Ecosystem Service Optimisation in the Central Plains Urban Agglomeration Based on Land Use Structure Adjustment
Abstract
1. Introduction
2. Materials and Methods
2.1. Study Area
2.2. Materials
2.3. Methods
2.3.1. Water Supply Service
2.3.2. Water Purification (Nitrogen (N) Retention) Service
2.3.3. Carbon Service
2.3.4. Scenario Analysis Setting
2.3.5. Ecosystem Service Optimisation
2.3.6. Methods of Land Use/Land Cover Optimisation and Adjustment
3. Results
3.1. Initial Value of the Current Supply and Demand Situation of Ecosystem Services
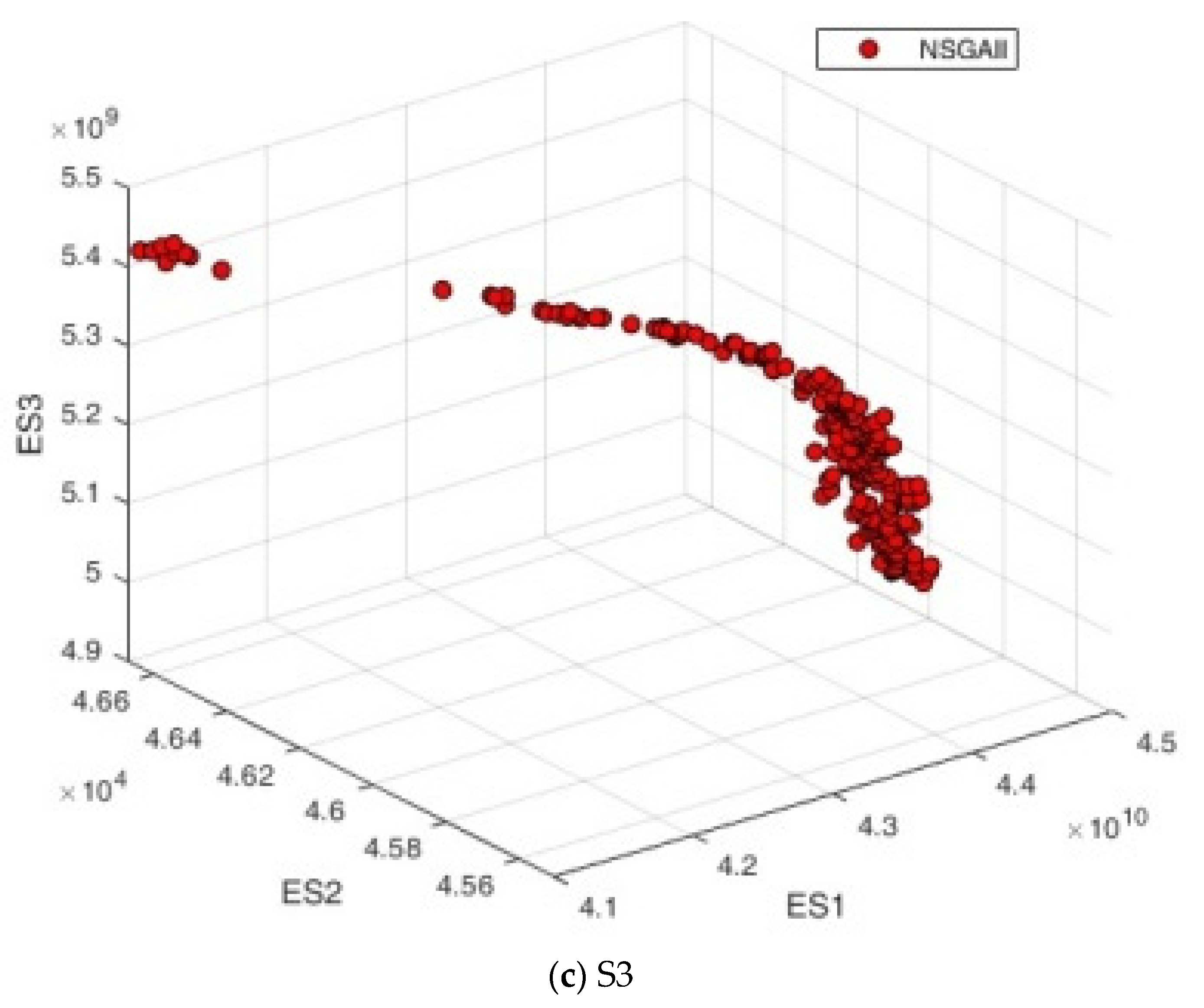
3.2. The Pareto Optimal Solution for Ecosystem Services
3.3. Land Use Optimisation Based on Ecosystem Services
3.3.1. Land Use Area Optimisation
3.3.2. Scenario Optimisation Selection Based on Land Use Pattern
3.4. Optimisation of the Supply Pattern of Ecosystem Services
4. Discussion
5. Conclusions
Author Contributions
Funding
Data Availability Statement
Acknowledgments
Conflicts of Interest
References
- Ma, L.; Liu, H.; Peng, J.; WU, J. A review of ecosystem services supply and demand. Acta Geogr. Sin. 2017, 72, 1277–1289. [Google Scholar] [CrossRef]
- Reid, W.V.; Mooney, H.A.; Cropper, A.; Capistrano, D.; Carpenter, S.R.; Chopra, K.; Dasgupta, P.; Dietz, T.; Duraiappah, A.K.; Kasperson, R.; et al. Millennium Ecosystem Assessment Synthesis Report. 2005. Available online: http://pdf.wri.org/mea_synthesis_030105.pdf (accessed on 20 June 2023).
- López-Hoffman, L.; Varady, R.G.; Flessa, K.W.; Balvanera, P. Ecosystem services across borders: A framework for transboundary conservation policy. Front. Ecol. Environ. 2010, 8, 84–91. [Google Scholar] [CrossRef]
- Shen, J.; Li, S.-C.; Liang, Z.; Wang, Y.; Sun, F. Research progress and prospect for the relationships between ecosystem services supplies and demands. J. Nat. Resour. 2021, 36, 1909–1922. [Google Scholar] [CrossRef]
- Costanza, R. Ecosystem services: Multiple classification systems are needed. Biol. Conserv. 2008, 141, 350–352. [Google Scholar] [CrossRef]
- Daily, G.C. Nature’s Services: Societal Dependence on Natural Ecosystems; Daily, G.C., Ed.; Island Press: Washington, DC, USA, 1997. [Google Scholar]
- Cimon-Morin, J.; Darveau, M.; Poulin, M. Towards systematic conservation planning adapted to the local flow of ecosystem services. Glob. Ecol. Conserv. 2014, 2, 11–23. [Google Scholar] [CrossRef]
- Bennett, E.M.; Peterson, G.D.; Gordon, L.J. Understanding relationships among multiple ecosystem services. Ecol. Lett. 2009, 12, 1394–1404. [Google Scholar] [CrossRef] [PubMed]
- Kleemann, J.; Schrter, M.; Bagstad, K.J.; Kuhlicke, C.; Bonn, A. Quantifying interregional flows of multiple ecosystem services—A case study for Germany. Glob. Environ. Chang. 2020, 61, 102051. [Google Scholar] [CrossRef]
- Xu, H.; Brown, D.G.; Moore, M.R.; Currie, W.S. Optimizing Spatial Land Management to Balance Water Quality and Economic Returns in a Lake Erie Watershed. Ecol. Econ. 2018, 145, 104–114. [Google Scholar] [CrossRef]
- Hu, Q.; Chen, S. Optimizing the ecological networks based on the supply and demand of ecosystem services in Xiamen-Zhangzhou-Quanzhou region. J. Nat. Resour. 2021, 36, 342–355. [Google Scholar] [CrossRef]
- Chen, J.; Jiang, B.; Bai, Y.; Xu, X.; Alatalo, J.M. Quantifying ecosystem services supply and demand shortfalls and mismatches for management optimisation. Sci. Total Environ. 2019, 650, 1426–1439. [Google Scholar] [CrossRef] [PubMed]
- Yu, Y.; Li, J.; Zhou, Z.; Tang, C. Spatial pattern optimization of ecosystem services based on Bayesian networks: A case of the Jing River Basin. Arid. Land Geogr. 2022, 45, 1268–1280. [Google Scholar] [CrossRef]
- Chen, D.; Li, J.; Yang, X.; Liu, Y. Trade-offs and optimization among ecosystem services in the Weihe River basin. Acta Ecol. Sin. 2018, 38, 3260–3271. [Google Scholar] [CrossRef]
- Huang, C.; Yang, J.; Zhang, W. Development of ecosystem services evaluation models: Research progress. Chin. J. Ecol. 2013, 32, 3360–3367. [Google Scholar]
- Lautenbach, S.; Volk, M.; Strauch, M.; Whittaker, G.; Seppelt, R. Optimization-based trade-off analysis of biodiesel crop production for managing an agricultural catchment. Environ. Model. Softw. 2013, 48, 98–112. [Google Scholar] [CrossRef]
- Hu, H.; Fu, B.; Lü, Y.; Zheng, Z. SAORES: A spatially explicit assessment and optimization tool for regional ecosystem services. Landsc. Ecol. 2015, 30, 547–560. [Google Scholar] [CrossRef]
- Ma, W.; Yang, F.; Wang, N.; Zhao, L.; Tan, K.; Zhang, X.; Zhang, L.; Li, H. Study on Spatial-temporal Evolution and Driving Factors of Ecosystem Service Value in the Yangtze River Delta Urban Agglomerations. J. Ecol. Rural. Environ. 2022, 38, 1365–1376. [Google Scholar] [CrossRef]
- Ma, Y.; Xiao, J. Definition and Comparative Analysis of Metropolitan Areas, Metropolitan Circles and Urban Agglomerations. Econ. Manag. 2020, 34, 18–26. [Google Scholar]
- Wang, L.; Zheng, H.; Chen, Y.; Ouyang, Z.; Hu, X. Systematic review of ecosystem services flow measurement: Main concepts, methods, applications and future directions. Ecosyst. Serv. 2022, 58, 101479. [Google Scholar] [CrossRef]
- Sun, J.; Liu, J.; Yang, X.; Zhao, F.; Wu, W. Sustainability in the Anthropocene: Telecoupling framework and its applicationss. Acta Geogr. Sin. 2020, 75, 2408–2416. [Google Scholar] [CrossRef]
- Burkhard, B.; Kroll, F.; Nedkov, S.; Müller, F. Mapping ecosystem service supply, demand and budgets. Ecol. Indic. 2012, 2012, 17–29. [Google Scholar] [CrossRef]
- Ma, S.; Wang, R. The Social-Economic-Natural Complex Ecosystem. Acta Ecol. Sin. 1984, 4, 1–9. [Google Scholar]
- Tan, X.; Han, L.; Li, G.; Zhou, W.; Li, W.; Qian, Y. A quantifiable architecture for urban social-ecological complex landscape pattern. Landsc. Ecol. 2022, 37, 663–672. [Google Scholar] [CrossRef]
- Guo, R.; Miao, C.; Xia, B.; Li, J. Research on the Model of Optimization and Reorganization of Eco-spatial Structure in Urban Agglomeration Region and Its Application: A Case Study of the Urban Agglomeration in Central Plains Region. Prog. Geogr. 2010, 29, 363–369. [Google Scholar] [CrossRef]
- Wang, R.; Li, F.; Han, B.; Huang, H.; Yin, K. Urban eco-complex and eco-space management. Acta Ecol. Sin. 2014, 34, 1–11. [Google Scholar] [CrossRef]
- Shou, F.; Li, Z.; Huang, L.; Huang, S.; Yan, L. Spatial differentiation and ecological patterns of urban agglomeration based on evaluations of supply and demand of ecosystem services: A case study on the Yangtze River Delta. Acta Ecol. Sin. 2020, 40, 2813–2826. [Google Scholar] [CrossRef]
- Fang, C. Theoretical foundation and patterns of coordinated development of the Beijing-Tianjin-Hebei Urban Agglomeration. Prog. Geogr. 2017, 36, 15–24. [Google Scholar] [CrossRef]
- Yang, Y.; Han, P.; Yang, N.; Li, X.; Guo, Y. Research of Carrying Capacity on Resource and Environment in Core Cities of Central Henan Urban Agglomeration. Acta Sci. Nat. Univ. Pekin. 2018, 54, 407–414. [Google Scholar] [CrossRef]
- National Development and Reform Commission. Development plan for the Central Plains Urban Agglomeration. Available online: https://www.ndrc.gov.cn/xxgk/zcfb/ghwb/201701/t20170105_962218_ext.html (accessed on 1 May 2023).
- General Office of Henan Provincial People’s Government. Notice of the General Office of Henan Provincial People’s Government on Forwarding the Research Report on the State of Environmental Capacity of Henan Province 2011. Available online: https://www.henan.gov.cn/2011/10-28/244333.html (accessed on 1 May 2023).
- Task Force on National Greenhouse Gas Inventories (TFI). The 2019 Refinement to the 2006 IPCC Guidelines for National Greenhouse Gas Inventories; Intergovernmental panel on Climate Change (IPCC): Kyoto, Japan, 2019; pp. 12–15. [Google Scholar]
- Sharp, R.; Chaplin-Kramer, R.; Wood, S.; Guerry, A.; Douglass, J. InVEST 3.2.0 User’s Guide. Available online: https://storage.googleapis.com/releases.naturalcapitalproject.org/invest-userguide/latest/habitat_quality.html (accessed on 25 February 2023).
- Liu, M.; Fan, J.; Wang, Y.; Hu, C. Study on Ecosystem Service Value (ESV) Spatial Transfer in the Central Plains Urban Agglomeration in the Yellow River Basin, China. Int. J. Environ. Res. Public Health 2021, 18, 9751. [Google Scholar] [CrossRef]
- Wang, W.; Sun, T.; Wang, J.; Fu, Q.; An, C. Annual dynamic monitoring of regional ecosystem service value based on multi-source remote sensing data: A case of central plains urban agglomeration region. Sci. Geogr. Sin. 2019, 39, 680–687. [Google Scholar] [CrossRef]
- Wu, X.; Wang, S.; Fu, B.; Liu, Y.; Zhu, Y. Land use optimization based on ecosystem service assessment: A case study in the Yanhe watershed. Land Use Policy 2018, 72, 303–312. [Google Scholar] [CrossRef]
- Zhang, Z.; Gao, J.; Fan, X.; Yan, L.; Zhao, M. Response of ecosystem services to socioeconomic development in the Yangtze River Basin, China. Ecol. Indic. 2017, 72, 481–493. [Google Scholar] [CrossRef]
- Jiang, B.; Bai, Y.; Chen, J.; Alatalo, J.M.; Xu, X.; Liu, G.; Wang, Q. Land management to reconcile ecosystem services supply and demand mismatches-A case study in Shanghai municipality, China. Land Degrad. Dev. 2020, 31, 2684–2699. [Google Scholar] [CrossRef]
- Langemeyer, J.; Gómez-Baggethun, E.; Haase, D.; Scheuer, S.; Elmqvist, T. Bridging the gap between ecosystem service assessments and land-use planning through Multi-Criteria Decision Analysis (MCDA). Environ. Sci. Policy 2016, 62, 45–56. [Google Scholar] [CrossRef]
- Polasky, S.; Nelson, E.; Pennington, D.; Johnson, K.A. The Impact of Land-Use Change on Ecosystem Services, Biodiversity and Returns to Landowners: A Case Study in the State of Minnesota. Environ. Resour. Econ. 2011, 48, 219–242. [Google Scholar] [CrossRef]
- Fu, B.; Zhang, L. Land-use change and ecosystem services: Concepts, methods and progress. Prog. Geogr. 2014, 33, 441–446. [Google Scholar] [CrossRef]
- Da, Z.; Huang, Q.; He, C.; Dan, Y.; Liu, Z. Planning urban landscape to maintain key ecosystem services in a rapidly urbanizing area: A scenario analysis in the beijing-tianjin-hebei urban agglomeration, china. Ecol. Indic. 2018, 96, 559–571. [Google Scholar] [CrossRef]
- Jing, Y.; Chen, L.; Sun, R. A theoretical research framework for ecological security pattern construction based on ecosystem services supply and demand. Acta Ecol. Sin. 2018, 38, 4121–4131. [Google Scholar] [CrossRef]
- Heal, G.; Daily, G.C.; Ehrlich, P.R.; Salzman, J. Protecting natural capital through ecosystem service districts. Stanf. Environ. Law J. 2001, 20, 333–364. [Google Scholar] [CrossRef]
- Li, T.; Lv, Y.; Ma, L.; Li, P. Exploring cost-effective measure portfolios for ecosystem services optimization under large-scale vegetation restoration. J. Environ. Manag. 2023, 325, 116440. [Google Scholar] [CrossRef]
- Yue, W.; Hou, L.; Xia, H.; Wei, J.; Lu, Y. Territorially ecological restoration zoning and optimization strategy in Guyuan City of Ningxia, China: Based on the balance of ecosystem service supply and demand. Chin. J. Appl. Ecol. 2022, 33, 149–158. [Google Scholar] [CrossRef]
- Rong, Y.; Yan, Y.; Wang, C.; Zhang, W.; Zhu, J.; Lu, H.; Zheng, T. Construction and optimization of ecological network in Xiong’an New Area based on the supply and demand of ecosystem services. Acta Ecol. Sin. 2020, 40, 7197–7206. [Google Scholar]
- Wang, F.; Wang, M. Supply Optimization and Smart Development of Urban Waterfront Greenway under Multiple Ecosystem Service Demands. J. Chin. Urban For. 2022, 20, 51–56. [Google Scholar] [CrossRef]
- WU, C.; Qiu, D.; Gao, P.; Mu, X.; Zhao, G. Application of the InVEST model for assessing water yield and its response to precipitation and land use in the Weihe River Basin, China. J. Arid. Land 2022, 14, 426–440. [Google Scholar] [CrossRef]
- Han, B.; Ouyang, Z. The comparing and applying intelligent urban ecosystem management system(IUEMS) on ecosystem services assessment. Acta Ecol. Sin. 2021, 41, 8697–8708. [Google Scholar] [CrossRef]
- Wei, P.; Wu, M.; Jia, Y.; Gao, Y.; Xu, H.; Liu, Z.; Chen, S. Spatiotemporal variation of water yield in the upstream regions of the Shule River Basin using the InVEST Model. Acta Ecol. Sin. 2022, 13, 1250. [Google Scholar]
- Lu, Y.; Xu, X.; Li, J.; Feng, X.; Liu, L. Research on the spatio-temporal variation of carbon storage in the Xinjiang Tianshan Mountains based on the InVEST model. Arid. Zone Res. 2022, 39, 1896–1906. [Google Scholar] [CrossRef]
- Li, W.; Zhao, Z.; LV, S.; Zhao, W. Attenuation of Pollutants in Beipanjiang River Basin Calculated Using the InVEST Model. J. Irrig. Drain. 2022, 41, 105–113. [Google Scholar] [CrossRef]
- Li, B.; Chen, D.; Wu, S.; Zhou, S.; Wang, T.; Chen, H. Spatio-temporal assessment of urbanization impacts on ecosystem services: Case study of Nanjing City, China. Ecol. Indic. 2016, 71, 416–427. [Google Scholar] [CrossRef]
- Liu, M.; Fan, J.; Li, Y.; Sun, L. Simulating the Spatial Mismatch between Ecosystem Services’ (ESs’) Supply and Demand Based on Their Spatial Transfer in Urban Agglomeration Area, China. Land 2022, 11, 1192. [Google Scholar] [CrossRef]

















| Land Use/Land Cover | S1 | S2 | S3 | |||
|---|---|---|---|---|---|---|
| Area (km2) | Proportion (%) | Area (km2) | Proportion (%) | Area (km2) | Proportion (%) | |
| Water (river/lake) | 83 | 0.03 | 83 | 0.03 | 83 | 0.03 |
| Evergreen needleleaf forest | 5682 | 1.99 | 5682 | 1.99 | 5682 | 1.99 |
| Evergreen broadleaf forest | 2 | 0.00 | 2 | 0.00 | 2 | 0.00 |
| Deciduous needleleaf forest | 1 | 0.00 | 1 | 0.00 | 1 | 0.00 |
| Deciduous broadleaf forest | 43,621 | 15.26 | 43,621 | 15.26 | 43,621 | 15.26 |
| Mixed forest | 1430 | 0.50 | 1430 | 0.50 | 3379 | 1.18 |
| Closed shrublands | 50 | 0.02 | 46 | 0.02 | 50 | 0.02 |
| Open shrublands | 118 | 0.04 | 117 | 0.04 | 118 | 0.04 |
| Grasslands | 13,700 | 4.79 | 13,632 | 4.77 | 13,717 | 4.80 |
| Permanent wetlands | 5961 | 2.09 | 5916 | 2.07 | 5971 | 2.09 |
| Croplands | 172,289 | 60.27 | 170,664 | 59.70 | 170,801 | 59.75 |
| Urban and built-up areas | 41,226 | 14.42 | 42,980 | 15.03 | 40,739 | 14.25 |
| Mixed cropland/natural vegetation areas | 1390 | 0.49 | 1382 | 0.48 | 1389 | 0.49 |
| Barren or sparsely vegetated areas | 329 | 0.12 | 326 | 0.11 | 330 | 0.12 |
| Algorithm | Objective Function | Decision Variable | Constraints |
|---|---|---|---|
| NSGA II | , where ESi and ESj represent a pair of ecosystem services with a trade-off or synergistic relationship. | The land use/land cover area and layout of various spatial elements. | (1) Structural constraints Area: Structure: (e.g., slope, topography, soil, and hydrology) Xi: the area of class i land use type in the region; A: the total area of the study area (e.g., slope, topography, soil, and hydrology): the spatial distribution of class i land use types must meet the requirements of the slope, terrain, soil type, and hydrological conditions. (2) Service constraints: the class i ecosystem service; : the minimum value required for the i-th ecosystem service. |
| ES1: Water Supply Service (108 Cubic Metres) | ES2: Water Purification Service (104 tons) | ES3: Carbon Service (108 tons) | |
|---|---|---|---|
| S1 | 336.00 | 5.76 | 29.40 |
| S2 | 341.00 | 5.72 | 29.40 |
| S3 | 334.00 | 5.74 | 30.40 |
| ES1: Water Supply Service (108 Cubic Metres) | ES2: Water Purification Service (104 tons) | ES3: Carbon Service (108 tons) | |
|---|---|---|---|
| S1 | 527.62 | 11.4 | 10.72 |
| S2 | 535.73 | 11.4 | 10.00 |
| S3 | 523.30 | 11.4 | 10.04 |
| Land Use/Land Cover | Water Supply Service (108 cubic metre/km2) | Water Purification (N Retention) Service (104 tons/km2) | Carbon Service (108 tons/km2) |
|---|---|---|---|
| Water | 491.3 | 0.005 | 0 |
| Evergreen needleleaf forest | 51.3 | 135 | 72,000 |
| Evergreen broadleaf forest | 51.3 | 144 | 52,500 |
| Deciduous needleleaf forest | 51.3 | 144 | 56,400 |
| Deciduous broadleaf forest | 51.3 | 144 | 47,500 |
| Mixed forest | 51.3 | 144 | 52,500 |
| Closed shrublands | 158.24 | 100 | 29,000 |
| Open shrublands | 51.3 | 144 | 22,500 |
| Grasslands | 102.55 | 160 | 3400 |
| Permanent wetlands | 51.3 | 160 | 4000 |
| Croplands | 120.69 | 275 | 1800 |
| Urban and built-up areas | 412.51 | 36.25 | 0 |
| Mixed cropland/natural vegetation areas | 102.55 | 132.5 | 1400 |
| Barren or sparsely vegetated areas | 412.51 | 20 | 0 |
| Land Use/Land Cover | S1 | S2 | S3 | |||
|---|---|---|---|---|---|---|
| Area (km2) | Proportion (%) | Area (km2) | Proportion (%) | Area (km2) | Proportion (%) | |
| Water | 15,385 | 5.38 | 15,335 | 5.36 | 15,473 | 5.41 |
| Evergreen needleleaf forest | 15,415 | 5.39 | 15,446 | 5.40 | 15,471 | 5.41 |
| Evergreen broadleaf forest | 15,579 | 5.44 | 15,432 | 5.40 | 15,351 | 5.37 |
| Deciduous needleleaf forest | 15,288 | 5.34 | 15,382 | 5.38 | 15,524 | 5.43 |
| Deciduous broadleaf forest | 15,434 | 5.39 | 15,393 | 5.38 | 15,447 | 5.40 |
| Mixed forest | 15,648 | 5.47 | 15,440 | 5.40 | 15,532 | 5.43 |
| Closed shrublands | 15,497 | 5.42 | 15,351 | 5.37 | 15,239 | 5.33 |
| Open shrublands | 15,403 | 5.38 | 15,211 | 5.32 | 15,150 | 5.30 |
| Grasslands | 15,234 | 5.32 | 15,291 | 5.35 | 15,417 | 5.39 |
| Permanent wetlands | 14,956 | 5.23 | 14,811 | 5.18 | 15,250 | 5.33 |
| Croplands | 87,370 | 30.54 | 87,904 | 30.75 | 87,680 | 30.67 |
| Urban and built-up areas | 14,075 | 4.92 | 14,056 | 4.92 | 15,495 | 5.42 |
| Mixed cropland/natural vegetation | 12,544 | 4.38 | 12,300 | 4.30 | 15,385 | 5.38 |
| Barren or sparsely vegetated areas | 18,291 | 6.39 | 18,540 | 6.48 | 13,478 | 4.71 |
Disclaimer/Publisher’s Note: The statements, opinions and data contained in all publications are solely those of the individual author(s) and contributor(s) and not of MDPI and/or the editor(s). MDPI and/or the editor(s) disclaim responsibility for any injury to people or property resulting from any ideas, methods, instructions or products referred to in the content. |
© 2023 by the authors. Licensee MDPI, Basel, Switzerland. This article is an open access article distributed under the terms and conditions of the Creative Commons Attribution (CC BY) license (https://creativecommons.org/licenses/by/4.0/).
Share and Cite
Liu, M.; Fan, J.; Li, Y.; Mao, Q. Ecosystem Service Optimisation in the Central Plains Urban Agglomeration Based on Land Use Structure Adjustment. Land 2023, 12, 1430. https://doi.org/10.3390/land12071430
Liu M, Fan J, Li Y, Mao Q. Ecosystem Service Optimisation in the Central Plains Urban Agglomeration Based on Land Use Structure Adjustment. Land. 2023; 12(7):1430. https://doi.org/10.3390/land12071430
Chicago/Turabian StyleLiu, Min, Jianpeng Fan, Yuanzheng Li, and Qizheng Mao. 2023. "Ecosystem Service Optimisation in the Central Plains Urban Agglomeration Based on Land Use Structure Adjustment" Land 12, no. 7: 1430. https://doi.org/10.3390/land12071430
APA StyleLiu, M., Fan, J., Li, Y., & Mao, Q. (2023). Ecosystem Service Optimisation in the Central Plains Urban Agglomeration Based on Land Use Structure Adjustment. Land, 12(7), 1430. https://doi.org/10.3390/land12071430

