The Characteristics of Soil C, N and P and Stoichiometric Ratios as Affected by Land-Use in a Karst Area, Southwest China
Abstract
1. Introduction
2. Materials and Methods
2.1. Study Area
2.2. Sampling
2.3. Laboratory Analysis
2.4. Data Analysis
3. Results
3.1. Statistical Characteristics of Soil C, N and P Contents and Their Stoichiometry in the Study Area
3.2. Spatial Distribution Characteristics of Soil C, N and P Stoichiometry in the Study Area
3.3. Factors Influencing Spatial Variation in Soil C, N and P Stoichiometry
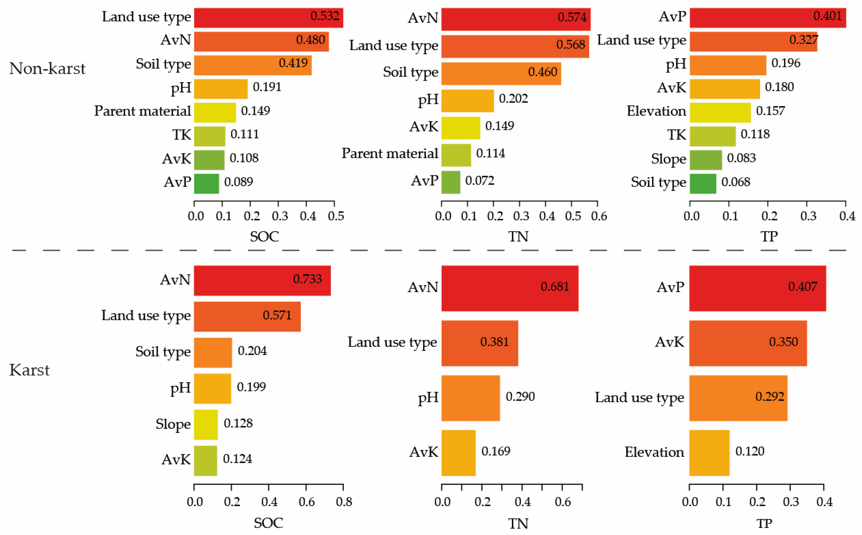
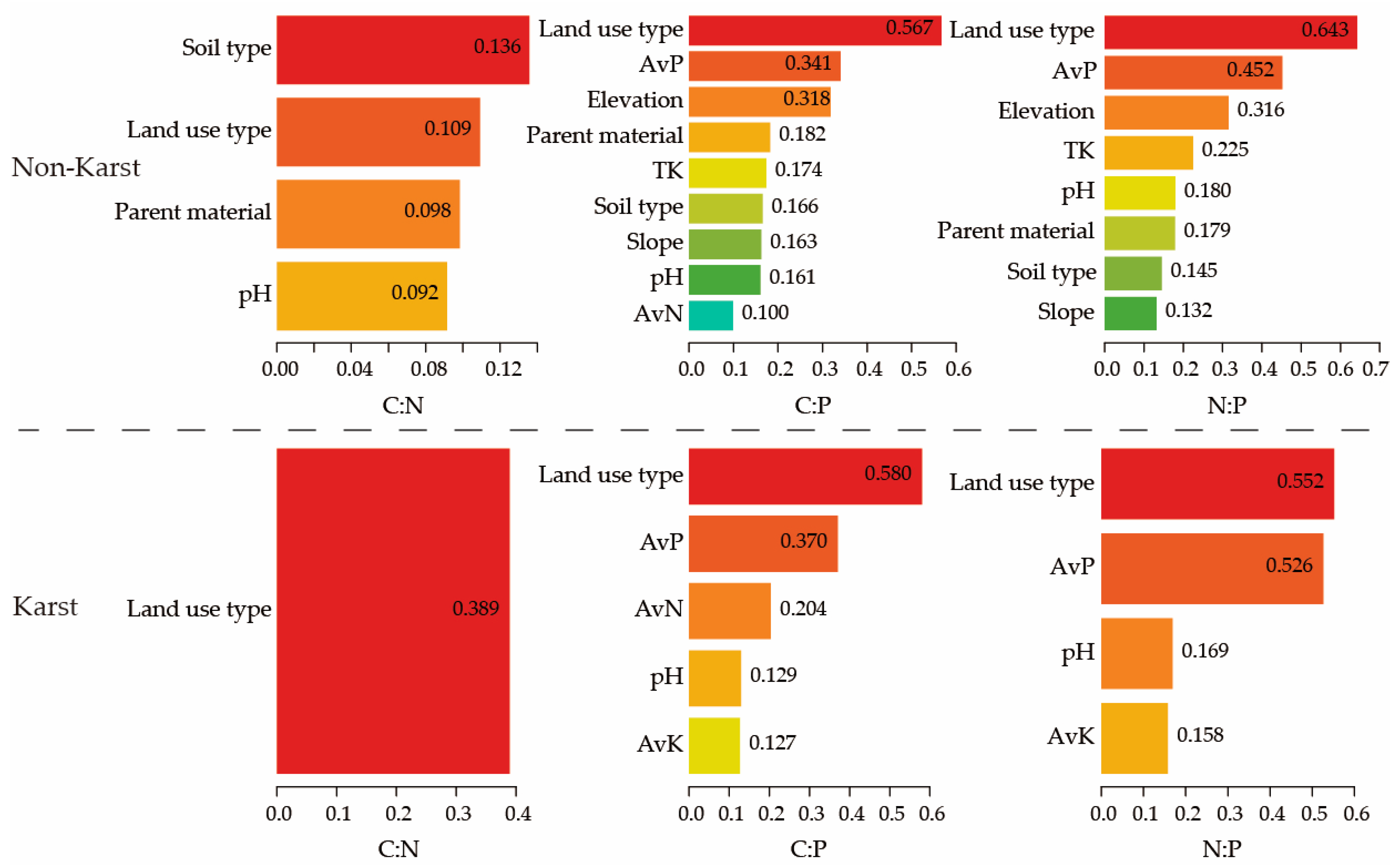
3.3.1. Factor Detection Results of the Spatial Differentiation of Soil C, N and P and Their Stoichiometry
3.3.2. Results of Interaction Detection of Spatial Variation in Soil C, N and P and Their Stoichiometry
3.3.3. Influence of Soil Physicochemical Properties and the Soil Environment on the Spatial Partitioning of C, N and P Stoichiometry under Different Land-Use Practices
4. Discussion
4.1. Characteristics of Soil C, N and P Contents and Their Spatial Distribution under Different Land-Use Patterns
4.2. Response of Soil C, N and P Stoichiometric Characteristics to Land-Use Change
5. Conclusions
Supplementary Materials
Author Contributions
Funding
Data Availability Statement
Acknowledgments
Conflicts of Interest
References
- Elser, J.J.; Dobberfuhl, D.R.; MacKay, N.A.; Schampel, J.H. Organism Size, Life History, and N:P Stoichiometry. BioScience 1996, 46, 674–684. [Google Scholar] [CrossRef]
- Yu, Y.; Chi, Y. Ecological Stoichiometric Characteristics of Soilat Different Depths in a Karst Plateau Mountain Area of China. Pol. J. Environ. Stud. 2019, 29, 969–978. [Google Scholar] [CrossRef]
- Yang, H.; Zhang, P.; Zhu, T.B.; Li, Q.; Cao, J.H. The Characteristics of Soil C, N, and P Stoichiometric Ratios as Affected by Geological Background in a Karst Graben Area, Southwest China. Forests 2019, 10, 601. [Google Scholar] [CrossRef]
- Mao, R.; Chen, H.M.; Zhang, X.H.; Shi, F.X.; Song, C.C. Effects of P Addition on Plant C:N:P Stoichiometry in an N-Limited Temperate Wetland of Northeast China. Sci. Total Environ. 2016, 559, 1–6. [Google Scholar] [CrossRef]
- Song, M.; Peng, W.X.; Du, H.; Xu, Q.G. Responses of Soil and Microbial C:N:P Stoichiometry to Vegetation Succession in a Karst Region of Southwest China. Forests 2019, 10, 755. [Google Scholar] [CrossRef]
- Tian, H.; Chen, G.; Zhang, C.; Melillo, J.M.; Hall, C.A.S. Pattern and Variation of C:N:P Ratios in China’s Soils: A Synthesis of Observational Data. Biogeochemistry 2010, 98, 139–151. [Google Scholar] [CrossRef]
- Jiang, Z.C.; Lian, Y.Q.; Qin, X.Q. Rocky Desertification in Southwest China: Impacts, Causes, and Restoration. Earth-Sci. Rev. 2014, 132, 1–12. [Google Scholar] [CrossRef]
- Xiong, K.N.; Li, P.; Zhou, Z.F. Remote Sensing of Karst Stony Desertification a Typical Research of GIS/Taking Guizhou Province as an Example; Geology Publishing House: Beijing, China, 2002; pp. 134–137. (In Chinese) [Google Scholar]
- Sariyildiz, T.; Anderson, J.M.; Kucuk, M. Effects of Tree Species and Topography on Soil Chemistry, Litter Quality, and Decomposition in Northeast Turkey. Soil Biol. Biochem. 2005, 37, 1695–1706. [Google Scholar] [CrossRef]
- Fernández-Romero, M.L.; Lozano-García, B.; Parras-Alcántara, L. Topography and Land Use Change Effects on the Soil Organic Carbon Stock of Forest Soils in Mediterranean Natural Areas. Agric. Ecosyst. Environ. 2014, 195, 1–9. [Google Scholar] [CrossRef]
- Sun, M.M.; Yang, R.; Tang, Y.X.; Xiao, D.; Zhang, W.; Xu, Z.H.; Shi, Z.H.; Hu, P.L.; Wu, H.Q.; Wang, K.L. Lithologic Control of Soil C:N:P Stoichiometry across a Climatic Gradient in Southwest China. J. Soils Sediments 2023, 23, 1662–1673. [Google Scholar] [CrossRef]
- Li, D.J.; Wen, L.; Yang, L.Q.; Luo, P.; Xiao, K.C.; Chen, H.; Zhang, W.; He, X.Y.; Chen, H.S.; Wang, K.L. Dynamics of Soil Organic Carbon and Nitrogen Following Agricultural Abandonment in a Karst Region: Soil C and N Dynamics. J. Geophys. Res. Biogeosci. 2017, 122, 230–242. [Google Scholar] [CrossRef]
- Elser, J.J.; Fagan, W.F.; Denno, R.F.; Dobberfuhl, D.R.; Folarin, A.; Huberty, A.; Interlandi, S.; Kilham, S.S.; McCauley, E.; Schulz, K.L.; et al. Nutritional Constraints in Terrestrial and Freshwater Food Webs. Nature 2000, 408, 578–580. [Google Scholar] [CrossRef] [PubMed]
- Cleveland, C.C.; Liptzin, D. C:N:P Stoichiometry in Soil: Is There a “Redfield Ratio” for the Microbial Biomass? Biogeochemistry 2007, 85, 235–252. [Google Scholar] [CrossRef]
- Gao, Y.; He, N.P.; Yu, G.R.; Chen, W.L.; Wang, Q.F. Long-Term Effects of Different Land Use Types on C, N, and P Stoichiometry and Storage in Subtropical Ecosystems: A Case Study in China. Ecol. Eng. 2014, 67, 171–181. [Google Scholar] [CrossRef]
- Zhang, W.; Liu, W.C.; Xu, M.P.; Deng, J.; Han, X.H.; Yang, G.H.; Feng, Y.Z.; Ren, G.X. Response of Forest Growth to C:N:P Stoichiometry in Plants and Soils during Robinia Pseudoacacia Afforestation on the Loess Plateau, China. Geoderma 2019, 337, 280–289. [Google Scholar] [CrossRef]
- Li, Y.K.; Gong, J.Y.; Liu, J.; Hou, W.P.; Moroenyane, I.; Liu, Y.L.; Jin, J.; Liu, J.; Xiong, H.; Cheng, C.; et al. Effects of Different Land Use Types and Soil Depth on Soil Nutrients and Soil Bacterial Communities in a Karst Area, Southwest China. Soil Syst. 2022, 6, 20. [Google Scholar] [CrossRef]
- Fierer, N.; Jackson, R.B. The Diversity and Biogeography of Soil Bacterial Communities. Proc. Natl. Acad. Sci. USA 2006, 103, 626–631. [Google Scholar] [CrossRef]
- Chen, H.; Li, D.J.; Mao, Q.G.; Xiao, K.C.; Wang, K.L. Resource Limitation of Soil Microbes in Karst Ecosystems. Sci. Total Environ. 2019, 650, 241–248. [Google Scholar] [CrossRef]
- Zheng, S.M.; Xia, Y.H.; Hu, Y.J.; Chen, X.B.; Rui, Y.C.; Gunina, A.; He, X.Y.; Ge, T.D.; Wu, J.S.; Su, Y.R.; et al. Stoichiometry of Carbon, Nitrogen, and Phosphorus in Soil: Effects of Agricultural Land Use and Climate at a Continental Scale. Soil Tillage Res. 2021, 209, 104903. [Google Scholar] [CrossRef]
- Wu, P.; Cui, Y.C.; Zhao, W.J.; Shu, D.Y.; Hou, Y.J.; Ding, F.J.; Yang, W.B. Characteristics of soil stoichiometric in natural restoration process of Maolan karst forest vegetation, southwestern China. J. Beijing For. Univ. 2019, 41, 80–92. (In Chinese) [Google Scholar] [CrossRef]
- Lu, M.Z.; Liu, K.P.; Zhang, L.J.; Zeng, F.P.; Song, T.Q.; Peng, W.X.; Du, H. Stoichiometric Variation in Soil Carbon, Nitrogen, and Phosphorus Following Cropland Conversion to Forest in Southwest China. Forests 2022, 13, 1155. [Google Scholar] [CrossRef]
- Contreras-Cisneros, A.J.; Mata-González, R.; Trejo-Calzada, R.; Pedroza-Sandoval, A.; Prado-Tarango, D.; Abdallah, M.A.B. Carbon and Nitrogen Stocks through Time in Abandoned Croplands of the Comarca Lagunera, Mexico. Agric. Ecosyst. Environ. 2022, 327, 107828. [Google Scholar] [CrossRef]
- Abdallah, M.A.B.; Mata-González, R.; Noller, J.S.; Ochoa, C.G. Effects of Western Juniper (Juniperus Occidentalis) Control on Ecosystem Nitrogen Stocks in Central Oregon, USA. J. Plant Ecol. 2021, 14, 1073–1089. [Google Scholar] [CrossRef]
- Abdallah, M.A.B.; Mata-González, R.; Noller, J.S.; Ochoa, C.G. Ecosystem Carbon in Relation to Woody Plant Encroachment and Control: Juniper Systems in Oregon, USA. Agric. Ecosyst. Environ. 2020, 290, 106762. [Google Scholar] [CrossRef]
- Li, T.; Zeng, J.; He, B.; Chen, Z. Changes in Soil C, N, and P Concentrations and Stoichiometry in Karst Trough Valley Area under Ecological Restoration: The Role of Slope Aspect, Land Use, and Soil Depth. Forests 2021, 12, 144. [Google Scholar] [CrossRef]
- Zhang, C.L.; Yang, H.; Cao, J.H.; Liu, S.H. Spatial variability of soil carbon, nitrogen and phosphorus stoichiometry of different land use in karst area. Guangxi Agric. Sci. 2020, 51, 1650–1659. (In Chinese) [Google Scholar]
- Gu, J.; Yang, Q.; Jiang, Z.; Luo, W.; Zeng, H.; Qin, X.; Lan, F. Spatial variation analysis of soil carbon, nitrogen and phosphorus eco-stoichiometric ratios in karst and non-karst areas of Guangnan county, Yunan, China. Carsologica Sin. 2018, 37, 761–769. (In Chinese) [Google Scholar]
- Yan, K.; Duan, C.Q.; Fu, D.G.; Li, J.; Wong, M.H.G.; Qian, L.; Tian, Y.X. Leaf Nitrogen and Phosphorus Stoichiometry of Plant Communities in Geochemically Phosphorus-Enriched Soils in a Subtropical Mountainous Region, SW China. Environ. Earth Sci. 2015, 74, 3867–3876. [Google Scholar] [CrossRef]
- Feng, D.F.; Bao, W.K.; Pang, X.Y. Consistent Profile Pattern and Spatial Variation of Soil C/N/P Stoichiometric Ratios in the Subalpine Forests. J. Soils Sediments 2017, 17, 2054–2065. [Google Scholar] [CrossRef]
- Wang, J.F.; Xu, C.D. Geodetector: Principle and Prospective. Acta Geogr. Sin. 2017, 72, 116–134. (In Chinese) [Google Scholar] [CrossRef]
- IUSS Working Group. World reference base for soil resources 2014—International soil classification system for naming soils and creating legends for soil maps. In World Soil Resources Reports 106; FAO: Rome, Italy, 2014. [Google Scholar]
- Zhang, C.L.; Lu, L.M.; Yang, H.; Huang, F. Spatial variation analysis of soil organic matter in karst area. Carsologica Sin. 2022, 41, 228–239. (In Chinese) [Google Scholar] [CrossRef]
- Olsen, S.R. Estimation of Available Phosphorus in Soils by Extraction with Sodium Bicarbonate; United States Department of Agriculture: Washington, DC, USA, 1954. [Google Scholar]
- Tyler, G.; Olsson, T. Conditions Related to Solubility of Rare and Minor Elements in Forest Soils. J. Plant Nutr. Soil Sci. 2002, 165, 594–601. [Google Scholar] [CrossRef]
- Bao, S.D. Soil Agricultural Chemistry Analysis; China Agricultural Publishing House: Beijing, China, 2000. (In Chinese) [Google Scholar]
- Nielsen, D.R.; Bouma, J. Soil Spatial Variability: Proceeding of a Workshop of the ISSS and the SSSA; PUdoc: Las Vegas, NV, USA, 1985. [Google Scholar]
- Gauch, H.G.; Singer, S.B. A Program for Editing of Community Data Matrices. Vegetatio 1982, 49, 187–190. [Google Scholar] [CrossRef]
- Dove, N.C.; Stark, J.M.; Newman, G.S.; Hart, S.C. Carbon Control on Terrestrial Ecosystem Function across Contrasting Site Productivities: The Carbon Connection Revisited. Ecology 2019, 100, e02695. [Google Scholar] [CrossRef]
- Feng, J.G.; He, K.Y.; Zhang, Q.F.; Han, M.G.; Zhu, B. Changes in Plant Inputs Alter Soil Carbon and Microbial Communities in Forest Ecosystems. Glob. Chang. Biol. 2022, 28, 3426–3440. [Google Scholar] [CrossRef]
- Walker, T.W.; Syers, J.K. The Fate of Phosphorus during Pedogenesis. Geoderma 1976, 15, 1–19. [Google Scholar] [CrossRef]
- Gao, J.L.; Luo, F.M.; Gao, Y.; Dang, X.H.; Meng, Z.J.; Chen, X.N.; Duan, N. Ecological soil C, N, and P stoichiometry of different land use patterns in the agriculture-pasture ecotone of Northern China. Acta Ecol. Sin. 2019, 39, 5594–5602. (In Chinese) [Google Scholar] [CrossRef]
- Fang, L.L.; Wang, L.C.; Chen, W.X.; Sun, J.; Cao, Q.; Wang, S.Q.; Wang, L.Z. Identifying the Impacts of Natural and Human Factors on Ecosystem Service in the Yangtze and Yellow River Basins. J. Clean. Prod. 2021, 314, 127995. [Google Scholar] [CrossRef]
- Wang, K.L.; Zhang, C.H.; Chen, H.S.; Yue, Y.M.; Zhang, W.; Zhang, M.Y.; Qi, X.K.; Fu, Z.Y. Karst Landscapes of China: Patterns, Ecosystem Processes and Services. Landsc. Ecol. 2019, 34, 2743–2763. [Google Scholar] [CrossRef]
- Liu, Y.L.; Chen, Y.Y.; Wu, Z.H.; Wang, B.Z.; Wang, S.C. Geographical Detector-Based Stratified Regression Kriging Strategy for Mapping Soil Organic Carbon with High Spatial Heterogeneity. Catena 2021, 196, 104953. [Google Scholar] [CrossRef]
- Du, Z.B.; Gao, B.B.; Ou, C.; Du, Z.R.; Yang, J.Y.; Batsaikhan, B.; Dorjgotov, B.; Yun, W.J.; Zhu, D.H. A Quantitative Analysis of Factors Influencing Organic Matter Concentration in the Topsoil of Black Soil in Northeast China Based on Spatial Heterogeneous Patterns. ISPRS Int. J. Geo-Inf. 2021, 10, 348. [Google Scholar] [CrossRef]
- Ahmad, E.H.; Demisie, W.; Zhang, M. Effects of Land Use on Concentrations and Chemical Forms of Phosphorus in Different-Size Aggregates. Eurasian Soil Sci. 2017, 50, 1435–1443. [Google Scholar] [CrossRef]
- Cao, J.H.; Yuan, D.X.; Pan, G.X. Some Soil Features in Karst Ecosystem. Front. Earth Sci. 2003, 18, 37–44. (In Chinese) [Google Scholar] [CrossRef]
- Li, Y.; Ma, J.; Xiao, C.; Li, Y. Effects of Climate Factors and Soil Properties on Soil Nutrients and Elemental Stoichiometry across the Huang–Huai–Hai River Basin, China. J. Soils Sediments 2020, 20, 1970–1982. [Google Scholar] [CrossRef]
- Luo, Z.; Feng, W.; Luo, Y.; Baldock, J.; Wang, E. Soil Organic Carbon Dynamics Jointly Controlled by Climate, Carbon Inputs, Soil Properties and Soil Carbon Fractions. Glob. Chang. Biol. 2017, 23, 4430–4439. [Google Scholar] [CrossRef]
- Xu, Q.; Rui, W.Y.; Liu, J.L.; Liu, Z.; Yang, L.; Yin, Y.J.; Zhang, W.J. Spatial Variation of Coupling Characteristics of Soil Carbon and Nitrogen in Farmland of China. J. Ecol. Rural. Environ. 2006, 22, 4. [Google Scholar] [CrossRef]
- Li, Q.Q.; Yue, T.X.; Fan, Z.M.; Du, Z.P.; Chen, C.F.; Lu, Y.M. Spatial simulation of topsoil TN at the national scale in China. Geogr. Res. 2010, 11, 12. (In Chinese) [Google Scholar] [CrossRef]
- Yu, Y.H.; Zhong, X.P.; Zheng, W.; Chen, Z.X.; Wang, J.X. Species diversity, functional traits, stoichiometry and correlation of plant community in different succession stages of karst forest. Acta Ecol. Sin. 2021, 41, 2408–2417. (In Chinese) [Google Scholar] [CrossRef]
- Li, D.J.; Wen, L.; Zhang, W.; Yang, L.Q.; Xiao, K.C.; Chen, H.; Wang, K. L Afforestation Effects on Soil Organic Carbon and Nitrogen Pools Modulated by Lithology. For. Ecol. Manag. 2017, 400, 85–92. [Google Scholar] [CrossRef]
- Chen, L.L.; Deng, Q.; Yuan, Z.Y.; Mu, X.M.; Kallenbach, R.L. Age-Related C:N:P Stoichiometry in Two Plantation Forests in the Loess Plateau of China. Ecol. Eng. 2018, 120, 14–22. [Google Scholar] [CrossRef]
- Batjes, N.H. Total Carbon and Nitrogen in the Soils of the World. Eur. J. Soil Sci. 2014, 65, 10–21. [Google Scholar] [CrossRef]
- Wang, S.Q.; Yu, G.R. Ecological stoichiometry characteristics of ecosystem carbon, nitrogen and phosphorus elements. Acta Ecol. Sin. 2008, 8, 3937–3947. (In Chinese) [Google Scholar] [CrossRef]
- Huang, C.Y. Soil Science; China Agriculture Press: Beijing, China, 2000. (In Chinese) [Google Scholar]
- Olde Venterink, H.; Wassen, M.J.; Verkroost, A.W.M.; De Ruiter, P.C. Species Richness–Productivity Patterns Differ between N, P, and K Limited Wetlands. Ecology 2003, 84, 2191–2199. [Google Scholar] [CrossRef]









| Study Area | Land-Use Type | Soil Organic Carbon (g/kg) | Total Nitrogen (g/kg) | Total Phosphorus (g/kg) | C:N | C:P | N:P |
|---|---|---|---|---|---|---|---|
| Non-Karst Area | Paddy field (n = 56) | 19.79 ± 4.35 a | 1.91 ± 0.36 a | 0.67 ± 0.21 a | 12.08 ± 1.17 a | 82.22 ± 26.70 a | 6.77 ± 1.94 a |
| Dry land (n = 140) | 10.48 ± 3.36 b | 1.15 ± 0.24 b | 0.74 ± 0.22 a | 10.59 ± 2.19 b | 39.21 ± 17.90 b | 3.63 ± 1.08 b | |
| Forest (n = 51) | 13.97 ± 3.40 c | 1.38 ± 0.27 c | 0.38 ± 0.14 b | 11.86 ± 2.19 a | 103.44 ± 34.98 c | 8.64 ± 2.17 c | |
| Karst Area | Paddy field (n = 27) | 22.26 ± 3.33 d | 2.20 ± 0.26 d | 0.96 ± 0.24 c | 11.77 ± 0.98 a | 62.42 ± 15.21 d | 5.29 ± 1.16 d |
| Dry land (n = 107) | 11.82 ± 2.87 e | 1.48 ± 0.30 c | 1.13 ± 0.33 d | 9.28 ± 0.94 c | 29.07 ± 10.69 e | 3.11 ± 1.05 b | |
| Shrub (n = 46) | 15.10 ± 3.80 c | 1.87 ± 0.49 a | 0.68 ± 0.28 a | 9.52 ± 1.48 c | 64.59 ± 20.99 d | 6.83 ± 2.26 a |
Disclaimer/Publisher’s Note: The statements, opinions and data contained in all publications are solely those of the individual author(s) and contributor(s) and not of MDPI and/or the editor(s). MDPI and/or the editor(s) disclaim responsibility for any injury to people or property resulting from any ideas, methods, instructions or products referred to in the content. |
© 2023 by the authors. Licensee MDPI, Basel, Switzerland. This article is an open access article distributed under the terms and conditions of the Creative Commons Attribution (CC BY) license (https://creativecommons.org/licenses/by/4.0/).
Share and Cite
Ma, Y.; Zhang, C.; Yang, H.; Xu, Y.; Chen, Y.; Ning, J. The Characteristics of Soil C, N and P and Stoichiometric Ratios as Affected by Land-Use in a Karst Area, Southwest China. Land 2023, 12, 1126. https://doi.org/10.3390/land12061126
Ma Y, Zhang C, Yang H, Xu Y, Chen Y, Ning J. The Characteristics of Soil C, N and P and Stoichiometric Ratios as Affected by Land-Use in a Karst Area, Southwest China. Land. 2023; 12(6):1126. https://doi.org/10.3390/land12061126
Chicago/Turabian StyleMa, Yang, Chunlai Zhang, Hui Yang, Yikai Xu, Yan Chen, and Jing Ning. 2023. "The Characteristics of Soil C, N and P and Stoichiometric Ratios as Affected by Land-Use in a Karst Area, Southwest China" Land 12, no. 6: 1126. https://doi.org/10.3390/land12061126
APA StyleMa, Y., Zhang, C., Yang, H., Xu, Y., Chen, Y., & Ning, J. (2023). The Characteristics of Soil C, N and P and Stoichiometric Ratios as Affected by Land-Use in a Karst Area, Southwest China. Land, 12(6), 1126. https://doi.org/10.3390/land12061126

