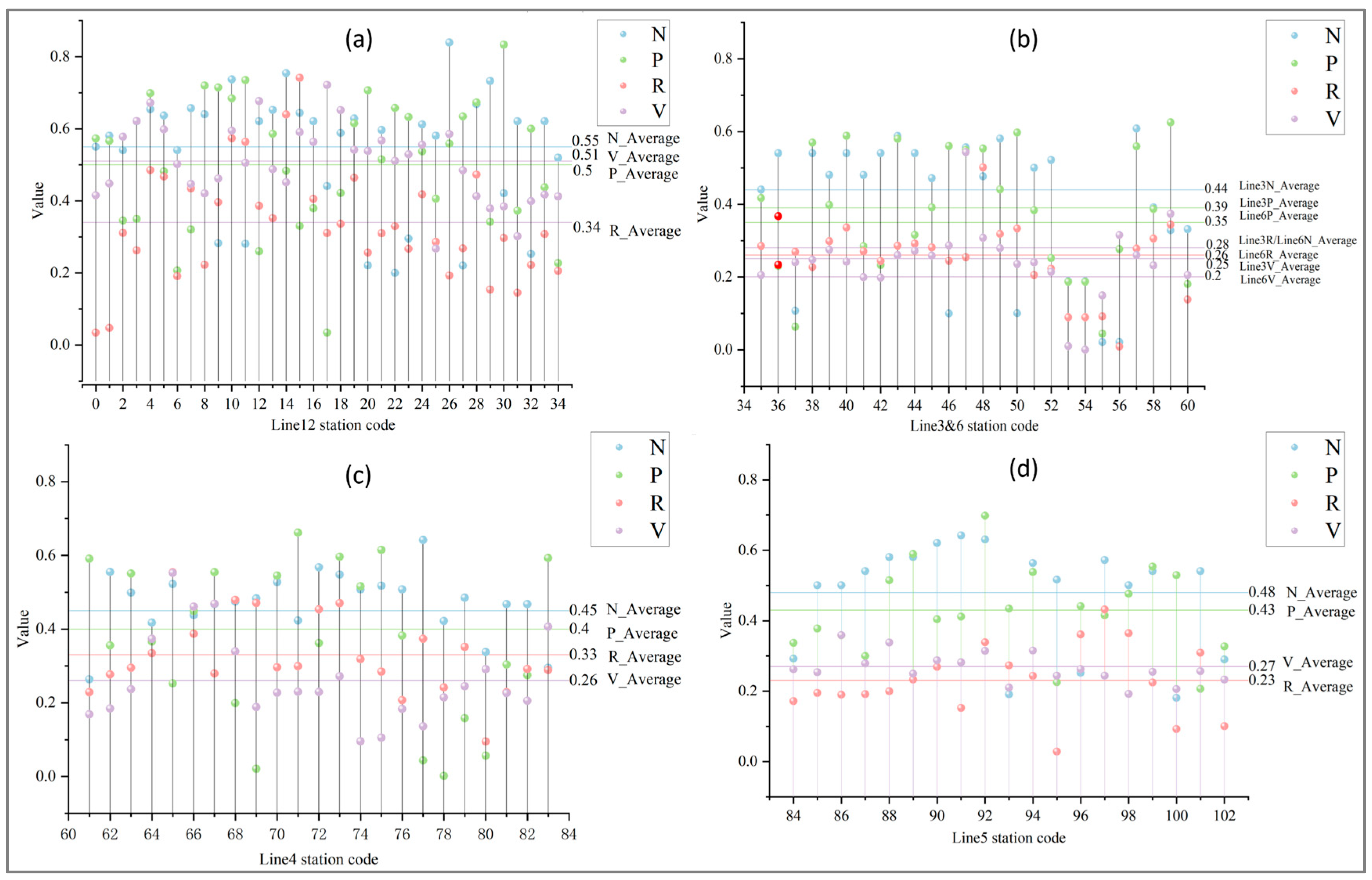
4.1.1. Overall Performance Analysis of Balance
4.1.2. Balance Results Based on the NP-RV Model
4.2. Attractiveness of Subway Stations
4.3. Financing Models
4.4. Siting Risk Evaluation Based on SIRE-BAF
4.5. Prediction of the Proposed Subway and Risk Analysis of the Subway Line Site Selection
4.5.1. Risk Prediction for Kunming Line 7 Site Selection
4.5.2. Overall Risk Analysis of Subway Lines
4.6. Validation of the SIRE-BAF Framework
5. Conclusions
6. Limitations
Author Contributions
Funding
Data Availability Statement
Acknowledgments
Conflicts of Interest
Appendix A. Explanation and Meaning of Various Financing Models
Appendix B. Codes for Metro Stations
Code | Station Name | Code | Station Name |
0 | Kunming South Railway Station (Line 12) | 24 | Jiaoshiqiao Station (Line 12) |
1 | Bailongtan Station (Line 12) | 25 | Chuanxin Drum Tower Station (Line 12) |
2 | Yihelu Station (Line 12) | 26 | North Railway Station (Line 12) |
3 | Municipal Administrative Center Qingfeng Station (Line 12) | 27 | Baiyun Road Station (Line 12) |
4 | University Town South Station (Line 12) | 28 | Jinxing Station (Line 12) |
5 | University Town Station (Line 12) | 29 | Beichen Station (Line 12) |
6 | Yikang South Road Station (Line 12) | 30 | Linyu Bridge Station (Line 12) |
7 | Lianda Street Station (Line 12) | 31 | Yangchang Village Station (Line 12) |
8 | Tuofeng Street Station (Line 12) | 32 | Sijiaying Station (Line 12) |
9 | Chunrong Street Station (Line 12) | 33 | Longtou Street Station (Line 12) |
10 | Dounan Station (Line 12) | 34 | North Bus Station (Line 12) |
11 | South Bus Station (Line 12) | 35 | Xishan Park Station (Line 3) |
12 | New Asia Sports City Station (Line 12) | 36 | Chejiabi Station (Line 3) |
13 | Xingyao Road Station (Line 12) | 37 | Pupu Village Station (Line 3) |
14 | Erji Road Station (Line 12) | 38 | Shizui Station (Line 3) |
15 | Xiaodong Village Station (Line 12) | 39 | Dayu Road Station (Line 3) |
16 | Changhong West Road Station (Line 12) | 40 | West Bus Station (Line 3) |
17 | Wujiaba Station (Line 12) | 41 | Mianshan Station (Line 3) |
18 | Rixin Road Station (Line 12) | 42 | Changyuan Middle Road Station (Line 3) |
19 | Fude Station (Line 12) | 43 | Xiyuan Station (Line 3) |
20 | Kunming Railway Station (Line 12) | 44 | Liangjiahe Station (Line 3) |
21 | Huancheng South Road Station (Line 12) | 45 | City Sports Center Station (Line 3) |
22 | Tangzixiang Station (Line 12) | 46 | Panjiawan Station (Line 3) |
23 | Dongfeng Square Station (Line 12) | 47 | Wuyi Road Station (Line 3) |
48 | Tuodong Sports Center Station (Line 3) | 76 | Jingui Street Station (Line 4) |
49 | Dashuying Station (Line 3) | 77 | Meizi Village Station (Line 4) |
50 | Jinmasi Station (Line 3) | 78 | Gucheng Station (Line 4) |
51 | Taiping Village Station (Line 3) | 79 | Kele Village Station (Line 4) |
52 | Hongqiao Station (Line 3) | 80 | Xiangfeng Street Station (Line 4) |
53 | East Bus Station (Line 3) | 81 | Niutou Mountain Station (Line 4) |
54 | Airport Central Station (Line 3) | 82 | Wujiaying Station (Line 4) |
55 | Before Airport Station (Line 6) | 83 | Chuanjin Road Station (Line 4) |
56 | Dabanqiao Station (Line 6) | 84 | Shizha Station (Line 5) |
57 | Juhua Station (Line 6) | 85 | Jinjiahe Station (Line 5) |
58 | Dongjiaolu Station (Line 6) | 86 | Zhuangjiatang Interchange Station (Line 5) |
59 | Chajie Station (Line 6) | 87 | Yuhu Village Station (Line 5) |
60 | Jinchuan Road Station (Line 6) | 88 | Yinghai Road Station (Line 5) |
61 | Dahegang Station (Line 4) | 89 | Guangfu West Road Station (Line 5) |
62 | Haitun Road Station (Line 4) | 90 | Jinlan Road Station (Line 5) |
63 | Xiaotun Station (Line 4) | 91 | Huashan West Road Station (Line 5) |
64 | Jinding Mountain North Road Station (Line 4) | 92 | Yuantong Mountain Station (Line 5) |
65 | Sujiatang Station (Line 4) | 93 | World Horticultural Exposition Garden Station (Line 5) |
66 | Xiaocaiyuan Station (Line 4) | 94 | Mile Temple Station (Line 5) |
67 | Bailong Road Station (Line 4) | 95 | Fubao Station (Line 5) |
68 | Juhuacun Station (Line 4) | 96 | Bailong Temple Station (Line 5) |
69 | Hedianyng Station (Line 4) | 97 | Yanjiadi Station (Line 5) |
70 | Niu Street Village Station | 98 | Fuhai Station (Line 5) |
71 | Zhujia Village Station (Line 4) | 99 | Daba Station (Line 5) |
72 | Yangfutou Station (Line 4) | 100 | Dianchi International Convention Center (Line 5) |
73 | Yuyuan Road Station (Line 4) | 101 | Xingti Road Station (Line 5) |
74 | Guangwei Station (Line 4) | 102 | Baofeng Village (Line 5) |
75 | Tami Station (Line 4) |
Appendix C. AHP Judgment Matrix and Consistency Test
- AHP Judgment Matrix
Financing Models | 1 | 2 | 3 | 4 | 5 | 6 | 7 | 8 | 9 | 10 | 11 |
BOT model (1) | 1 | 1.33 | 1 | 0.89 | 1 | 1.143 | 1 | 1 | 1 | 1.14 | 0.57 |
TOT model (2) | 0.75 | 1 | 0.75 | 0.67 | 0.75 | 0.86 | 0.75 | 0.75 | 0.75 | 0.86 | 0.43 |
PPP model (3) | 1 | 1.33 | 1 | 0.88 | 1 | 1.14 | 1 | 1 | 1 | 1.14 | 0.57 |
ABS model (4) | 1.13 | 1.50 | 1.13 | 1 | 1.13 | 1.29 | 1.13 | 1.13 | 1.13 | 1.29 | 0.64 |
Financial leases (5) | 1 | 1.33 | 1 | 0.89 | 1 | 1.14 | 1 | 1 | 1 | 1.14 | 0.57 |
BT model (6) | 0.88 | 1.17 | 0.86 | 0.78 | 0.86 | 1 | 0.86 | 0.86 | 0.86 | 1 | 0.50 |
PPP+EPC model (7) | 1 | 1.33 | 1 | 0.89 | 1 | 1.14 | 1 | 1 | 1 | 1.14 | 0.57 |
BOT+ABS model (8) | 1 | 1.33 | 1 | 0.89 | 1 | 1.14 | 1 | 1 | 1 | 1.14 | 0.57 |
TOT+ABS model (9) | 1 | 1.33 | 1 | 0.89 | 1 | 1.143 | 1 | 1 | 1.14 | 0.57 | |
PPP+ABS model (10) | 0.88 | 1.17 | 0.88 | 0.78 | 0.86 | 1 | 0.88 | 0.88 | 0.88 | 1 | 0.50 |
Government investment + bank loans (11) | 1.75 | 2.33 | 1.75 | 1.56 | 1.75 | 2.00 | 1.75 | 1.75 | 1.75 | 2.00 | 1 |
- AHP Random Consistency Index (RI)
1 | 2 | 3 | 4 | 5 | 6 | 7 | 8 | 9 | 10 | 11 | 12 | 13 | 14 | 15 |
0 | 0 | 0.52 | 0.89 | 1.12 | 1.26 | 1.36 | 1.41 | 1.46 | 1.49 | 1.52 | 1.54 | 1.56 | 1.58 | 1.59 |
- Consistency Test Results Summary
Maximum Eigenvalue | CI Value | RI Value | CR Value | Consistency Test Result |
11.000 | 0.000 | 1.520 | 0.000 | Passed |
References
- Cui, J.; Nelson, J.D. Underground transport: An overview. Tunn. Undergr. Space Technol. 2019, 87, 122–126. [Google Scholar] [CrossRef]
- Linchao, L.; Liangjian, Z.; Bin, R.; Bowen, D. Analysis of the relationship between metro ridership and built environment: A machine learning method considering combinational features. Tunn. Undergr. Space Technol. 2024, 144, 105564. [Google Scholar] [CrossRef]
- Xia, B.; Ziye, G.; Peng, Z.; Xiaozhao, L. Quantitative analysis of low carbon effect of urban underground space in Xinjiekou district of Nanjing city, China. Tunn. Undergr. Space Technol. 2024, 143, 105502. [Google Scholar] [CrossRef]
- Qiao, Y.-K.; Peng, F.-L.; Sabri, S.; Rajabifard, A. Low carbon effects of urban underground space. Sustain. Cities Soc. 2019, 45, 451–459. [Google Scholar] [CrossRef]
- Xiaotong, L.; Haishan, X. Networking and sustainable development of urban spatial planning: Influence of rail transit. Sustain. Cities Soc. 2023, 99, 104865. [Google Scholar] [CrossRef]
- Champagne, M.P.; Dubé, J.; Legros, D. Standing strong? The causal impact of metro stations on service firms’ survival. Transp. Res. Part A 2024, 181, 103994. [Google Scholar] [CrossRef]
- Ma, X.; Zhang, J.; Ding, C.; Wang, Y. A geographically and temporally weighted regression model to explore the spatiotemporal influence of built environment on transit ridership. Comput. Environ. Urban Syst. 2018, 70, 113–124. [Google Scholar] [CrossRef]
- Liu, K.; Qiu, P.; Gao, S.; Lu, F.; Jiang, J.; Yin, L. Investigating urban metro stations as cognitive places in cities using points of interest. Cities 2020, 97, 102561. [Google Scholar] [CrossRef]
- Rodríguez, D.A.; Kang, C.-D. A typology of the built environment around rail stops in the global transit-oriented city of Seoul, Korea. Cities 2020, 100, 102663. [Google Scholar] [CrossRef]
- Lu, K.; Katsunori, F.; Shixian, L. Case comparison of typical transit-oriented-development stations in Tokyo district in the context of sustainability: Spatial visualization analysis based on FAHP and GIS. Sustain. Cities Soc. 2021, 68, 102788. [Google Scholar] [CrossRef]
- Eom, J.K.; Choi, J.; Park, M.S.; Heo, T.-Y. Exploring the catchment area of an urban railway station by using transit card data: Case study in Seoul. Cities 2019, 95, 102364. [Google Scholar] [CrossRef]
- Pan, H.; Li, J.; Shen, Q.; Shi, C. What determines rail transit passenger volume? Implications for transit oriented development planning. Transp. Res. Part D 2017, 57, 52–63. [Google Scholar] [CrossRef]
- Liu, J.; Chau, K.W.; Bao, Z. Multiscale spatial analysis of metro usage and its determinants for sustainable urban development in Shenzhen, China. Tunn. Undergr. Space Technol. 2023, 133, 104912. [Google Scholar] [CrossRef]
- Bertolini, L. Nodes and places: Complexities of railway station redevelopment. Eur. Plan. Stud. 1996, 4, 331–345. [Google Scholar] [CrossRef]
- Caset, F.; Blainey, S.; Derudder, B.; Boussauw, K.; Witlox, F. Integrating node-place and trip end models to explore drivers of rail ridership in Flanders, Belgium. J. Transp. Geogr. 2020, 87, 102796. [Google Scholar] [CrossRef]
- Cao, Z.; Asakura, Y.; Tan, Z. Coordination between node, place, and ridership: Comparing three transit operators in Tokyo. Transp. Res. Part D 2020, 87, 102518. [Google Scholar] [CrossRef]
- Yang, Y.; Zhong, C.; Gao, Q.L. An extended node-place model for comparative studies of transit-oriented development. Transp. Res. Part D 2022, 113, 103514. [Google Scholar] [CrossRef]
- Jia, X.; Wang, J.; Yan, B. Evaluation of existing underground public space supply based on the Node-Place-Experience model. Tunn. Undergr. Space Technol. 2024, 144, 105517. [Google Scholar] [CrossRef]
- Wang, X.; Tong, D.; Gao, J.; Chen, Y. The reshaping of land development density through rail transit: The stories of central areas vs. suburbs in Shenzhen, China. Cities 2019, 89, 35–45. [Google Scholar] [CrossRef]
- Yang, L.; Chau, K.W.; Szeto, W.Y.; Cui, X.; Wang, X. Accessibility to transit, by transit, and property prices: Spatially varying relationships. Transp. Res. Part D 2020, 85, 102387. [Google Scholar] [CrossRef]
- Kwang, L.J. New rail transit projects and land values: The difference in the impact of rail transit investment on different land types, values and locations. Land Use Policy 2022, 112, 105807. [Google Scholar] [CrossRef]
- Jonathan, P.; Kevin, M.-S.; Henry, L.; Simon, R. How does the extension of existing transport infrastructure affect land value? A case study of the Tyne and Wear Light Transit Metro System. Land Use Policy 2022, 112, 105811. [Google Scholar] [CrossRef]
- López-Morales, E.; Sanhueza, C.; Herrera, N.; Espinoza, S.; Mosso, V. Land and housing price increases due to metro effect: An empirical analysis of Santiago, Chile, 2008–2019. Land Use Policy 2023, 132, 106793. [Google Scholar] [CrossRef]
- Lin, D.; Broere, W.; Cui, J. Metro systems and urban development: Impacts and implications. Tunn. Undergr. Space Technol. 2022, 125, 104509. [Google Scholar] [CrossRef]
- Lei, K.; Hou, Q.; Duan, Y.; Xi, Y.; Chen, S.; Miao, Y.; Tong, H.; Hu, Z. The Spatiotemporal Matching Relationship between Metro Networks and Urban Population from an Evolutionary Perspective: Passive Adaptation or Active Guidance? Land 2024, 13, 1200. [Google Scholar] [CrossRef]
- Wang, X.; Zhang, Y.; Yu, D.; Qi, J.; Li, S. Investigating the spatiotemporal pattern of urban vibrancy and its determinants: Spatial big data analyses in Beijing, China. Land Use Policy 2022, 119, 106162. [Google Scholar] [CrossRef]
- Zhao, P.; Yang, H.; Kong, L.; Liu, Y.; Liu, D. Disintegration of metro and land development in transition China: A dynamic analysis in Beijing. Transp. Res. Part A 2018, 116, 290–307. [Google Scholar] [CrossRef]
- Ortuno-Padilla, A.; Espinosa-Flor, A.; Cerdan-Aznar, L. Development strategies at station areas in southwestern China: The case of Mianyang city. Land Use Policy 2017, 68, 660–670. [Google Scholar] [CrossRef]
- Chen, L.; Zhao, L.; Xiao, Y.; Lu, Y. Investigating the spatiotemporal pattern between the built environment and urban vibrancy using big data in Shenzhen, China. Comput. Environ. Urban Syst. 2022, 95, 101827. [Google Scholar] [CrossRef]
- Khosravi, H.; Abrishami, M.; Mehrian, M.R.; Chamberlain, B. The positive impact of transit-oriented-development characteristics on Metro Station usage: A case study of Tehran’s metro stations and TOD index calculation. Cities 2024, 148, 104840. [Google Scholar] [CrossRef]
- Appleyard, B.S.; Frost, A.R.; Allen, C. Are all transit stations equal and equitable? Calculating sustainability, livability, health, & equity performance of smart growth & transit-oriented-development (TOD). J. Transp. Health 2019, 14, 100584. [Google Scholar] [CrossRef]
- Knowles, R.D.; Ferbrache, F.; Nikitas, A. Transport’s historical, contemporary and future role in shaping urban development: Re-evaluating transit oriented development. Cities 2020, 99, 102607. [Google Scholar] [CrossRef]
- Zhang, H. Metro and urban growth: Evidence from China. J. Transp. Geogr. 2020, 85, 102732. [Google Scholar] [CrossRef]
- Li, S.; Lyu, D.; Liu, X.; Tan, Z.; Gao, F.; Huang, G.; Wu, Z. The varying patterns of rail transit ridership and their relationships with fine-scale built environment factors: Big data analytics from Guangzhou. Cities 2020, 99, 102580. [Google Scholar] [CrossRef]
- Lin, D.; Zhou, Z.; Weng, M.; Broere, W.; Cui, J. Metro systems: Construction, operation and impacts. Tunn. Undergr. Space Technol. 2024, 143, 105373. [Google Scholar] [CrossRef]
- Vale, D.S.; Viana, C.M.; Pereira, M. The extended node-place model at the local scale: Evaluating the integration of land use and transport for Lisbon’s subway network. J. Transp. Geogr. 2018, 69, 282–293. [Google Scholar] [CrossRef]
- Yu, B.; Cui, X.; Li, H.; Luo, P.; Liu, R.; Yang, T. TOD and vibrancy: The spatio-temporal impacts of the built environment on vibrancy. Front. Environ. Sci. 2022, 10, 1009094. [Google Scholar] [CrossRef]
- Dou, M.; Wang, Y.; Dong, S. Integrating Network Centrality and Node-Place Model to Evaluate and Classify Station Areas in Shanghai. Isprs Int. J. Geo-Inf. 2021, 10, 414. [Google Scholar] [CrossRef]
- Zhou, M.; Zhou, J.; Zhou, J.; Lei, S.; Zhao, Z. Introducing social contacts into the node-place model: A case study of Hong Kong. J. Transp. Geogr. 2023, 107, 103532. [Google Scholar] [CrossRef]
- Jin, A.; Li, G.; Wang, J.; Mehmood Muhammad, S.; Yu, Y.; Lin, Z. Location choice and optimization of development of community-oriented new retail stores: A case study of Freshippo stores in Nanjing City. Prog. Geogr. 2020, 39, 2013–2027. [Google Scholar] [CrossRef]
- Schouten, A.; Kawano, Y. COVID-19 and the demand for transit access: Residential real estate prices in the Tokyo metropolitan area. J. Transp. Geogr. 2024, 114, 103742. [Google Scholar] [CrossRef]
- Afandizadeh, S.; Sedighi, F.; Kalantari, N.; Mirzahossein, H. Modeling of the effect of transportation system accessibility on residential real estate prices: The case of Washington metropolitan area, USA. Case Stud. Transp. Policy 2024, 18, 101277. [Google Scholar] [CrossRef]
- Rosenthal, S.S.; Strange, W.C.; Urrego, J.A. JUE insight: Are city centers losing their appeal? Commercial real estate, urban spatial structure, and COVID-19. J. Urban Econ. 2022, 127, 103381. [Google Scholar] [CrossRef]
- Franco, S.F.; Cutter, W.B. The determinants of non-residential real estate values with special reference to environmental local amenities. Ecol. Econ. 2022, 201, 107485. [Google Scholar] [CrossRef]
- Yue, Y.; Zhuang, Y.; Yeh, A.G.O.; Xie, J.-Y.; Ma, C.-L.; Li, Q.-Q. Measurements of POI-based mixed use and their relationships with neighbourhood vibrancy. Int. J. Geogr. Inf. Sci. 2017, 31, 658–675. [Google Scholar] [CrossRef]
- Botta, F.; Gutierrez-Roig, M. Modelling urban vibrancy with mobile phone and OpenStreetMap data. PLoS ONE 2021, 16, e0252015. [Google Scholar] [CrossRef]
- De Nadai, M.; Staiano, J.; Larcher, R.; Sebe, N.; Quercia, D.; Lepri, B. The Death and Life of Great Italian Cities: A Mobile Phone Data Perspective. In Proceedings of the 25th International Conference on World Wide Web (WWW), Montreal, QC, Canada, 11–15 April 2016; pp. 413–423. [Google Scholar]
- Xia, C.; Yeh, A.G.-O.; Zhang, A. Analyzing spatial relationships between urban land use intensity and urban vitality at street block level: A case study of five Chinese megacities. Landsc. Urban Plan. 2020, 193, 103669. [Google Scholar] [CrossRef]
- Ewing, R.; Tian, G.; Park, K.; Sabouri, S.; Stinger, P.; Proffitt, D. Comparative case studies: Trip and parking generation at Orenco Station TOD, Portland Region and Station Park TAD, Salt Lake City Region. Cities 2019, 87, 48–59. [Google Scholar] [CrossRef]
- Wu, H.-W.; Zhen, J.; Zhang, J. Urban rail transit operation safety evaluation based on an improved CRITIC method and cloud model. J. Rail Transp. Plan. Manag. 2020, 16, 100206. [Google Scholar] [CrossRef]
- Bertolini, L. Spatial Development Patterns and Public Transport: The Application of an Analytical Model in the Netherlands. Plan. Pract. Res. 1999, 14, 199–210. [Google Scholar] [CrossRef]
- Chorus, P.; Bertolini, L. An application of the node place model to explore the spatial development dynamics of station areas in Tokyo. J. Transp. Land Use 2011, 4, 45–58. [Google Scholar] [CrossRef]
- Reusser, D.E.; Loukopoulos, P.; Stauffacher, M.; Scholz, R.W. Classifying railway stations for sustainable transitions—Balancing node and place functions. J. Transp. Geogr. 2008, 16, 191–202. [Google Scholar] [CrossRef]
- Ma, C.-X.; Peng, F.-L.; Qiao, Y.-K.; Li, H. Evaluation of spatial performance of metro-led urban underground public space: A case study in Shanghai. Tunn. Undergr. Space Technol. 2022, 124, 104484. [Google Scholar] [CrossRef]
- Zipf, G.K. The P 1 P 2 D Hypothesis: On the Intercity Movement of Persons. Am. Sociol. Rev. 1946, 11, 677. [Google Scholar] [CrossRef]
- Lin, D.; Nelson, J.D.; Cui, J. Exploring influencing factors on metro development in China from urban and economic perspectives. Tunn. Undergr. Space Technol. 2021, 112, 103877. [Google Scholar] [CrossRef]
- Zhang, X.; Jie, X.; Ning, S.; Wang, K.; Li, X. Coupling and coordinated development of urban land use economic efficiency and green manufacturing systems in the Chengdu-Chongqing Economic Circle. Sustain. Cities Soc. 2022, 85, 104012. [Google Scholar] [CrossRef]
- Tomal, M. Evaluation of coupling coordination degree and convergence behaviour of local development: A spatiotemporal analysis of all Polish municipalities over the period 2003–2019. Sustain. Cities Soc. 2021, 71, 102992. [Google Scholar] [CrossRef]
Dimension | Indicator | Measurement | Impact Direction | Data Source |
---|---|---|---|---|
Node (N) | Bus stops | N1 = Number of bus stops | Positive | Kunming Urban Planning and Design Institute Co., Ltd. (Kunming, China) |
Degree centrality | N2(i) = (: the number of edges connected to node i; n: the total number of edges connecting node i to other nodes) | Positive | Metro Line Timetable | |
Subway frequency | N3 = Average time between subway arrivals | Negative | Travel China Guide | |
Betweenness centrality | N4(k) = ( the number of shortest paths between nodes i and j that pass through node k, is the total number of shortest paths between nodes i and j) | Positive | Metro Line Timetable | |
Subway entrances/exits | N5 = Number of entrances/exits per station | Positive | Metro lines and stops data from Gaode | |
Place (P) | Restaurants | P1 = Number of restaurants POIs | Positive | POI data |
Shopping Services | P2 = Number of shopping POIs | Positive | POI data | |
Sports and Recreation | P3 = Number of sports and recreation POIs | Positive | POI data | |
Living Services | P4 = Number of living services POIs | Positive | POI data | |
Education and Culture | P5 = Number of education and culture POIs | Positive | POI data | |
Government Institutions | P6 = Number of government institution POIs | Positive | POI data | |
Real Estate(R) | Buildings (commercial, residential, and office complex) | R1 = Number of building POIs | Positive | POI data |
Companies and Enterprises | R2 = Number of company POIs | Positive | POI data | |
Hotels | R3 = Number of hotel POIs | Positive | POI data | |
Industrial Parks | R4 = Number of industrial park POIs | Positive | POI data | |
Factories | R5 = Number of factory POIs | Positive | POI data | |
Vitality (V) | Population Density | V1 = Raster grid value | Positive | Worldpop data |
Nighttime Light Index | V2 = Raster grid value | Positive | Nighttime light data |
Financing Model | Expert 1 | Expert 2 | Expert 3 |
---|---|---|---|
BOT model | 3 | 2 | 2 |
TOT model | 2 | 2 | 2 |
PPP model | 3 | 2 | 3 |
ABS model | 3 | 3 | 4 |
Financial leases | 3 | 2 | 3 |
BT model | 3 | 3 | 3 |
PPP + EPC model | 3 | 3 | 2 |
BOT + ABS model | 3 | 3 | 2 |
TOT + ABS model | 3 | 3 | 2 |
PPP + ABS model | 2 | 3 | 2 |
Government investment + bank loans | 4 | 5 | 5 |
Disclaimer/Publisher’s Note: The statements, opinions and data contained in all publications are solely those of the individual author(s) and contributor(s) and not of MDPI and/or the editor(s). MDPI and/or the editor(s) disclaim responsibility for any injury to people or property resulting from any ideas, methods, instructions or products referred to in the content. |
© 2024 by the authors. Licensee MDPI, Basel, Switzerland. This article is an open access article distributed under the terms and conditions of the Creative Commons Attribution (CC BY) license (https://creativecommons.org/licenses/by/4.0/).
Share and Cite
Liu, Y.; Xie, Z.; Wen, P.; Ji, C.; Zhu, L.; Wang, Q.; Zhang, Z.; Xiao, Z.; Ning, B.; Zhu, Q.; et al. Risk Evaluation of Urban Subway Site Selection: Balance, Attractiveness, and Financing Models. Land 2024, 13, 2015. https://doi.org/10.3390/land13122015
Liu Y, Xie Z, Wen P, Ji C, Zhu L, Wang Q, Zhang Z, Xiao Z, Ning B, Zhu Q, et al. Risk Evaluation of Urban Subway Site Selection: Balance, Attractiveness, and Financing Models. Land. 2024; 13(12):2015. https://doi.org/10.3390/land13122015
Chicago/Turabian StyleLiu, Yun, Zhiqiang Xie, Ping Wen, Chunhou Ji, Ling Zhu, Qisheng Wang, Zheng Zhang, Zhuoqian Xiao, Bojin Ning, Quan Zhu, and et al. 2024. "Risk Evaluation of Urban Subway Site Selection: Balance, Attractiveness, and Financing Models" Land 13, no. 12: 2015. https://doi.org/10.3390/land13122015
APA StyleLiu, Y., Xie, Z., Wen, P., Ji, C., Zhu, L., Wang, Q., Zhang, Z., Xiao, Z., Ning, B., Zhu, Q., & Yang, Y. (2024). Risk Evaluation of Urban Subway Site Selection: Balance, Attractiveness, and Financing Models. Land, 13(12), 2015. https://doi.org/10.3390/land13122015