Next Article in Journal
Local Sustainability Assessment of the Wonogiri Multipurpose Reservoir Catchment Area in Central Java Province, Indonesia
Next Article in Special Issue
Method for Evaluating Urban Building Renewal Potential Based on Multimachine Learning Integration: A Case Study of Longgang and Longhua Districts in Shenzhen
Previous Article in Journal
Mechanism of Population Outflow and Ecological Pressure Reflux in China’s Pastoral Area: S-C Gacha’s Case
Previous Article in Special Issue
Understanding Impacts of Neighbourhood Micro-Renewal Through a Lens of Place Value: A Case Study of Wuhan, China
 
 
Font Type:
Arial Georgia Verdana
Font Size:
Aa Aa Aa
Line Spacing:
Column Width:
Background:
Article

Analyzing the Supply and Demand Dynamics of Urban Green Spaces Across Diverse Transportation Modes: A Case Study of Hefei City’s Built-Up Area

1
College of Landscape Architecture, Nanjing Forestry University, Nanjing 210037, China
2
College of Art and Design, Nanjing Forestry University, Nanjing 210037, China
*
Author to whom correspondence should be addressed.
Land 2024, 13(11), 1937; https://doi.org/10.3390/land13111937
Submission received: 2 October 2024 / Revised: 8 November 2024 / Accepted: 14 November 2024 / Published: 17 November 2024

Abstract

With the increasing demands of urban populations, achieving a balance between the supply and demand in the spatial allocation of urban green park spaces (UGSs) is essential for effective urban planning and improving residents’ quality of life. The study of UGS supply and demand balance has become a research hotspot. However, existing studies of UGS supply and demand balance rarely simultaneously improve the supply side, demand side, and transportation methods that connect the two, nor do they conduct a comprehensive, multi-dimensional supply and demand evaluation. Therefore, this study evaluates the accessibility of UGS within Hefei’s built-up areas, focusing on age-specific demands for UGS and incorporating various travel modes, including walking, cycling, driving, and public transportation. An improved two-step floating-catchment area (2SFCA) method is applied to evaluate the accessibility of UGS in Hefei’s built-up areas. This evaluation combines assessments using the Gini coefficient, Lorenz curve, location entropy, and local spatial autocorrelation analysis, utilizing the ArcGIS 10.8 and GeoDa 2.1 platforms. Together, these methods enable a supply–demand balance analysis of UGSs to identify areas needing improvement and propose corresponding strategies. The research results indicate the following: (1) from a regional perspective, there are significant disparities in the accessibility of UGS within Hefei’s urban center, with the old city showing more imbalance than the new city. Areas with high demand and low supply are primarily concentrated in the old city, which require future improvement; (2) in terms of travel modes, higher-speed travel (such as driving) offers better and more equitable accessibility compared to slower modes (such as walking), highlighting transportation as a critical factor influencing accessibility; (3) regarding population demand, there is an overall balance in the supply of UGS, with local imbalances observed in the needs of residents across different age groups. Due to the high specific demand for UGS among older people and children, the supply and demand levels in these two age groups are more consistent. This study offers valuable insights for achieving the balanced, efficient, and sustainable development of the social benefits of UGS.

1. Introduction

Urban green park spaces (UGSs) are vital land resources that provide multifaceted benefits, including recreation, ecological balance, esthetic value, and economic advantages. They serve as essential green infrastructure for residents, enhancing public health while delivering recreational value and overall well-being [1,2,3]. However, against the backdrop of rapid urban and rural development, the contradiction between the growing demand for UGS and resource constraints has become increasingly prominent, and the spatial distribution of UGS resources within cities has become a significant research focus. Optimizing the spatial configuration of UGSs can effectively reduce disparities in access to UGSs across different regions and demographics. Evaluating the equity of UGS distribution is crucial for enhancing UGS benefits and addressing inequitable resource allocation [4].
According to historical research, the equity study of UGS layout is divided into three dimensions: geographical parity, spatial equity, and social equity, and there exists a step-by-step and progressive relationship between these three dimensions [5,6]. In the previous stage of spatial equity, scholars only considered the spatial layout of UGS, while in today’s stage of social equity, the balance between supply and demand of UGS will be analyzed through the perspective of accessibility [7]. This means that UGS equity research is progressing towards a more scientific and rational direction. However, there is still room for improvement in the UGS fairness research; this study aims to optimize the existing supply–demand balance to make the UGS supply–demand balance more scientific and reasonable [8].
UGS, as the supply side of the UGS supply and demand balance, has a crucial impact on the outcome of the balance. Accessibility can effectively measure UGS supply and help us understand whether UGS can provide sufficient quantities and fairness [4,9,10]. Previous research on the accessibility of UGS has employed various methodologies, including buffer analysis [11], network analysis [12], spatial syntax [13], gravity models, and two-step floating-catchment area (2SFCA) methods [14]. Nicholas et al. used a buffer zone approach to measure park accessibility in Bryan, Texas, USA [15]. Although the buffer zone analysis is simple to implement, it does not consider the actual road network, resulting in a gap between its results and real-world conditions [16]. Using a network analysis approach, Kshama et al. observed that in parts of East Delhi, India, there was poor accessibility to UGSs at all hierarchical levels, especially at the lower levels of the hierarchy, mainly for young children [17]. Although this method can intuitively express the service level of UGSs on drawings, it relies heavily on data accuracy, especially detailed data on urban road traffic and the distribution of entrances to UGSs. It also ignores the human factor, so there may be a significant difference between the research on UGS accessibility and the actual situation. Long et al. explored the accessibility of urban UGSs in Changsha, China, based on space syntax, but space syntax mainly focuses on spatial structure [13]. It may ignore other factors that affect accessibility, such as socioeconomic conditions, policy environment, and diversity of transportation modes. However, the gravity model and the two-step mobile search method for accessibility analysis are more comprehensive and widely used, as well as more competitive in some real-time data and dynamic environments. The model has also undergone many innovations, and research has been carried out to improve it in terms of distance attenuation functions, search radii, supply and demand coefficients, and commuter behavior coefficients. Relevant studies suggest that demand-side factors, such as the distance to UGSs and UGS quality, should also be included in the analysis, resulting in more complex gravity models [18,19]. Improved models, including the 2SFCA method and its variants, kernel density 2SFCA and Huff Gaussian 2SFCA [20,21], have been widely applied to calculate the accessibility of UGSs, effectively illustrating the relationships among various complex factors. Pei et al. proposed an improved multi-modal 2SFCA method, taking the central residential area of Tianjin as the spatial unit, to measure the accessibility of urban parks more appropriately. Hu et al. analyzed the results of the single-mode model and multi-modal model and found that the multi-modal accessibility model can provide a more realistic assessment. In summary, the multi-mode improvement method is more realistic and reliable for 2SFCA research. We have revised the 2SFCA model using a multi-modal improvement method to construct a scientific and reasonable assessment method for balancing supply and demand in the UGS.
Multi-modal travel is widely discussed by scholars in UGS supply and demand analysis. Wang et al. calculated accessibility simultaneously, considering multiple travel modes and school attractiveness [22]. Past research has typically utilized network or buffer analysis to assess the time required for individuals to reach UGSs. With advancements in geographic information systems and mobile positioning technologies, the availability of route-planning data through application-programming interfaces (APIs) from platforms like Gaode and Baidu has significantly improved the convenience, reliability, and effectiveness of obtaining travel time data [11,23,24]. Niu et al. directly obtained travel time data for various travel modes to parks during a specific period through a web map API (application-programming interface) and then calculated the accessibility and ESR of urban parks based on these detailed data [25]. Taking Shanghai as an example, Li et al. first determined the time cost decay of parks of different sizes and locations [23]. Then, a comparative analysis was used to examine the spatial relationship between park service areas and their accessibility defined by time consumption. Pedro et al. conducted a dynamic analysis of urban accessibility, considering its two main components: travel time and the destination’s attractiveness [11]. To this end, they calculated the travel time between transportation areas using the Google Maps API and constructed a departure and destination (OD) travel matrix based on mobile phone records [26]. However, although previous studies have discussed different modes of travel, most of them have ultimately only focused on one mode of travel, that is, the mode of travel that people are most likely to choose in a given situation. Few of them have taken all modes of travel into consideration [27]. This study considers the four main travel modes (walking, cycling, public transport, and driving), aiming to produce a complete and accurate accessibility analysis so that the results of the accessibility analysis are not affected by road conditions and other factors.
Previous studies often focus solely on UGS areas as a primary service level indicator when analyzing UGS supply quality [28]. However, some scholars have recently expressed disagreement with the approach of only considering the UGS area as the main indicator and have proposed a more comprehensive evaluation system for UGS service level indicators. Rigolon et al. analyzed the environmental justice issues of UGS in Denver, USA, based on three characteristics: park area, park accessibility, and park quality [29]. They established a basic framework for the comprehensive assessment of environmental justice in UGS, laying the foundation for future evaluations of the fair spatial allocation of UGS. Mao et al. constructed a recreational attraction index through the analytic hierarchy process to generate a comprehensive evaluation index. Guo et al. compared the differences in spatial equity and spatial distribution patterns of different types of UGSs and UGS at the overall level from the perspective of recreation opportunities and recreation environment quality [30]. However, management capacity, facility quality, and green coverage significantly affect service quality. Increasing the number of UGSs, improving management practices, optimizing landscape design, and providing better recreational facilities can enhance the overall quality of park services, increasing the frequency and duration of residents’ visits [31,32]. Therefore, this study incorporates these factors into its accessibility analysis. We will refer to previous studies on the construction of park evaluation index systems to construct a park supply quality evaluation system so as to make the evaluation of park service levels more scientific and reasonable and improve the accuracy of the UGS supply and demand evaluation system.
As for the demand side in UGS supply and demand balance research, previous studies have highlighted the different usage needs of the demand side to better align them with the supply side. In examining the spatial differentiation of user groups, it is essential to consider not only social, economic, educational, and racial factors [33,34,35,36] but also demographic variables as critical indicators of park usage demand [37,38]. With the rapid advancement of high-precision geographic big data, many scholars have begun utilizing mobile positioning data to investigate the daily activity patterns of urban residents. Zhai et al. used mobile-signaling data to identify urban park users and locate their homes. They found that users of large parks in densely populated areas lived farther away from the parks they visited [39]. Li et al. proposed an evaluation framework based on analyzing signaling big data, which is suitable for assessing the structural resilience of the population mobility network within the city [40]. This approach enhances data accuracy and allows for higher spatial resolution and timeliness, enabling the classification of populations based on characteristics such as age, gender, residency, and workplace [41]. This more precise identification of diverse group needs provides a stronger scientific basis for assessing the accessibility of UGSS [42]. Previous UGS supply and demand studies have less frequently identified subject demand by refining age classifications despite the use of signaling big data. We adopt signaling big data to refine the age classification of the population in the study area as the supply side in the UGS supply–demand balance, thus realizing a more accurate UGS supply–demand assessment.
Although UGSs are publicly accessible to everyone, differences in distance make it a semi-club product in practice. Semi-club product represents an intermediate category between non-exclusive, non-competitive public product and exclusive, non-competitive club product. UGSs are open and accessible to everyone without exclusivity; however, due to distance, the experience of residents living far from UGSs is diminished. To enhance residents’ experiences with UGS, it is essential to ensure a balanced distribution of these spaces. This transformation facilitates understanding the differentiated services and resource allocation of UGS among residents across various regions [43,44,45]. Moreover, the construction of semi-club products is significantly related to factors such as the economic level of the region. Therefore, when analyzing UGSs, it is essential to take the economic level into consideration. Xu et al. studied the spatial configuration of UGS in the main urban area of Nanjing and found that the significant differentiation characteristics are universal and special [46]. Like many cities in Western countries, represented by Denver, USA, and Berlin, Germany, the accessibility, area, and spatial quality configuration of UGS in Nanjing showed significant environmental injustice, and the core–edge characteristics of the spatial distribution pattern were prominent. The low-income groups on the city’s edge received the lowest UGS service level. Incorporating this perspective into the research helps us to make more constructive suggestions after evaluating the supply and demand of UGSs.
In summary, this study takes the built-up area of Hefei City, China, as the research object, considers multiple travel modes, improves the UGS supply attractiveness index, considers the needs of different groups of people and the probability of their choices to improve the two-step mobile search method, and combines urban economic factors to assess the balance between supply and demand of UGSs at the city scale. The specific objectives of the research include (1) investigating the equity of urban green spaces across different areas, (2) analyzing park usage preferences among different age groups to identify service disparities, (3) clarifying park accessibility across various transportation modes and proposing recommendations for improving park layouts from different perspectives. The findings of this research will provide decision-making support and planning references for optimizing the layout of urban green spaces and ensuring equitable distribution.

2. Materials and Methods

2.1. Research Area

This study focuses on the built-up area of Hefei, the capital city of Anhui Province. As one of the emerging first-tier cities in China, Hefei is currently undergoing rapid urbanization, with significant emphasis on allocating resources towards urban development. In recent years, the quantity and quality of UGSs in Hefei have improved considerably. However, a notable issue remains regarding the uneven distribution of these UGSs [47]. Therefore, conducting an in-depth analysis of this imbalance and proposing relevant development strategies is imperative. The built-up area of Hefei exhibits high population density and rapid growth, so it serves as the primary focus of this research [48]. According to the “Hefei Statistical Yearbook 2021”, the total area of the built-up region was 502.50 km2 in 2020. Building on existing research, this study adheres to the principles of contiguous development and actual construction. It utilizes one-meter-resolution remote-sensing satellite imagery from 2020 to extract the specific boundaries of the built-up area through visual interpretation (Figure 1). Regarding research content, this study explicitly targets UGSs within the selected area. These include comprehensive, community, specialized, and recreational parks, as classified by the “Classification Standard for UGS” [49]. These UGSs will serve as the supply side for the analysis, which is the subject of study. In addition, since urban development is closely linked to economic factors and environmental conditions, it is essential to analyze the reasons for the supply and demand balance of UGSs in the built-up area of Hefei City using data on the urban GDP index [50] (Figure 2) and land use types [51] (Figure 3). The areas with the highest GDP index in the built-up Hefei are the main urban area and the northerly areas. The GDP index gradually decreases from the inside to the outside of the built-up area. The land-use type map shows that the built-up area of Hefei is mainly composed of buildings and shrublands, indicating that the city is undergoing rapid urbanization and expansion and may have insufficient greening construction.

2.2. Methodology

The study of spatial justice in UGSs is paramount for the research and practice of public policy related to UGS development [52,53]. In this supply–demand balance analysis, we consider UGSs as the supply side, assessing factors such as their size and quality. Residents represent the demand side, focusing on population distribution and age structure. Transportation modes act as the connecting element, accommodating various travel methods. We conducted a rigorous quantitative analysis using the refined 2SFCA method, Gini coefficients, Lorenz curves, location entropy, and spatial bivariate methods. This approach establishes a research framework for analyzing the equity of UGS layouts in Hefei City’s built-up areas through an empirical case study of UGS allocation (Figure 4).

2.2.1. Demand Improvement—Assessment of the Attractiveness of UGS

Considering the heterogeneity of parks across multiple dimensions, the impact of park size is adjusted by introducing a quality indicator for park j, denoted as W j . Taking into account both the size and quality of parks, the attraction coefficient S j can be calculated using the following formula:
S j = S j A × W j
W j = F j F
where S j A denotes the area of park j; F j indicates the scores of various facilities within park j; and F represents the sum of the maximum scores of all facilities.
The UGS attractiveness evaluation model is constructed based on elements of UGS [54]. Generally, the greater the attraction of a park green space, due to its rich landscape and distinctive features, the more residents are subjectively willing to spend additional time or travel longer distances to visit it [55]. Based on this concept, this study employs methods such as a literature review, expert consultation, and field research to select and refine the evaluation criteria [16,56,57]. Consequently, a top-down hierarchical model for assessing park green space attractiveness was established, consisting of one target-level indicator and five scheme-level indicators (Table 1).The UGS Attraction Index Evaluation System is constructed through activity facilities, environmental quality, service facilities, and tourist ratings, and different emphases are scored and evaluated.

2.2.2. Supply Improvement—Enhanced Two-Step Mobile Search Method

UGS accessibility is a critical geographical parameter for measuring the time or cost required for urban residents to reach these areas. We employ accessibility analysis using internet map services that integrate real-time navigation with route planning. This approach allows for a comprehensive analysis of various factors, such as transportation, the built environment, and residents’ travel behaviors, enabling accurate calculation of the shortest distance for users to reach UGSs.
In addition to adjusting the park attractiveness index using the method above to address the effects solely attributed to the park area, the traditional 2SFCA method is enhanced by incorporating the Huff probability model. This new model simultaneously considers the attractiveness of facilities and distance impedance based on a Gaussian function.
P rob ij = M j G ( t ij , t 0 ) l t ij t 0 M j G ( t i j , t 0 )
G ( t ij , t 0 ) = e 1 2 × t ij t 0 2 1 e 1 2 , t ij t 0 0 , t ij > t 0
where t i j represents the travel time between i and j by walking, cycling, driving, or taking public transport, and t0 denotes the threshold travel time for j. Previous studies on the psychological limits of travel modes have established that 30 min is the maximum tolerable time for any mode of transportation [58]. Therefore, in this study, we set the time threshold for all four travel modes to 30 min.  M j represents the attractiveness of j within the catchment area of i (i.e., where t i j t 0 ).
In this study, we use a standardized attractiveness index to measure the accessibility of UGSs and reflect their overall attractiveness. L denotes all UGSs within catchment area i. The Gaussian function (G) is the distance impedance coefficient, widely used for multiple travel modes, modified based on the distance decay method proposed in previous research [59].
R j = S j k t ij t 0 P rob ij P i
where S j is the capacity of j measured through the area of UGS, k denotes all positions i within the study area of j, and P i denotes the population at position i. The green space ratio ( R j ) is adjusted using G and summed to estimate the spatial accessibility ( A i ) at position i, which is expressed as follows:
A i = l t ij t 0 Pr o b i j R j G ( t i j , t 0 )

2.2.3. Gini Coefficient and Lorenz Curve

The Gini coefficient and the Lorenz curve analysis are quantitative indicators for evaluating social equity performance. These methods were initially proposed by American statistician Lorenz to explore the issue of income distribution fairness [60,61]. Since income distribution and public resource allocation share an inherent similarity in the context of social equity, this method has been increasingly applied in the field of environmental equity in recent years, with relevant evaluation criteria being developed [62,63] (Table 2). We constructed a UGS equity model based on the Gini coefficient to measure the differences in green space accessibility across each unit interval. The model’s calculation formula is as follows:
G E u = 1 k = 1 n ( P k P k 1 ) ( C k + C k 1 )
C k = i = 1 k A i r i i = 1 n A i r i
where G E u represents the UGS equity index within the study area u; n is the total number of geographic units within the study area u; k denotes the geographic unit ranked in ascending order of UGS accessibility, where (k = 1, 2, ..., n); and A i is UGS accessibility value for geographic unit i; r i represents the population of geographic unit i. C k is the cumulative proportion of the product of UGS accessibility and population from geographic unit 1 to unit k, where C 0 = 0 and C n = 1. Similarly, P k denotes the cumulative population proportion from geographic unit 1 to unit k, with P 0 = 0 and P n = 1 [64].

2.2.4. Location Entropy

To analyze the overall equity of UGS services for different age groups, we introduce the per capita UGS service location entropy for children, middle-aged adults, and older adults. If the location quotient of accessibility ( L Q A ) for a spatial unit is greater than 1, it indicates that the per capita park green space resources available to the population in that unit exceed the average level within the study area; conversely, an L Q A less than 1 suggests the opposite [65]. The formula for calculating L Q A is as follows:
L Q A = T da / P dw T qa / P qw
where T d a represents the sum of the accessibility indices of UGS that can be reached within a 30 min travel time radius from the geographic units within the spatial unit. P d w denotes the population of different age groups within the spatial unit. T q a is the total area of the accessibility indices of UGS that can be reached within a 30 min travel time radius across the entire study area, and P q w represents the population of different age groups within the study area.

2.2.5. Bivariate Spatial Autocorrelation Method

This study employs a bivariate spatial autocorrelation method to examine the spatial clustering characteristics of UGS supply capacity and the demand levels of different social groups, thereby exploring the spatial matching degree between the two [65]. After obtaining the UGS accessibility data for each study unit, whether there is a significant clustering distribution pattern between UGS accessibility and various social groups was tested. The formula is as follows:
I xy m = z x m n W mn z y n
where z x m represents the standardized value of UGS accessibility at research unit m, z y n represents the standardized value of population density at research unit n, W m n   is the spatial weight matrix between spatial units m and n, and I x y m represents the degree of linear correlation between the variable value z x m at study unit m and the average value z y n of another variable at surrounding study unit n.

2.3. Data Sources and Preprocessing Methods

The data for this study primarily include fundamental geographic data, park data, population data, and travel time information regarding residents’ visits to parks. Specifically, the fundamental geographic data include remote-sensing satellite imagery of Hefei (sourced from https://www.gscloud.cn (accessed on 7 July 2024)), administrative boundary data (sourced from http://www.gisrs.cn (accessed on 7 July 2024)), point of interest (POI) data (sourced from https://lbsyun.baidu.com (accessed on 7 July 2024)), and data on the time residents take to reach parks (also sourced from https://lbsyun.baidu.com (accessed on 7 July 2024)). We utilize mobile-signaling data provided by China Unicom’s Smart Footprint service to obtain more accurate population spatial distribution data.
The data preprocessing involves several steps: (1) Determining the research area and UGS boundaries: This involves analyzing publicly available information such as Hefei’s “Green Space System Plan (2007–2020)” and “Overall Plan (2013–2020)”, along with visual interpretation of remote-sensing images using Google Earth, combined with POI data to delineate the boundaries of UGS within Hefei’s built-up area. (2) Processing mobile-signaling data: The original data include several components: communication base station data for Hefei, location data for mobile phones within Hefei in 2023, and user-tagging information, which encompasses time, location, and user attributes. Base stations within the urban area are typically spaced between ten meters and several hundred meters apart to ensure the positional accuracy of the data [66]. This approach can reduce computational load while ensuring data accuracy and mitigating sample bias caused by boundary effects due to the shape of the grid. We employ hexagonal grids with a side length of 200 m, establishing a residential cell network in ArcGIS 10.8, aggregating base stations that fall within the hexagons to their grid centroids for spatial analysis, ultimately resulting in 4862 residential hexagonal grid units for subsequent analysis. (3) Assessing UGS attractiveness: This assessment utilizes a combination of analysis of POI data from Baidu Maps and offline surveys. While online surveys offer extensive coverage and accessibility, the POI data and satellite maps may suffer from image lag and detail blurriness, necessitating offline verification and corrections for unclear content. (4) Obtaining travel time data: Initially, a coordinate conversion interface is used to transform the GPS coordinates of park supply points and residential demand points into Baidu coordinates. Subsequently, during weekdays from 15:00 to 16:00, the path-planning API 2.0 of the white base map is utilized to initiate path-planning requests for walking, cycling, and driving, using the start- and end-point coordinates as parameters. Python is employed to retrieve time and distance data for different travel modes, which serve as actual distance data between the supply and demand points.

3. Results

3.1. Population Demand Assessment and UGS Attractiveness Index

The population demand obtained by integrating signaling data and census data can be an indicator for assessing UGS demand. These data are categorized into five levels, and in an ideal model, UGS accessibility needs to match these levels hierarchically. According to Figure 5, there are certain differences in the demand distribution across different age groups. Moreover, high spatial demand is primarily concentrated in areas near the old town in Shushan District and Luyang District. There are differences in the distribution of people of different ages, with the elderly more densely distributed in the main urban areas, the middle-aged in the southwest because there are many industrial parks in that area, and the distribution of children tending to be the same as that of the middle-aged because most of the middle-aged people would choose to keep their children with them to raise them.
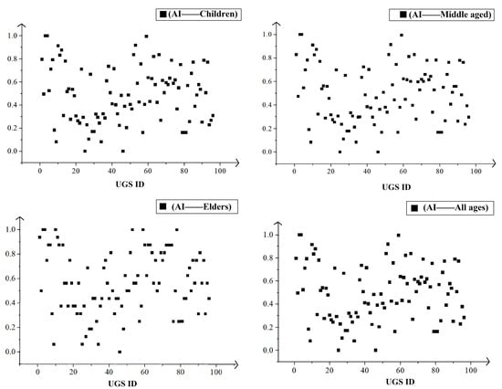
By calculating the attractiveness index of UGSs in Hefei’s built-up areas, it is found that the top 20 UGSs (Table 3) exhibit characteristics such as large-scale and comprehensive functions. However, they are widely distributed, primarily in areas away from the city center and with high population density. Judging from the results of Hefei’s attraction index, most of the UGSs with high attraction indexes are related to water, which is related to Hefei’s expectation of building an urban pattern surrounded by water. Due to certain differences in the way attractiveness indices are assessed, there are also subtle differences in the UGS attractiveness index for different age groups (Figure 6). The attractiveness index of parks for the elderly is higher than that of middle-aged people, and the attractiveness index of middle-aged people is slightly higher than that of children. This may be due to the fact that the construction of urban parks in recent years has focused on aging-friendly renovation, and the government will focus on the needs of the elderly when building UGS.

3.2. Analysis of Differences in the Accessibility of UGS

The UGS accessibility of the built-up areas in Hefei is illustrated in Figure 7. Regarding coverage, accessibility ranks from highest to lowest: driving > cycling > walking > public transportation. This result indicates that high-speed travel modes can significantly enhance the accessibility of UGSs, particularly for residents living in the outer suburban areas. Although there are certain spatial differences in park green space accessibility across the four travel modes throughout the entire built-up area, some similarities exist. Specifically, all four travel modes identify Shufeng Bay Park in the west and Luogang Park in the east as the two major peak accessibility areas.
For walking, the accessibility of green park spaces within a 30 min threshold covers up to 73% of the area, leaving some parts of the northwest, northeast, southwest, and southeast uncovered. Under public transportation, the coverage within the 30 min threshold drops to 50%, the lowest among all travel modes. This is primarily because public transportation is heavily influenced by route planning; thus, in areas not covered or poorly served by transit lines, the range of accessible green park spaces is smaller. Additionally, the calculation of public transit accessibility includes waiting times and intermediate stops, resulting in longer travel times. In contrast, driving and cycling modes achieve 100% coverage within the 30 min threshold. However, the accessibility index for driving is significantly higher than that of cycling, as driving generally allows the target green spaces to be reached within a shorter time frame.
Regarding accessibility among different age groups, the accessibility index cannot be compared directly across groups but should be analyzed within each age category. For walking, older adults and children exhibit higher accessibility when located near comprehensive park types, as these parks better meet their needs. As special groups, older adults and children can be more effectively accommodated when park facilities are sufficiently diverse. On the other hand, the middle-aged group, which constitutes the largest demographic, has fewer specific demands for parks compared to the other two groups, resulting in a closer alignment of their accessibility with the overall population.
In 1990, the Ring Park in Hefei was completed. Starting in the 21st century, Hefei transitioned from the era of Ring Park to the era of lakes, building numerous waterfront parks based on water bodies. This shift signifies a transformation from a single urban center to a multi-point spatial layout through urban development strategies. In 2012, with the adjustment of administrative divisions, the city optimized its spatial layout by integrating the high-speed railway station and Luogang Airport area, forming the central business district (CBD). Consequently, the different directions of urban spatial expansion in various periods and the functional differences in regions have resulted in spatial distribution disparities between the old city and the surrounding areas, as well as within the study area.

3.3. Supply and Demand Analysis of Parkland Based on the Gini Index

By analyzing the Gini coefficients and Lorenz curves (Figure 8) of UGS distribution across different areas within the study scope, we can observe notable differences in accessibility based on different modes of transportation within the city’s built-up areas. Driving has the lowest Gini coefficient (0.33), indicating that UGS accessibility via driving is relatively equitable. In contrast, walking and public transportation have the highest Gini coefficients, at 0.76 and 0.75, respectively, suggesting highly uneven accessibility. The Gini coefficient for cycling stands in the middle at 0.51. Therefore, it can be concluded that UGS accessibility is more uneven when traveling by walking or public transport. Due to road congestion, people are more inclined to walk or use public transportation to reach UGSs in the city’s core areas. However, this choice leads to significant disparities in UGS accessibility, resulting in greater inequity for residents in these central regions when accessing UGSs.
Examining the fairness of UGS distribution across the administrative districts of Hefei’s built-up areas, differences among various districts are also apparent (Table 4). In Baohe District, the Gini coefficients for all four modes of transportation are below the average (0.4825), indicating a relatively balanced distribution of UGSs. The next is Yaohai District, with a Gini coefficient of 0.535. Although UGSs in this district are generally evenly distributed, the larger and better-equipped UGSs are far from densely populated areas. In contrast, UGSs in densely populated areas are relatively small. Luyang District and Shushan District have Gini coefficients of 0.6025 and 0.615, respectively, significantly higher than those of other districts. This is primarily due to the influence of the natural environment, resulting in these two administrative districts having a larger quantity of UGSs concentrated in ecological control zones, areas with restricted development, or less developed areas with relatively small populations. Consequently, these districts have more UGSs enjoyed by fewer people, while UGS resources in densely populated areas remain scarce.

3.4. Supply and Demand Analysis of Parkland Based on Locational Entropy

The per capita location quotient of UGSs ( L Q A ) reveals the uneven distribution of park green space resources among urban residents (Figure 9). This article analyzes the accessibility of park green spaces for different groups based on four modes of travel: walking, public transportation, cycling, and driving, aiming to explore the status of each group’s access to park green space resources. The following is an analysis of each travel mode and different population groups: First, in the case of walking, the distribution of park green space L Q A for the three groups (children, middle-aged adults, and older adults) shows a similar pattern. Large areas of high L Q A appear outside the city ring park, indicating that residents in these areas enjoy park green space levels far below the average.
In contrast, the areas near the city ring park exhibit lower L Q A , reflecting richer green space resources in these regions. Overall, the proportion of areas with an L Q A greater than 1 is approximately 41.98%, indicating that less than half of the regions have green space resources above the per capita average. Secondly, the analysis based on public transportation indicates minimal differences among different groups, but there is a significant disparity in L Q A levels across regions. Areas with an L Q A below the average are mainly concentrated around two large parks, while the city’s edge areas generally exhibit higher L Q A s. The regions extending outward from the city ring park generally have L Q A s below the average level. Overall, the proportion of areas with an L Q A greater than 1 is around 38.6%, indicating the largest gap among the four travel modes. Third, the analysis of cycling as a travel mode shows that the proportion of areas with an L Q A greater than 1 is approximately 57.2%, ranking second. Although cycling provides basic coverage across the city, high L Q A areas are mainly located in the city ring park and the regions extending northwest and northeast, suggesting a lower level of park green space services in these areas. Finally, the analysis based on driving indicates that the proportion of areas with an L Q A greater than 1 reaches 70.5%, the highest among the four travel modes. This suggests that driving allows residents in more regions to access relatively sufficient park green space resources. For older adults, it is found that the L Q A in the city ring park and the old city area to the northwest is generally below the average, and this situation is more pronounced compared to that for children and middle-aged individuals. In addition, there is an overall trend in which the L Q A gradually increases from northwest to southeast, with lower L Q A areas mainly concentrated near the city ring park. In summary, the distribution of urban park green spaces presents obvious imbalances among different travel modes and population groups, especially for residents outside the city ring park, who have access to park green space resources significantly below the average level. This disparity varies under walking, public transportation, cycling, and driving modes, with driving being the most advantageous.
In conclusion, the areas with low location entropy in Hefei are mainly located near the old city because of the dense population and crowded land use. The rapid urbanization of Hefei has caused the construction of UGS to fail to keep up with the population growth, and there is a clear shortage of parks in high-density areas. The most serious area is located within the second ring road of Hefei. Due to the shortage of land resources, commercial and residential development often takes precedence over the construction of public UGSs, resulting in a shortage of UGSs.

3.5. Supply and Demand Analysis Based on Spatial Autocorrelation

Using the Geoda 2.1 platform, a bivariate local spatial autocorrelation analysis of park accessibility and residential demand was conducted to reveal the characteristics of the supply–demand matching of green park spaces in built-up areas. The spatial correlation between these two factors is shown in Figure 10. The high–high (h–h) type indicates residential grids with both high accessibility and a high population; the high–low (h–l) type represents grids with a large population but low accessibility; the low–high (l–h) type shows grids with high accessibility but a small population; and the low–low (l–l) type indicates both low accessibility and low population density in the residential grids. Within a 30 min travel threshold for walking, targeting the entire population and removing invalid data, 6.57% of the parcels are classified as h–h, 54.37% as l–l, 20.32% as l–h, and 18.74% as h–l. The most prominent issue is found in the outer ring surrounding the city park, where the population density is the highest in Hefei. The imbalance between supply and demand is minimal for older adults in this travel mode, possibly because they consider walkable access to UGSs within a certain threshold important when choosing their residence. For travel based on public transit, targeting the entire population and removing invalid data, 7.04% of the parcels are categorized as h–h, 53.88% as l–l, 13.10% as l–h, and 25.98% as h–l. The distribution is centered along the axis connecting Shufengwan Park and Luogang Park, with supply–demand matching ranging from excellent to moderate, mainly due to the abundance of public transit routes near large parks. Regarding driving, targeting the entire population and removing invalid data, 0.56% of the parcels are classified as h–h, 47.45% as l–l, 33.72% as l–h, and 18.27% as h–l. The distribution trend shows upper and lower layering, with the southern region having well-developed road infrastructure and many parks but a low population, resulting in good performance under this mode of travel. For cycling, targeting the entire population and removing invalid data, 6.91% of the parcels are categorized as h–h, 51.53% as l–l, 23.55% as l–h, and 18.01% as h–l. Areas with a high distribution of urban greenways often show more outstanding performance under cycling as a mode of transportation.
In sum, the areas with low location entropy in Hefei are mainly located near the old city because of the dense population and crowded land use. The rapid urbanization of Hefei has caused the construction of urban parks to fail to keep up with the population growth, and there is a clear shortage of parks in high-density areas. The most serious area is located within the second ring road of Hefei. Due to the shortage of land resources, commercial and residential development often takes precedence over the construction of UGSs, resulting in a shortage of parks.

4. Discussion

4.1. Discussion on the Equity of Park Green Spaces

The accessibility analysis in this study highlights the uneven distribution of UGSs across different areas within Hefei. This finding aligns with the research conducted by Chen et al. [67], which also identified disparities in the distribution of UGSs in certain regions. However, our research is more in-depth than previous research because we have obtained more detailed research results by optimizing the construction of the supply and demand balance evaluation system. Using Argis 10.8 and Geoda 2.1 platforms, our study offers a more in-depth quantitative understanding of UGS accessibility. This approach is similar to the methods employed by Wang et al. [68] in evaluating UGS accessibility using related technologies. In other words, the improved 2SFCA model is used to calculate accessibility, and a bivariate local spatial autocorrelation model, Lorenz curve, and Gini coefficient are considered to analyze the UGS supply–demand balance in Hefei. We have improved the park scope based on their work. They only considered comprehensive parks, while we analyzed four types of UGS parks. Their park attractiveness index only includes area and recreational time, while our study of UGS attractiveness covers activity facilities, environmental quality, service facilities, and tourist ratings. At the same time, our specific method for studying the balance between supply and demand is more comprehensive. We have added location entropy to compare the regional UGS supply and demand balance index with the regional average UGS supply and demand balance index. However, there are also some research findings that are inconsistent with previous research findings. The regions with the best supply–demand balance studied by previous generations in the UGS supply–demand balance are generally the most economically developed regions. This is because economically developed regions will pay more attention to the construction of UGSs and invest more capital [69]. We found that the area with the most balanced UGS supply and demand in Hefei is not the area with the best economic development. The area with the highest GDP index is near the old city. Although the economy in this area is the most developed, it is also the area with the most severe imbalance in UGS supply and demand. On the contrary, areas with medium or even lower economic development have a higher balance of UGS supply and demand because the land conflicts in these areas are relatively less prominent. Hence, they are easier to meet when planning UGSs. Therefore, more attention must be paid to economically developed and densely populated areas when constructing UGSs.
Niloofar et al. quantified the distance between residents of various age groups and public parks through GIS. Still, in addition to distance, a more detailed differentiation of age groups was needed. Our study divides age groups into four parts: activity facilities, environmental quality, service facilities, and tourist ratings, which refine the needs of age groups. From the perspective of different age groups in UGSs, there is a notable consistency in the preferences of older adults and children. At the same time, the supply–demand balance for middle-aged individuals closely aligns with that of the general population. This can be attributed to the varying priorities among different demographic groups. Older adults tend to prefer quieter and more comfortable environments. In contrast, children are more attracted to parks with various facilities tailored to their needs, indicating a higher level of specificity in their park-related demands. On the other hand, middle-aged individuals constitute the largest population group and generally have less specialized needs for parks, making their preferences more aligned with those of the residents. Therefore, future urban green space planning should incorporate the diverse demands of different age groups to ensure more comprehensive and inclusive park systems.
In previous assessments of UGS supply, the attraction coefficient (Sj) was typically calculated using per capita area indices as the capacity standard for overall UGSs [59], without considering other attraction indices. Dony et al. used the “container method” to analyze park attractiveness, taking the park area in a geographical unit as an indicator of attractiveness. However, this method has the problem of boundary restrictions [70]. This study emphasizes the importance of focusing on the internal facilities of parks. The enhancement of park facilities should be considered only after addressing the unfairness in the distributional accessibility of green spaces. This prioritization should guide the planning and design of park green spaces. While park facilities can attract many visitors, it is impractical for people to access all green spaces simultaneously. Thus, they often select the most attractive green spaces within an ideal accessibility range. Consequently, planning efforts should comprehensively consider UGS’s spatial distribution and quality to eliminate accessibility blind spots.
This study advances previous methodologies by combining signaling big data with census data, addressing the shortcomings of solely relying on census data and population heatmaps, which often lack accuracy and do not account for population segmentation. By classifying the population into children, middle-aged, and older adult groups and considering four modes of travel, this study refines the locational entropy for each age group. This approach helps identify the fairness issues associated with different modes of transportation for each demographic. A multi-dimensional and multi-factor analysis can provide targeted planning strategies that address the differences between age groups, thereby promoting a more comprehensive and rational layout of UGS. Moreover, the study reveals that over 15% of the regions within the research area exhibit a high demand for park green spaces but suffer from a low supply. These regions, primarily located outside the city’s ring parks, face significant land-use constraints due to the high development intensity in Hefei. As a result, the available space for UGS is insufficient to meet residents’ daily needs. These areas deserve special attention in future urban planning to alleviate the existing deficiencies in green space provision.

4.2. Supply and Demand Balance of Park Green Spaces Under Multiple Modes of Travel

This study reveals that the Gini coefficients for driving and cycling are higher than those for walking and public transportation, indicating that the accessibility of urban park green spaces in Hefei remains limited. This study used a unified 30 min time threshold for each mode of transportation to control travel time. Higher speeds allow access to larger areas within the time threshold, while lower speeds correspond to a reduced threshold distance. Although public transportation is faster than walking, it often fails to cover a larger area. This is mainly due to the incomplete coverage of the public transportation network; if a residential area is not well connected to a transit route, it is unlikely that parks can be reached within 30 min using public transportation.
For all four modes of transportation, especially driving, park accessibility is generally higher in the city’s peripheral areas compared to the central districts. The primary reason is that road networks in peripheral areas are more open and less congested, while older urban centers are more crowded. This conclusion aligns with Tan et al.’s study on park accessibility in Chengdu across different transportation modes [71]. Their research identified notable differences in spatial accessibility based on mode, revealing that UGS accessibility is generally lower in central Chengdu. In contrast, accessibility is higher in new urban and fringe areas, attributed to improved road networks, especially for car users. Our analysis delves further into these findings, providing additional insight into the observed spatial patterns of accessibility. Newer urban areas benefit from more spacious environments, which allow for a greater quantity, larger size, and higher quality of UGS. Although older city districts, including the areas surrounding the city ring park, are more densely populated than the newer districts, their accessibility can rival that of the newer areas. The parks in these older areas are typically smaller, more numerous, and historically significant. During urban development, new green spaces have been established in these areas, focusing on residents’ convenience and mitigating discomfort due to the central city’s high density.
Additionally, our findings align with the research conducted by Yang et al. [64], which quantified the accessibility of urban green spaces and demonstrated that walking often faces more challenges in park accessibility. Unlike Yang et al.’s study, which considered a single mode of transportation, our research adopts a multi-modal approach, incorporating various transportation methods and assumptions. This is because people’s means of accessing parks are diverse, and the outcomes differ significantly depending on the mode of transport used; relying on a single transportation mode would not provide a comprehensive understanding of the issue.
Moreover, this study modifies the traditional two-step floating-catchment area (2SFCA) method for calculating park green space accessibility. Building upon the previous Huff model, we include the probability of visiting green spaces, where residents select a park based on their residential location. By incorporating competitive access to parks within the study area, this approach effectively suppresses the overestimation of population demand and, through the Huff model, avoids the repeated probability of residents visiting multiple green spaces.

4.3. Optimization Strategies for UGS Layout Based on Supply and Demand Balance

Areas characterized by high demand and low supply are scattered throughout the study region, particularly within the boundary of the Second Ring Road in Hefei. These areas predominantly face challenges such as saturated development, limited land availability, and high population density, leading to pronounced supply–demand conflicts. Therefore, it is crucial to prioritize adaptive optimization and redevelopment in these regions during the city’s upcoming micro-renewal planning. The specific strategies are as follows: (1) Identify inefficient spaces and increase green spaces: During urban micro-renewal, it is essential to identify scattered, inefficient spaces within the city and maximize the creation of green spaces. This can be achieved by implementing a “fill-in-the-gaps with greenery” approach, primarily focusing on developing small-scale green spaces like community parks or garden parks [72]. (2) Enhance transport systems and guide population redistribution: For areas that are near a balanced supply–demand status, improving the slow traffic system and increasing commuting efficiency can guide some residents to visit park green spaces in nearby regions where supply and demand are more favorable [73]. This strategy can help alleviate the issues of “insufficient supply” or “supply shortage” in specific localities.
In contrast, low-demand and low-supply areas occupy the largest proportion of the region, particularly near the edges of developed zones, such as the northeastern sector. These areas are either underdeveloped or have only recently been developed, resulting in a relatively low residential population. However, they possess an advantage: the availability of undeveloped land, indicating significant potential for future development. These areas can be incorporated into Hefei’s medium- to long-term planning. The recommended strategies include the following: (1) Rational park planning to improve accessibility: in future planning for park green spaces, new parks should be strategically established to expand the range of green spaces accessible within a 30 min walk [74]. (2) Development of a diverse, green transit system: a multi-modal, environmentally friendly transportation system that strengthens the public transit network serving park green spaces should be established. Enhancing the accessibility of parks via public transport will reduce the travel time required for residents to reach these green spaces. (3) Ensuring the sustainable development of parks: the number of parks of different types should be sufficient to meet basic sustainable development needs. Additionally, emphasis should be placed on the ecological benefits and service quality of park green spaces. Special consideration should be given to the unique needs of children and older adults, promoting the development of child-friendly and age-friendly park facilities.
Balanced supply regions are mainly concentrated within the radii of Luogang Park in Baohe District and Shushan Forest Park in Shushan District, effectively meeting the green space needs of the surrounding areas with relatively low population density. Given these areas’ current favorable supply–demand conditions, maintaining the status quo is advisable. Further strategies to optimize these areas include improving park quality, enhancing service functions around park green spaces, and upgrading the transportation network to attract residents from surrounding “supply-deficient” regions. This approach can help balance the urban park supply–demand relationship.
From a long-term urban development perspective, the relationship between residents and park green spaces is dynamic, and the service capacity of parks must be adaptively enhanced in response to urban growth. Therefore, these well-supplied areas should be included in long-term urban planning: (1) strengthen connectivity and build a green network: improve the connectivity between parks and green spaces by accelerating the construction of a comprehensive network of parks and greenways [75,76]. This approach will optimize the overall service function of the green space system. As parks and green spaces are integral parts of urban public resources, it is vital to focus on their linkages and complementarity with other urban resources. (2) Promote ecological value and sustainable management: emphasize the ecological value conversion of park green spaces and implement diversified management methods to enhance their self-sustaining operation. This strategy will contribute to the long-term vitality and sustainability of urban parks. (3) Focus on the regulation of land use conflicts. As decision-makers, the government plays a crucial role in the success or failure of land use conflict governance, and relevant policy formulation is closely related to land use conflicts. Therefore, in areas with a high urbanization rate, it is essential to consider sustainable urban development and propose conflict regulation strategies based on the natural resource endowments of the region, taking into account the specific time and place.

4.4. Implications, Limitations, and Outlook

The uneven distribution of UGSs has a certain impact on environmental justice in Hefei City [77]. This study demonstrates that the equity of UGSs for residents in the new urban area is higher than that in the old urban area. Thus, future urban planning should focus on the balanced allocation of resources between these two regions. This inequity is rooted in the mismatch between population supply and green space distribution. From a demographic perspective, adjustments in the spatial distribution of the urban population are necessary, such as expanding major living circles and improving associated infrastructure in new urban areas. Additionally, addressing the housing supply issues in Hefei can effectively alleviate the imbalance in green space distribution. This challenge is common to Hefei and other cities in China undergoing urbanization, holding significant implications for urban park planning and other policy decisions. Therefore, the findings of this study offer valuable insights for other cities facing similar issues. As a provincial capital city with rapid economic growth and a densely populated mega-city, Hefei is shifting its park planning from incremental to stock enhancement. Therefore, the research results can be extended to cities of the same type. The research framework can be applied to the accessibility analysis of UGSs in similar contexts. Before planning, this method can comprehensively assess accessibility to UGSs. Subsequently, a well-structured park management system can be established to enhance the overall layout of parks and effectively manage the relationship between the park system and the transportation system. This approach can address the challenges and opportunities urbanization brings, ultimately optimizing the collaborative service capacity of urban parks. The measures outlined above can also serve as a reference in urban planning.
Nevertheless, this study has certain limitations. It estimates the accessibility of park green spaces based on different modes of transportation used by residents of varying age groups. Furthermore, the travel time used in this study is determined by threshold values rather than actual resident preferences. In reality, residents may choose park green spaces based on their unique preferences, leading to variability in travel time. Future research should, therefore, refine the time requirements of different population groups to set more precise parameters.

5. Conclusions

Balancing the population’s demand with the supply of park green spaces within a city’s limited space is crucial. This study focuses on the built-up areas of Hefei City, examining the equity of park green spaces from a supply–demand perspective. First, the study employs the two-step floating-catchment area (2SFCA) method to assess the accessibility of green spaces for different age groups, considering various modes of transportation, including walking, public transit, driving, and cycling. Next, it uses Moran’s index and Gini coefficients to evaluate the supply and spatial distribution differences associated with each transportation mode. The imbalance in UGS distribution is further illustrated using location entropy. Subsequently, this study analyzes the spatial autocorrelation of UGS accessibility to explore the relationship between supply–demand balance and the distribution of green spaces. This analysis helps identify problem areas in various land parcels. Finally, targeted recommendations for improvement are proposed based on the findings, addressing different types of land parcels from multiple perspectives. This research provides valuable urban planning and development insights, contributing to sustainable urban and regional growth.

Author Contributions

Conceptualization, J.L.; data curation, K.G. and J.L.; formal analysis, J.L.; funding acquisition, K.G. and X.L.; investigation, K.G. and X.L.; methodology, K.G. and J.L.; project administration, K.G. and X.L.; resources, K.G.; software, J.L. and D.W.; supervision, D.W. and Y.D.; validation, J.L.; visualization, K.G., D.W. and Y.D.; writing—original draft, K.G.; writing—review and editing, K.G. and J.L. All authors have read and agreed to the published version of the manuscript.

Funding

Priority Academic Program Development of Jiangsu Higher Education Institutions, grant number: PAPD (funder: Kang Gu); National Social Science Fund, grant number No. 21FYSB038 (funder: Xueyan Li).

Data Availability Statement

The datasets used in this study are available from the corresponding author upon reasonable request.

Conflicts of Interest

The authors declare no conflict of interest.

References

  1. Li, C.; Wang, J. Using an age-grouped Gaussian-based two-step floating catchment area method (AG2SFCA) to measure walking accessibility to urban parks: With an explicit focus on elderly. J. Transp. Geogr. 2024, 114, 103772. [Google Scholar] [CrossRef]
  2. Wei, J.; Chen, M.; Chu, C.; Zhao, C.; Xia, X.; Li, Y. Assessing cultural ecosystem services supply–demand balance of urban parks in the context of old and new urban districts. Ecol. Indic. 2024, 159, 111688. [Google Scholar] [CrossRef]
  3. Chang, H.-S.; Liao, C.-H. Exploring an integrated method for measuring the relative spatial equity in public facilities in the context of urban parks. Cities 2011, 28, 361–371. [Google Scholar] [CrossRef]
  4. Liu, B.; Tian, Y.; Guo, M.; Tran, D.; Alwah, A.A.Q.; Xu, D. Evaluating the disparity between supply and demand of park green space using a multi-dimensional spatial equity evaluation framework. Cities 2022, 121, 103484. [Google Scholar] [CrossRef]
  5. Yang, Y.; He, R.; Tian, G.; Shi, Z.; Wang, X.; Fekete, A. Equity Study on Urban Park Accessibility Based on Improved 2SFCA Method in Zhengzhou, China. Land 2022, 11, 2045. [Google Scholar] [CrossRef]
  6. Mushkani, R.A.; Ono, H. Spatial Equity of Public Parks: A Case Study of Kabul City, Afghanistan. Sustainability 2021, 13, 1516. [Google Scholar] [CrossRef]
  7. Qanazi, S.; Hijazi, I.H.; Shahrour, I.; Meouche, R.E. Exploring Urban Service Location Suitability: Mapping Social Behavior Dynamics with Space Syntax Theory. Land 2024, 13, 609. [Google Scholar] [CrossRef]
  8. Zhang, J.; Li, J. Study on the Spatial Arrangement of Urban Parkland under the Perspective of Equity—Taking Harbin Main City as an Example. Land 2024, 13, 248. [Google Scholar] [CrossRef]
  9. Sharma, G.; Patil, G.R. Urban spatial structure and equity for urban services through the lens of accessibility. Transp. Policy 2024, 146, 72–90. [Google Scholar] [CrossRef]
  10. Tong, A.; Xu, L.; Ma, Q.; Shi, Y.; Feng, M.; Lu, Z.; Wu, Y. Evaluation of the level of park space service based on the residential area demand. Urban For. Urban Green. 2024, 93, 128214. [Google Scholar] [CrossRef]
  11. García-Albertos, P.; Picornell, M.; Salas-Olmedo, M.H.; Gutiérrez, J. Exploring the potential of mobile phone records and online route planners for dynamic accessibility analysis. Transp. Res. Part. A Policy Pract. 2019, 125, 294–307. [Google Scholar] [CrossRef]
  12. Dinda, S.; Das Chatterjee, N.; Ghosh, S. An integrated simulation approach to the assessment of urban growth pattern and loss in urban green space in Kolkata, India: A GIS-based analysis. Ecol. Indic. 2021, 121, 107178. [Google Scholar] [CrossRef]
  13. Long, Y.; Qin, J.; Wu, Y.; Wang, K. Analysis of Urban Park Accessibility Based on Space Syntax: Take the Urban Area of Changsha City as an Example. Land 2023, 12, 1061. [Google Scholar] [CrossRef]
  14. Chen, Z.; Liu, Q.; Li, M.; Xu, D. A New Strategy for Planning Urban Park Green Spaces by Considering Their Spatial Accessibility and Distributional Equity. Forests 2024, 15, 570. [Google Scholar] [CrossRef]
  15. Nicholls, S. Measuring the accessibility and equity of public parks: A case study using GIS. Manag. Leis. 2001, 6, 201–219. [Google Scholar] [CrossRef]
  16. Zhang, D.; Ma, S.; Fan, J.; Xie, D.; Jiang, H.; Wang, G. Assessing spatial equity in urban park accessibility: An improve two-step catchment area method from the perspective of 15-mintue city concept. Sustain. Cities Soc. 2023, 98, 104824. [Google Scholar] [CrossRef]
  17. Gupta, K.; Roy, A.; Luthra, K.; Maithani, S. Mahavir GIS based analysis for assessing the accessibility at hierarchical levels of urban green spaces. Urban For. Urban Green. 2016, 18, 198–211. [Google Scholar] [CrossRef]
  18. Liang, H.; Yan, Q.; Yan, Y.; Zhang, Q. Using an improved 3SFCA method to assess inequities associated with multimodal accessibility to green spaces based on mismatches between supply and demand in the metropolitan of Shanghai, China. Sustain. Cities Soc. 2023, 91, 104456. [Google Scholar] [CrossRef]
  19. Zhang, J.; Tan, P.Y. Demand for parks and perceived accessibility as key determinants of urban park use behavior. Urban For. Urban Green. 2019, 44, 126420. [Google Scholar] [CrossRef]
  20. Pei, X.; Guo, P.; Chen, Q.; Li, J.; Liu, Z.; Sun, Y.; Zhang, X. An Improved Multi-Mode Two-Step Floating Catchment Area Method for Measuring Accessibility of Urban Park in Tianjin, China. Sustainability 2022, 14, 11592. [Google Scholar] [CrossRef]
  21. Hu, S.; Song, W.; Li, C.; Lu, J. A multi-mode Gaussian-based two-step floating catchment area method for measuring accessibility of urban parks. Cities 2020, 105, 102815. [Google Scholar] [CrossRef]
  22. Wang, Y.; Liu, Y.; Xing, L.; Zhang, Z. An Improved Accessibility-Based Model to Evaluate Educational Equity: A Case Study in the City of Wuhan. ISPRS Int. J. Geo-Inf. 2021, 10, 458. [Google Scholar] [CrossRef]
  23. Li, Z.; Chen, H.; Yan, W. Exploring spatial distribution of urban park service areas in Shanghai based on travel time estimation: A method combining multi-source data. ISPRS Int. J. Geo-Inf. 2021, 10, 608. [Google Scholar] [CrossRef]
  24. Farber, S.; Morang, M.Z.; Widener, M.J. Temporal variability in transit-based accessibility to supermarkets. Appl. Geogr. 2014, 53, 149–159. [Google Scholar] [CrossRef]
  25. Niu, Q.; Wang, Y.; Xia, Y.; Wu, H.; Tang, X.; Health, P. Detailed assessment of the spatial distribution of urban parks according to day and travel mode based on web mapping API: A case study of main parks in Wuhan. Int. J. Environ. Res. Public. Health 2018, 15, 1725. [Google Scholar] [CrossRef]
  26. Seifu, S.; Stellmacher, T. Accessibility of public recreational parks in Addis Ababa, Ethiopia: A GIS based analysis at sub-city level. Urban For. Urban Green. 2021, 57, 126916. [Google Scholar] [CrossRef]
  27. Ryan, J.; Pereira, R.H.M.; Andersson, M. Accessibility and space-time differences in when and how different groups (choose to) travel. J. Transp. Geogr. 2023, 111, 103665. [Google Scholar] [CrossRef]
  28. Wu, J.; Feng, Z.; Peng, Y.; Liu, Q.; He, Q. Neglected green street landscapes: A re-evaluation method of green justice. Urban For. Urban Green. 2019, 41, 344–353. [Google Scholar] [CrossRef]
  29. Rigolon, A. A complex landscape of inequity in access to urban parks: A literature review. Landsc. Urban Plan. 2016, 153, 160–169. [Google Scholar] [CrossRef]
  30. Yang, L.; Yang, P.; Chen, L. Quantitative Evaluation on the Equity of Park Green Space Provision: A Case Study of Central District of Chongqing. Chin. Landsc. Archit. 2020, 36, 108–112. (In Chinese) [Google Scholar] [CrossRef]
  31. Mao, Z.; Wang, W.; Ren, Z.; Zhang, D.; He, X. Recreational Attractiveness of Urban Parks and Implications for Their Management: A Case Study in Changchun, China. Chin. Geogr. Sci. 2022, 32, 456–466. [Google Scholar] [CrossRef]
  32. Guo, R.; Diehl, J.A.; Zhang, R.; Wang, H. Spatial equity of urban parks from the perspective of recreational opportunities and recreational environment quality: A case study in Singapore. Landsc. Urban Plan. 2024, 247, 105065. [Google Scholar] [CrossRef]
  33. Xia, G.; He, G.; Zhang, X. Assessing the Spatial Equity of Urban Park Green Space Layout from the Perspective of Resident Heterogeneity. Sustainability 2024, 16, 5631. [Google Scholar] [CrossRef]
  34. Diao, Y.; Hu, W.; He, B.-J. Analysis of the impact of park scale on urban park equity based on 21 incremental scenarios in the urban core area of chongqing, China. Adv. Sustain. Syst. 2021, 5, 2100171. [Google Scholar] [CrossRef]
  35. Chikuta, O.; du Plessis, E.; Saayman, M. Development. Accessibility expectations of tourists with disabilities in national parks. Tour. Plan. Dev. 2019, 16, 75–92. [Google Scholar] [CrossRef]
  36. Vich, G.; Delclòs-Alió, X.; Maciejewska, M.; Marquet, O.; Schipperijn, J.; Miralles-Guasch, C. Contribution of park visits to daily physical activity levels among older adults: Evidence using GPS and accelerometery data. Urban For. Urban Green. 2021, 63, 127225. [Google Scholar] [CrossRef]
  37. Chen, J.; Li, H.; Luo, S.; Xie, J.; Su, D.; Kinoshita, T. Rethinking urban park accessibility in the context of demographic change: A population structure perspective. Urban For. Urban Green. 2024, 96, 128334. [Google Scholar] [CrossRef]
  38. Zhang, W.; Gao, Y.; Li, S.; Liu, W.; Zeng, C.; Gao, L.; Li, M.; Peng, C. Accessibility measurements for urban parks considering age-grouped walkers’ sectorial travel behavior and built environment. Urban For. Urban Green. 2022, 76, 127715. [Google Scholar] [CrossRef]
  39. Zhai, Y.; Wu, H.; Fan, H.; Wang, D. Using mobile signaling data to exam urban park service radius in Shanghai: Methods and limitations. Comput. Environ. Urban Syst. 2018, 71, 27–40. [Google Scholar] [CrossRef]
  40. Li, Z.; Chen, W.; Liu, W.; Cui, Z. Urban Internal Network Structure and Resilience Characteristics from the Perspective of Population Mobility: A Case Study of Nanjing, China. ISPRS Int. J. Geo-Inf. 2024, 13, 331. [Google Scholar] [CrossRef]
  41. Xiping, Y.; Zhixiang, F. Recent progress in studying human mobility and urban spatial structure based on mobile location big data. Prog. Geog. 2018, 37, 880–889. [Google Scholar]
  42. Dong, Y.; Chen, X.; Lv, D.; Wang, Q. Evaluation of urban green space supply and demand based on mobile signal data: Taking the central area of Shenyang city as an example. Land 2023, 12, 1742. [Google Scholar] [CrossRef]
  43. Buchanan, J.M. An Economic Theory of Clubs. Economica 1965, 32, 1–14. [Google Scholar] [CrossRef]
  44. Stewart, C.; Gil-Egui, G.; Pileggi, M. The city park as a public good reference for Internet policy making. Inf. Commun. Soc. 2004, 7, 337–363. [Google Scholar] [CrossRef]
  45. Shan, L.; Fan, Z.; He, S. Towards a better understanding of capitalization of urban greening: Examining the interactive relationship between public and club green space accessibility. Urban For. Urban Green. 2024, 96, 128359. [Google Scholar] [CrossRef]
  46. Xu, Y.; Chen, Y.; Su, J.; Wei, H.; Cheng, L.; Zeng, H. Using the environmental justiceapproach to evaluate equitable alloca-tion of urban parks: A case study of mainurban area of Nanjing, China. Chin. J. Appl. Ecol. 2022, 33, 1589–1598. (In Chinese) [Google Scholar] [CrossRef]
  47. Chen, J.; Wang, C.; Zhang, Y.; Li, D. Measuring spatial accessibility and supply-demand deviation of urban green space: A mobile phone signaling data perspective. Front. Public Health 2022, 10, 1029551. [Google Scholar] [CrossRef]
  48. Huang, J.; Chu, C.; Wang, L.; Wu, Z.; Zhang, C.; Geng, J.; Zhu, Y.; Yu, M. Research on the Extraction Method Comparison and Spatial-Temporal Pattern Evolution for the Built-Up Area of Hefei Based on Multi-Source Data Fusion. Remote Sens. 2023, 15, 5617. [Google Scholar] [CrossRef]
  49. China Academy of Urban Planning and Design. CJJ/T85-2017; Urban Green Space Classification Standards. China Architecture and Building Press: Beijing, China, 2017. (In Chinese)
  50. Zhao, N.; Liu, Y.; Cao, G.; Samson, E.L.; Zhang, J. Forecasting China’s GDP at the pixel level using nighttime lights time series and population images. GIScience Remote Sens. 2017, 54, 407–425. [Google Scholar] [CrossRef]
  51. Li, Z.; He, W.; Cheng, M.; Hu, J.; Yang, G.; Zhang, H. SinoLC-1: The first 1-meter resolution national-scale land-cover map of China created with the deep learning framework and open-access data. Earth Syst. Sci. Data 2023, 15, 4749–4780. [Google Scholar] [CrossRef]
  52. Veitch, J.; Salmon, J.; Carver, A.; Timperio, A.; Crawford, D.; Fletcher, E.; Giles-Corti, B. A natural experiment to examine the impact of park renewal on park-use and park-based physical activity in a disadvantaged neighbourhood: The REVAMP study methods. BMC Public Health 2014, 14, 600. [Google Scholar] [CrossRef]
  53. Kim, J.; Kim, C.; Lee, S.; Jeong, J.Y. Race, poverty, and space: A spatial intersectional approach to equity of urban park access. Cities 2024, 147, 104819. [Google Scholar] [CrossRef]
  54. Setola, N.; Marzi, L.; Torricelli, M.C. Accessibility indicator for a trails network in a Nature Park as part of the environmental assessment framework. Environ. Impact Assess. Rev. 2018, 69, 1–15. [Google Scholar] [CrossRef]
  55. Zhan, P.; Guo, Q.; Chen, H.; Wu, Y. Antecedents and consequences of park crowding: Linking park attractiveness, perceived crowding, and revisit intention. Landsc. Urban Plan. 2024, 245, 105015. [Google Scholar] [CrossRef]
  56. Phillips, A.; Plastara, D.; Khan, A.Z.; Canters, F. Integrating public perceptions of proximity and quality in the modelling of urban green space access. Landsc. Urban Plan. 2023, 240, 104875. [Google Scholar] [CrossRef]
  57. Zhao, X.; Lu, Y.; Huang, W.; Lin, G. Society. Assessing and interpreting perceived park accessibility, usability and attractiveness through texts and images from social media. Sustain. Cities Soc. 2024, 112, 105619. [Google Scholar] [CrossRef]
  58. Huang, Y.; Lin, T.; Xue, X.; Zhang, G.; Liu, Y.; Zeng, Z.; Zhang, J.; Sui, J. Spatial patterns and inequity of urban green space supply in China. Ecol. Indic. 2021, 132, 108275. [Google Scholar] [CrossRef]
  59. Dai, D. Racial/ethnic and socioeconomic disparities in urban green space accessibility: Where to intervene? Landsc. Urban Plan. 2011, 102, 234–244. [Google Scholar] [CrossRef]
  60. Lorenz, M.O. Methods of measuring the concentration of wealth. Publ. Am. Stat. Assoc. 1905, 9, 209–219. [Google Scholar] [CrossRef]
  61. Bakare, A.S. Measuring the income inequality in Nigeria: The Lorenz Curve and Gini co-efficient approach. Am. J. Econ. 2012, 2, 47–52. [Google Scholar]
  62. Zhang, J.; Yu, Z.; Cheng, Y.; Chen, C.; Wan, Y.; Zhao, B.; Vejre, H. Evaluating the disparities in urban green space provision in communities with diverse built environments: The case of a rapidly urbanizing Chinese city. Build. Environ. 2020, 183, 107170. [Google Scholar] [CrossRef]
  63. Tang, Z.; Gu, S. Social performance evaluation of the distribution of public green space in central Shanghai: From territo-rial equity to social equity. Urban Plan. Forum 2015, 59, 48–56. (In Chinese) [Google Scholar] [CrossRef]
  64. Yang, J.; Tang, G. Walking-based evaluation of park accessibility in Hangzhou’s main urban area. In Proceedings of the 2022/2023 China Urban Planning Annual Conference, Wuhan, Hubei, China, 23 September 2023; p. 9. (In Chinese). [Google Scholar]
  65. Niu, S.; Tang, X. Research on the Equity Measurement of Park GreenSpace Distribution in High-density Urban Areas—A Case Study of Huangpu District, Shanghai. Chin. Landsc. Archit. 2021, 37, 100–105. (In Chinese) [Google Scholar] [CrossRef]
  66. Chin, K.; Huang, H.; Horn, C.; Kasanicky, I.; Weibel, R. Inferring fine-grained transport modes from mobile phone cellular signaling data. Comput. Environ. Urban Syst. 2019, 77, 101348. [Google Scholar] [CrossRef]
  67. Chen, Y.; Huang, Q.; Zhang, Y.; Li, Y. GIS-based analysis and evaluation for the accessibility of urban green in the central city of Hefei. J. China Agric. University. 2015, 20, 229–236. (In Chinese) [Google Scholar]
  68. Wang, C.; Zhang, Y.; Chen, J.; Li, D.; Zhu, M. Accessibility evaluation of comprehensive parks in central urban area of Hefei City based on improved two-step floating catchment area method. J. Huazhong Agric. Univ. 2024, 43, 89–99. (In Chinese) [Google Scholar] [CrossRef]
  69. Engelberg, J.K.; Conway, T.L.; Geremia, C.; Cain, K.L.; Saelens, B.E.; Glanz, K.; Frank, L.D.; Sallis, J.F. Socioeconomic and race/ethnic disparities in observed park quality. BMC Public. Health 2016, 16, 395. [Google Scholar] [CrossRef]
  70. Dony, C.C.; Delmelle, E.M.; Delmelle, E.C. Re-conceptualizing accessibility to parks in multi-modal cities: A Variable-width Floating Catchment Area (VFCA) method. Landsc. Urban Plan. 2015, 143, 90–99. [Google Scholar] [CrossRef]
  71. Tan, R.; Wang, R.; Wang, Y.; Yi, D.; Chen, Y.; Cai, W.; Wang, X. The Park city perspective study: Revealing the park accessibility influenced by experiences of visitors under different travel modes. Front. Environ. Sci. 2022, 10, 924996. [Google Scholar] [CrossRef]
  72. Cao, Y.; Guo, Y.; Zhang, M. Research on the Equity of Urban Green Park Space Layout Based on Ga2SFCA Optimization Method—Taking the Core Area of Beijing as an Example. Land 2022, 11, 1323. [Google Scholar] [CrossRef]
  73. Chen, J.; Chang, Z. Rethinking urban green space accessibility: Evaluating and optimizing public transportation system through social network analysis in megacities. Landsc. Urban Plan. 2015, 143, 150–159. [Google Scholar] [CrossRef]
  74. Lee, M.-J. Transforming post-industrial landscapes into urban parks: Design strategies and theory in Seoul, 1998–present. Habitat Int. 2019, 91, 102023. [Google Scholar] [CrossRef]
  75. Jo, H.-K.; Kim, J.-Y.; Park, H.-M. Carbon reduction and planning strategies for urban parks in Seoul. Urban For. Urban Green. 2019, 41, 48–54. [Google Scholar] [CrossRef]
  76. Moon, T.; Kim, M.; Chon, J. Adaptive green space management strategies for sustainable carbon sink parks. Urban For. Urban Green. 2024, 94, 128236. [Google Scholar] [CrossRef]
  77. Lee, G.; Hong, I. Measuring spatial accessibility in the context of spatial disparity between demand and supply of urban park service. Landsc. Urban Plan. 2013, 119, 85–90. [Google Scholar] [CrossRef]
Figure 1. Scope of this study.
Figure 1. Scope of this study.
Land 13 01937 g001
Figure 2. GDP index.
Figure 2. GDP index.
Land 13 01937 g002
Figure 3. Land-use type.
Figure 3. Land-use type.
Land 13 01937 g003
Figure 4. Technical roadmap.
Figure 4. Technical roadmap.
Land 13 01937 g004
Figure 5. Population demand analysis.
Figure 5. Population demand analysis.
Land 13 01937 g005
Figure 6. Attractiveness index.
Figure 6. Attractiveness index.
Land 13 01937 g006
Figure 7. Analysis of UGS accessibility for different travel modes and age groups.
Figure 7. Analysis of UGS accessibility for different travel modes and age groups.
Land 13 01937 g007
Figure 8. Gini coefficients for different modes of travel.
Figure 8. Gini coefficients for different modes of travel.
Land 13 01937 g008
Figure 9. Per-capita green park space location entropy.
Figure 9. Per-capita green park space location entropy.
Land 13 01937 g009
Figure 10. Supply and demand analysis based on bivariate local spatial autocorrelation.
Figure 10. Supply and demand analysis based on bivariate local spatial autocorrelation.
Land 13 01937 g010
Table 1. UGS quality indicator assessment table.
Table 1. UGS quality indicator assessment table.
CategorySubcategoryAssignment RulesHighest ScoreData Source
Activity FacilitiesNumber of Sports FieldsStatistics for 5 sports facilities: 0; 1...5 (indicating 5 or more)5POI Data from Baidu Maps
Recreational Facilities (benches, pavilions, walkways, boardwalks, fitness equipment, etc.)Statistics for 5 recreational facilities: 0; 1...5 (indicating 5 or more).5
Children’s Playground(0; 1)1
Environmental QualityNatural Recreation Nodes (lakes, rivers, lawns, wetlands, beaches)Statistics for three facilities: 0; 1; 2; 3 (indicating 3 or more).3
Education (museums, memorials, exhibition halls, etc.)(0; 1)1
Recreational Square0; 1; 2 (where 2 indicates 2 or more)2
Number of Attractions (sites, celebrity statues)Statistics for 5 recreational facilities: 0; 1...5 (indicating 5 or more).5
Service FacilitiesAdequate WC and Trash Bin Facilities(0–2)2
Adequate Parking Facilities(0–2)2
Visitor Information Center/Vending Machines/Convenience Store(0–2)2
Is there public transportation near the entrance/exit(0; 1)1
Visitor RatingPublic Review Rating(0; 5)5Dazhong Dianping App
Table 2. Evaluation criteria for Gini coefficient.
Table 2. Evaluation criteria for Gini coefficient.
IntervalGE ≤ 0.20.2 < GE ≤ 0.30.3 < GE ≤ 0.40.4 < GE ≤ 0.6GE > 0.6
Average Degree of Resource AllocationHeight AverageRelative AverageRelatively Reasonable AllocationThere is a Certain Degree of Allocation GapThere is a Significant Allocation Gap
Table 3. Scores of the top ten parks by attractiveness.
Table 3. Scores of the top ten parks by attractiveness.
NumberUGS NameStandardized ScoreNumberUGS NameStandardized Score
1Swan Lake Park1.0011Taochong Lake Park0.81
2Tongsi River Beach Park1.0012Jade Park0.78
3Luogang Central Park1.0013contract park0.78
4Emerald Lake Scenic Area0.9214Nanfang River Dock Theme Park0.78
5Promenade Park0.9115Yaohaiwan Wetland Park0.78
6Lushu Park0.8716ecological park0.77
7Four Seasons Flower Park0.8317Wu Tai Ying Sports Park0.76
8Nanyanhu Park0.8318Wu Tai Ying Sports Park0.76
9Shu Feng Wan Sports Park0.8319Green Axis Park0.75
10Almond Blossom Park0.8320Xuelin Park0.72
Table 4. Table of Gini coefficients by administrative region.
Table 4. Table of Gini coefficients by administrative region.
BikingPublic TransportationDrivingWalking
Study area0.510.750.330.76
Baohe district0.390.630.250.66
Luyang district0.510.90.40.6
Shushan district0.570.780.290.82
Yaohai district0.390.680.340.73
Disclaimer/Publisher’s Note: The statements, opinions and data contained in all publications are solely those of the individual author(s) and contributor(s) and not of MDPI and/or the editor(s). MDPI and/or the editor(s) disclaim responsibility for any injury to people or property resulting from any ideas, methods, instructions or products referred to in the content.

Share and Cite

MDPI and ACS Style

Gu, K.; Liu, J.; Wang, D.; Dai, Y.; Li, X. Analyzing the Supply and Demand Dynamics of Urban Green Spaces Across Diverse Transportation Modes: A Case Study of Hefei City’s Built-Up Area. Land 2024, 13, 1937. https://doi.org/10.3390/land13111937

AMA Style

Gu K, Liu J, Wang D, Dai Y, Li X. Analyzing the Supply and Demand Dynamics of Urban Green Spaces Across Diverse Transportation Modes: A Case Study of Hefei City’s Built-Up Area. Land. 2024; 13(11):1937. https://doi.org/10.3390/land13111937

Chicago/Turabian Style

Gu, Kang, Jiamei Liu, Di Wang, Yue Dai, and Xueyan Li. 2024. "Analyzing the Supply and Demand Dynamics of Urban Green Spaces Across Diverse Transportation Modes: A Case Study of Hefei City’s Built-Up Area" Land 13, no. 11: 1937. https://doi.org/10.3390/land13111937

APA Style

Gu, K., Liu, J., Wang, D., Dai, Y., & Li, X. (2024). Analyzing the Supply and Demand Dynamics of Urban Green Spaces Across Diverse Transportation Modes: A Case Study of Hefei City’s Built-Up Area. Land, 13(11), 1937. https://doi.org/10.3390/land13111937

Note that from the first issue of 2016, this journal uses article numbers instead of page numbers. See further details here.

Article Metrics

Back to TopTop