Exploring Switzerland’s Land Cover Change Dynamics Using a National Statistical Survey
Abstract
1. Introduction
2. Materials and Methods
2.1. Study Area
2.2. Data
2.3. Change Detection
2.4. Intensity of LC Change
2.5. Assessment of Change in Spatial Pattern of Land Cover
3. Results
3.1. Land Cover Change
3.2. Change Intensity over Time
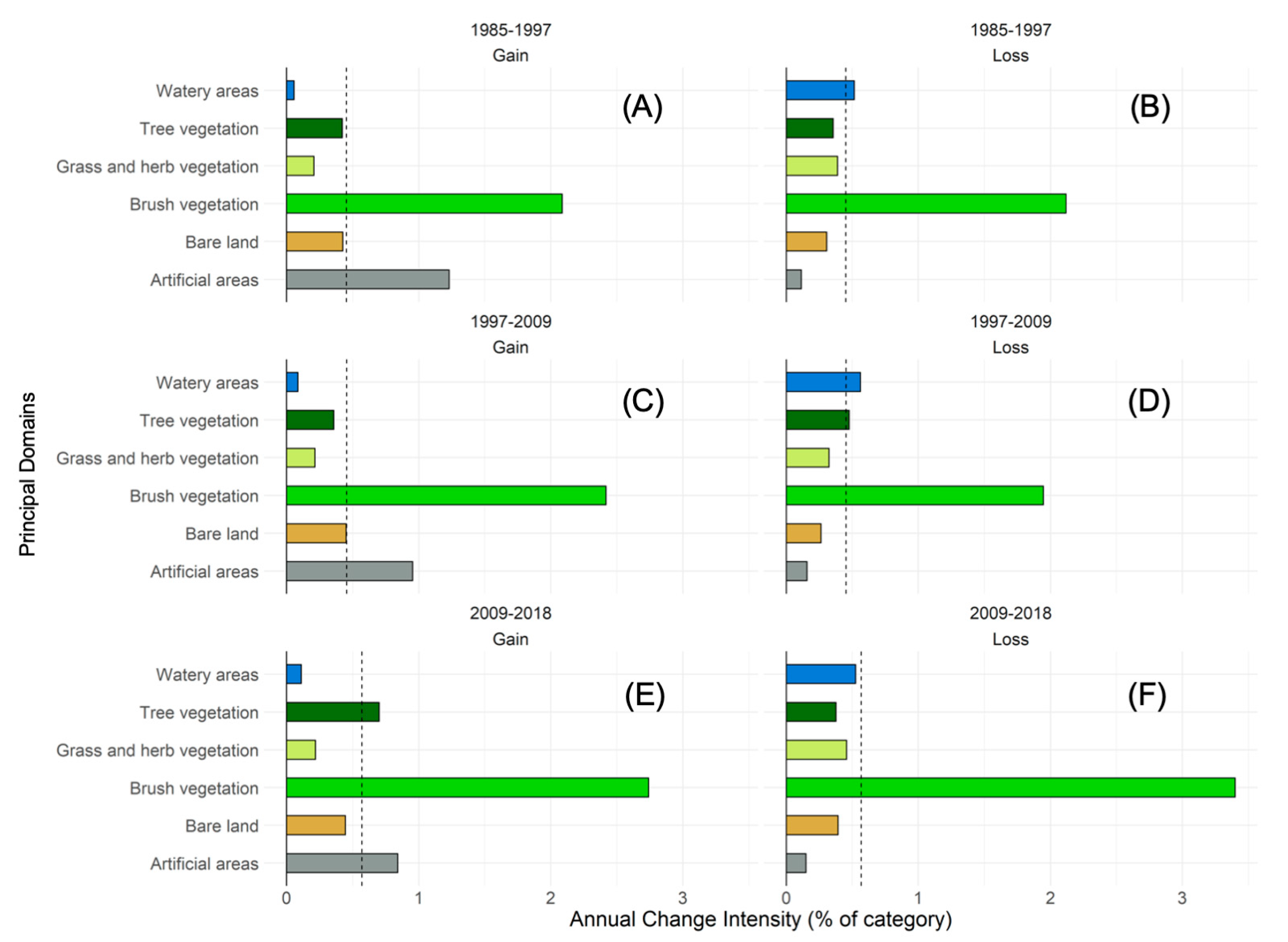
3.3. Category Intensity
3.4. Key LC Transitions
3.5. Change in Spatial Patterns
4. Discussion
4.1. Land Cover Dynamics in Switzerland
4.2. The Need for Higher Spatial & Temporal National Land Cover Data
4.3. Perspectives
5. Conclusions
Supplementary Materials
Author Contributions
Funding
Data Availability Statement
Acknowledgments
Conflicts of Interest
References
- UNCCD. Global Land Outlook: Land Restoration for Recovery and Resilience; UNCCD: Bonn, Germany, 2022; p. 204. [Google Scholar]
- Metternicht, G.; Akhtar-Schuster, M.; Castillo, V. Implementing Land Degradation Neutrality: From Policy Challenges to Policy Opportunities for National Sustainable Development. Environ. Sci. Policy 2019, 100, 189–191. [Google Scholar] [CrossRef]
- Comber, A.J. Land Use or Land Cover? J. Land Use Sci. 2008, 3, 199–201. [Google Scholar] [CrossRef]
- Bojinski, S.; Verstraete, M.; Peterson, T.C.; Richter, C.; Simmons, A.; Zemp, M. The Concept of Essential Climate Variables in Support of Climate Research, Applications, and Policy. Bull. Am. Meteorol. Soc. 2014, 95, 1431–1443. [Google Scholar] [CrossRef]
- Jetz, W.; McGeoch, M.A.; Guralnick, R.; Ferrier, S.; Beck, J.; Costello, M.J.; Fernandez, M.; Geller, G.N.; Keil, P.; Merow, C.; et al. Essential Biodiversity Variables for Mapping and Monitoring Species Populations. Nat. Ecol. Evol. 2019, 3, 539–551. [Google Scholar] [CrossRef]
- Pereira, H.M.; Leadley, P.W.; Proenca, V.; Alkemade, R.; Scharlemann, J.P.W.; Fernandez-Manjarres, J.F.; Araujo, M.B.; Balvanera, P.; Biggs, R.; Cheung, W.W.L.; et al. Scenarios for Global Biodiversity in the 21st Century. Science 2010, 330, 1496–1501. [Google Scholar] [CrossRef] [PubMed]
- Knöfel, P.; Hovenbitzer, M. Introduction of the German Landscape Change Detection Service. In Proceedings of the 2018 IEEE IGARSS Conference, Valencia, Spain, 22–27 July 2018; pp. 806–809. [Google Scholar]
- Hersperger, A.M.; Bürgi, M. Going beyond Landscape Change Description: Quantifying the Importance of Driving Forces of Landscape Change in a Central Europe Case Study. Land Use Policy 2009, 26, 640–648. [Google Scholar] [CrossRef]
- Dale, V.H. The Relationship Between Land-Use Change and Climate Change. Ecol. Appl. 1997, 7, 753–769. [Google Scholar] [CrossRef]
- Foley, J.A.; DeFries, R.; Asner, G.P.; Barford, C.; Bonan, G.; Carpenter, S.R.; Chapin, F.S.; Coe, M.T.; Daily, G.C.; Gibbs, H.K.; et al. Global Consequences of Land Use. Science 2005, 309, 570–574. [Google Scholar] [CrossRef]
- Chaves, M.E.D.; Soares, A.R.; Mataveli, G.A.V.; Sánchez, A.H.; Sanches, I.D. A Semi-Automated Workflow for LULC Mapping via Sentinel-2 Data Cubes and Spectral Indices. Automation 2023, 4, 94–109. [Google Scholar] [CrossRef]
- Grêt-Regamey, A.; Altwegg, J.; Sirén, E.A.; van Strien, M.J.; Weibel, B. Integrating Ecosystem Services into Spatial Planning—A Spatial Decision Support Tool. Landsc. Urban Plan. 2017, 165, 206–219. [Google Scholar] [CrossRef]
- Hermosilla, T.; Wulder, M.A.; White, J.C.; Coops, N.C. Land Cover Classification in an Era of Big and Open Data: Optimizing Localized Implementation and Training Data Selection to Improve Mapping Outcomes. Remote Sens. Environ. 2022, 268, 112780. [Google Scholar] [CrossRef]
- Munsi, M.; Malaviya, S.; Oinam, G.; Joshi, P.K. A Landscape Approach for Quantifying Land-Use and Land-Cover Change (1976–2006) in Middle Himalaya. Reg. Environ. Chang. 2010, 10, 145–155. [Google Scholar] [CrossRef]
- Rutherford, G.N.; Bebi, P.; Edwards, P.J.; Zimmermann, N.E. Assessing Land-Use Statistics to Model Land Cover Change in a Mountainous Landscape in the European Alps. Ecol. Model. 2008, 212, 460–471. [Google Scholar] [CrossRef]
- Romero-Ruiz, M.H.; Flantua, S.G.A.; Tansey, K.; Berrio, J.C. Landscape Transformations in Savannas of Northern South America: Land Use/Cover Changes since 1987 in the Llanos Orientales of Colombia. Appl. Geogr. 2012, 32, 766–776. [Google Scholar] [CrossRef]
- Pontius, R.G.; Shusas, E.; McEachern, M. Detecting Important Categorical Land Changes While Accounting for Persistence. Agric. Ecosyst. Environ. 2004, 101, 251–268. [Google Scholar] [CrossRef]
- Braimoh, A.K. Random and Systematic Land-Cover Transitions in Northern Ghana. Agric. Ecosyst. Environ. 2006, 113, 254–263. [Google Scholar] [CrossRef]
- Teixeira, Z.; Teixeira, H.; Marques, J.C. Systematic Processes of Land Use/Land Cover Change to Identify Relevant Driving Forces: Implications on Water Quality. Sci. Total Environ. 2014, 470–471, 1320–1335. [Google Scholar] [CrossRef]
- Cojoc, E.I.; Postolache, C.; Olariu, B.; Beierkuhnlein, C. Effects of Anthropogenic Fragmentation on Primary Productivity and Soil Carbon Storage in Temperate Mountain Grasslands. Environ. Monit. Assess. 2016, 188, 653. [Google Scholar] [CrossRef]
- Giuliani, G.; Rodila, D.; Külling, N.; Maggini, R.; Lehmann, A. Downscaling Switzerland Land Use/Land Cover Data Using Nearest Neighbors and an Expert System. Land 2022, 11, 615. [Google Scholar] [CrossRef]
- Artmann, M.; Bastian, O.; Grunewald, K. Using the Concepts of Green Infrastructure and Ecosystem Services to Specify Leitbilder for Compact and Green Cities—The Example of the Landscape Plan of Dresden (Germany). Sustainability 2017, 9, 198. [Google Scholar] [CrossRef]
- Bateman, I.J.; Harwood, A.R.; Mace, G.M.; Watson, R.T.; Abson, D.J.; Andrews, B.; Binner, A.; Crowe, A.; Day, B.H.; Dugdale, S.; et al. Bringing Ecosystem Services into Economic Decision-Making: Land Use in the United Kingdom. Science 2013, 341, 45–50. [Google Scholar] [CrossRef] [PubMed]
- Johnson, J.A.; Jones, S.K.; Wood, S.L.R.; Chaplin-Kramer, R.; Hawthorne, P.L.; Mulligan, M.; Pennington, D.; DeClerck, F.A. Mapping Ecosystem Services to Human Well-Being: A Toolkit to Support Integrated Landscape Management for the SDGs. Ecol. Appl. 2019, 29, e01985. [Google Scholar] [CrossRef]
- Swiss Federal Statistical Office. The Changing Face of Land Use: Land Use Statistics of Switzerland; SFO: Neuchâtel, Switzerland, 2001; p. 32.
- Beyeler, N.; Douard, R.; Jeannet, A.; Willi-Tobler, L.; Weibel, F. Land Use in Switzerland: Results of the Swiss Land Use Statistics 2018; Land use in Switzerland; Bundesamt für Statistik (BFS): Neuchâtel, Switzerland, 2021; ISBN 978-3-303-02130-9. [Google Scholar]
- Altwegg, D. L’utilisation du sol en Suisse; Bundesamt für Statistik (BFS): Neuchâtel, Switzerland, 2015; ISBN 978-3-303-02126-2. [Google Scholar]
- Bolliger, J.; Hagedorn, F.; Leifeld, J.; Böhl, J.; Zimmermann, S.; Soliva, R.; Kienast, F. Effects of Land-Use Change on Carbon Stocks in Switzerland. Ecosystems 2008, 11, 895–907. [Google Scholar] [CrossRef]
- Bolliger, J.; Kienast, F.; Soliva, R.; Rutherford, G. Spatial Sensitivity of Species Habitat Patterns to Scenarios of Land Use Change (Switzerland). Landsc. Ecol. 2007, 22, 773–789. [Google Scholar] [CrossRef]
- Price, B.; Kienast, F.; Seidl, I.; Ginzler, C.; Verburg, P.H.; Bolliger, J. Future Landscapes of Switzerland: Risk Areas for Urbanisation and Land Abandonment. Appl. Geogr. 2015, 57, 32–41. [Google Scholar] [CrossRef]
- Loran, C.; Munteanu, C.; Verburg, P.H.; Schmatz, D.R.; Bürgi, M.; Zimmermann, N.E. Long-Term Change in Drivers of Forest Cover Expansion: An Analysis for Switzerland (1850–2000). Reg. Environ. Chang. 2017, 17, 2223–2235. [Google Scholar] [CrossRef]
- Pazúr, R.; Huber, N.; Weber, D.; Ginzler, C.; Price, B. A National Extent Map of Cropland and Grassland for Switzerland Based on Sentinel-2 Data. Earth Syst. Sci. Data 2022, 14, 295–305. [Google Scholar] [CrossRef]
- Price, B.; Huber, N.; Nussbaumer, A.; Ginzler, C. The Habitat Map of Switzerland: A Remote Sensing, Composite Approach for a High Spatial and Thematic Resolution Product. Remote Sens. 2023, 15, 643. [Google Scholar] [CrossRef]
- Bär, V.; Akinyemi, F.O.; Ifejika Speranza, C. Land Cover Degradation in the Reference and Monitoring Periods of the SDG Land Degradation Neutrality Indicator for Switzerland. Ecol. Indic. 2023, 151, 110252. [Google Scholar] [CrossRef]
- Gómez Giménez, M.; de Jong, R.; Keller, A.; Rihm, B.; Schaepman, M.E. Studying the Influence of Nitrogen Deposition, Precipitation, Temperature, and Sunshine in Remotely Sensed Gross Primary Production Response in Switzerland. Remote Sens. 2019, 11, 1135. [Google Scholar] [CrossRef]
- Gonseth, Y.; Wohlgemuth, W.; Sansonnens, B.; Buttler, A. Les Régions Biogéographiques de La Suisse—Explications et Division Standard; Cahier de l’Environnement; Office Fédéral de l’Environnement, des Forêts et du Paysage: Bern, The Switzerland, 2001. [Google Scholar]
- Vittoz, P.; Cherix, D.; Gonseth, Y.; Lubini, V.; Maggini, R.; Zbinden, N.; Zumbach, S. Climate Change Impacts on Biodiversity in Switzerland: A Review. J. Nat. Conserv. 2013, 21, 154–162. [Google Scholar] [CrossRef]
- NCCS. CH2018—Climate Scenarios for Switzerland, Technical Report; National Centre for Climate Services: Zurich, Switzerland, 2018; p. 271. [Google Scholar]
- R Core Team. R: A Language and Environment for Statistical Computing; R Foundation for Statistical Computing: Vienna, Austria, 2021. [Google Scholar]
- Van Rossum, G.; Drake, F.L. Python 3 Reference Manual; CreateSpace: Scotts Valley, CA, USA, 2009; ISBN 1-4414-1269-7. [Google Scholar]
- Ridd, M.K.; Liu, J. A Comparison of Four Algorithms for Change Detection in an Urban Environment. Remote Sens. Environ. 1998, 63, 95–100. [Google Scholar] [CrossRef]
- Mas, J.-F. Monitoring Land-Cover Changes: A Comparison of Change Detection Techniques. Int. J. Remote Sens. 1999, 20, 139–152. [Google Scholar] [CrossRef]
- Cuba, N. Research Note: Sankey Diagrams for Visualizing Land Cover Dynamics. Landsc. Urban Plan. 2015, 139, 163–167. [Google Scholar] [CrossRef]
- Aldwaik, S.Z.; Pontius, R.G. Intensity Analysis to Unify Measurements of Size and Stationarity of Land Changes by Interval, Category, and Transition. Landsc. Urban Plan. 2012, 106, 103–114. [Google Scholar] [CrossRef]
- Nowosad, J. Motif: An Open-Source R Tool for Pattern-Based Spatial Analysis. Landsc. Ecol. 2021, 36, 29–43. [Google Scholar] [CrossRef]
- Nowosad, J.; Stepinski, T.F.; Netzel, P. Global Assessment and Mapping of Changes in Mesoscale Landscapes: 1992–2015. Int. J. Appl. Earth Obs. Geoinf. 2019, 78, 332–340. [Google Scholar] [CrossRef]
- Bolton, D.K.; Coops, N.C.; Hermosilla, T.; Wulder, M.A.; White, J.C. Evidence of Vegetation Greening at Alpine Treeline Ecotones: Three Decades of Landsat Spectral Trends Informed by Lidar-Derived Vertical Structure. Environ. Res. Lett. 2018, 13, 084022. [Google Scholar] [CrossRef]
- Verde, N.; Kokkoris, I.P.; Georgiadis, C.; Kaimaris, D.; Dimopoulos, P.; Mitsopoulos, I.; Mallinis, G. National Scale Land Cover Classification for Ecosystem Services Mapping and Assessment, Using Multitemporal Copernicus EO Data and Google Earth Engine. Remote Sens. 2020, 12, 3303. [Google Scholar] [CrossRef]
- Gómez, C.; White, J.C.; Wulder, M.A. Optical Remotely Sensed Time Series Data for Land Cover Classification: A Review. ISPRS J. Photogramm. Remote Sens. 2016, 116, 55–72. [Google Scholar] [CrossRef]
- Ban, Y.F.; Gong, P.; Gini, C. Global Land Cover Mapping Using Earth Observation Satellite Data: Recent Progresses and Challenges. ISPRS J. Photogramm. Remote Sens. 2015, 103, 1–6. [Google Scholar] [CrossRef]
- Kennedy, R.E.; Andréfouët, S.; Cohen, W.B.; Gómez, C.; Griffiths, P.; Hais, M.; Healey, S.P.; Helmer, E.H.; Hostert, P.; Lyons, M.B.; et al. Bringing an Ecological View of Change to Landsat-based Remote Sensing. Front. Ecol. Environ. 2014, 12, 339–346. [Google Scholar] [CrossRef] [PubMed]
- Luo, Y.; Lü, Y.; Fu, B.; Zhang, Q.; Li, T.; Hu, W.; Comber, A. Half Century Change of Interactions among Ecosystem Services Driven by Ecological Restoration: Quantification and Policy Implications at a Watershed Scale in the Chinese Loess Plateau. Sci. Total Environ. 2019, 651, 2546–2557. [Google Scholar] [CrossRef] [PubMed]
- Verbesselt, J.; Hyndman, R.; Newnham, G.; Culvenor, D. Detecting Trend and Seasonal Changes in Satellite Image Time Series. Remote Sens. Environ. 2010, 114, 106–115. [Google Scholar] [CrossRef]
- Verbesselt, J.; Hyndman, R.; Zeileis, A.; Culvenor, D. Phenological Change Detection While Accounting for Abrupt and Gradual Trends in Satellite Image Time Series. Remote Sens. Environ. 2010, 114, 2970–2980. [Google Scholar] [CrossRef]
- Verbesselt, J.; Zeileis, A.; Herold, M. Near Real-Time Disturbance Detection Using Satellite Image Time Series. Remote Sens. Environ. 2012, 123, 98–108. [Google Scholar] [CrossRef]
- Pasquarella, V.J.; Arévalo, P.; Bratley, K.H.; Bullock, E.L.; Gorelick, N.; Yang, Z.; Kennedy, R.E. Demystifying LandTrendr and CCDC Temporal Segmentation. Int. J. Appl. Earth Obs. Geoinf. 2022, 110, 102806. [Google Scholar] [CrossRef]
- Wulder, M.A.; Coops, N.C.; Roy, D.P.; White, J.C.; Hermosilla, T. Land Cover 2.0. Int. J. Remote Sens. 2018, 39, 4254–4284. [Google Scholar] [CrossRef]
- Venter, Z.S.; Sydenham, M.A.K. Continental-Scale Land Cover Mapping at 10 m Resolution Over Europe (ELC10). Remote Sens. 2021, 13, 2301. [Google Scholar] [CrossRef]
- Brown, C.F.; Brumby, S.P.; Guzder-Williams, B.; Birch, T.; Hyde, S.B.; Mazzariello, J.; Czerwinski, W.; Pasquarella, V.J.; Haertel, R.; Ilyushchenko, S.; et al. Dynamic World, Near Real-Time Global 10 m Land Use Land Cover Mapping. Sci. Data 2022, 9, 251. [Google Scholar] [CrossRef]
- Venter, Z.S.; Barton, D.N.; Chakraborty, T.; Simensen, T.; Singh, G. Global 10 m Land Use Land Cover Datasets: A Comparison of Dynamic World, World Cover and Esri Land Cover. Remote Sens. 2022, 14, 4101. [Google Scholar] [CrossRef]
- Inglada, J.; Vincent, A.; Arias, M.; Tardy, B.; Morin, D.; Rodes, I. Operational High Resolution Land Cover Map Production at the Country Scale Using Satellite Image Time Series. Remote Sens. 2017, 9, 95. [Google Scholar] [CrossRef]
- Guo, H.; Wang, L.; Liang, D. Big Earth Data from Space: A New Engine for Earth Science. Sci. Bull. 2016, 61, 505–513. [Google Scholar] [CrossRef]
- Guo, H.; Nativi, S.; Liang, D.; Craglia, M.; Wang, L.; Schade, S.; Corban, C.; He, G.; Pesaresi, M.; Li, J.; et al. Big Earth Data Science: An Information Framework for a Sustainable Planet. Int. J. Digit. Earth 2020, 13, 743–767. [Google Scholar] [CrossRef]
- Feng, M.; Bai, Y. A Global Land Cover Map Produced through Integrating Multi-Source Datasets. Big Earth Data 2019, 3, 191–219. [Google Scholar] [CrossRef]
- Owers, C.J.; Lucas, R.M.; Clewley, D.; Planque, C.; Punalekar, S.; Tissott, B.; Chua, S.M.T.; Bunting, P.; Mueller, N.; Metternicht, G. Living Earth: Implementing National Standardised Land Cover Classification Systems for Earth Observation in Support of Sustainable Development. Big Earth Data 2021, 5, 368–390. [Google Scholar] [CrossRef]
- Talukdar, S.; Singha, P.; Mahato, S.; Shahfahad; Pal, S.; Liou, Y.-A.; Rahman, A. Land-Use Land-Cover Classification by Machine Learning Classifiers for Satellite Observations—A Review. Remote Sens. 2020, 12, 1135. [Google Scholar] [CrossRef]
- Papoutsis, I.; Bountos, N.I.; Zavras, A.; Michail, D.; Tryfonopoulos, C. Benchmarking and Scaling of Deep Learning Models for Land Cover Image Classification. ISPRS J. Photogramm. Remote Sens. 2023, 195, 250–268. [Google Scholar] [CrossRef]
- Santos, L.A.; Ferreira, K.; Picoli, M.; Camara, G.; Zurita-Milla, R.; Augustijn, E.-W. Identifying Spatiotemporal Patterns in Land Use and Cover Samples from Satellite Image Time Series. Remote Sens. 2021, 13, 974. [Google Scholar] [CrossRef]
- Maxwell, A.E.; Warner, T.A.; Fang, F. Implementation of Machine-Learning Classification in Remote Sensing: An Applied Review. Int. J. Remote Sens. 2018, 39, 2784–2817. [Google Scholar] [CrossRef]
- Olofsson, P.; Foody, G.M.; Herold, M.; Stehman, S.V.; Woodcock, C.E.; Wulder, M.A. Good Practices for Estimating Area and Assessing Accuracy of Land Change. Remote Sens. Environ. 2014, 148, 42–57. [Google Scholar] [CrossRef]
- Olofsson, P.; Foody, G.M.; Stehman, S.V.; Woodcock, C.E. Making Better Use of Accuracy Data in Land Change Studies: Estimating Accuracy and Area and Quantifying Uncertainty Using Stratified Estimation. Remote Sens. Environ. 2013, 129, 122–131. [Google Scholar] [CrossRef]
- Pandey, P.C.; Koutsias, N.; Petropoulos, G.P.; Srivastava, P.K.; Dor, E.B. Land Use/Land Cover in View of Earth Observation: Data Sources, Input Dimensions, and Classifiers—A Review of the State of the Art. Geocarto Int. 2019, 36, 957–988. [Google Scholar] [CrossRef]
- Zhu, X.X.; Tuia, D.; Mou, L.; Xia, G.S.; Zhang, L.; Xu, F.; Fraundorfer, F. Deep Learning in Remote Sensing: A Comprehensive Review and List of Resources. IEEE Geosci. Remote Sens. Mag. 2017, 5, 8–36. [Google Scholar] [CrossRef]
- Giuliani, G.; Chatenoux, B.; Bono, A.D.; Rodila, D.; Richard, J.-P.; Allenbach, K.; Dao, H.; Peduzzi, P. Building an Earth Observations Data Cube: Lessons Learned from the Swiss Data Cube (SDC) on Generating Analysis Ready Data (ARD). Big Earth Data 2017, 1, 100–117. [Google Scholar] [CrossRef]
- Giuliani, G.; Cazeaux, H.; Burgi, P.-Y.; Poussin, C.; Richard, J.-P.; Chatenoux, B. SwissEnvEO: A FAIR National Environmental Data Repository for Earth Observation Open Science. Data Sci. J. 2021, 20, 22. [Google Scholar] [CrossRef]
- Chatenoux, B.; Richard, J.-P.; Small, D.; Roeoesli, C.; Wingate, V.; Poussin, C.; Rodila, D.; Peduzzi, P.; Steinmeier, C.; Ginzler, C.; et al. The Swiss Data Cube, Analysis Ready Data Archive Using Earth Observations of Switzerland. Sci. Data 2021, 8, 295. [Google Scholar] [CrossRef]
- Simoes, R.; Camara, G.; Queiroz, G.; Souza, F.; Andrade, P.R.; Santos, L.; Carvalho, A.; Ferreira, K. Satellite Image Time Series Analysis for Big Earth Observation Data. Remote Sens. 2021, 13, 2428. [Google Scholar] [CrossRef]
- Giuliani, G.; Camara, G.; Killough, B.; Minchin, S. Earth Observation Open Science: Enhancing Reproducible Science Using Data Cubes. Data 2019, 4, 147. [Google Scholar] [CrossRef]
- Woodcock, C.E.; Loveland, T.R.; Herold, M.; Bauer, M.E. Transitioning from Change Detection to Monitoring with Remote Sensing: A Paradigm Shift. Remote Sens. Environ. 2019, 238, 111558. [Google Scholar] [CrossRef]
- Arévalo, P.; Bullock, E.L.; Woodcock, C.E.; Olofsson, P. A Suite of Tools for Continuous Land Change Monitoring in Google Earth Engine. Front. Clim. 2020, 2, 576740. [Google Scholar] [CrossRef]
- Giuliani, G.; Egger, E.; Italiano, J.; Poussin, C.; Richard, J.-P.; Chatenoux, B. Essential Variables for Environmental Monitoring: What Are the Possible Contributions of Earth Observation Data Cubes? Data 2020, 5, 100. [Google Scholar] [CrossRef]
- Lehmann, A.; Mazzetti, P.; Santoro, M.; Nativi, S.; Masò, J.; Serral, I.; Spengler, D.; Niamir, A.; Lacroix, P.; Ambrosone, M.; et al. Essential Earth Observation Variables for High-Level Multi-Scale Indicators and Policies. Environ. Sci. Policy 2022, 131, 105–117. [Google Scholar] [CrossRef]











| NOLC04_6 (Principal Domains) | NOLC04_27 (Basic Categories) |
|---|---|
| 10—Artificial areas | 11—Consolidated surfaces |
| 12—Buildings | |
| 13—Greenhouses | |
| 14—Gardens | |
| 15—Lawns | |
| 16—Trees in artificial areas | |
| 17—Mix of small structures | |
| 20—Grass & herb vegetation | 21—Grass & herb vegetation |
| 30—Brush vegetation | 31—Shrubs |
| 32—Brush meadows | |
| 33—Short-stem fruit trees | |
| 34—Vines | |
| 35—Permanent garden plants & brush crops | |
| 40—Tree vegetation | 41—Closed forest |
| 42—Forest edges | |
| 43—Forest strips | |
| 44—Open forest | |
| 45—Brush forest | |
| 46—Linear woods | |
| 47—Clusters of trees | |
| 50—Bare land | 51—Solid rock |
| 52—Granular soil | |
| 53—Rocky areas | |
| 60—Watery areas | 61—Water |
| 62—Glacier, perpetual snow | |
| 63—Wetlands | |
| 64—Reedy marshes |
Disclaimer/Publisher’s Note: The statements, opinions and data contained in all publications are solely those of the individual author(s) and contributor(s) and not of MDPI and/or the editor(s). MDPI and/or the editor(s) disclaim responsibility for any injury to people or property resulting from any ideas, methods, instructions or products referred to in the content. |
© 2023 by the authors. Licensee MDPI, Basel, Switzerland. This article is an open access article distributed under the terms and conditions of the Creative Commons Attribution (CC BY) license (https://creativecommons.org/licenses/by/4.0/).
Share and Cite
Thomas, I.N.; Giuliani, G. Exploring Switzerland’s Land Cover Change Dynamics Using a National Statistical Survey. Land 2023, 12, 1386. https://doi.org/10.3390/land12071386
Thomas IN, Giuliani G. Exploring Switzerland’s Land Cover Change Dynamics Using a National Statistical Survey. Land. 2023; 12(7):1386. https://doi.org/10.3390/land12071386
Chicago/Turabian StyleThomas, Isabel Nicholson, and Gregory Giuliani. 2023. "Exploring Switzerland’s Land Cover Change Dynamics Using a National Statistical Survey" Land 12, no. 7: 1386. https://doi.org/10.3390/land12071386
APA StyleThomas, I. N., & Giuliani, G. (2023). Exploring Switzerland’s Land Cover Change Dynamics Using a National Statistical Survey. Land, 12(7), 1386. https://doi.org/10.3390/land12071386

