A Simulation-Based Prediction of Land Use Change Impacts on Carbon Storage from a Regional Imbalance Perspective: A Case Study of Hunan Province, China
Abstract
1. Introduction
2. Materials and Methods
2.1. Study Area
2.2. Data Source and Processing
2.3. Research Methods
2.3.1. Land Use Transition Matrix
2.3.2. Ecosystem CS Assessment Based on the InVEST Model
- (1)
- Estimation of CS
- (2)
- Estimation of Carbon Density Values
2.3.3. PLUS Model and Scenario Setting
- (1)
- PLUS Model
- (2)
- Accuracy Assessment
- (3)
- Simulation Scenario Setup
3. Results
3.1. Evolution of Land Use Patterns in Hunan Province from 1990 to 2020
3.1.1. Spatiotemporal Analysis of Land Use Changes from 1990 to 2020
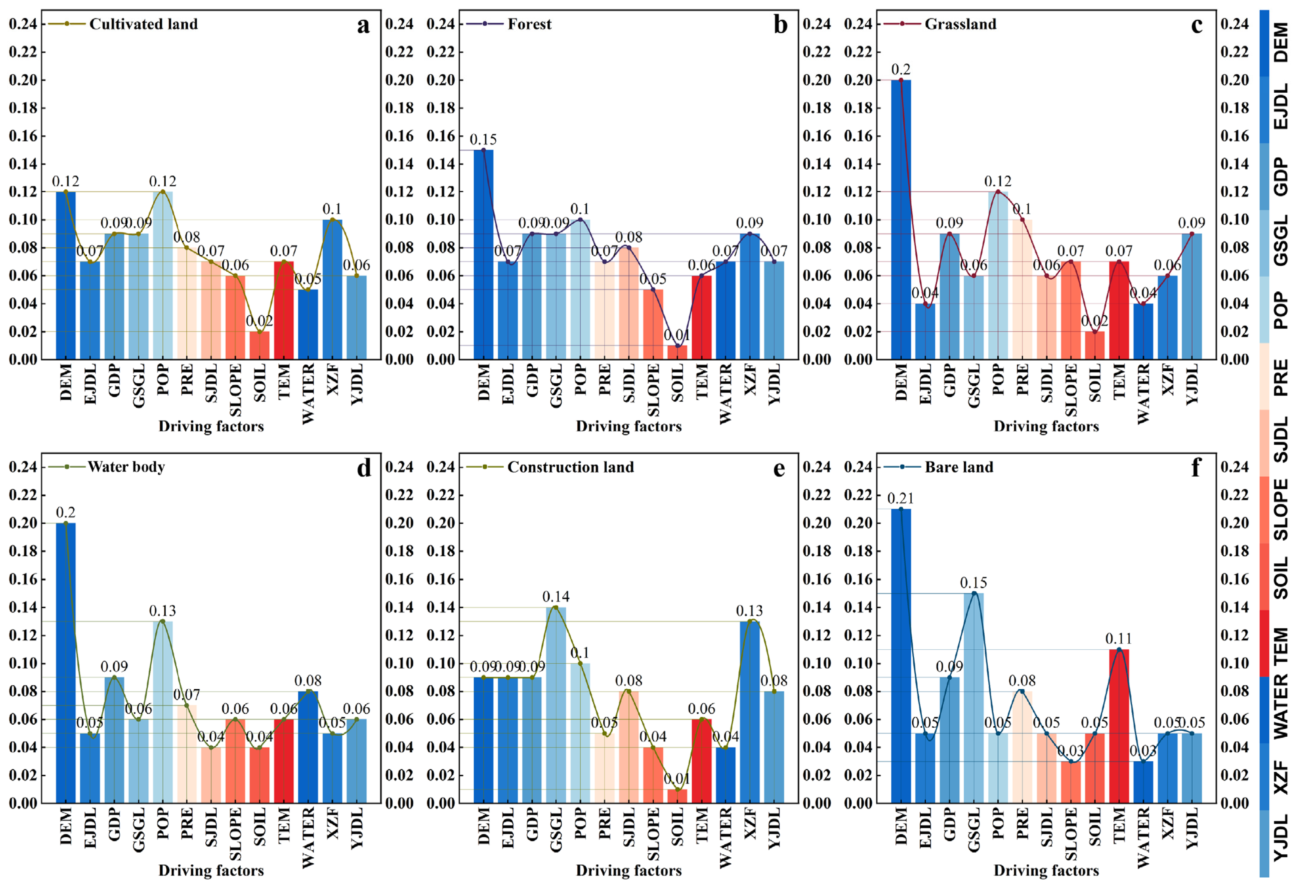
3.1.2. Drivers of Land Use Expansion from 1990 to 2020
3.2. Spatiotemporal Variation Characteristics of CS in Hunan Province
3.3. Scenario Simulation of Land Use and CS in Hunan Province for 2030–2040
3.3.1. Multi-Scenario Analysis of Land Use Changes
3.3.2. Changes in CS under Multi-Scenario Land Use Simulation in Hunan Province
4. Discussion
4.1. Analysis of Land Use and CS Evolution Caused by Regional Resource Imbalances
4.2. Considerations for Future Scenario Predictions of CS Enhancement
4.3. Strategic Recommendations for CS Development
5. Conclusions
- (1)
- From 1990 to 2020, land use in Hunan Province exhibited significant changes, characterized by a substantial reduction in arable land and a dramatic increase in construction land. In the context of regional resource endowment imbalances, ongoing human activities in the Dongting Lake area, the Chang-Zhu-Tan urban agglomeration, and the southern plain region have led to the continuous expansion of construction land.
- (2)
- The increment of CS is primarily concentrated within Hunan Province’s ecological barrier, particularly in the Dongting Lake area, the Wuling-Xuefeng Mountains, the Nanling Mountains, and the Luoxiao-Mufu Mountain regions, as well as in the basins of the Xiang, Zi, Yuan, and Li rivers. During this period, CS increased from 22.69 × 108 t to 25.17 × 108 t, reflecting a gradual upward trend. Forest CS constitutes over 70% of the total CS in Hunan, which is closely linked to the implementation of the “Returning Farmland to Forest” policy since 2000 and the low intensity of human activities within the ecological barrier.
- (3)
- To enhance CS, predictions of CS under the four future scenarios indicate that the majority of counties exhibit continuous increases in CS within the ecological protection scenario, demonstrating significant ecological benefits compared with the other three scenarios.
Author Contributions
Funding
Data Availability Statement
Acknowledgments
Conflicts of Interest
References
- Zhi, F.; Zhou, Z.; Zhao, M.; Wang, S. Temporal and Spatial Evolution Characteristics of Carbon Storage in Hefei Ecosystem Based on PLUS and InVEST Models. Bull. Soil Water Conserv. 2024, 38, 205–215. [Google Scholar]
- Sweet, S.K.; Schuldt, J.P.; Lehmann, J.; Bossio, D.A.; Woolf, D. Perceptions of naturalness predict US public support for Soil Carbon Storage as a climate solution. Clim. Chang. 2021, 166, 22. [Google Scholar] [CrossRef]
- Shaw, C.H.; Hilger, A.B.; Metsaranta, J.; Kurz, W.A.; Russo, G.; Eichel, F.; Stinson, G.; Smyth, C.; Filiatrault, M. Evaluation of simulated estimates of forest ecosystem carbon stocks using ground plot data from Canada’s National Forest Inventory. Ecol. Model. 2014, 272, 323–347. [Google Scholar] [CrossRef]
- Vizcaíno-Bravo, Q.; Williams-Linera, G.; Asbjornsen, H. Biodiversity and carbon storage are correlated along a land use intensity gradient in a tropical montane forest watershed, Mexico. Basic Appl. Ecol. 2020, 44, 24–34. [Google Scholar] [CrossRef]
- Wang, A.; Zhang, M.; Kafy, A.A.; Tong, B.; Hao, D.; Feng, Y. Predicting the impacts of urban land change on LST and carbon storage using InVEST, CA-ANN and WOA-LSTM models in Guangzhou, China. Earth Sci. Inform. 2023, 16, 437–454. [Google Scholar] [CrossRef]
- Zhang, Z.; Liu, Y.; Wang, Y.; Liu, Y.; Zhang, Y.; Zhang, Y. What factors affect the synergy and tradeoff between ecosystem services, and how, from a geospatial perspective? J. Clean. Prod. 2020, 257, 120454. [Google Scholar] [CrossRef]
- Wei, Q.; Abudureheman, M.; Halike, A.; Yao, K.; Yao, L.; Tang, H.; Tuheti, B. Temporal and spatial variation analysis of habitat quality on the PLUS-InVEST model for Ebinur Lake Basin, China. Ecol. Indic. 2022, 145, 109632. [Google Scholar] [CrossRef]
- Yang, L.; Zhao, J.; Zhu, J.; Liu, L.; Zhang, P. Spatial-temporal change and prediction of carbon stock in the ecosystem of Xi’an based on PLUS and InVEST models. Remote Sens. Nat. Resour. 2022, 34, 175–182. [Google Scholar]
- Houghton, R.A. Counting Terrestrial Sources and Sinks of Carbon. Clim. Chang. 2001, 48, 525–534. [Google Scholar] [CrossRef]
- Ismaili Alaoui, H.; Chemchaoui, A.; El Asri, B.; Ghazi, S.; Brhadda, N.; Ziri, R. Modeling predictive changes of carbon storage using invest model in the Beht watershed (Morocco). Model. Earth Syst. Environ. 2023, 9, 4313–4322. [Google Scholar] [CrossRef]
- Redhead, J.W.; Stratford, C.; Sharps, K.; Jones, L.; Ziv, G.; Clarke, D.; Oliver, T.H.; Bullock, J.M. Empirical validation of the InVEST water yield ecosystem service model at a national scale. Sci. Total Environ. 2016, 569–570, 1418–1426. [Google Scholar] [CrossRef] [PubMed]
- Wang, C.; Luo, J.; Qing, F.; Tang, Y.; Wang, Y. Analysis of the Driving Force of Spatial and Temporal Differentiation of Carbon Storage in Taihang Mountains Based on InVEST Model. Appl. Sci. 2022, 12, 10662. [Google Scholar] [CrossRef]
- Gong, W.; Duan, X.; Mao, M.; Hu, J.; Sun, Y.; Wu, G.; Zhang, Y.; Xie, Y.; Qiu, X.; Rao, X.; et al. Assessing the impact of land use and changes in land cover related to carbon storage by linking trajectory analysis and InVEST models in the Nandu River Basin on Hainan Island in China. Front. Environ. Sci. 2022, 10, 1038752. [Google Scholar] [CrossRef]
- Liang, Y.; Liu, L.; Huang, J. Integrating the SD-CLUE-S and InVEST models into assessment of oasis carbon storage in northwestern China. PLoS ONE 2017, 12, e0172494. [Google Scholar] [CrossRef] [PubMed]
- Xie, X.; Lin, X.; Wang, Y.; Tu, R.; Zhang, J. Multi-scenario Simulation of Land Use in Nanchuan District of Chongqing Based on PLUS Model. J. Chang. River Sci. Res. Inst. 2023, 40, 86–92, 113. [Google Scholar]
- Yin, K.; Liao, S. Spatial and temporal variability and prediction of carbon stocks in the Three Gorges reservoir area (Chongqing section) based on the InVEST-PLUS model. J. Chang. River Sci. Res. Inst. 2024, 41, 60–69. [Google Scholar]
- Wu, Q.; Wang, L.; Wang, T.; Ruan, Z.; Du, P. Spatial–temporal evolution analysis of multi-scenario land use and carbon storage based on PLUS-InVEST model: A case study in Dalian, China. Ecol. Indic. 2024, 166, 112448. [Google Scholar] [CrossRef]
- Fu, K.; Jia, G.; Yu, X.; Chen, L. Analysis of Temporal and Spatial Carbon Stock Changes and Driving Mechanism in Xinjiang Region by Coupled PLUS-InVEST-Geodector Model. Environ. Sci. 2024, 45, 5416–5430. [Google Scholar]
- Li, J.; Yang, D.; Wu, F.; Chen, R.; He, W. Dynamic Simulation of Land Use Changes and Assessment of Carbon Storage in Kunming City Based on PLUS and InVEST Models. Bull. Soil Water Conserv. 2023, 43, 378–387. [Google Scholar]
- He, N.; Guo, W.; Wang, H.; Yu, L.; Cheng, S.; Huang, L.; Jiao, X.; Chen, W.; Zhou, H. Temporal and Spatial Variations in Landscape Habitat Quality under Multiple Land-Use/Land-Cover Scenarios Based on the PLUS-InVEST Model in the Yangtze River Basin, China. Land 2023, 12, 1338. [Google Scholar] [CrossRef]
- Wang, C.; Li, T.; Guo, X.; Xia, L.; Lu, C.; Wang, C. Plus-InVEST Study of the Chengdu-Chongqing Urban Agglomeration’s Land-Use Change and Carbon Storage. Land 2022, 11, 1617. [Google Scholar] [CrossRef]
- Nelson, E.; Sander, H.; Hawthorne, P.; Conte, M.; Ennaanay, D.; Wolny, S.; Manson, S.; Polasky, S. Projecting Global Land-Use Change and Its Effect on Ecosystem Service Provision and Biodiversity with Simple Models. PLoS ONE 2010, 5, e14327. [Google Scholar] [CrossRef]
- Liang, Y.; Hashimoto, S.; Liu, L. Integrated assessment of land-use/land-cover dynamics on carbon storage services in the Loess Plateau of China from 1995 to 2050. Ecol. Indic. 2021, 120, 106939. [Google Scholar] [CrossRef]
- Liu, W.; Liu, D.; Liu, Y. Spatially Heterogeneous Response of Carbon Storage to Land Use Changes in Pearl River Delta Urban Agglomeration, China. Chin. Geogr. Sci. 2023, 33, 271–286. [Google Scholar] [CrossRef]
- Jiao, Y.; Wang, Y.; Tu, C.; Hou, X.; Lyu, C.; Fan, X.; Xia, L. Spatiotemporal Evolution and Future of Carbon Storage in Resource-Based Chinese Province: A Case Study from Shanxi Using PLUS–InVEST Model Prediction. Sustainability 2024, 16, 4461. [Google Scholar] [CrossRef]
- Li, P.; Chen, J.; Li, Y.; Wu, W. Using the InVEST-PLUS Model to Predict and Analyze the Pattern of Ecosystem Carbon storage in Liaoning Province, China. Remote Sens. 2023, 15, 4050. [Google Scholar] [CrossRef]
- Yue, S.; Ji, G.; Chen, W.; Huang, J.; Guo, Y.; Cheng, M. Spatial and Temporal Variability Characteristics of Future Carbon Stocks in Anhui Province under Different SSP Scenarios Based on PLUS and InVEST Models. Land 2023, 12, 1668. [Google Scholar] [CrossRef]
- Lyu, R.; Mi, L.; Zhang, J.; Xu, M.; Li, J. Modeling the effects of urban expansion on regional carbon storage by coupling SLEUTH-3r model and InVEST model. Ecol. Res. 2019, 34, 380–393. [Google Scholar] [CrossRef]
- Li, Y.; Yao, S.; Jiang, H.; Wang, H.; Ran, Q.; Gao, X.; Ding, X.; Ge, D. Spatial-Temporal Evolution and Prediction of Carbon Storage: An Integrated Framework Based on the MOP–PLUS–InVEST Model and an Applied Case Study in Hangzhou, East China. Land 2022, 11, 2213. [Google Scholar] [CrossRef]
- Zhao, H.; Mo, H. Dynamic analysis of vegetation carbon sink and its natural driving factors in Hunan Province. Remote Sens. Nat. Resour. 2023, 1–10. Available online: http://kns.cnki.net/kcms/detail/10.1759.P.20231124.1348.012.html (accessed on 17 October 2024).
- Xiong, Y.; Zhang, F.; Gong, C.; Luo, P. Spatial-temporal Evolvement of Ecosystem Service Value in Hunan Province Based on LUCC. Resour. Environ. Yangtze Basin 2018, 27, 1397–1408. [Google Scholar]
- Cui, S.; Zhu, P.; Zhou, G.; Zhang, H.; Deng, X. Urban Spatial Function Change and Regulation Path from the Perspective of “Production-Living-Ecological”: Taking Changsha City as An Example. Resour. Environ. Yangtze Basin 2020, 29, 1733–1745. [Google Scholar]
- Tang, L.; Hu, X.; Luo, Z.; Wei, B.; Wang, Y.; Zhang, Y.; Shao, R.; Chen, C. Spatiotemporal coupling of ecological vulnerability and urbanization level and their interactive influencing factors:a case study of Hunan Province. Acta Ecol. Sin. 2024, 44, 4662–4677. [Google Scholar]
- Li, H. Evaluation of the Optimality of Survival Resources for Sustainable Agricultural Development in Hunan. Prog. Geogr. 2000, 1, 41–49. [Google Scholar]
- Zhou, W.; Han, Y.; Wang, J.; Yang, L.; Que, H. Spatiotemporal heterogeneity and driving forces of carbon storage in the Dongting Lake Basin. China Environ. Sci. 2024, 44, 1851–1862. [Google Scholar]
- Pontius, R.G.; Shusas, E.; McEachern, M. Detecting important categorical land changes while accounting for persistence. Agric. Ecosyst. Environ. 2004, 101, 251–268. [Google Scholar] [CrossRef]
- Zhang, F.; Zhan, J.; Zhang, Q.; Yao, L.; Liu, W. Impacts of land use/cover change on terrestrial carbon stocks in Uganda. Phys. Chem. Earth Parts A/B/C 2017, 101, 195–203. [Google Scholar] [CrossRef]
- Fu, Q.; Xu, L.; Zheng, H.; Chen, J. Spatiotemporal Dynamics of Carbon Storage in Response to Urbanization: A Case Study in the Su-Xi-Chang Region, China. Processes 2019, 7, 836. [Google Scholar] [CrossRef]
- Alam, S.A.; Starr, M.; Clark, B.J.F. Tree biomass and soil organic carbon densities across the Sudanese woodland savannah: A regional carbon sequestration study. J. Arid Environ. 2013, 89, 67–76. [Google Scholar] [CrossRef]
- Giardina, C.P.; Ryan, M.G. Evidence that decomposition rates of organic carbon in mineral soil do not vary with temperature. Nature 2000, 404, 858–861. [Google Scholar] [CrossRef]
- Chen, G.; Yang, Y.; Xie, J.; Du, Z.; Zhang, J. Total belowground carbon allocation in China’s forests. Acta Ecol. Sin. 2007, 27, 5148–5157. [Google Scholar]
- Xiao, D.; Deng, L.; Kim, D.-G.; Huang, C.; Tian, K. Carbon budgets of wetland ecosystems in China. Glob. Chang. Biol. 2019, 25, 2061–2076. [Google Scholar] [CrossRef] [PubMed]
- Xiaohuan, X.; Jianxin, Z.; Qilin, L.; Deyou, C.; Rongjie, B.; Zengfang, H. Multi-purpose Regional Geochemical Survey and Soil Carbon Reserves Problem: Examples of Jiangsu, Henan, Sichuan, Jilin Provinces and Inner Mongolia. Quat. Sci. 2008, 28, 58–67. [Google Scholar]
- Li, J.; Shao, Z. Spatiotemporal evolution and prediction of carbon stock in Urumqi City based on PLUS and InVEST models. Arid Zone Res. 2024, 41, 499–508. [Google Scholar]
- Bai, W.; Zhao, S. System Analysis of the Driving Forces of Land Use Change. Resour. Sci. 2001, 3, 39–41. [Google Scholar]
- Li, Y.; Lin, T.; Zhou, W.; Yang, L. Analysis of ecosystem service value with multi-scenario simulation in dongting lake basin. Chin. J. Agric. Resour. Reg. Plan. 2024, 1–12. Available online: http://kns.cnki.net/kcms/detail/11.3513.S.20240130.1603.020.html (accessed on 17 October 2024).
- Yang, L.; Wang, J.; Zhou, W. Coupling evolution analysis of LUCC and habitat quality in Dongting Lake Basin Based on multi-scenario simulation. China Environ. Sci. 2023, 43, 863–873. [Google Scholar]
- Wang, B.; Shu, X.; Liao, F.; Li, Y.; Wan, Z. Spatitemporal of Land Use Conflicts and Multi-Scenario Simulation in Poyang Lake Area Based on Optimal Landscape Scale. Res. Soil Water Conserv. 2024, 31, 336–347. [Google Scholar]
- Wu, D.; Zhu, K.; Zhang, S.; Huang, C.; Li, J. Evolution Analysis of Carbon Stock in Chengdu-Chongqing Economic Zone Based on PLUS Model and InVEST Model. Ecol. Environ. Monit. Three Gorges 2022, 7, 85–96. [Google Scholar]
- Dong, G.; Ge, Y.; Jia, H.; Sun, C.; Pan, S. Land Use Multi-Suitability, Land Resource Scarcity and Diversity of Human Needs: A New Framework for Land Use Conflict Identification. Land 2021, 10, 1003. [Google Scholar] [CrossRef]
- Zhou, M.; Wang, C. Multi-scenario simulation of”production-livelihood-ecological”space in Urumqi based on PLUS. China Environ. Sci. 2024, 44, 4021–4030. [Google Scholar]
- Rahman, M.M.; Zimmer, M.; Ahmed, I.; Donato, D.; Kanzaki, M.; Xu, M. Co-benefits of protecting mangroves for biodiversity conservation and carbon storage. Nat. Commun. 2021, 12, 3875. [Google Scholar] [CrossRef] [PubMed]
- Wang, Y.; Xu, Y.; Yu, H. Prediction of Spatial and Temporal Changes of Carbon Stocks in Anhui Province Based on PLUS-InVEST Model. Res. Soil Water Conserv. 2023, 43, 277–289. [Google Scholar]
- Zhou, R.; Lin, M.; Wu, Z.; Gong, J. Responses of ecosystem carbon stocks to land use change on the west side of the Pearl River. Ecol. Sci. 2018, 37, 175–183. [Google Scholar]
- Kong, L.; Zheng, H.; Ouyang, Z. Ecological protection and restoration of forest, wetland, grassland and cropland based on the perspective of ecosystem services: A case study in Dongting Lake Watershed. Acta Ecol. Sin. 2019, 39, 8903–8910. [Google Scholar]
- Guo, Y.; Li, P.; Cheng, W.; Xiao, Z.; Mu, Y.; Zhi, L.; Li, X. Evaluation and complex relations analysis of ecosystem services based on spatial-temporal change of land use in Dongting Lake. Acta Sci. Circumstantiae 2022, 42, 121–130. [Google Scholar]
- Pan, Y.; Birdsey, R.A.; Fang, J.; Houghton, R.; Kauppi, P.E.; Kurz, W.A.; Phillips, O.L.; Shvidenko, A.; Lewis, S.L.; Canadell, J.G.; et al. A Large and Persistent Carbon Sink in the World’s Forests. Science 2011, 333, 988–993. [Google Scholar] [CrossRef]
- Bian, R.; Zhao, A.; Liu, X.; Xu, R.; Li, Z. The Impact of Land Use Change on Carbon Storage in the Guanzhong Plain Urban Agglomeration. Environ. Sci. 2024, 45, 3260–3269. [Google Scholar]
- Piao, S.; Fang, J.; Ciais, P.; Peylin, P.; Huang, Y.; Sitch, S.; Wang, T. The carbon balance of terrestrial ecosystems in China. Nature 2009, 458, 1009–1013. [Google Scholar] [CrossRef]
- Shuman, J.K.; Shugart, H.H.; Krankina, O.N. Assessment of carbon stores in tree biomass for two management scenarios in Russia. Environ. Res. Lett. 2013, 8, 045019. [Google Scholar] [CrossRef]
- Yang, X.; Qian, B.; Ji, G.; Chen, W.; Huang, J.; Guo, Y.; Chen, Y. Characteristics of Spatial and Temporal Changes in Carbon Stocks in the Middle and Upper Reaches of the Huaihe River Basin and Future Multi-scenario Simulation Prediction. Environ. Sci. 2023, 1–21. [Google Scholar] [CrossRef]










| Data Type | Data Name | Data Source |
|---|---|---|
| Land use data | Land use classification data | Resource and Environment Data Center of the Chinese Academy of Sciences (http://www.resdc.cn) |
| Socio-economic data | Population (POP) | Resource and Environment Data Center of the Chinese Academy of Sciences (http://www.resdc.cn) |
| GDP | Resource and Environment Data Center of the Chinese Academy of Sciences (http://www.resdc.cn) | |
| Distance to roads (YJDL) | National Geographic Information Resources Directory Service System | |
| Distance to county government (XZF) | National Geographic Information Resources Directory Service System | |
| Climate and environmental data | Soil type (SOIL) | Resource and Environment Data Center of the Chinese Academy of Sciences (http://www.resdc.cn) |
| Annual average temperature (TEM) | Resource and Environment Data Center of the Chinese Academy of Sciences (http://www.resdc.cn) | |
| Annual average precipitation (PRE) | Resource and Environment Data Center of the Chinese Academy of Sciences (http://www.resdc.cn) | |
| Elevation (DEM) | Geospatial Data Cloud | |
| Slope (SLOPE) | Geospatial Data Cloud | |
| Distance to water bodies (WATER) | National Geographic Information Resources Directory Service System |
| Ecosystem Types | Carbon Density | 1990 | 2000 | 2010 | 2020 |
|---|---|---|---|---|---|
| Cultivated land | Aboveground biomass | 1.57 | 1.53 | 1.80 | 1.88 |
| Belowground biomass | 0.29 | 0.29 | 0.34 | 0.37 | |
| Dead organic matter | 0.00 | 0.00 | 0.00 | 0.00 | |
| Soil | 51.29 | 49.84 | 58.89 | 61.65 | |
| Forest land | Aboveground biomass | 25.74 | 26.21 | 27.53 | 28.34 |
| Belowground biomass | 6.95 | 7.08 | 7.43 | 7.65 | |
| Dead organic matter | 1.09 | 1.11 | 1.17 | 1.21 | |
| Soil | 101.29 | 103.13 | 108.35 | 111.56 | |
| Grassland | Aboveground biomass | 1.02 | 1.17 | 1.15 | 1.24 |
| Belowground biomass | 2.06 | 2.35 | 2.30 | 2.48 | |
| Dead organic matter | 1.09 | 1.11 | 1.17 | 1.21 | |
| Soil | 52.62 | 60.24 | 58.92 | 63.67 | |
| Water bodies | Aboveground biomass | 9.73 | 9.45 | 9.16 | 8.88 |
| Belowground biomass | 2.24 | 2.17 | 2.10 | 2.04 | |
| Dead organic matter | 1.09 | 1.06 | 1.02 | 0.99 | |
| Soil | 144.86 | 140.54 | 136.23 | 132.13 | |
| Construction land | Aboveground biomass | 0.00 | 0.00 | 0.00 | 0.00 |
| Belowground biomass | 0.00 | 0.00 | 0.00 | 0.00 | |
| Dead organic matter | 0.00 | 0.00 | 0.00 | 0.00 | |
| Soil | 32.04 | 35.71 | 39.82 | 44.32 | |
| Unused land | Aboveground biomass | 0.00 | 0.00 | 0.00 | 0.00 |
| Belowground biomass | 0.00 | 0.00 | 0.00 | 0.00 | |
| Dead organic matter | 0.00 | 0.00 | 0.00 | 0.00 | |
| Soil | 32.23 | 31.67 | 31.12 | 30.59 |
| Development Scenarios | Land Use Types | Cultivated Land | Forest Land | Grassland | Water Body | Construction Land | Unused Land |
|---|---|---|---|---|---|---|---|
| Natural Development | Cultivated land | 1 | 1 | 1 | 1 | 1 | 1 |
| Forest land | 0 | 1 | 0 | 0 | 1 | 1 | |
| Grassland | 1 | 1 | 1 | 1 | 1 | 1 | |
| Water body | 0 | 0 | 0 | 1 | 0 | 0 | |
| Construction land | 0 | 0 | 0 | 0 | 1 | 0 | |
| Unused land | 1 | 1 | 1 | 1 | 1 | 1 | |
| Rapid Development | Cultivated land | 1 | 1 | 1 | 1 | 1 | 1 |
| Forest land | 0 | 1 | 0 | 0 | 1 | 1 | |
| Grassland | 1 | 1 | 1 | 1 | 1 | 1 | |
| Water body | 0 | 0 | 0 | 1 | 1 | 0 | |
| Construction land | 0 | 0 | 0 | 0 | 1 | 0 | |
| Unused land | 1 | 1 | 1 | 1 | 1 | 1 | |
| Farmland Protection | Cultivated land | 1 | 0 | 0 | 0 | 0 | 0 |
| Forest land | 0 | 1 | 0 | 0 | 1 | 1 | |
| Grassland | 1 | 1 | 1 | 1 | 1 | 1 | |
| Water body | 0 | 0 | 0 | 1 | 0 | 0 | |
| Construction land | 0 | 0 | 0 | 0 | 1 | 0 | |
| Unused land | 1 | 1 | 1 | 1 | 1 | 1 | |
| Ecological Protection | Cultivated land | 1 | 1 | 1 | 1 | 1 | 1 |
| Forest land | 0 | 1 | 0 | 0 | 0 | 1 | |
| Grassland | 0 | 1 | 1 | 1 | 0 | 1 | |
| Water body | 0 | 0 | 0 | 1 | 0 | 0 | |
| Construction land | 0 | 0 | 0 | 0 | 1 | 0 | |
| Unused land | 1 | 1 | 1 | 1 | 1 | 1 |
| Time | Land Use Types | Natural Development (S1) | Rapid Development (S2) | Cultivated Land Protection (S3) | Ecological Protection (S4) | ||||
|---|---|---|---|---|---|---|---|---|---|
| Carbon Storage/ t | Proportion/% | t | Proportion/% | t | Proportion/% | t | Proportion/% | ||
| Year 2030 | Cultivated Land | 3.75 | 14.86 | 3.71 | 14.75 | 3.80 | 15.07 | 3.69 | 14.54 |
| Forest land | 19.60 | 77.71 | 19.57 | 77.71 | 19.61 | 77.70 | 19.85 | 78.19 | |
| Grassland | 0.47 | 1.86 | 0.47 | 1.86 | 0.46 | 1.83 | 0.45 | 1.79 | |
| Water bodies | 1.06 | 4.20 | 1.06 | 4.19 | 1.05 | 4.17 | 1.08 | 4.25 | |
| Construction land | 0.32 | 1.26 | 0.35 | 1.38 | 0.28 | 1.11 | 0.28 | 1.11 | |
| Unused land | 0.03 | 0.12 | 0.03 | 0.12 | 0.03 | 0.12 | 0.03 | 0.12 | |
| Year 2040 | Cultivated land | 3.70 | 14.72 | 3.64 | 14.52 | 3.81 | 15.12 | 3.60 | 14.11 |
| Forest land | 19.52 | 77.60 | 19.47 | 77.58 | 19.55 | 77.59 | 20.01 | 78.51 | |
| Grassland | 0.46 | 1.83 | 0.46 | 1.83 | 0.45 | 1.79 | 0.44 | 1.71 | |
| Water bodies | 1.07 | 4.24 | 1.06 | 4.23 | 1.05 | 4.19 | 1.11 | 4.34 | |
| Construction land | 0.37 | 1.48 | 0.43 | 1.72 | 0.30 | 1.20 | 0.31 | 1.20 | |
| Unused land | 0.03 | 0.12 | 0.03 | 0.12 | 0.03 | 0.12 | 0.03 | 0.11 | |
Disclaimer/Publisher’s Note: The statements, opinions and data contained in all publications are solely those of the individual author(s) and contributor(s) and not of MDPI and/or the editor(s). MDPI and/or the editor(s) disclaim responsibility for any injury to people or property resulting from any ideas, methods, instructions or products referred to in the content. |
© 2024 by the authors. Licensee MDPI, Basel, Switzerland. This article is an open access article distributed under the terms and conditions of the Creative Commons Attribution (CC BY) license (https://creativecommons.org/licenses/by/4.0/).
Share and Cite
Zhang, J.; Ding, H.; Xu, J.; Zheng, B. A Simulation-Based Prediction of Land Use Change Impacts on Carbon Storage from a Regional Imbalance Perspective: A Case Study of Hunan Province, China. Land 2024, 13, 1721. https://doi.org/10.3390/land13101721
Zhang J, Ding H, Xu J, Zheng B. A Simulation-Based Prediction of Land Use Change Impacts on Carbon Storage from a Regional Imbalance Perspective: A Case Study of Hunan Province, China. Land. 2024; 13(10):1721. https://doi.org/10.3390/land13101721
Chicago/Turabian StyleZhang, Jingyi, Hanqi Ding, Jingkun Xu, and Bohong Zheng. 2024. "A Simulation-Based Prediction of Land Use Change Impacts on Carbon Storage from a Regional Imbalance Perspective: A Case Study of Hunan Province, China" Land 13, no. 10: 1721. https://doi.org/10.3390/land13101721
APA StyleZhang, J., Ding, H., Xu, J., & Zheng, B. (2024). A Simulation-Based Prediction of Land Use Change Impacts on Carbon Storage from a Regional Imbalance Perspective: A Case Study of Hunan Province, China. Land, 13(10), 1721. https://doi.org/10.3390/land13101721

