The Impact of Rural Industrial Development on Farmers’ Livelihoods—Taking Fruit-Producing Area as an Example
Abstract
1. Introduction
- (1)
- What are the characteristics of rural industrial development?
- (2)
- What impact does the development of rural industries have on the evolution of livelihood strategies, as well as the differentiation of forms of livelihood capital and livelihood outcomes among different types of farmers?
2. Analytical Framework
3. Materials and Methods
3.1. Study Area
3.2. Sampling and Data Collection
3.3. Classification Criteria for FLS
3.4. Farmers’ Livelihood Capital Indicator System
3.5. Evaluation of Farmers’ Forms of Livelihood Capital
4. Results and Analysis
4.1. Development Process of Rural Industries
4.2. The Evolution of Farmers’ Livelihood Strategies under the Background of Rural Industry Development
4.3. The Differentiation of Farmers’ Livelihood Capital under the Background of Rural Industry Development
4.4. The Differentiation of Farmers’ Livelihood Outcomes under the Background of Rural Industry Development
5. Discussion
5.1. The Impact of Rural Industrial Development on Farmers’ Livelihoods
5.1.1. The Impact on Farmers’ Livelihood Strategies
5.1.2. The Impact on Farmers’ Forms of Livelihood Capital
5.1.3. The Impact on Farmers’ Livelihood Outcomes
5.2. Comparative Analysis with Existing Research Results
5.3. Policy Implication
5.4. The Limitations of the Study and Future Research
6. Conclusions
Author Contributions
Funding
Data Availability Statement
Acknowledgments
Conflicts of Interest
References
- Patchell, J.; Hayter, R. Dynamics of adjustment and the social division of labor in the tsubame cutlery industry. Growth Chang. 1992, 23, 199–216. [Google Scholar] [CrossRef]
- Rizzo, U.; Barbieri, N.; Ramaciotti, L.; Iannantuono, D. The division of labour between academia and industry for the generation of radical inventions. J. Technol. Transf. 2020, 45, 393–413. [Google Scholar] [CrossRef]
- Bathelt, H. Persistent structures in a turbulent world: The division of labor in the german chemical industry. Environ. Plan. C Gov. Policy 2000, 18, 225–247. [Google Scholar] [CrossRef]
- Ge, Y. Globalization and industry agglomeration in China. World Dev. 2009, 37, 550–559. [Google Scholar] [CrossRef]
- Brülhart, M. Economic geography, industry location and trade: The evidence. World Econ. 1998, 21, 775–801. [Google Scholar] [CrossRef]
- Lu, J.Y.; Tao, Z.G. Trends and determinants of China’s industrial agglomeration. J. Urban Econ. 2009, 65, 167–180. [Google Scholar] [CrossRef]
- Wang, M.Y.; He, B.; Zhang, J.S.; Jin, Y.N. Analysis of the effect of cooperatives on increasing farmers’ income from the perspective of industry prosperity based on the psm empirical study in shennongjia region. Sustainability 2021, 13, 13172. [Google Scholar] [CrossRef]
- Liao, D.W. Study on the Problem of Increasing Farmers’ Income by the Integration of Rural One, Two and Three Industries. Lect. Notes Manag. Sci. 2019, 110, 97–101. [Google Scholar]
- Watanabe, M.; Jinji, N.; Kurihara, M. Is the development of the agro-processing industry pro-poor? The case of thailand. J. Asian Econ. 2009, 20, 443–455. [Google Scholar] [CrossRef]
- Clark, C. The Conditions of Economic Progress; Macmillan: London, UK, 1940. [Google Scholar]
- Zhao, L. Spatial pattern evolution and spatial transformation trend of industry in China. Sci. Geogr. Sin. 2021, 41, 387–396. (In Chinese) [Google Scholar] [CrossRef]
- Li, X.J. Economic Geography; Higher Education Press: Beijing, China, 1999. [Google Scholar]
- Zhang, B.L.; Zhang, F.R.; Qu, B.D.; Li, C.; Chen, J.W. Rural non-agricultural differences and their driving forces at the county level: A case study of 16 villages in yishui, shandong, east China. Acta Geogr. Sin. 2015, 70, 1008–1021. [Google Scholar] [CrossRef]
- Rabelo, M.; Debolini, M.; Villani, R.; Sabbatini, T.; Silvestri, N. Expansion and Specialization of Agricultural Systems in Western Mediterranean Areas: A Global Analysis Based on the Two Last Census Data. Agronomy 2021, 11, 904. [Google Scholar] [CrossRef]
- Yang, D.; Liu, Z.M. Study on the chinese farmer cooperative economy organizations and agricultural specialization. Agric. Econ. 2012, 58, 135–146. [Google Scholar] [CrossRef]
- Farias, L.R. Globalisation and livelihood diversification through non-traditional agricultural products: The mexico case. Nat. Resour. Perspect. 2001, 67, 3. Available online: https://dlc.dlib.indiana.edu/dlc/bitstream/handle/10535/4554/67-globalisation-livelihood-diversification-mexico.pdf?sequence=1 (accessed on 24 July 2023).
- Hellin, J.; Fisher, E. Climate-smart agriculture and non-agricultural livelihood transformation. Climate 2019, 7, 48. [Google Scholar] [CrossRef]
- Aturamu, O.; Owoeye, R.S.; Opeyemi, O.T. Assessment of farm and non-farm livelihood diversification among youths in ekiti state, nigeria. Agric. Econ. 2021, 9, 59–66. [Google Scholar]
- Yang, L.; Yang, J.H.; Min, Q.W.; Liu, M.C. Impacts of non-agricultural livelihood transformation of smallholder farmers on agricultural system in the qinghai-tibet plateau. Int. J. Agric. Sustain. 2021, 20, 302–311. [Google Scholar] [CrossRef]
- Kibwage, J.K.; Odondo, A.J.; Momanyi, G.M. Assessment of livelihood assets and strategies among tobacco and Non tobacco growing households in south nyanza region, Kenya. Afr. J. Agric. Res. 2009, 4, 294–304. [Google Scholar]
- Olowo, S.F.; Omotayo, A.O.; Lawal, I.O.; Aremu, A.O. Improving rural livelihood through the cultivation of indigenous fruits and vegetables: Evidence from ondo state, nigeria. Agriculture 2022, 12, 372. [Google Scholar] [CrossRef]
- Makundi, J.J.; Eneji, M.A. Impact of cut-flower industries on sustainable livelihood and poverty reduction in arusha-tanzania: Community perspectives. Ann. Humanit. Dev. Stud. 2011, 2, 14–21. [Google Scholar]
- Wamalwa, J.K. The Consequences of Emerging Cash Crops on Small-Scale Rural Farmers’ Livelihoods: A Case Study of the Energy Crop, Jatropha Curcas L, in Kenya; Massey University: Auckland, New Zealand, 2011; Available online: https://mro.massey.ac.nz/bitstream/handle/10179/2499/02_whole.pdf (accessed on 24 July 2023).
- Wu, K.S.; Yang, X.J.; Zhang, J.; Wang, Z.Q. Differential Evolution of Farmers’ Livelihood Strategies since the 1980s on the Loess Plateau, China. Land 2022, 11, 157. [Google Scholar] [CrossRef]
- Masoodi, T.H.; Ahmad, H.; Gangoo, S.A.; Sofi, P.A.; Mir, S.A.; Saraf, S.A.; Murtaza, S.; Bashir, A.; Bhat, G.M.; Mir, A.A.; et al. Cricket bat industry as an economically viable livelihood option in kashmir: Present status and future prospects. For. Prod. J. 2014, 64, 134–140. [Google Scholar] [CrossRef]
- Bhupathy, P.; Govindan, R.; Velmurugan, C. Role of handloom industry in enhancing livelihood of weavers—A review introduction. Colourage 2020, 9, 29–30. [Google Scholar]
- Bachmangregori, D. The Mongolian Mining Industry’s Impact on the Livelihoods of Nomadic Herders; Lund University: Lund, Sweden, 2015; Available online: https://lup.lub.lu.se/luur/download?func=downloadFile&recordOId=5465119&fileOId=5465125 (accessed on 24 July 2023).
- Mao, N.; Delacy, T.; Grunfeld, H. Local Livelihoods and the Tourism Value Chain: A Case Study in Siem Reap-Angkor Region, Cambodia. Int. J. Environ. Rural Dev. 2013, 4, 120–126. [Google Scholar]
- Tumwine, F.R.; Opedes, H.; Tumushabe, J. Krifs quartet model improving livelihoods and fueling tourism in kitagwenda district, western uganda. J. Geogr. Res. 2021, 4, 1–14. [Google Scholar] [CrossRef]
- Munanura, L.E.; Sabuhoro, E.; Hunt, C.A.; Ayorekire, J. Livelihoods and Tourism: Capital Assets, Household Resiliency, and Subjective Wellbeing. Tour. Hosp. 2021, 2, 347–364. [Google Scholar] [CrossRef]
- Woyesa, T.; Kumar, S. Potential of coffee tourism for rural development in ethiopia: A sustainable livelihood approach. Environ. Dev. Sustain. 2021, 23, 815–832. [Google Scholar] [CrossRef]
- Hoang, T.T.; Van Rompaey, A.; Meyfroidt, P.; Govers, G.; Vu, K.C.; Nguyen, A.T.; Hens, L.; Vanacker, V. Impact of tourism development on the local livelihoods and land cover change in the northern vietnamese highlands. Environ. Dev. Sustain. 2020, 22, 1371–1395. [Google Scholar] [CrossRef]
- Bires, Z.; Raj, S. Tourism as a pathway to livelihood diversification: Evidence from biosphere reserves, ethiopia. Tour. Manag. 2020, 81, 104159. [Google Scholar] [CrossRef]
- Liu, M.Y.; Feng, X.L.; Wang, S.G.; Zhong, Y. Does poverty-alleviation-based industry development improve farmers’ livelihood capital? J. Integr. Agric. 2021, 20, 915–926. [Google Scholar] [CrossRef]
- Mckeller, M.M.M.; Smardon, R.C. The potential of small-scale agro-industry as a sustainable livelihood strategy in a caribbean archipelago province of colombia. J. Sustain. Dev. 2012, 5, 16. [Google Scholar] [CrossRef]
- Demartini, A. Sport for Livelihood: Using the Fitness Industry as Vocational Training for Previously Incarcerated Persons; Kennesaw State University: Kennesaw, GA, USA, 2020. [Google Scholar]
- Zhang, Y.X.; Zhang, B.; Xie, Y. Can Protected Area Have Positive Effects on Community Livelihood?—Evidence from Wuyi Mountain National Nature Reserve, China. J. For. Econ. 2021, 36, 53–77. [Google Scholar] [CrossRef]
- Dowokpor, V. Impacts of the Oil and Gas Industry on the Livelihoods of Men and Women Working in the Fisheries: A Study of Shama, Ghana; University of Bergen: Bergen, Norway, 2015; Available online: https://bora.uib.no/bora-xmlui/bitstream/handle/1956/9939/133255143.pdf?sequence=1&isAllowed=y (accessed on 24 July 2023).
- Adams, A.M.; Abudulai, I.; Bashiru, M. The shea industry and rural livelihoods among women in the wa municipality, Ghana. J. Soc. Sci. Stud. 2016, 3, 40. [Google Scholar] [CrossRef]
- Chutia, N.; Bhuyan, A. Impact of industry on livelihood of surrounding rural areas-a review of some evidences. Extr. Ind. Soc. 2017, 13, 219–228. [Google Scholar] [CrossRef]
- Kouame, k.J.A.; Yao, K.A.; Jiang, F.; Feng, Y.; Zhu, S.T. Ivory coast: The impacts of artisanal gold mining on local livelihoods and the mining industry. Int. J. Serv. Sci. Manag. Eng. Technol. 2017, 8, 42–55. [Google Scholar] [CrossRef]
- Chen, J.; Zhang, L.Q.; Yang, X.J.; Li, G. The impact of tourism development on changes of households’ livelihood and community tourism effect: A case study based on the perspective of tourism development mode. Geogr. Res. 2017, 36, 1709–1724. (In Chinese) [Google Scholar]
- Lu, D.M.; Yang, X.J.; Shi, Y.Z.; Wang, Z.Q. Rural regime shifts and transformation development on the Loess Plateau. Acta Geogr. Sin. 2020, 75, 348–364. (In Chinese) [Google Scholar] [CrossRef]
- Yang, J.; Yang, R.X.; Chen, M.H.; Su, C.H.; Zhi, Y.; Xi, J.C. Effects of rural revitalization on rural tourism. J. Hosp. Tour. Manag. 2021, 47, 35–45. [Google Scholar] [CrossRef]
- Liu, Y.S.; Zang, Y.Z.; Yang, Y.Y. China’s rural revitalization and development: Theory, technology and management. J. Geogr. Sci. 2020, 30, 1923–1942. [Google Scholar] [CrossRef]
- Admasu, T.G.; Jenberu, A.A. Theimpacts of apple-based agroforestry practices on the livelihoods of smallholder farmers in southern ethiopia—Sciencedirect. Trees For. People 2022, 7, 100205. [Google Scholar] [CrossRef]
- Ramahaimandimby, Z.; Sakurai, T. Vegetable production and its impact on smallholder farmers’ livelihoods: The case of the central highlands of madagascar. Jpn. J. Agric. Econ. 2021, 23, 125–130. [Google Scholar] [CrossRef]
- DFID. Sustainable Livelihoods Guidance Sheets; Department for International Development (DFID): London, UK, 2000. [Google Scholar]
- Ma, C.H.; Yuan, Q.Y.; Wen, Q.; Li, X.M. Impact of agriculture industrial development on farmers’ livelihood: Based on the research of four migrant villages in Hongsibu District, Ningxia. Prog. Geogr. 2021, 40, 784–797. [Google Scholar] [CrossRef]
- Debela, D.D.; Stellmacher, T.; Azadi, H.; Kelboro, G.; Lebailly, P.; Ghorbani, M. The impact of industrial investments on land use and smallholder farmers’ livelihoods in ethiopia. Land Use Policy 2020, 99, 105091. [Google Scholar] [CrossRef]
- Chowdhury, T.A. Applying and extending the sustainable livelihoods approach: Identifying the livelihood capitals and well-being achievements of indigenous people in bangladesh. J. Soc. Econ. Dev. 2021, 23, 302–320. [Google Scholar] [CrossRef]
- Yin, K.; Xiao, Y. Impact of farmers’ livelihood capital differences on their livelihood strategies in three gorges reservoir area. J. Coast. Res. 2020, 103, 258–262. [Google Scholar] [CrossRef]
- Wang, M.; Li, M.; Jin, B.; Yao, L.; Ji, H. Does livelihood capital influence the livelihood strategy of herdsmen? Evidence from western China. Land 2021, 10, 763. [Google Scholar] [CrossRef]
- Chen, J.; Yin, S.; Gebhard, H.; Yang, X.J. Farmers’ livelihood adaptation to environmental change in an arid region: A case study of the Minqin Oasis, northwestern China. Ecol. Indic. 2018, 93, 411–423. [Google Scholar] [CrossRef]
- Zhang, J.; Wu, K.S.; Wang, Z.Q.; Yang, X.J.; Zhao, Z.B. Rural transformation and farmers’ livelihood evolution in the Loess Plateau in the context of industrial development: A case study of Changwu county, Shaanxi province. Geogr. Res. 2023, 42, 1285–1306. (In Chinese) [Google Scholar] [CrossRef]
- Cu, T.T.; Nguyen, T.A. Development of industrial parks and a new livelihood strategy for the people in Vietnam. Probl. Perspect. Manag. 2021, 19, 221–230. [Google Scholar] [CrossRef]
- Palchick, M.B. Agricultural Transformation and Livelihood Struggles in South Africa’s Western Cape; Geography Honors Projects, Macalester College DigitalCommons@Macalester College, Paper 13. 2008. Available online: http://digitalcommons.macalester.edu/geography_honors/13 (accessed on 24 July 2023).






| Livelihood Strategies | Livelihood Activity Portfolio | Income Structure |
|---|---|---|
| Traditional agricultural crop-planting livelihood strategy (TCPLS) | Traditional agricultural crop cultivation and other activities | Income from traditional agricultural crop cultivation accounts for more than 50% of the total annual household income. |
| Fruit-planting livelihood strategy (FPLS) | Fruit cultivation and other activities | Income from fruit cultivation accounts for more than 50% of the total annual household income. |
| Work-oriented livelihood strategy (WOLS) | Work away from hometown and other activities | Income from work away from the hometown accounts for more than 50% of the total annual household income. |
| Part-time comprehensive livelihood strategy (PTLS) | Traditional agricultural crop cultivation, fruit cultivation, work away from hometown and other activities | The family engages in at least two livelihood activities, and the proportion of the family’s total annual income from each livelihood activity is not more than 50%. |
| Other livelihood strategies (OLS) | Other non-agricultural livelihood activities, such as running a small shop or a restaurant. | Income from other non-agricultural activities accounts for more than 50% of the total annual household income. |
| Target Layer | Dimension Layer (Weight) | Indicator Layer (Weight) | Indicator Description and Definition |
|---|---|---|---|
| Livelihood capital | Natural capital (0.152) | Per capita actual cultivated land (0.234) | The ratio of the total area of cultivated land and total number of household members. |
| Cultivated land quality (0.346) | Actual situation of cultivated land quality: 0 = particularly poor soil, 0.25 = poor soil, 0.5 = general soil, 0.75 = good soil, and 1 = excellent soil | ||
| Irrigation water source guarantee (0.420) | Actual effective irrigation degree: 0 = none, 0.25 = a small portion, 0.5 = about half, 0.75 = vast majority, and 1 = whole. | ||
| Human capital (0.157) | Proportion of the labor force (0.570) | The number of households’ labor force/the total population size of the household. | |
| Family education level (0.430) | Education level: 0 = illiteracy, 0.25 = primary school, 0.5 = junior middle school or technical secondary school, 0.75 = high school or junior college, and 1 = university and above. | ||
| Physical capital (0.138) | Type of housing (0.281) | The type of housing: 0 = civil structure housing, 0.25 = adobe housing, 0.5 = brick house, 0.75 = concrete structure, and 1 = multistory building. | |
| Per capita housing area (0.385) | The ratio of the total size of housing and total number of household members. | ||
| Production and living materials (0.334) | The number of main production and living tools owned by a household selected by the farmer from the questionnaire. | ||
| Financial capital (0.231) | Per capita income (0.316) | The ratio of total household income and total number of household members. | |
| Credit opportunities (0.684) | Binary variable representing lending opportunity according to whether or not a bank loan or personal loan can be obtained; yes = 1, and no = 0. | ||
| Social capital (0.323) | Social network (0.234) | The types of help available in the community, 0 = none, 0.25 = one, 0.5 = two, 0.75 = three, and 1 = four | |
| Neighborhood trust (0.217) | The degree of mutual trust in the neighborhood. 0 = very little, 0.25 = a small part, 0.5 = about half, 0.75 = vast majority, and 1 = whole. | ||
| Training opportunities (0.549) | Whether or not production skills training can be obtained from outside. Yes = 1, no = 0. |
| Natural Capital | Human Capital | Physical Capital | Financial Capital | Social Capital | Livelihood Capital | |
|---|---|---|---|---|---|---|
| TCPLS | 0.611 | 0.515 | 0.531 | 0.558 | 0.626 | 0.578 |
| FPLS | 0.617 | 0.523 | 0.578 | 0.638 | 0.744 | 0.643 |
| WOLS | 0.532 | 0.570 | 0.505 | 0.608 | 0.578 | 0.567 |
| PTLS | 0.561 | 0.596 | 0.521 | 0.698 | 0.654 | 0.623 |
| OLS | 0.542 | 0.531 | 0.512 | 0.694 | 0.682 | 0.617 |
| Mean Square Error | F | Sig. | |
|---|---|---|---|
| Natural capital | 0.094 | 4.755 | 0.001 |
| Human capital | 0.044 | 2.019 | 0.092 |
| Physical capital | 0.059 | 3.514 | 0.008 |
| Financial capital | 0.091 | 1.921 | 0.107 |
| Social capital | 0.326 | 3.577 | 0.007 |
| Livelihood capital | 0.075 | 4.695 | 0.001 |
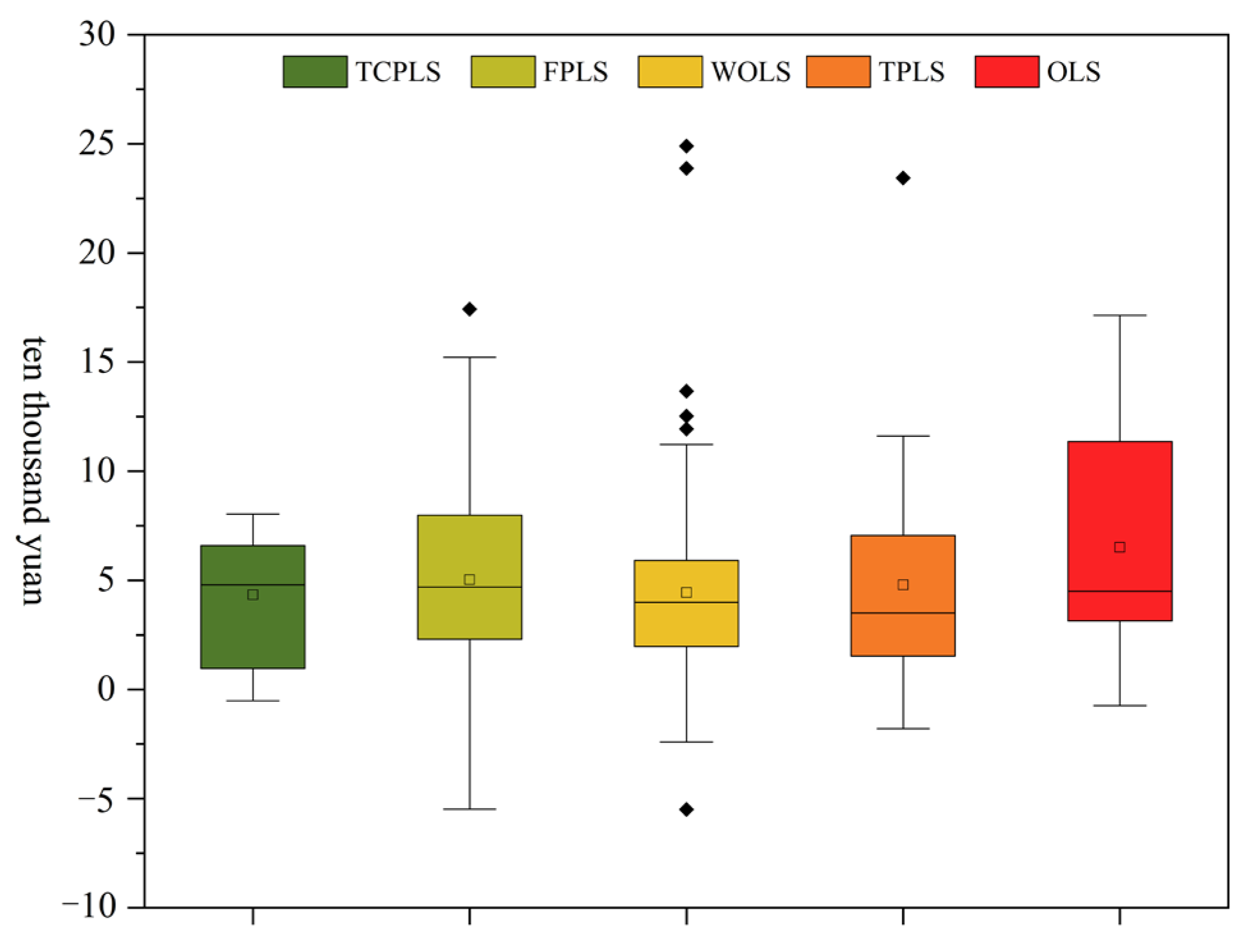
| Mean (Ten Thousand Yuan) | Standard Deviation | F | Sig. | |
|---|---|---|---|---|
| TCPLS | 4.337 | 2.840 | 2.437 | 0.047 |
| FPLS | 5.423 | 5.175 | ||
| WOLS | 4.448 | 3.772 | ||
| PTLS | 4.798 | 5.310 | ||
| OLS | 7.38 | 6.420 |
| Variables | Natural Capital | Human Capital | Physical Capital | Financial Capital | Social Capital | Livelihood Capital | |
|---|---|---|---|---|---|---|---|
| Scale of traditional agricultural crop planting | Correlation coefficient | 0.017 | 0.023 | 0.010 | 0.013 | 0.079 | 0.074 |
| Sig. | 0.783 | 0.697 | 0.868 | 0.826 | 0.191 | 0.219 | |
| Scale of fruit planting | Correlation coefficient | 0.175 | 0.055 | 0.128 | 0.230 | 0.182 | 0.287 |
| Sig. | 0.004 | 0.361 | 0.033 | 0.000 | 0.002 | 0.000 | |
| Number of migrant workers | Correlation coefficient | −0.148 | 0.342 | −0.175 | −0.033 | −0.163 | −0.125 |
| Sig. | 0.013 | 0.051 | 0.004 | 0.589 | 0.007 | 0.037 |
| Scale of Traditional Agricultural Crop Planting | Scale of Fruit Planting | Number of Migrant Workers | ||
|---|---|---|---|---|
| Livelihood outcome | Correlation coefficient | 0.046 | 0.191 | 0.128 |
| Sig. | 0.442 | 0.001 | 0.033 | |
| N | 277 | 277 | 277 |
Disclaimer/Publisher’s Note: The statements, opinions and data contained in all publications are solely those of the individual author(s) and contributor(s) and not of MDPI and/or the editor(s). MDPI and/or the editor(s) disclaim responsibility for any injury to people or property resulting from any ideas, methods, instructions or products referred to in the content. |
© 2023 by the authors. Licensee MDPI, Basel, Switzerland. This article is an open access article distributed under the terms and conditions of the Creative Commons Attribution (CC BY) license (https://creativecommons.org/licenses/by/4.0/).
Share and Cite
Wu, K.; Kong, D.; Yang, X. The Impact of Rural Industrial Development on Farmers’ Livelihoods—Taking Fruit-Producing Area as an Example. Land 2023, 12, 1478. https://doi.org/10.3390/land12081478
Wu K, Kong D, Yang X. The Impact of Rural Industrial Development on Farmers’ Livelihoods—Taking Fruit-Producing Area as an Example. Land. 2023; 12(8):1478. https://doi.org/10.3390/land12081478
Chicago/Turabian StyleWu, Kongsen, Dongyan Kong, and Xinjun Yang. 2023. "The Impact of Rural Industrial Development on Farmers’ Livelihoods—Taking Fruit-Producing Area as an Example" Land 12, no. 8: 1478. https://doi.org/10.3390/land12081478
APA StyleWu, K., Kong, D., & Yang, X. (2023). The Impact of Rural Industrial Development on Farmers’ Livelihoods—Taking Fruit-Producing Area as an Example. Land, 12(8), 1478. https://doi.org/10.3390/land12081478

