From Imbalance to Synergy: The Coupling Coordination of Digital Inclusive Finance and Urban Ecological Resilience in the Yangtze River Economic Belt
Abstract
1. Introduction
2. Theoretical Framework
2.1. The Impact of UER on DIF
2.2. The Impact of DIF on UER
3. Methodology
3.1. Study Area
3.2. Data Sources
3.3. Evaluation Frameworks
3.3.1. Evaluation Framework for DIF
3.3.2. Evaluation Framework for UER
3.4. Methods
3.4.1. Coupled Coordination Degree
3.4.2. Kernel Density Estimation
3.4.3. Standard Deviation Ellipse
3.4.4. Decoupling Model
3.4.5. Obstacle Degree Model
4. Results
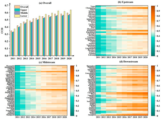
4.1. Dynamic Temporal Analysis of CCD
4.1.1. Temporal Characteristics of the CCD
4.1.2. Evolution of CCD Types
4.1.3. Dynamic Evolution
4.2. Spatial Distribution and Pattern Analysis of CCD
4.2.1. Spatial Pattern of the CCD
4.2.2. Standard Deviation Ellipse Analysis
4.3. Decoupling Analysis
4.3.1. Explanation of Decoupling Types
4.3.2. Decoupling Analysis at the Overall Level
4.3.3. Decoupling Analysis at the City Level
4.4. Analysis of Obstacle Factors
4.4.1. Obstacle Factors at the Overall Level
4.4.2. Obstacle Factors at the City Level
5. Discussion
5.1. Comparison of Related Studies
5.2. Optimization of CCD
5.3. Limitations and Future Prospects
6. Conclusions
Author Contributions
Funding
Data Availability Statement
Conflicts of Interest
References
- Tang, L.; Ke, X.; Chen, Y.; Wang, L.; Zhou, Q.; Zheng, W.; Xiao, B. Which impacts more seriously on natural habitat loss and degradation? Cropland expansion or urban expansion? Land Degrad. Dev. 2020, 32, 946–964. [Google Scholar] [CrossRef]
- Zhao, B.; Fang, L.; Zhang, J.; Li, W.; Tao, L.; Yu, Q.; Wen, C. Impact of digital finance on urban ecological resilience: Evidence from the Yangtze River Economic Belt in China. Environ. Sci. Pollut. Res. 2024, 31, 9218–9236. [Google Scholar] [CrossRef]
- Holling, C.S. Resilience and stability of ecological systems. Annu. Rev. Ecol. Syst. 1973, 4, 1–23. [Google Scholar] [CrossRef]
- Folke, C.; Carpenter, S.R.; Walker, B.; Scheffer, M.; Chapin, T.; Rockström, J. Resilience Thinking: Integrating Resilience, Adaptability and Transformability. Ecol. Soc. 2010, 15, 20. [Google Scholar] [CrossRef]
- Elmqvist, T.; Andersson, E.; Frantzeskaki, N.; McPhearson, T.; Olsson, P.; Gaffney, O.; Takeuchi, K.; Folke, C. Sustainability and resilience for transformation in the urban century. Nat. Sustain. 2019, 2, 267–273. [Google Scholar] [CrossRef]
- Meerow, S.; Newell, J.P. Urban resilience for whom, what, when, where, and why? Urban Geogr. 2019, 40, 309–329. [Google Scholar] [CrossRef]
- Demirguc-Kunt, A.; Klapper, L.; Singer, D.; Ansar, S.; Hess, J. The Global Findex Database 2017: Measuring Financial Inclusion and the Fintech Revolution; World Bank: Washington, DC, USA, 2018. [Google Scholar]
- Ding, G.; Kang, N. The impact of digital financial inclusion on China’s regional disparities in the quality of economic development: Based on the relational data paradigm. Econ. Anal. Policy 2024, 81, 629–651. [Google Scholar] [CrossRef]
- Li, Y.; Jin, G.; Cui, Z.; Lv, B.; Xu, Z. Does digital inclusive finance promote regional green inclusive growth? Financ. Res. Lett. 2024, 62, 105163. [Google Scholar] [CrossRef]
- Ma, K. Digital inclusive finance and corporate green technology innovation. Financ. Res. Lett. 2023, 55, 104015. [Google Scholar] [CrossRef]
- Sun, Y.; Tang, X. The impact of digital inclusive finance on sustainable economic growth in China. Financ. Res. Lett. 2022, 50, 103234. [Google Scholar] [CrossRef]
- Tang, Y.; Geng, B. Digital finance development level and corporate debt financing cost. Financ. Res. Lett. 2024, 60, 104825. [Google Scholar] [CrossRef]
- Song, Y.; Gong, Y.; Song, Y.; Chen, X. Exploring the impact of digital inclusive finance on consumption volatility: Insights from household entrepreneurship and income volatility. Technol. Forecast. Soc. Chang. 2024, 200, 123179. [Google Scholar] [CrossRef]
- Feng, S.; Chong, Y.; Yu, H.; Ye, X.; Li, G. Digital financial development and ecological footprint: Evidence from green-biased technology innovation and environmental inclusion. J. Clean. Prod. 2022, 380, 135069. [Google Scholar] [CrossRef]
- Huang, H.; Mbanyele, W.; Fan, S.; Zhao, X. Digital financial inclusion and energy-environment performance: What can learn from China. Struct. Chang. Econ. Dyn. 2022, 63, 342–366. [Google Scholar] [CrossRef]
- Geng, Z.; He, G. Digital financial inclusion and sustainable employment: Evidence from countries along the belt and road. Borsa Istanb. Rev. 2021, 21, 307–316. [Google Scholar] [CrossRef]
- Lian, X.; Mu, Y.; Zhang, W. Digital inclusive financial services and rural income: Evidence from China’s major grain-producing regions. Financ. Res. Lett. 2023, 53, 103622. [Google Scholar] [CrossRef]
- Guo, D.; Qi, F.; Wang, R.; Li, L. How does digital inclusive finance affect the ecological environment? Evidence from Chinese prefecture-level cities. J. Environ. Manag. 2023, 342, 118158. [Google Scholar] [CrossRef]
- Shand, W.; Colenbrander, S. Financing the inclusive city: The catalytic role of community savings. Environ. Urban. 2018, 30, 175–190. [Google Scholar] [CrossRef]
- Li, W.; Fan, J.; Zhao, J. A Study on the Impact of Digital Inclusive Financial Development on the Welfare Differences Between Urban and Rural Residents. J. Knowl. Econ. 2023, 15, 9001–9028. [Google Scholar] [CrossRef]
- Mukalayi, N.M.; Inglesi-Lotz, R. Digital financial inclusion and energy and environment: Global positioning of Sub-Saharan African countries. Renew. Sustain. Energy Rev. 2024, 173, 113069. [Google Scholar] [CrossRef]
- Zhong, S.; Li, A.; Wu, J. How does digital finance affect environmental total factor productivity: A comprehensive analysis based on econometric model. Environ. Dev. 2022, 44, 100759. [Google Scholar] [CrossRef]
- Feng, S.; Zhang, R.; Li, G. Environmental decentralization, digital finance and green technology innovation. Struct. Chang. Econ. Dyn. 2022, 61, 70–83. [Google Scholar] [CrossRef]
- Reguero, B.G.; Beck, M.W.; Schmid, D.; Stadtmüller, D.; Raepple, J.; Schüssele, S.; Pfliegner, K. Financing coastal resilience by combining nature-based risk reduction with insurance. Ecol. Econ. 2020, 169, 106487. [Google Scholar] [CrossRef]
- Xu, R.; Yao, D.; Zhou, M. Does the development of digital inclusive finance improve the enthusiasm and quality of corporate green technology innovation? J. Innov. Knowl. 2023, 8, 100382. [Google Scholar] [CrossRef]
- Surminski, S.; Bouwer, L.M.; Linnerooth-Bayer, J. How insurance can support climate resilience. Nat. Clim. Chang. 2016, 6, 333–334. [Google Scholar] [CrossRef]
- Bibri, S.E.; Alexandre, A.; Sharifi, A.; Krogstie, J. Environmentally sustainable smart cities and their converging AI, IoT, and big data technologies and solutions: An integrated approach to an extensive literature review. Energy Informatics 2023, 6, 1–39. [Google Scholar] [CrossRef]
- Chang, V.; Baudier, P.; Zhang, H.; Xu, Q.; Zhang, J.; Arami, M. How Blockchain can impact financial services—The overview, challenges and recommendations from expert interviewees. Technol. Forecast. Soc. Chang. 2020, 158, 120166. [Google Scholar] [CrossRef]
- Mishra, L.; Kaushik, V. Application of blockchain in dealing with sustainability issues and challenges of financial sector. J. Sustain. Financ. Invest. 2021, 13, 1318–1333. [Google Scholar] [CrossRef]
- Zhang, C.; Yang, S.; Yan, B.; Wang, M. Mitigating natural resource depletion and enterprise resource risk: How does inclusive digital finance supports green recovery? Resour. Policy 2023, 87, 104301. [Google Scholar] [CrossRef]
- Sadiq, M.; Aysan, A.F.; Kayani, U.N. Digital currency and blockchain security in accelerating financial stability: A mediating role of credit supply. Borsa Istanb. Rev. 2023, 23, 1251–1262. [Google Scholar] [CrossRef]
- Ardolino, M.; Rapaccini, M.; Saccani, N.; Gaiardelli, P.; Crespi, G.; Ruggeri, C. The role of digital technologies for the service transformation of industrial companies. Int. J. Prod. Res. 2017, 56, 2116–2132. [Google Scholar] [CrossRef]
- Wirtz, J.; Hofmeister, J.; Chew, P.Y.P.; Ding, X. Digital service technologies, service robots, AI, and the strategic pathways to cost-effective service excellence. Serv. Ind. J. 2023, 43, 1173–1196. [Google Scholar] [CrossRef]
- Wu, X.; Zhang, J.; Geng, X.; Wang, T.; Wang, K.; Liu, S. Increasing green infrastructure-based ecological resilience in urban systems: A perspective from locating ecological and disturbance sources in a resource-based city. Sustain. Cities Soc. 2020, 61, 102354. [Google Scholar] [CrossRef]
- Barreira, A.P.; Andraz, J.; Ferreira, V.; Panagopoulos, T. Perceptions and preferences of urban residents for green infrastructure to help cities adapt to climate change threats. Cities 2023, 141, 104478. [Google Scholar] [CrossRef]
- Lin, Y.; Peng, C.; Chen, P.; Zhang, M. Conflict or synergy? Analysis of economic-social- infrastructure-ecological resilience and their coupling coordination in the Yangtze River economic Belt, China. Ecol. Indic. 2022, 142, 109194. [Google Scholar] [CrossRef]
- Xu, H.; Zhong, T.; Chen, Y.; Zhang, J. How to simulate future scenarios of urban stormwater management? A novel framework coupling climate change, urbanization, and green stormwater infrastructure development. Sci. Total. Environ. 2023, 874, 162399. [Google Scholar] [CrossRef]
- Santamaria-Ariza, M.; Sousa, H.S.; Matos, J.C.; Faber, M.H. An exploratory bibliometric analysis of risk, resilience, and sustainability management of transport infrastructure systems. Int. J. Disaster Risk Reduct. 2023, 97, 104063. [Google Scholar] [CrossRef]
- Yin, J.; Ren, X.; Liu, R.; Tang, T.; Su, S. Quantitative analysis for resilience-based urban rail systems: A hybrid knowledge-based and data-driven approach. Reliab. Eng. Syst. Saf. 2022, 219, 108183. [Google Scholar] [CrossRef]
- Liu, W.; Zhou, J.; Li, X.; Zheng, H.; Liu, Y. Urban resilience assessment and its spatial correlation from the multidimensional perspective: A case study of four provinces in North-South Seismic Belt, China. Sustain. Cities Soc. 2024, 101, 105109. [Google Scholar] [CrossRef]
- Du, Q.; Li, Y.; Li, Y.; Zhou, J.; Cui, X. Data mining of social media for urban resilience study: A case of rainstorm in Xi’an. Int. J. Disaster Risk Reduct. 2023, 95, 103836. [Google Scholar] [CrossRef]
- Han, Y.; Li, Y.; Wang, Q. Digital finance, environmental regulation, and green development efficiency of China. Front. Environ. Sci. 2023, 11, 1131058. [Google Scholar] [CrossRef]
- Cao, J.; Law, S.H.; Wu, D.; Tang, X.; Yang, X. Effect of Digital Financial Inclusion on Dredging the Path of Green Growth—New Evidence From Front-End and Back-End Perspectives. Front. Environ. Sci. 2022, 10, 865229. [Google Scholar] [CrossRef]
- Ma, R.; Li, F.; Du, M. How Does Environmental Regulation and Digital Finance Affect Green Technological Innovation: Evidence From China. Front. Environ. Sci. 2022, 10, 928320. [Google Scholar] [CrossRef]
- Ding, X.; Gao, L.; Wang, G.; Nie, Y. Can the development of digital financial inclusion curb carbon emissions? Empirical test from spatial perspective. Front. Environ. Sci. 2022, 10, 1045878. [Google Scholar] [CrossRef]
- Sebestyén, V.; Czvetkó, T.; Abonyi, J. The Applicability of Big Data in Climate Change Research: The Importance of System of Systems Thinking. Front. Environ. Sci. 2021, 9, 619092. [Google Scholar] [CrossRef]
- Cerchiello, P.; Giudici, P. Big data analysis for financial risk management. J. Big Data 2016, 3, 18. [Google Scholar] [CrossRef]
- Li, C.; Chen, Z.; Wu, Y.; Zuo, X.; Jin, H.; Xu, Y.; Zeng, B.; Zhao, G.; Wan, Y. Impact of green finance on China’s high-quality economic development, environmental pollution, and energy consumption. Front. Environ. Sci. 2022, 10, 1032586. [Google Scholar] [CrossRef]
- Li, G.; Fang, X.; Liu, M. Will Digital Inclusive Finance Make Economic Development Greener? Evidence From China. Front. Environ. Sci. 2021, 9, 762231. [Google Scholar] [CrossRef]
- Sun, Y.; Bao, Q.; Taghizadeh-Hesary, F. Green finance, renewable energy development, and climate change: Evidence from regions of China. Humanit. Soc. Sci. Commun. 2023, 10, 107. [Google Scholar] [CrossRef]
- Khan, S.; Akbar, A.; Nasim, I.; Hedvičáková, M.; Bashir, F. Green finance development and environmental sustainability: A panel data analysis. Front. Environ. Sci. 2022, 10, 1039705. [Google Scholar] [CrossRef]
- He, Q.; Xue, Y. Research on the influence of digital finance on the economic efficiency of energy industry in the background of artificial intelligence. Sci. Rep. 2023, 13, 14984. [Google Scholar] [CrossRef] [PubMed]
- Guo, F.; Wang, J.; Wang, F.; Kong, T.; Zhang, X.; Cheng, Z. Measuring China’s digital financial inclusion: Index compilation and spatial characteristics. China Econ. Q. 2020, 19, 1401–1418. [Google Scholar] [CrossRef]
- Du, Y.; Wang, Q.; Zhou, J. How does digital inclusive finance affect economic resilience: Evidence from 285 cities in China. Int. Rev. Financial Anal. 2023, 88, 102709. [Google Scholar] [CrossRef]
- Sun, Y.; You, X. Do digital inclusive finance, innovation, and entrepreneurship activities stimulate vitality of the urban economy? Empirical evidence from the Yangtze River Delta, China. Technol. Soc. 2023, 72, 102200. [Google Scholar] [CrossRef]
- Martin, R.L. Regional economic resilience, hysteresis and recessionary shocks. J. Econ. Geogr. 2012, 12, 1–32. [Google Scholar] [CrossRef]
- Sun, Y.; Liu, D.; Wang, P. Urban simulation incorporating coordination relationships of multiple ecosystem services. Sustain. Cities Soc. 2022, 76, 103432. [Google Scholar] [CrossRef]
- Sun, Y.; Cui, Y. Analyzing urban infrastructure economic benefit using an integrated approach. Cities 2018, 79, 124–133. [Google Scholar] [CrossRef]
- Xiao, Y.; Wang, R.; Wang, F.; Huang, H.; Wang, J. Investigation on spatial and temporal variation of coupling coordination between socioeconomic and ecological environment: A case study of the Loess Plateau, China. Ecol. Indic. 2022, 136, 108667. [Google Scholar] [CrossRef]
- He, X.; Cai, C.; Tang, J.; Shi, J.; Yang, R. Analysis of coupling coordination and obstacle factors between tourism development and ecosystem services value: A case study of the Yellow River Basin, China. Ecol. Indic. 2023, 157, 111234. [Google Scholar] [CrossRef]
- Xie, Q.; Ma, D.; Raza, M.Y.; Tang, S.; Bai, D. Toward carbon peaking and neutralization: The heterogeneous stochastic convergence of CO2 emissions and the role of digital inclusive finance. Energy Econ. 2023, 125, 106841. [Google Scholar] [CrossRef]
- Lefever, D.W. Measuring Geographic Concentration by Means of the Standard Deviational Ellipse. Am. J. Sociol. 1926, 32, 88–94. [Google Scholar] [CrossRef]
- Cai, X.; Li, Z.; Liang, Y. Tempo-spatial changes of ecological vulnerability in the arid area based on ordered weighted average model. Ecol. Indic. 2021, 133, 108398. [Google Scholar] [CrossRef]
- Tapio, P. Towards a theory of decoupling: Degrees of decoupling in the EU and the case of road traffic in Finland between 1970 and 2001. Transp. Policy 2005, 12, 137–151. [Google Scholar] [CrossRef]
- Li, K.; Zhou, Y.; Xiao, H.; Li, Z.; Shan, Y. Decoupling of economic growth from CO2 emissions in Yangtze River Economic Belt cities. Sci. Total. Environ. 2021, 775, 145927. [Google Scholar] [CrossRef]
- Pu, G.; Wong, W.-K.; Du, Q.; Al Shraah, A.; Alromaihi, A.; Muda, I. Asymmetric impact of natural resources, fintech, and digital banking on climate change and environmental sustainability in BRICS countries. Resour. Policy 2024, 91, 104872. [Google Scholar] [CrossRef]
- Wu, Y.; Gao, X. Can the establishment of eco-industrial parks promote urban green innovation? Evidence from China. J. Clean. Prod. 2022, 341, 130855. [Google Scholar] [CrossRef]
- Jia, K.; Yuan, R. The impact of basin horizontal ecological compensation policies on carbon emissions: A case study of the Yangtze river economic Belt. Heliyon 2024, 10, e28858. [Google Scholar] [CrossRef]
- Zhang, J.; Zhang, P.; Wang, R.; Liu, Y.; Lu, S. Identifying the coupling coordination relationship between urbanization and forest ecological security and its impact mechanism: Case study of the Yangtze River Economic Belt, China. J. Environ. Manag. 2023, 342, 118327. [Google Scholar] [CrossRef]
- Ren, S.; Hao, Y.; Xu, L.; Wu, H.; Ba, N. Digitalization and energy: How does internet development affect China’s energy consumption? Energy Econ. 2021, 98, 105220. [Google Scholar] [CrossRef]
- Ding, R.; Shi, F.; Hao, S. Digital Inclusive Finance, Environmental Regulation, and Regional Economic Growth: An Empirical Study Based on Spatial Spillover Effect and Panel Threshold Effect. Sustainability 2022, 14, 4340. [Google Scholar] [CrossRef]













| Index | Dimension Layer | Sub-Level | Attributes | References |
|---|---|---|---|---|
| DIF | Coverage breadth | Account coverage ratio | Positive | [15,54] |
| Usage depth | Payment index | Positive | ||
| Money fund index | Positive | |||
| Credit index | Positive | [11,54] | ||
| Insurance index | Positive | |||
| Investment index | Positive | |||
| Creditworthiness index | Positive | |||
| Digitization level | Convenience index | Positive | ||
| Mobility index | Positive | [15,55] | ||
| Creditization index | Positive | |||
| Affordability index | Positive |
| Index | Dimension Layer | Sub-Level | Attributes | References |
|---|---|---|---|---|
| UER | Resistance | Carbon emission intensity | Reverse | [36,56] |
| Energy consumption intensity | Reverse | |||
| Air particulate pollution | Reverse | |||
| Electricity consumption per GDP | Reverse | |||
| Industrial wastewater discharge per GDP | Reverse | |||
| Water consumption per GDP | Reverse | |||
| Adaptability | Drainage pipe density in built-up areas | Positive | [40,56] | |
| Volume of municipal waste collected | Positive | |||
| Solid waste utilization | Positive | |||
| Road cleaning rate | Positive | |||
| Urban wastewater treatment rate | Positive | |||
| Non-hazardous waste disposal rate | Positive | |||
| Resilience | Greenery coverage rate in built-up areas | Positive | [38,39] | |
| Green space ratio in built-up areas | Positive | |||
| Public transit availability | Positive | |||
| Per capita park and green space area | Positive | |||
| Healthcare conditions | Positive | |||
| Green innovation achievements | Positive |
| Coupling Coordination Degree | Classification Results |
|---|---|
| Superior coordination | 0.8 < D ≤ 1.0 |
| Intermediate coordination | 0.6 < D ≤ 0.8 |
| Primary coordination | 0.5 < D ≤ 0.6 |
| Slight incoordination | 0.4 < D ≤ 0.5 |
| Intermediate incoordination | 0.2 < D ≤ 0.4 |
| Extreme incoordination | 0 < D ≤ 0.2 |
| Decoupling Types | ΔUER | ΔDIF | DI | Implication | |
|---|---|---|---|---|---|
| Decoupling (D) | Recessive decoupling (RD) | − | − | [1.2, +∞) | The deceleration in UER is greater than that in DIF. |
| Strong decoupling (SD) | − | + | (−∞, 0) | UER decreases, while DIF increases. | |
| Weak decoupling (WD) | + | + | [0, 0.8) | The growth rate of UER is less than that of DIF. | |
| Coupling (C) | Expansive coupling (EC) | + | + | [0.8, 1.2) | The growth rates of UER and DIF are approximately equivalent. |
| Recessive coupling (RC) | − | − | [0.8, 1.2) | The deceleration rates of UER and DIF are approximately consistent. | |
| Negative decoupling (ND) | Expansive negative decoupling (END) | + | + | [1.2, +∞) | The growth rate of UER exceeds that of DIF. |
| Strong negative decoupling (SND) | + | − | (−∞, 0) | UER increases, while DIF decreases. | |
| Weak negative decoupling (WND) | − | − | [0, 0.8) | The deceleration in UER is less than that in DIF. | |
| Obstacle Degree | Classification Results |
|---|---|
| Extremely low | 0–9.99% |
| Low | 10.00%–19.99% |
| Medium–low | 20.00%–29.99% |
| Medium–high | 30.00%–39.99% |
| High | 40.00%–49.99% |
| Extremely high | >50.00% |
| Region | Year | Longitude (E) | Latitude (N) | Semi-Major Axis | Semi-Minor Axis | Rotation | Eccentricity |
|---|---|---|---|---|---|---|---|
| Overall | 2011 | 113°14′ | 29°57′ | 875,100.92 | 317,384.64 | 72.22 | 0.6373 |
| 2020 | 113°13′ | 29°58′ | 868,909.31 | 318,166.13 | 71.93 | 0.6338 | |
| Upstream | 2011 | 104°15′ | 28°30′ | 210,176.12 | 464,134.16 | 35.05 | 0.5472 |
| 2020 | 104°18′ | 28°30′ | 210,351.77 | 460,286.61 | 34.66 | 0.5429 | |
| Midstream | 2011 | 113°38′ | 28°52′ | 297,956.31 | 256,218.22 | 125.06 | 0.1400 |
| 2020 | 113°38′ | 28°52′ | 259,817.43 | 283,501.19 | 142.82 | 0.0835 | |
| Downstream | 2011 | 104°15′ | 28°30′ | 175,316.44 | 289,927.24 | 140.35 | 0.3953 |
| 2020 | 104°18′ | 28°30′ | 175,699.75 | 289,414.39 | 140.20 | 0.3929 |
Disclaimer/Publisher’s Note: The statements, opinions and data contained in all publications are solely those of the individual author(s) and contributor(s) and not of MDPI and/or the editor(s). MDPI and/or the editor(s) disclaim responsibility for any injury to people or property resulting from any ideas, methods, instructions or products referred to in the content. |
© 2024 by the authors. Licensee MDPI, Basel, Switzerland. This article is an open access article distributed under the terms and conditions of the Creative Commons Attribution (CC BY) license (https://creativecommons.org/licenses/by/4.0/).
Share and Cite
Chen, X.; Huang, X.; Yu, T.; Zhang, Y.; Cui, X. From Imbalance to Synergy: The Coupling Coordination of Digital Inclusive Finance and Urban Ecological Resilience in the Yangtze River Economic Belt. Land 2024, 13, 1617. https://doi.org/10.3390/land13101617
Chen X, Huang X, Yu T, Zhang Y, Cui X. From Imbalance to Synergy: The Coupling Coordination of Digital Inclusive Finance and Urban Ecological Resilience in the Yangtze River Economic Belt. Land. 2024; 13(10):1617. https://doi.org/10.3390/land13101617
Chicago/Turabian StyleChen, Xi, Xuan Huang, Tonghui Yu, Yu Zhang, and Xufeng Cui. 2024. "From Imbalance to Synergy: The Coupling Coordination of Digital Inclusive Finance and Urban Ecological Resilience in the Yangtze River Economic Belt" Land 13, no. 10: 1617. https://doi.org/10.3390/land13101617
APA StyleChen, X., Huang, X., Yu, T., Zhang, Y., & Cui, X. (2024). From Imbalance to Synergy: The Coupling Coordination of Digital Inclusive Finance and Urban Ecological Resilience in the Yangtze River Economic Belt. Land, 13(10), 1617. https://doi.org/10.3390/land13101617

