Spatial–Temporal Pattern Characteristics and Impact Factors of Carbon Emissions in Production–Living–Ecological Spaces in Heilongjiang Province, China
Abstract
1. Introduction
2. Study Area and Methodologies
2.1. Study Area and Data Sources
2.1.1. Study Area
2.1.2. Data Sources
2.2. Classification System for Production–Living–Ecological Spaces
2.3. Methods
2.3.1. Calculation of Carbon Emissions in PLE Spaces
- Production spaces
- 2.
- Living spaces
- 3.
- Ecological spaces
2.3.2. Spatial Autocorrelation
2.3.3. STIRPAT Model
3. Results
3.1. Results of Carbon Emissions in PLE Spaces
3.1.1. Characteristics of Production Space Carbon Emissions
3.1.2. Characteristics of Living Space Carbon Emissions
3.1.3. Characteristics of Ecological Space Carbon Sinks
3.1.4. Characteristics of PLE Space Total Carbon Emissions
3.2. Spatial–Temporal Characteristics of PLE Space Carbon Emissions
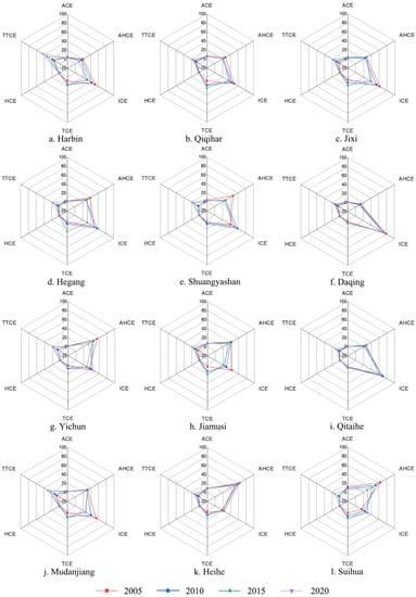
3.3. Structural Features of Carbon Emissions in Segmentation Sectors
3.4. Impact Factors of Carbon Emissions in PLE Spaces
3.4.1. Impact Factors of PLE Space Transfer on Carbon Emissions
3.4.2. STIRPAT Model Results
4. Discussion
5. Conclusions
- Carbon emissions in production and living spaces increased yearly, and Daqing was the city with the highest carbon emissions in production space, followed by Harbin and Qiqihar. Harbin was the city with the highest carbon emissions in living space, followed by Daqing. The carbon sinks of all cities were much smaller than the carbon emissions, and except for a small number of cities that showed an increase in carbon sinks, carbon sinks showed decreasing trends. However, the changes were not significant, and the overall pattern of carbon sink capacity was relatively stable.
- Cities with higher total carbon emissions were concentrated in the southwestern part of Heilongjiang Province, whereas cities in other regions were at a relatively low grade. There was a positive spatial agglomeration phenomenon in 2015 and 2020, and the overall difference in carbon emissions between regions gradually widened.
- Among the six carbon emission segmentation sectors, the proportions of ACE and HCE were smaller, and urban carbon emissions consisted mainly of AHCE, ICE, TCE, and TTCE. The carbon emission structure of each city was also transformed by the adjustment of urban development and industrial structure.
- IPS was the main carbon source space for the other nine cities, including Qiqihar. APS was the main carbon source for Heihe. For Harbin, IPS and URLS were the main carbon sources, and Harbin was the only city in Heilongjiang Province where URLS contributed a large proportion of carbon emissions. For Mudanjiang, there were few differences in the carbon emissions contributed by APS, URLS, and IPS. Even in Daqing, where GES had a larger proportion, FES was the main carbon sink in the city.
- The economy contributed to carbon emissions in all 12 cities. Furthermore, the carbon emissions grade of Jixi and Qitaihe decreased. Urbanization rate, area of city paved roads, per capita disposable income of urban residents, road mileage, construction land area, and total agricultural machinery power inhibited carbon emissions in these cities. For cities with maintaining and increasing carbon emissions grades, industrial structure and coal consumption are factors that could suppress carbon emissions.
Author Contributions
Funding
Data Availability Statement
Acknowledgments
Conflicts of Interest
Abbreviations
| PLE spaces | Production–living–ecological spaces | CC | Coal consumption |
| APS | Agricultural Production Space | CPR | Area of city paved roads |
| IPS | Industrial Production Space | DIU | Per capita disposable income of urban residents |
| URLS | Urban and Rural Living Space | HM | Highway mileage |
| FES | Forestland Ecological Space | CLA | Construction land area |
| GES | Grassland Ecological Space | PAM | Total power of agricultural machinery |
| WES | Water Ecological Space | ACE | Agricultural carbon emissions |
| OES | Other Ecological Space | AHCE | Animal husbandry carbon emissions |
| CE | Carbon emissions | ICE | Industrial carbon emissions |
| GDP | Gross regional product | TCE | Transportation carbon emissions |
| IS | Industrial structure | HCE | Household carbon emissions |
| UR | Urbanization rate | TTCE | Traffic travel carbon emissions |
References
- Sun, Z.R.; Liu, Y.D.; Yu, Y.N. China’s carbon emission peak pre–2030: Exploring multi-scenario optimal low-carbon behaviors for China’s regions. J. Clean. Prod. 2019, 231, 963–979. [Google Scholar] [CrossRef]
- Wang, Q.; Li, S.Y.; Li, R.R.; Jiang, F. Underestimated impact of the COVID–19 on carbon emission reduction in developing countries–a novel assessment based on scenario analysis. Environ. Res. 2022, 204, 111990. [Google Scholar] [CrossRef] [PubMed]
- Chen, J.H. An empirical study on China’s energy supply-and-demand model considering carbon emission peak constraints in 2030. Engineering 2017, 3, 512–517. [Google Scholar] [CrossRef]
- Wu, L.P.; Chen, Y.; Feylizadeh, M.R.; Liu, W.J. Estimation of China’s macro-carbon rebound effect: Method of integrating data envelopment analysis production model and sequential Malmquist-Luenberger index. J. Cleaner Prod. 2018, 198, 1431–1442. [Google Scholar] [CrossRef]
- Wang, S.J.; Liu, X.P. China’s city-level energy-related CO2 emissions: Spatiotemporal patterns and driving forces. Appl. Energy 2017, 200, 204–214. [Google Scholar] [CrossRef]
- Bai, X.M.; Shi, P.J.; Liu, Y.S. Realizing China’s urban dream. Nature 2014, 509, 158–160. [Google Scholar] [CrossRef]
- Liu, J.L.; Liu, Y.S.; Li, Y.R. Classification evaluation and spatial-temporal pattern analysis of production-living-ecological space in China. Acta Geogr. Sin. 2017, 72, 1290–1304. [Google Scholar]
- Zhang, H.; He, J.; Yang, X.Y.; Peng, Q.R. Zoning and governance of county ecological space for the increase of carbon sinks: A case study of the Beijing-Tianjin-Hebei region. Planners 2022, 38, 32–40. [Google Scholar]
- Zhang, Z.; Li, J.M. Spatial suitability and multi-scenarios for land use: Simulation and policy insights from the production-living-ecological perspective. Land Use Policy 2022, 119, 106219. [Google Scholar] [CrossRef]
- Huang, J.C.; Lin, H.X.; Qi, X.X. A literature review on optimization of spatial development pattern based on ecological-production-living space. Proc. Geogr. 2017, 36, 378–391. [Google Scholar]
- Quezada, C.R.; Jorquera, F. Urban fabrics to eco-friendly blue–green for urban wetland development. Sustainability 2021, 13, 13745. [Google Scholar] [CrossRef]
- Paracchini, M.L.; Pacini, C.; Jones, M.L.M.; Pérez-Soba, M. An aggregation framework to link indicators associated with multifunctional land use to the stakeholder evaluation of policy options. Ecol. Indic. 2011, 11, 71–80. [Google Scholar] [CrossRef]
- Tomlinson, S.J.; Dragosits, U.; Levy, P.E.; Thomson, A.M.; Moxley, J. Quantifying gross vs. net agricultural land use change in Great Britain using the Integrated Administration and Control System. Sci. Total Environ. 2018, 628–629, 1234–1248. [Google Scholar] [CrossRef] [PubMed]
- Wang, T.; Kazak, J.; Han, Q.; de Vries, B. A framework for path-dependent industrial land transition analysis using vector data. Eur. Plan. Stud. 2019, 27, 1391–1412. [Google Scholar] [CrossRef]
- Xie, X.T.; Li, X.S.; Fan, H.P.; He, W.K. Spatial analysis of production-living-ecological functions and zoning method under symbiosis theory of Henan, China. Environ. Sci. Pollut. Res. 2021, 28, 69093–69110. [Google Scholar] [CrossRef]
- Fu, C.; Tu, X.Q.; Huang, A. Identification and characterization of production–living–ecological space in a central urban area based on POI data: A case study for Wuhan, China. Sustainability 2021, 13, 7691. [Google Scholar] [CrossRef]
- Tu, X.Q.; Fu, C.; Huang, A.; Chen, H.L.; Ding, X. DBSCAN spatial clustering analysis of urban production-living-ecological space based on POI data: A case study of central urban Wuhan, China. Int. J. Environ. Res. Public Health 2022, 19, 5153. [Google Scholar] [CrossRef]
- Tian, F.H.; Li, M.Y.; Han, X.L.; Liu, H.; Mo, B.X. A production–living–ecological space model for land-use optimisation: A case study of the core Tumen River region in China. Ecol. Model 2020, 437, 109310. [Google Scholar] [CrossRef]
- Xiao, X.Y.; Huang, X.; Jiang, L.L.; Jin, C.X. Empirical study on comparative analysis of dynamic degree differences of land use based on the optimization model. Geocarto Int. 2022, 2025919, 1–18. [Google Scholar] [CrossRef]
- Wang, D.; Jiang, D.; Fu, J.Y.; Lin, G.; Zhang, J.L. Comprehensive assessment of production–living–ecological space based on the coupling coordination degree model. Sustainability 2020, 12, 2009. [Google Scholar] [CrossRef]
- Xu, Y.J.; Li, T.F.; Xu, L.L. Greenhouse gas inventory model for territorial spatial master plans. Clim. Chang. Res. 2022, 18, 355–365. [Google Scholar]
- Wang, Z.Y.; Hu, C.G.; Zhang, Y.; Liu, H.L. Characteristics of carbon emission pattern in Hubei territorial space and its improvement measures. Planners 2022, 38, 24–31. [Google Scholar]
- Xu, Y.; Guo, N.; Ru, K.L.; Fan, S.L. Characteristics and optimization strategies of territorial space zone in Fujian Province, China based on carbon neutrality. Chin. J. Appl. Ecol. 2022, 33, 500–508. [Google Scholar]
- Zhu, S.L. Low-carbon development of urbanization areas in the context of land spatial development pattern- Case study of Heilongjiang, Guizhou and Guangzhou Province. Clim. Chang. Res. 2016, 12, 132–138. [Google Scholar]
- Yan, F.Y.; Gong, Y.S.; Yang, Y.W. Exploration of ideas and methods of county land spatial planning under carbon emission reduction targets. Urban Dev. Stud. 2022, 29, 119–128. [Google Scholar]
- Xun, W.H. Territorial space planning path from the perspective of carbon neutrality, Shenyang. Planners 2022, 38, 88–92. [Google Scholar]
- Huang, X.J.; Zhang, A.L.; Zhao, R.Q.; Gao, F.; Zhang, H.H. Carbon emission peak, carbon neutrality and territorial spatial planning implementation mechanism. Mod. Urban Res. 2022, 1, 399. [Google Scholar]
- Liu, Y.S.; Lin, F.; Sun, Y.; Zhu, L.K. Measurement and obstacle analysis of carbon emission reduction capability of county-level territorial spatial planning: A case study of Yangtze River Delta Ecological Green Integration Demonstration Area. J. Hum. Settl. West China 2023, 38, 9–16. [Google Scholar]
- Feng, X.; Li, Y.; Zhang, L.; Xia, C.; Yu, E.; Yang, J. Carbon metabolism in urban production–living–ecological space based on ecological network analysis. Land 2022, 11, 1445. [Google Scholar] [CrossRef]
- Guo, L.; Bai, L.F.; Wang, C.Y.; Liu, Y.X.; Yang, Y.Z.; Guo, X.H. Growth mechanism and trend prediction of carbon emission in Chongqing based on production-living-ecological space. Environ. Pollut. Control 2022, 44, 816–823. [Google Scholar]
- Ang, B.W.; Su, B. Carbon emission intensity in electricity production: A global analysis. Energy Policy 2016, 94, 56–63. [Google Scholar] [CrossRef]
- Hashmi, R.; Alam, K. Dynamic relationship among environmental regulation, innovation, CO2 emissions, population, and economic growth in OECD countries: A panel investigation. J. Clean. Prod. 2019, 231, 1100–1109. [Google Scholar] [CrossRef]
- Kaya, Y. Impact of Carbon Dioxide Emission Control on GNP Growth: Interpretation of Proposed Scenarios; Paper Presented to the Energy and Industry Subgroup: Paris, France, 1990. [Google Scholar]
- Duro, J.A.; Padilla, E. International inequalities in per capita CO2 emissions: A decomposition methodology by Kaya factors. Energy Econ. 2006, 28, 170–187. [Google Scholar] [CrossRef]
- Liu, M.Z.; Liu, X.X. Study on the influencing factors of urban household energy consumption in China based on STIRPAT Model. Resour. Environ. Yangtze Basin 2017, 26, 1111–1122. [Google Scholar]
- Yang, S.H. An LMDI-based investigation of the changes in carbon emissions of the transportation sector in the Yangtze River Economic Belt. China Environ. Sci. 2022, 42, 4817–4826. [Google Scholar]
- Ma, Z.P.; Li, C.G.; Zhang, J. Understanding urban shrinkage from a regional perspective: Case study of northeast China. J. Urban Plann. Deve. 2020, 146, 05020025. [Google Scholar] [CrossRef]
- Guo, R.; Wu, T.; Wu, X.C.; Luigi, S.; Wang, Y.Q. Simulation of urban land expansion under ecological constraints in Harbin-Changchun urban agglomeration, China. Chin. Geogra. Sci. 2022, 32, 438–455. [Google Scholar] [CrossRef]
- Geng, B.S.; Zhu, W.R.; Shi, P.L. A functional land use classification for ecological, production and living spaces in the Taihang Mountains. J. Resour. Ecol. 2019, 10, 246–255. [Google Scholar]
- Kuang, W.H. Issues regarding on spatial pattern change of national land space and its overall implementation on beautiful vision in new era. Resour. Sci. 2019, 41, 23–32. [Google Scholar]
- Fu, J.C.; Zhang, S.L. Functional assessment and coordination characteristics of production, living, ecological function-A case study of Henan Province, China. Int. J. Environ. Res. Public Health 2021, 18, 8051. [Google Scholar] [CrossRef]
- Zou, L.L.; Liu, Y.S.; Wang, J.Y.; Yang, Y.Y. An analysis of land use conflict potentials based on ecological-production-living function in the southeast coastal area of China. Ecol. Indic. 2021, 122, 107297. [Google Scholar] [CrossRef]
- Tao, Y.Y.; Wang, Q.X. Quantitative recognition and characteristic analysis of production-living-ecological space evolution for five resource-based cities: Zululand, Xuzhou, Lota, Surf Coast and Ruhr. Remote Sens. 2021, 13, 1563. [Google Scholar] [CrossRef]
- Li, J.S.; Sun, W.; Li, M.Y.; Meng, L.L. Coupling coordination degree of production, living and ecological spaces and its influencing factors in the Yellow River Basin. J. Clean. Prod. 2021, 298, 126803. [Google Scholar]
- Yang, Q.K.; Duan, X.J.; Wang, L.; Jin, Z.F. Land use transformation based on ecological-production-living spaces and associated eco-environment effects: A case study in the Yangtze River Delta. Sci. Geogr. Sin. 2018, 38, 97–106. [Google Scholar]
- Kong, D.Y.; Chen, H.G.; Wu, K.S. The evolution of land, eco-environmental effects and its influencing factors in China. J. Nat. Resour. 2021, 36, 1116–1135. [Google Scholar]
- Deng, Y.X.; Yang, R. Influence mechanism of production-living-ecological space change in the urbanization process of Guangdong Province, China. Land 2022, 10, 1357. [Google Scholar] [CrossRef]
- Zhao, R.Q.; Qin, M.Z. Temporospatial variation of partial carbon source/sinks of farmland ecosystem in coastal, China. J. Ecol. Rural Environ. 2007, 91, 1–6, 11. [Google Scholar]
- Tian, Y.; Zhang, J.; He, Y.-Y. Research on spatial-temporal characteristics and driving factor of agricultural carbon emissions in China. J. Integr. Agric. 2014, 13, 1393–1403. [Google Scholar]
- Zafeiriou, E.; Azam, M. CO2 emissions and economic performance in EU agriculture: Some evidence from Mediterranean countries. Ecol. Indic. 2017, 81, 104–114. [Google Scholar] [CrossRef]
- West, T.O.; Marland, G. A synthesis of carbon sequestration, carbon emissions, and net carbon flux in agriculture: Comparing tillage practices in the United States. Agric. Ecosyst. Environ. 2002, 91, 217–232. [Google Scholar] [CrossRef]
- IPCC. 2019 Refinement to the 2006 IPCC Guidelines for National Greenhouse Gas Inventories. Available online: www.ipcc.ch/about/preparingreports/ (accessed on 16 October 2020).
- Wu, Y.; Xu, B. When will China’s carbon emissions peak? Evidence from judgment criteria and emissions reduction paths. Energy Rep. 2022, 8, 8722–8735. [Google Scholar] [CrossRef]
- Zhang, Q.; Tao, X.M.; Yang, P. Research on carbon emissions from metropolis urban passenger transport and countermeasures. China Popul. Resour. Environ. 2012, 22, 35–42. [Google Scholar]
- Jia, S.P.; Mao, B.H.; Liu, S.; Sun, Q.P. Calculation and analysis of transportation energy consumption level in China. J. Transp. Syst. Eng. Inf. Technol. 2010, 10, 22–27. [Google Scholar] [CrossRef]
- Lin, J.Y.; Meng, F.X.; Cui, S.H.; Yu, Y.; Zhao, S.N. Carbon footprint analysis on urban energy use: A case study of Xiamen, China. Acta Ecol. Sin. 2012, 32, 3782–3794. [Google Scholar]
- Ma, J.; Zhou, S.H.; Mitchell, G.; Zhang, J.T. CO2 emission from passenger travel in Guangzhou, China: A small area simulation. Appl. Geogr. 2018, 98, 121–132. [Google Scholar] [CrossRef]
- Sun, H.; Liang, H.M.; Chang, X.L.; Cui, Q.C.; Tao, Y. Land use patterns on carbon emission and spatial association in China. Econ. Geogr. 2015, 35, 154–162. [Google Scholar]
- Duan, X.N.; Wang, X.K.; Lu, F.; Ouyang, Z.Y. Carbon sequestration and its potential by wetland ecosystems in China. Acta Ecol. Sin. 2008, 2, 463–469. [Google Scholar]
- Zhang, Y.; Jiang, B.; Zhao, Y.H.; Zhao, Y. Study on carbon emission effect of urban land use in Northeast China based on land use change. Environ. Sci. Technol. 2022, 45, 209–217. [Google Scholar]
- Fang, J.Y.; Guo, Z.D.; Park, S.L.; Chen, A.P. Estimation of terrestrial vegetation carbon sinks in China from 1981 to 2000. Sci. Sin.–Terrae 2007, 37, 804–812. [Google Scholar]
- Zhou, J.; Yang, L.; Dong, M.N.; Jiang, L.L.; Wang, Y.; Zang, S.Y. Carbon emission intensity change analysis based on land use in Harbin City from 2004 to 2012. Sci. Geogr. Sin. 2015, 35, 322–327. [Google Scholar]
- Zhao, X.F.; Huang, X.J.; Zhang, X.Y.; Zhu, D.M.; Lai, L.; Zhong, T.Y. Application of spatial autocorrelation analysis to COD, SO2 and TSP emissions in Jiangsu Province. Environ. Sci. 2009, 30, 1580–1587. [Google Scholar]
- Jaber, A.; Csonka, B. How do land use, built environment and transportation facilities affect bike-sharing trip destinations? Promet. Traffic. Transp. 2023, 35, 119–132. [Google Scholar] [CrossRef]
- Xu, B. A spatial analysis of an effective path for low-carbon development of energy-intensive industries. Sustain. Prod. Consum. 2023, 37, 227–241. [Google Scholar] [CrossRef]
- Ma, M.d.; Yan, R.; Cai, W.G. An extended STIRPAT model-based methodology for evaluating the driving forces affecting carbon emissions in existing public building sector: Evidence from China in 2000–2015. Nat. Hazard 2017, 89, 741–756. [Google Scholar] [CrossRef]
- Anselin, L. Local indicators of spatial association—ISA. Geogr. Anal. 2010, 27, 93–115. [Google Scholar] [CrossRef]
- Dietz, T.; Rosa, E.A. Effects of population and affluence on CO2 emissions. Proc. Natl. Acad. Sci. USA 1997, 94, 175–179. [Google Scholar] [CrossRef]
- York, R.; Rosa, E.A.; DIETZ, T. STIRPAT, IPAT and ImPACT: Analytic tools for unpacking the driving forces of environmental impacts. Ecol. Econ. 2003, 46, 351–365. [Google Scholar] [CrossRef]
- Dietz, T.; Frank, K.A.; Whitley, C.T.; Kelly, J.; Kelly, R. Political influences on greenhouse gas emissions from US states. Proc. Natl. Acad. Sci. USA 2015, 112, 8254–8259. [Google Scholar] [CrossRef]
- Qi, X.; Guo, X.N. A comparative study of the impact of urbanization on carbon emissions in emerging economies. Ecol. Econ. 2022, 38, 101–108. [Google Scholar]
- Wang, Y.N.; Sun, Y.X.; Li, W.X. Research on the impact of population–related factors on carbon emission: An empirical analysis based on the varying-intercept model. Ecol. Econ. 2017, 33, 19–23. [Google Scholar]
- Xing, J.; Song, N.Z.; Li, W.T.; Li, C.Q.Q. Study on carbon intensity reduction target in Heilongjiang Province during the 14th Five-Year Plan period based on STIRPAT model. Environ. Sci. Manag. 2021, 46, 77–81. [Google Scholar]
- Ren, J.Q.; Wu, J.H.; Xia, J.Y.; Yin, Y.; Zhou, Z. Primary energy consumption and its structure in Heilongjiang Province. J. Beijing Univ. Chem. Technol. Nat. Sci. Ed. 2018, 45, 89–94. [Google Scholar]









| Primary Classification | Secondary Classification | Corresponding Land Use Type |
|---|---|---|
| Production space | Agricultural Production Space (APS) | Paddy field, dry land |
| Industrial Production Space (IPS) | Other construction land | |
| Living space | Urban and Rural Living Space (URLS) | Urban land and rural settlement |
| Ecological space | Forestland Ecological Space (FES) | Forestland, shrub area, wood land, other forest land |
| Grassland Ecological Space (GES) | High coverage grassland, medium coverage grassland, low coverage grassland | |
| Water Ecological Space (WES) | River and canals; lakes; reservoir, pit, and ponds; bottom land | |
| Other Ecological Space (OES) | Swampland, bare soil, bare rock |
| Transportation Mode | Transport Passenger and Freight Conversion Coefficients (ton/Person) | Carbon Emission Coefficients (kgCO2/t·km) |
|---|---|---|
| Railways | 1 | 0.327 |
| Highways | 0.1 | 0.028 |
| Water transportation | 0.3 | 0.053 |
| Civil aviation | 0.072 | 1.961 |
| Travel Mode | Carbon Emission Coefficients/kg/100 km | Average Annual Mileage/104 km |
|---|---|---|
| Private vehicles | 22.3 | 1.5 |
| Bus | 88.1 | 6.5 |
| Taxi | 28.3 | 10 |
| Moran’s Index | Z-Score | p-Value | |
| 2005 | 0.171999 | 1.597066 | 0.110251 |
| 2010 | 0.148051 | 1.415742 | 0.156851 |
| 2015 | 0.186807 | 1.688697 | 0.091277 |
| 2020 | 0.179023 | 1.688187 | 0.091375 |
| City | STIRPAT Model | R2 | Sig. |
|---|---|---|---|
| Harbin | 0.978 | 0.013 | |
| Qiqihar | 0.980 | 0.022 | |
| Jixi | 0.922 | 0.033 | |
| Hegang | 0.985 | 0.018 | |
| Shuang-yashan | 0.965 | 0.025 | |
| Daqing | 0.975 | 0.018 | |
| Yichun | 0.982 | 0.046 | |
| Jiamusi | 0.964 | 0.036 | |
| Qitaihe | 0.968 | 0.032 | |
| Mudanjiang | 0.990 | 0.010 | |
| Heihe | 0.914 | 0.007 | |
| Suihua | 0.975 | 0.025 |
Disclaimer/Publisher’s Note: The statements, opinions and data contained in all publications are solely those of the individual author(s) and contributor(s) and not of MDPI and/or the editor(s). MDPI and/or the editor(s) disclaim responsibility for any injury to people or property resulting from any ideas, methods, instructions or products referred to in the content. |
© 2023 by the authors. Licensee MDPI, Basel, Switzerland. This article is an open access article distributed under the terms and conditions of the Creative Commons Attribution (CC BY) license (https://creativecommons.org/licenses/by/4.0/).
Share and Cite
Guo, R.; Wu, X.; Wu, T.; Dai, C. Spatial–Temporal Pattern Characteristics and Impact Factors of Carbon Emissions in Production–Living–Ecological Spaces in Heilongjiang Province, China. Land 2023, 12, 1153. https://doi.org/10.3390/land12061153
Guo R, Wu X, Wu T, Dai C. Spatial–Temporal Pattern Characteristics and Impact Factors of Carbon Emissions in Production–Living–Ecological Spaces in Heilongjiang Province, China. Land. 2023; 12(6):1153. https://doi.org/10.3390/land12061153
Chicago/Turabian StyleGuo, Rong, Xiaochen Wu, Tong Wu, and Chao Dai. 2023. "Spatial–Temporal Pattern Characteristics and Impact Factors of Carbon Emissions in Production–Living–Ecological Spaces in Heilongjiang Province, China" Land 12, no. 6: 1153. https://doi.org/10.3390/land12061153
APA StyleGuo, R., Wu, X., Wu, T., & Dai, C. (2023). Spatial–Temporal Pattern Characteristics and Impact Factors of Carbon Emissions in Production–Living–Ecological Spaces in Heilongjiang Province, China. Land, 12(6), 1153. https://doi.org/10.3390/land12061153
