Evolution of Ecosystem Service Values and the Response to Landscape Pattern Change in the Huaihe River Eco-Economic Belt
Abstract
1. Introduction
2. Study Area, Data, and Methods
2.1. Study Area
2.2. Data and Methods
3. Results
3.1. Temporal and Spatial Changes in Ecosystem Service Values
3.2. Changes in the Total ESVs and Proportion of Ecological Services
3.3. Changes in Landscape Indices
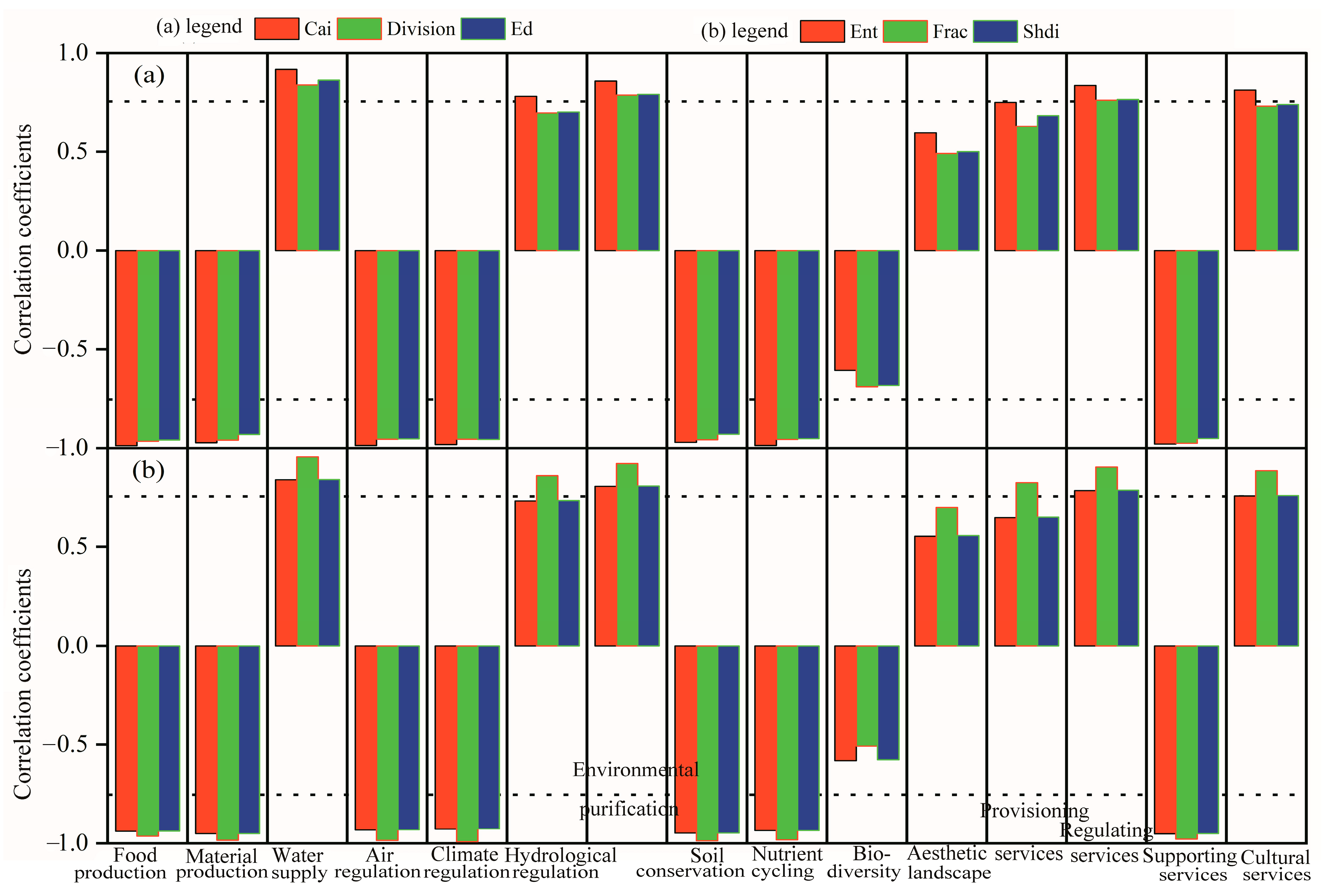
3.4. Impact of Landscape Pattern Indices on Ecosystem Service Values
4. Discussion
5. Conclusions
Author Contributions
Funding
Data Availability Statement
Acknowledgments
Conflicts of Interest
References
- Millennium Ecosystem Assessment. Ecosystems and Human Well-Being: Synthesis; Island Press: Washington, DC, USA, 2005; Available online: https://www.millenniumassessment.org/documents/document.356.aspx.pdf (accessed on 4 May 2023).
- Daily, G.C. Nature’s Services: Societal Dependence on Natural Ecosystems; Island Press: Washington, DC, USA, 1997. [Google Scholar]
- Costanza, R.; d’Arge, R.; de Groot, R.; Farber, S.; Grasso, M.; Hannon, B.; Limburg, K.; Naeem, S.; O’Neill, R.V.; Paruelo, J.; et al. The value of the world’s ecosystem services and natural capital. Nature 1997, 387, 253–260. [Google Scholar] [CrossRef]
- Foley, J.A.; DeFries, R.; Asner, G.P.; Barford, C.; Bonan, G.; Carpenter, S.R.; Chapin, F.S.; Coe, M.T.; Daily, G.C.; Gibbs, H.K.; et al. Global consequences of land use. Science 2005, 309, 570–574. [Google Scholar] [CrossRef]
- Daily, G.C.; Polasky, S.; Goldstein, J.; Kareiva, P.M.; Mooney, H.A.; Pejchar, L.; Ricketts, T.H.; Salzman, J.; Shallenberger, R. The value of nature and the nature of value. Science 2000, 289, 395–396. [Google Scholar] [CrossRef] [PubMed]
- Tallis, H.; Kareiva, P.; Marvier, M.; Chang, A. An ecosystem services framework to support both practical conservation and economic development. Proc. Natl. Acad. Sci. USA 2008, 105, 9457–9464. [Google Scholar] [CrossRef]
- Costanza, R.; de Groot, R.; Sutton, P.; van der Ploeg, S.; Anderson, S.J.; Kubiszewski, I.; Farber, S.; Turner, R.K. Changes in the global value of ecosystem services. Glob. Environ. Change 2014, 26, 152–158. [Google Scholar] [CrossRef]
- Meraj, G.; Singh, S.K.; Kanga, S.; Islam, S.M.N. Modeling on comparison of ecosystem services concepts, tools, methods and their ecological-economic implications: A review. Model. Earth Syst. Environ. 2022, 8, 15–34. [Google Scholar] [CrossRef]
- Wainger, L.A.; King, D.M.; Mack, R.N.; Price, E.W.; Maslin, T. Can the concept of ecosystem services be practically applied to improve natural resource management decisions? Ecol. Econ. 2010, 69, 978–987. [Google Scholar] [CrossRef]
- Zhao, X.; Wang, J.; Su, J.; Sun, W. Ecosystem service value evaluation method in a complex ecological environment: A case study of Gansu Province, China. PLoS ONE 2021, 16, e0240272. [Google Scholar] [CrossRef]
- Yang, Y.; Song, G.; Lu, S. Study on the ecological protection redline (EPR) demarcation process and the ecosystem service value (ESV) of the EPR zone: A case study on the city of Qiqihaer in China. Ecol. Indic. 2020, 109, 105754. [Google Scholar] [CrossRef]
- Xie, G.; Zhang, C.; Zhen, L.; Zhang, L. Dynamic changes in the value of China’s ecosystem services. Ecosyst. Serv. 2017, 26, 146–154. [Google Scholar] [CrossRef]
- Chen, H.; Yan, W.; Li, Z.; Wende, W.; Xiao, S.; Wan, S.; Li, S. Spatial patterns of associations among ecosystem services across different spatial scales in metropolitan areas: A case study of Shanghai, China. Ecol. Indic. 2022, 136, 108682. [Google Scholar] [CrossRef]
- Boithias, L.; Terrado, M.; Corominas, L.; Ziv, G.; Kumar, V.; Marqués, M.; Acuña, V. Analysis of the uncertainty in the monetary valuation of ecosystem services—A case study at the river basin scale. Sci. Total Environ. 2016, 543, 683–690. [Google Scholar] [CrossRef] [PubMed]
- Jia, Y.; Liu, Y.; Zhang, S. Evaluation of agricultural ecosystem service value in arid and semiarid regions of northwest China based on the equivalent factor method. Environ. Process. 2021, 8, 713–727. [Google Scholar] [CrossRef]
- Kang, N.; Hou, L.; Huang, J.; Liu, H. Ecosystem services valuation in China: A meta-analysis. Sci. Total Environ. 2022, 809, 151122. [Google Scholar] [CrossRef]
- Wang, Z.; Cao, J.; Zhu, C.; Yang, H. The impact of land use change on ecosystem service value in the upstream of Xiong’an new area. Sustainability 2020, 12, 5707. [Google Scholar] [CrossRef]
- Daily, G.C.; Polasky, S.; Goldstein, J.; Kareiva, P.M.; Mooney, H.A.; Pejchar, L.; Ricketts, T.H.; Salzman, J.; Shallenberger, R. Ecosystem services in decision making: Time to deliver. Front. Ecol. Environ. 2009, 7, 21–28. [Google Scholar] [CrossRef]
- Nelson, E.; Mendoza, G.; Regetz, J.; Polasky, S.; Tallis, H.; Cameron, D.R.; Chan, K.M.A.; Daily, G.C.; Goldstein, J.; Kareiva, P.M.; et al. Modeling multiple ecosystem services, biodiversity conservation, commodity production, and tradeoffs at landscape scales. Front. Ecol. Environ. 2009, 7, 4–11. [Google Scholar] [CrossRef]
- Bagstad, K.J.; Semmens, D.J.; Waage, S.; Winthrop, R.; Jaworski, D. Ecosystem services valuation to support decisionmaking on public lands—A case study of the San Pedro River watershed in Arizona. J. Environ. Manag. 2013, 117, 211–221. [Google Scholar]
- Zhou, Z.; Sun, X.; Zhang, X.; Wang, Y. Inter-regional ecological compensation in the Yellow River Basin based on the value of ecosystem services. J. Environ. Manag. 2022, 322, 116073. [Google Scholar] [CrossRef]
- Yu, H.; Chen, C.; Shao, C. Spatial and temporal changes in ecosystem service driven by ecological compensation in the Xin’an River Basin, China. Ecol. Indic. 2023, 146, 109798. [Google Scholar] [CrossRef]
- Xing, L.; Xue, M.; Wang, X. Spatial correction of ecosystem service value and the evaluation of eco-efficiency: A case for China’s provincial level. Ecol. Indic. 2018, 95, 841–850. [Google Scholar] [CrossRef]
- Wen, Y.; Li, H.; Zhang, X.; Li, T. Ecosystem services in Jiangsu province: Changes in the supply and demand patterns and its influencing factors. Front. Env. Sci. 2022, 10, 931735. [Google Scholar] [CrossRef]
- Luo, Q.; Zhou, J.; Li, Z.; Yu, B. Spatial differences of ecosystem services and their driving factors: A comparation analysis among three urban agglomerations in China’s Yangtze River Economic Belt. Sci. Total Environ. 2020, 725, 138452. [Google Scholar] [CrossRef] [PubMed]
- Kang, L.; Jia, Y.; Zhang, S. Spatiotemporal distribution and driving forces of ecological service value in the Chinese section of the “Silk Road Economic Belt”. Ecol. Indic. 2022, 141, 109074. [Google Scholar] [CrossRef]
- Xing, L.; Zhu, Y.; Wang, J. Spatial spillover effects of urbanization on ecosystem services value in Chinese cities. Ecol. Indic. 2021, 121, 107028. [Google Scholar] [CrossRef]
- Li, Y.; Zhan, J.; Liu, Y.; Zhang, F.; Zhang, M. Response of ecosystem services to land use and cover change: A case study in Chengdu City. Resour. Conserv. Recy. 2018, 132, 291–300. [Google Scholar] [CrossRef]
- Raudsepp-Hearne, C.; Peterson, G.D.; Bennett, E.M. Ecosystem Service Bundles for Analyzing Tradeoffs in Diverse Landscapes. Proc. Natl. Acad. Sci. USA 2010, 107, 5242–5247. [Google Scholar] [CrossRef]
- Ricketts, T.H.; Daily, G.C.; Ehrlich, P.R.; Michener, C.D. Economic Value of Tropical Forest to Coffee Production. Proc. Natl. Acad. Sci. USA 2004, 101, 12579–12582. [Google Scholar] [CrossRef]
- Kremen, C.; Williams, N.M.; Thorp, R.W.; Toyama, N. Crop Pollination from Native Bees at Risk from Agricultural Intensification. Proc. Natl. Acad. Sci. USA 2002, 99, 16812–16816. [Google Scholar] [CrossRef]
- Fahrig, L. Effects of Habitat Fragmentation on Biodiversity. Annu. Rev. Ecol. Evol. Syst. 2003, 34, 487–515. [Google Scholar] [CrossRef]
- Grêt-Regamey, A.; Rabe, S.E.; Crespo, R.; Lautenbach, S.; Ryffel, A.; Schlup, B. On the importance of non-linear relationships between landscape patterns and the sustainable provision of ecosystem services. Landsc. Ecol. 2014, 29, 201–212. [Google Scholar] [CrossRef]
- Wang, H.; Zhang, M.; Wang, C.; Wang, K.; Wang, C.; Li, Y.; Zhou, Y. Spatial and temporal changes of landscape patterns and their effects on ecosystem services in the huaihe river basin, China. Land 2022, 11, 513. [Google Scholar] [CrossRef]
- Wen, J.; Li, R. Temporal and spatial evolution of ecosystem service value and its response to landscape pattern change in Guizhou Province, China. Chin. J. Appl. Ecol. 2022, 33, 3075–3086. (In Chinese) [Google Scholar]
- Shao, D.; Wu, D. Analysis on the effect of landscape fragmentation on ecosystem service value: A case study of Suzhou. Resour. Environ. Yangtze Basin 2020, 29, 2436–2449. (In Chinese) [Google Scholar]
- Zheng, B.; Huang, Q.; Tao, L.; Xu, X.; Ye, H. Landscape pattern change and its impacts on the ecosystem services value in southern Jiangxi Province. Acta Ecol. Sin. 2021, 41, 5940–5949. (In Chinese) [Google Scholar]
- Xie, G.; Zhang, C.; Zhang, L.; Zhao, Y. Improvement of the evaluation method for ecosystem service value based on per unit area. J. Nat. Resour. 2015, 30, 1243–1254. (In Chinese) [Google Scholar]
- Su, K.; Wei, D.; Lin, W. Evaluation of ecosystem services value and its implications for policy making in China–A case study of Fujian province. Ecol. Indic. 2020, 108, 105752. [Google Scholar] [CrossRef]
- Pan, N.; Guan, Q.; Wang, Q.; Sun, Y.; Li, H.; Ma, Y. Spatial differentiation and driving mechanisms in ecosystem service value of arid region: A case study in the middle and lower reaches of Shule River Basin, NW China. J. Clean. Prod. 2021, 319, 128718. [Google Scholar] [CrossRef]
- Hesselbarth, M.H.; Kuemmerle, T. landscapemetrics: An open-source R tool to calculate landscape metrics. Ecography 2018, 41, 1623–1632. [Google Scholar] [CrossRef]
- Nowosad, J.; Stepinski, T.F. Information theory as a consistent framework for quantification and classification of landscape patterns. Landsc. Ecol. 2019, 34, 2091–2101. [Google Scholar] [CrossRef]
- Fu, Y.; He, G.; Zhao, S.; Li, J. Spatio-Temporal evolution and simulation prediction of ecosystem service value in Huaihe River Basin. Pol. J. Environ. Stud. 2023. [Google Scholar] [CrossRef] [PubMed]
- Sang, S.; Wu, T.; Wang, S.; Yang, Y.; Liu, Y.; Li, M.; Zhao, Y. Ecological safety assessment and analysis of regional spatiotemporal differences based on earth observation satellite data in support of SDGs: The case of the huaihe river basin. Remote Sens. 2021, 13, 3942. [Google Scholar] [CrossRef]
- Su, S.; Xiao, R.; Jiang, Z.; Zhang, Y. Characterizing landscape pattern and ecosystem service value changes for urbanization impacts at an eco-regional scale. Appl. Geogr. 2012, 34, 295–305. [Google Scholar] [CrossRef]
- Gutierrez-Arellano, C.; Mulligan, M. A review of regulation ecosystem services and disservices from faunal populations and potential impacts of agriculturalization on their provision, globally. Nat. Conserv. 2018, 30, 1–39. [Google Scholar] [CrossRef]
- Qi, Z.F.; Ye, X.Y.; Zhang, H.; Yu, Z.L. Land fragmentation and variation of ecosystem services in the context of rapid urbanization: The case of Taizhou city, China. Stoch. Environ. Res. Risk Assess. 2014, 28, 843–855. [Google Scholar] [CrossRef]
- Zhuang, Z.; Li, C.; Hsu, W.L.; Gu, S.; Hou, X.; Zhang, C. Spatiotemporal changes in the supply and demand of ecosystem services in China’s Huai River basin and their influencing factors. Water 2022, 14, 2559. [Google Scholar] [CrossRef]
- Jiang, W.; Wu, T.; Fu, B. The value of ecosystem services in China: A systematic review for twenty years. Ecosyst. Serv. 2021, 52, 101365. [Google Scholar] [CrossRef]
- Xie, L.; Wang, H.; Liu, S. The ecosystem service values simulation and driving force analysis based on land use/land cover: A case study in inland rivers in arid areas of the Aksu River Basin, China. Ecol. Indic. 2022, 138, 108828. [Google Scholar] [CrossRef]
- Yang, Q.; Meng, G.T.; Gu, L.P.; Fang, B.; Zhang, Z.H.; Cai, Y.X. A systematic review on the methods of Grassland Ecosystem Services value assessment. Ecol. Sci. 2021, 40, 210–217. (In Chinese) [Google Scholar]
- Zhang, B.; Wang, Y.; Li, J.; Zheng, L. Degradation or restoration? the temporal-spatial evolution of ecosystem services and its determinants in the Yellow River Basin, China. Land 2022, 11, 863. [Google Scholar] [CrossRef]










| Drylands | Paddy Land | Forest | Grassland | Water | Urban Land | Unused Land | ||
|---|---|---|---|---|---|---|---|---|
| Provisioning services | Food production | 1280 | 2048 | 380 | 452 | 1205 | 0 | 0 |
| Materials production | 602 | 136 | 873 | 670 | 346 | 0 | 0 | |
| Water supply regulation | 30 | 3960 | 452 | 369 | 12,483 | 0 | 0 | |
| Regulating services | Air regulation | 1009 | 1671 | 2872 | 2342 | 1159 | 0 | 30 |
| Climate regulation | 542 | 858 | 8595 | 6197 | 3448 | 0 | 0 | |
| Environmental | 151 | 256 | 2519 | 2048 | 8357 | 0 | 151 | |
| Hydrological purification | 407 | 4096 | 5624 | 4540 | 153,956 | 0 | 45 | |
| Supporting services | Soil conservation | 1551 | 15 | 3497 | 2854 | 1400 | 0 | 30 |
| Nutrient cycling | 181 | 286 | 267 | 218 | 105 | 0 | 0 | |
| Biodiversity | 196 | 316 | 3185 | 2598 | 3840 | 0 | 30 | |
| Cultural services | Aesthetic landscapes | 90 | 136 | 1397 | 1144 | 2846 | 0 | 15 |
| Index | Calculation | Ecological Meaning | Category |
|---|---|---|---|
| Mean of core area index (Cai) | Cai = mean (CAI[patchij]) CAI [patchij] refers to the core area index of each patch (or land cover type) in a landscape. | Cai is the percentage of a patch’s area that is comprised of core habitat. When there is no core habitat within a patch, Cai = 0, and as the proportion of core habitats within a patch increases, Cai approaches 100. | Core area metric |
| Landscape division index (Division) | Here, aij represents the area of a patch in square meters, while A represents the total landscape area in square meters. A division value of 0 indicates that there is only one patch, while a division value of 1 implies that all patches consist of a single cell. | This is used to reveal the degree of isolation of individual patches in a landscape type. The larger the value, the higher the patch isolation, the weaker the ability to resist risks, and the lower the landscape security. | Aggregation metric |
| Edge density (Ed) | Here, E represents the total length of the edge in the landscape, measured in meters, while A represents the total area of the landscape in square meters. This index represents the length of the edge between a patch of a particular landscape component per unit area and the adjacent heterogeneous patches. | Ed is a measure of the complexity of landscape components and reflects the degree of fragmentation of landscape components. Smaller values indicate fewer and larger patches of landscape components, enhanced connectivity of landscape components, and reduced landscape fragmentation. Larger values indicate more patches of components in contact with adjacent heterogeneous patches, resulting in complex edges and distinct fragmentation. | Area and Edge metric |
| Fractal dimension (Fd) | Fd represents the fractal dimension, Pi represents the perimeter of the patch, and Ai represents the area of the patch. | Fd is a theoretical value between 1.0 and 2.0, and the higher the value, the more unstable the spatial structure. In ecological terms, as the fractal dimension increases, the edges of patches become more complex and are more susceptible to human disturbance. | Shape metric |
| Shannon’s diversity index (Shdi) | Pi represents the proportion of the area of patch type i in the landscape, and this index ranges from Shdi ≥ 0. | When there is only one patch in the entire landscape, the value of Shdi is 0. With the increase in patch types and the balanced distribution of their areas in the landscape, the value of Shdi increases. The higher the value of Shdi, the more diverse the patch types in a landscape system, the higher the degree of fragmentation, and the greater the uncertainty. | Diversity metric |
| Marginal entropy index (Ent) | Measure the diversity of landscapes, as detailed in reference [42] | The marginal entropy index is an indicator commonly used to evaluate the level of landscape fragmentation. It is typically utilized to analyze the spatial distribution and proportion of various patch types within a landscape. It reflects the complexity of patch boundaries and the spatial relationships between patches. The higher the value, the more fragmented the landscape structure and the lower the stability of the ecosystem. | Complexity metric |
| Year | ESVs (108 Yuan) | Percentage (%) | |||||||
|---|---|---|---|---|---|---|---|---|---|
| Provisioning Services | Regulating Services | Supporting Services | Cultural Services | Total ESVs | Provisioning Services | Regulating Services | Supporting Services | Cultural Services | |
| 1980 | 407.45 | 3532.35 | 583.89 | 103.00 | 4626.69 | 8.81 | 76.35 | 12.62 | 2.23 |
| 1990 | 396.23 | 3408.06 | 580.12 | 101.09 | 4485.50 | 8.83 | 75.98 | 12.93 | 2.25 |
| 2000 | 405.43 | 3508.35 | 578.10 | 102.03 | 4593.91 | 8.83 | 76.37 | 12.58 | 2.22 |
| 2010 | 419.88 | 3772.66 | 567.50 | 104.47 | 4864.51 | 8.63 | 77.55 | 11.67 | 2.15 |
| 2020 | 414.61 | 3717.37 | 561.68 | 103.29 | 4796.95 | 8.64 | 77.49 | 11.71 | 2.15 |
| Metric | 1980 | 1990 | 2000 | 2010 | 2020 |
|---|---|---|---|---|---|
| Cai | 0.35 | 0.36 | 0.40 | 0.46 | 0.53 |
| Division | 0.80 | 0.81 | 0.81 | 0.82 | 0.83 |
| Ed | 6.71 | 6.74 | 6.83 | 6.87 | 6.95 |
| Ent | 2.05 | 2.06 | 2.05 | 2.08 | 2.09 |
| Frac | 1.02 | 1.02 | 1.02 | 1.02 | 1.02 |
| Shdi | 1.42 | 1.43 | 1.43 | 1.45 | 1.45 |
Disclaimer/Publisher’s Note: The statements, opinions and data contained in all publications are solely those of the individual author(s) and contributor(s) and not of MDPI and/or the editor(s). MDPI and/or the editor(s) disclaim responsibility for any injury to people or property resulting from any ideas, methods, instructions or products referred to in the content. |
© 2023 by the authors. Licensee MDPI, Basel, Switzerland. This article is an open access article distributed under the terms and conditions of the Creative Commons Attribution (CC BY) license (https://creativecommons.org/licenses/by/4.0/).
Share and Cite
Wang, Z.; Wang, H.; Liu, Z.; Feng, R.; Pan, Y. Evolution of Ecosystem Service Values and the Response to Landscape Pattern Change in the Huaihe River Eco-Economic Belt. Land 2023, 12, 1405. https://doi.org/10.3390/land12071405
Wang Z, Wang H, Liu Z, Feng R, Pan Y. Evolution of Ecosystem Service Values and the Response to Landscape Pattern Change in the Huaihe River Eco-Economic Belt. Land. 2023; 12(7):1405. https://doi.org/10.3390/land12071405
Chicago/Turabian StyleWang, Ziyun, Huaijun Wang, Zhenjie Liu, Ru Feng, and Yingping Pan. 2023. "Evolution of Ecosystem Service Values and the Response to Landscape Pattern Change in the Huaihe River Eco-Economic Belt" Land 12, no. 7: 1405. https://doi.org/10.3390/land12071405
APA StyleWang, Z., Wang, H., Liu, Z., Feng, R., & Pan, Y. (2023). Evolution of Ecosystem Service Values and the Response to Landscape Pattern Change in the Huaihe River Eco-Economic Belt. Land, 12(7), 1405. https://doi.org/10.3390/land12071405

