Research on Land Use Pattern and Ecological Risk of Lanzhou–Xining Urban Agglomeration from the Perspective of Terrain Gradient
Abstract
1. Introduction
2. Materials and Methods
2.1. Study Area
2.2. Data Source
2.3. Research Methods
2.3.1. Research Ideas
2.3.2. Topographic Index Model
2.3.3. Measurement of Land Use Change
Land Use Transfer Matrix Model
Land Use Dynamic Attitude
Land Use Status Index
2.3.4. Ecological Risk Assessment Methods
Construction of the Ecological Risk Assessment Index System
Spatial Principal Component Analysis
Spatial Autocorrelation
2.4. Distribution Index Model
3. Results and Analysis
3.1. Analysis of the Land Use Change Characteristics
3.1.1. Analysis of the Land Use Change and Transformation
3.1.2. Analysis of the Dynamic Index and State Degree of Land Use
3.1.3. Land Use Change Characteristics under Different Topographic Distribution Indexes
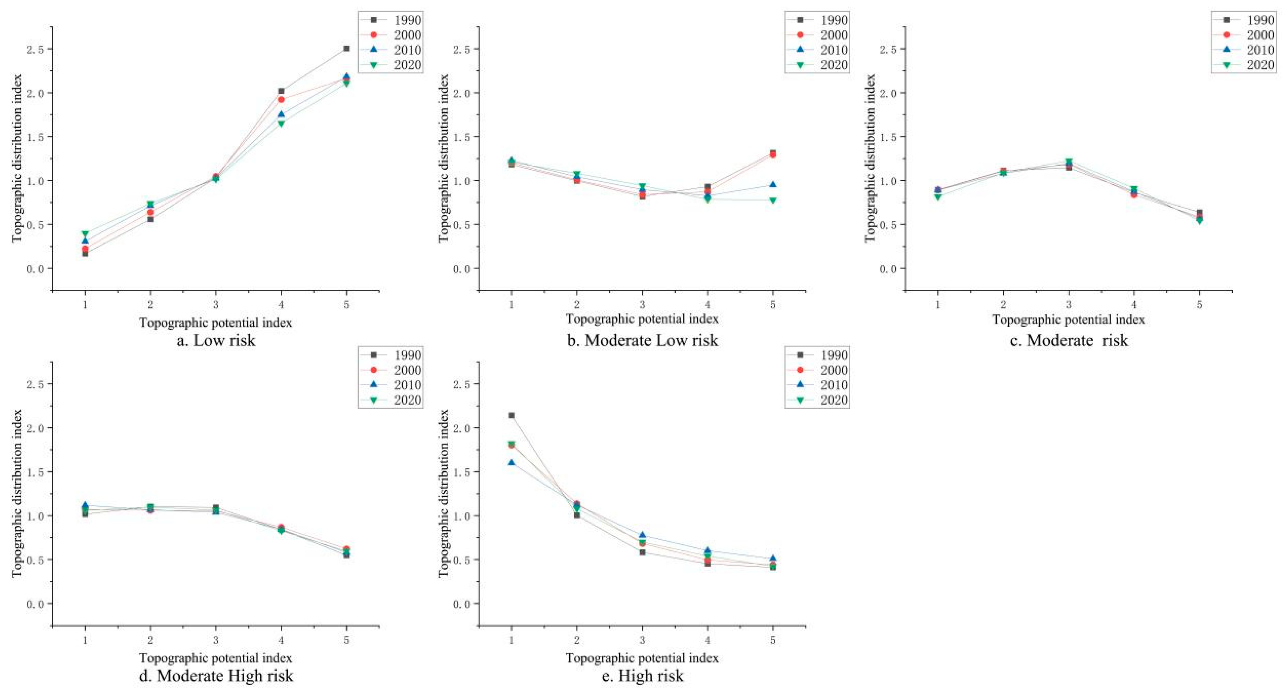
3.2. Analysis of the Temporal and Spatial Variation Characteristics of Ecological Risk
3.2.1. Ecological Risk Assessment Results
3.2.2. Spatial Correlation of Ecological Risks
4. Discussion and Analysis
4.1. Impact of the Topographic Gradient on the Spatial Distribution of the Ecological Risk
4.2. Response of the Ecological Risk to Human Activities under the Influence of Topographic Factors
4.3. Zoning Control Strategy for the Ecological Protection and Restoration of National Land and Space
4.4. Sustainable Development Strategy for the Regional Ecological Environment
4.5. Enlightenment
5. Conclusions
Author Contributions
Funding
Data Availability Statement
Conflicts of Interest
References
- Song, G.; Wang, P.; Wang, Y. Land-Use Types Change Characteristics and Spatial Heterogeneity in Bayan of Heilongjiang Province. Econ. Geogr. 2015, 35, 163–170. [Google Scholar]
- Zheng, K.; Li, C.; Wu, Y. Temporal and spatial variation of landscape ecological risk and influential factors in Yunnan mountainous area. Acta Ecol. Sin. 2022, 42, 7458–7469. [Google Scholar]
- Zhang, W.; Shi, P.; Tong, H. Research on Construction Land Use Benefit and the Coupling Coordination Relationship Based on a Three-Dimensional Frame Model—A Case Study in the Lanzhou-Xining Urban Agglomeration. Land 2022, 11, 460. [Google Scholar] [CrossRef]
- Li, Z.; Shi, P. Spatial Pattern Changes and Influencing Factors of Urban-Rural Construction Land Development Intensity in the Lanzhou—Xining Urban Agglomeration. J. Ecol. Rural. Environ. 2020, 36, 450–458. [Google Scholar]
- Pamela, T.; Christopher, H.; Amon, M. Changes in landuse/landcover patterns and human population growth in the Lake Chivero catchment, Zimbabwe. Geocarto Int. 2016, 32, 797–811. [Google Scholar]
- Zhao, Z.; Zhang, B.; Jin, X. Spatial gradients pattern of landscapes and their relations with environmental factors in Haihe River basin. Acta Ecol. Sin. 2011, 31, 1925–1935. [Google Scholar]
- Ma, S.; An, Y.; Yang, G. The analysis of distribution characteristics and reasons of NDVI change trends along the terrain gradient. Ecol. Environ. Sci. 2019, 28, 857–864. [Google Scholar]
- Pandey, P.; Soupir, M.; Haddad, M.; Rothwell, J. Assessing the impacts of watershed indexes and precipitation on spatial in-stream E. coli concentrations. Ecol. Indic. 2012, 23, 641–652. [Google Scholar] [CrossRef]
- Yin, D.; Qi, X.; Wang, Y.; Xu, R.; An, Y.; Wang, X.; Geng, H. Geochemical characteristics and ecological risk assessment of heavy metals in surface sediments of Baiyangdian Lake, Xiong’an New Area. Geol. China 2022, 49, 979–992. [Google Scholar]
- Zhang, C.; Zhao, L.; Zhang, H.; Chen, M.; Fang, R.; Yao, Y.; Zhang, Q.; Wang, Q. Spatial-temporal characteristics of carbon emissions from land use change in Yellow River Delta region, China. Ecol. Indic. 2022, 136, 108623. [Google Scholar] [CrossRef]
- Dong, Y.; Liu, S.; Wang, J.; Hou, X. Assessment of risk and carbon sequestration function of land consolidation based on landscape pattern. Trans. Chin. Soc. Agric. Eng. 2017, 33, 246–253. [Google Scholar]
- Wang, S.; Zhang, Q.; Wang, Z.; Yu, L.; Xiang, S.; Gao, M. GIS-based ecological risk assessment and ecological zoning in the Three Gorges Reservoir area. Acta Ecol. Sin. 2022, 42, 4654–4664. [Google Scholar]
- Wang, K.; Zheng, H.; Zhao, X.; Sang, Z.; Yan, W.; Cai, Z. Landscape ecological risk assessment of the Hailar River basin based on ecosystem services in China. Ecol. Indic. 2023, 147, 109795. [Google Scholar] [CrossRef]
- Chen, J.; Yang, Y.; Feng, Z.; Huang, R.; Zhou, G.; You, H. Ecological Risk Assessment and Prediction Based on Scale Optimization—A Case Study of Nanning, a Landscape Garden City in China. Remote Sens. 2023, 15, 1304. [Google Scholar] [CrossRef]
- Malekmohammsdi, B.; Jahanishakib, F. Vulnerability assessment of wetland landscape ecosystem services using driver-pressure-state-impact-response (DPSIR) model. Ecol. Indic. 2017, 82, 293–303. [Google Scholar] [CrossRef]
- Chen, H.; Li, D.; Chen, Y.; Zhao, Z. Spatial–Temporal Evolution Monitoring and Ecological Risk Assessment of Coastal Wetlands on Hainan Island, China. Remote Sens. 2023, 15, 1035. [Google Scholar] [CrossRef]
- Yan, J.; Li, G.; Qi, G.; Yao, X.; Qiao, H.; Song, M. Dynamic prediction and impact factors analysis of ecological risk in Chinese farming-pastoral ecotone. Hum. Ecol. Risk Assess. Int. J. 2023, 29, 123–143. [Google Scholar] [CrossRef]
- Cui, B.; Zhang, Y.; Wang, Z.; Gu, C.; Liu, L.; Wei, B. Ecological Risk Assessment of Transboundary Region Based on Land-Cover Change: A Case Study of Gandaki River Basin, Himalayas. Land 2022, 11, 638. [Google Scholar] [CrossRef]
- Wang, Q.; Zhao, X.; Pu, J. Spatial-temporal variations and influencing factors of eco-environment vulnerability in the karst region of Southeast Yunnan, China. Chin. J. Appl. Ecol. 2021, 32, 2180–2190. [Google Scholar]
- Chen, C.; Lv, Y.; Wang, T. Emerging issues and prospects for regionalecological risk assessment. Acta Ecol. Sin. 2010, 30, 808–816. [Google Scholar]
- Wolf, D.; Sobhani, P.; Esmaeilzadeh, H. Assessing Changes in Land Use/Land Cover and Ecological Risk to Conserve Protected Areas in Urban–Rural Contexts. Land 2023, 12, 231. [Google Scholar] [CrossRef]
- Liu, H.; Wang, R.; Sun, H.; Cao, W.; Song, J.; Zhang, X. Spatiotemporal evolution and driving forces of ecosystem service value and ecological risk in the Ulan Buh Desert. Front. Environ. Sci. 2022, 10, 1053797. [Google Scholar] [CrossRef]
- Gao, B.; Wu, Y.; Li, C.; Zheng, K.; Wu, Y.; Wang, M. Multi-Scenario Prediction of Landscape Ecological Risk in the Sichuan-Yunnan Ecological Barrier Based on Terrain Gradients. Land 2022, 11, 2079. [Google Scholar] [CrossRef]
- Li, H.; Su, F.; Guo, C.; Dong, L.; Song, F.; Wei, C. Landscape ecological risk assessment and driving mechanism of coastal estuarine tidal flats—A case study of the liaohe estuary wetlands. Front. Environ. Sci. 2022, 10, 1070009. [Google Scholar] [CrossRef]
- Lin, X.; Wang, Z. Landscape ecological risk assessment and its driving factors of multi-mountainous city. Ecol. Indic. 2023, 146, 109823. [Google Scholar] [CrossRef]
- Tang, C.; Wu, X.; Zhang, Q. Ecological security evaluations of the tourism industry in Ecological Conservation Development Areas: A case study of Beijing’s ECDA. J. Clean. Prod. 2018, 197, 999–1010. [Google Scholar] [CrossRef]
- Zhang, X.; Zhou, Q.; Zhang, J. Land UseEcological Risk Evaluation of the Barrier Area of Three Gorges Reservoir Area in Chongging Based on Comprehensive Fuzzy Evaluation. Res. Soil Water Conserv. 2013, 20, 262–266+301. [Google Scholar]
- Pereira, J.; Vásquez, Ó.C. The single machine weighted mean squared deviation problem. Eur. J. Oper. Res. 2017, 261, 515–529. [Google Scholar] [CrossRef]
- Li, H.; Jing, S.; Yang, Z. Ecological vulnerability assessment for ecological conservation and environmental management. J. Environ. Manag. 2018, 206, 1115–1125. [Google Scholar]
- Dzeroski, S. Applications of symbolic machine learning to ecological modelling. Ecol. Model. 2001, 146, 263–273. [Google Scholar] [CrossRef]
- Wang, Y.; Yang, Z.; Yu, M.; Lin, R.; Zhu, L.; Bai, F. Integrating Ecosystem Health and Services for Assessing Ecological Risk and its Response to Typical Land-Use Patterns in the Eco-fragile Region, North China. Environ. Manag. 2022, 71, 867–884. [Google Scholar] [CrossRef] [PubMed]
- Guo, Z.; Wei, W.; Pang, S.; Li, Z.; Zhou, J.; Xie, B. Spatio-Temporal evolution and motivation analysis of ecological vulnerability in Arid Inland River Basin based on SPCA and remote sensing index: A case study on the Shiyang River Basin. Acta Ecol. Sin. 2019, 39, 2558–2572. [Google Scholar]
- Pan, J.; Liu, X. Assessment of landscape ecological security and optimization of landscape pattern based on spatial principal component analysis and resistance model in arid inland area: A case study of Ganzhou District, Zhangye City, Northwest China. Chin. J. Appl. Ecol. 2015, 26, 3126–3136. [Google Scholar]
- Liu, D.; Chen, H.; Geng, T. Spatiotemporal changes of regional ecological risks in Shaanxi Province based on geomorphologic regionalization. Prog. Geogr. 2020, 39, 243–254. [Google Scholar] [CrossRef]
- Zhang, Q.; Ye, P.; Wang, J. Scientific discussion and ponder on the coordination of natural environmental in the upper Yellow River Basin. Adv. Earth Sci. 2023, 38, 320. [Google Scholar]
- Luo, J.; Zhang, X.; Shi, P. Land Use Multi-Functionality and Zoning Governance Strategy of Densely Populated Areas in the Upper Reaches of the Yellow River: A Case Study of the Lanzhou–Xining Region, China. Land 2022, 11, 897. [Google Scholar] [CrossRef]
- Tong, H.; Shi, P.; Luo, J.; Liu, X. The Structure and Pattern of Urban Network in the Lanzhou-Xining Urban Agglomeration. Chin. Geogr. Sci. 2020, 30, 59–74. [Google Scholar] [CrossRef]
- Ha, K.; Ding, Q.; Men, M. Spatial distribution of land use and its relationship with terrain factors in hilly area. Geogr. Res. 2015, 34, 909–921. [Google Scholar]
- Tang, G.; Song, J. Comparison of Slope Classification Methods in Slope Mapping from DEMs. J. Soil Water Conserv. 2006, 2, 157–160. [Google Scholar]
- Gong, W.; Wang, H.; Wang, X.; Fan, W.; Stott, P. Effect of terrain on landscape patterns and ecological effects by a gradient-based RS and GIS analysis. J. For. Res. 2017, 28, 1061–1072. [Google Scholar] [CrossRef]
- Wang, X.; Liu, G.; Xiang, A.; Xiao, S.; Lin, D. Terrain gradient response of landscape ecological environment to land use and land use pattern in the hilly watershed in South China. Ecol. Indic. 2023, 146, 109797. [Google Scholar] [CrossRef]
- Zhang, X.; Shen, J.; Sun, F.; Wang, S. Spatial-Temporal Evolution and Influencing Factors Analysis of Ecosystem Services Value: A Case Study in Sunan Canal Basin of Jiangsu Province, Eastern China. Remote Sens. 2022, 15, 112. [Google Scholar] [CrossRef]
- Tong, W.; Lang, F. Remote Sensing Monitoring and Analysis of LUCC of Wuhan in Recent 20 Years. J. Geomat. 2021, 46, 83–87. [Google Scholar]
- Fang, C. Progress and the future direction of research into urban agglomeration in China. Acta Geogr. Sin. 2014, 69, 1130–1144. [Google Scholar]
- Wei, S.; Pan, J.; Liu, X. Landscape ecological safety assessment and landscape pattern optimization in arid inland river basin: Take Ganzhou district as an example. Hum. Ecol. Risk Assess. Int. J. 2020, 26, 782–806. [Google Scholar] [CrossRef]
- Li, Q.; Zhang, Z.; Wan, L. Landscape pattern optimization in Ningjiang River Basin based on landscape ecological risk assessment. Acta Geogr. Sin. 2019, 74, 1420–1437. [Google Scholar]
- Li, H.; Ma, T.; Wang, K. Construction of ecological security pattern in Northern Peixian based on MCR and SPCA. J. Ecol. Rural. Environ. 2020, 36, 1036–1045. [Google Scholar]
- Zou, T.; Kunihiko, Y. Environmental vulnerability evaluation using a spatial principal components approach in the Daxing’anling region, China. Ecol. Indic. 2017, 78, 405–415. [Google Scholar] [CrossRef]
- Lu, Y.; Yan, L.; Xu, X. Ecological Vulnerability Assessment and Spatial Auto-Correlation Analysis over the Bohai Rim Region. Resour. Sci. 2010, 32, 303–308. [Google Scholar]
- Xu, Y.; Zhong, Y.; Feng, X.; Hu, L.; Zheng, L. Ecological risk pattern of Poyang Lake basin based on land use. Acta Ecol. Sin. 2016, 36, 7850–7857. [Google Scholar]
- Shi, Z.; Ma, L.; Zhang, W.; Gong, M. Differentiation and correlation of spatial pattern and multifunction in rural settlements considering topographic gradients: Evidence from Loess Hilly Region, China. J. Environ. Manag. 2022, 315, 115127. [Google Scholar] [CrossRef] [PubMed]
- Li, G.; Fang, C. Quantitative function identification and analysis of urban ecological production living spaces. Acta Geogr. Sin. 2016, 71, 49–65. [Google Scholar]
- Liao, J.; Jia, Y.; Tang, L.; Huang, Q.; Wang, Y.; Huang, N. Assessment of urbanization-induced ecological risks in an area with significant ecosystem services based on land use/cover change scenarios. Int. J. Sustain. Dev. World Ecol. 2018, 25, 448–457. [Google Scholar] [CrossRef]
- Feng, Y.; Li, G. Interaction between urbanization and eco-environment in Tibetan Plateau. Acta Geogr. Sin. 2020, 75, 1386–1405. [Google Scholar] [CrossRef]
- Liang, X.; Li, Y.; Zhao, Y. Coupling Land Use Analysis and Ecological Risk Assessment. Mt. Res. Dev. 2020, 40, R1–R10. [Google Scholar] [CrossRef]
- Wu, T.; Sun, P. Study on Import Trade Potential and Influencing Factors of National Woody Forest Products along “Silk Road Economic Belt”. Areal Res. Dev. 2021, 40, 32–38. [Google Scholar]
- Li, Q.; Shi, X.; Wu, Q. Exploring suitable topographical factor conditions for vegetation growth in Wanhuigou catchment on the Loess Plateau, China: A new perspective for ecological protection and restoration. Ecol. Eng. 2020, 158, 106053. [Google Scholar] [CrossRef]
- Amin, R.; Meghann, J.; Morgan, C. Incorporating social values and wildlife habitats for biodiversity conservation modeling in landscapes of the Great Plains. Landsc. Ecol. 2021, 36, 1137–1160. [Google Scholar]
- Guo, A.; Zhang, Y.; Yang, C. The Impact of Spatial Structure of Strategic Emerging Industries on Urban Carbon Emission Intensity—Based on the Investigation of Big Data of Enterprises in Lanzhou-Xining Urban Agglomeration. Urban Probl. 2022, 322, 4–16. [Google Scholar]
- Wang, G.; Dang, P.; Li, Y. Research on the evaluation system of new energy development decision in Dunhuang city based on analytic hierarchy process. Energy Rep. 2022, 8, 129–135. [Google Scholar] [CrossRef]










| Evaluation Indicators | Standardized Value | ||||
|---|---|---|---|---|---|
| Level 1 (Low) | Level 2 (Moderately Low) | Level 3 (Moderate) | Level 4 (Moderately High) | Level 5 (High) | |
| Elevation (m) | <1600 | 1600~2400 | 2400~3200 | 3200~4000 | >4000 |
| Slope (°) | <5 | 5~15 | 15~25 | 25~35 | >35 |
| NDVI | >0.65 | 0.65~0.5 | 0.5~0.35 | 0.35~0.2 | <0.2 |
| Annual mean temperature (°C) | >8 | 8~6 | 6~4 | 4~2 | <2 |
| Annual mean precipitation (mm) | >600 | 600~500 | 500~400 | 400~300 | <300 |
| Soil erosion | Slight hydraulic, wind, freeze–thaw erosion | Mild hydraulic, wind, freeze–thaw erosion | Moderate hydraulic, wind, freeze–thaw erosion | Intense hydraulic, wind, freeze–thaw erosion | Severe hydraulic, wind, freeze–thaw erosion |
| Distance from the water (m) | <200 | 200~1000 | 1000~2000 | 2000~3000 | >3000 |
| Population density (pop/km2) | <300 | 300~600 | 600~900 | 900~1200 | >1200 |
| Per capita GDP (yuan/km2) | <7500 | 7500~8000 | 8000~8500 | 8500~9000 | >9000 |
| Road density (km/km2) | <0.1 | 0.1~0.2 | 0.2~0.4 | 0.4~0.6 | >0.6 |
| Distance from industrial points (m) | >4000 | 4000~3000 | 3000~2000 | 2000~1000 | <1000 |
| Distance from residential areas (m) | >3000 | 3000~2000 | 2000~1000 | 1000~200 | <200 |
Disclaimer/Publisher’s Note: The statements, opinions and data contained in all publications are solely those of the individual author(s) and contributor(s) and not of MDPI and/or the editor(s). MDPI and/or the editor(s) disclaim responsibility for any injury to people or property resulting from any ideas, methods, instructions or products referred to in the content. |
© 2023 by the authors. Licensee MDPI, Basel, Switzerland. This article is an open access article distributed under the terms and conditions of the Creative Commons Attribution (CC BY) license (https://creativecommons.org/licenses/by/4.0/).
Share and Cite
Wang, Z.; Shi, P.; Shi, J.; Zhang, X.; Yao, L. Research on Land Use Pattern and Ecological Risk of Lanzhou–Xining Urban Agglomeration from the Perspective of Terrain Gradient. Land 2023, 12, 996. https://doi.org/10.3390/land12050996
Wang Z, Shi P, Shi J, Zhang X, Yao L. Research on Land Use Pattern and Ecological Risk of Lanzhou–Xining Urban Agglomeration from the Perspective of Terrain Gradient. Land. 2023; 12(5):996. https://doi.org/10.3390/land12050996
Chicago/Turabian StyleWang, Ziyang, Peiji Shi, Jing Shi, Xuebin Zhang, and Litang Yao. 2023. "Research on Land Use Pattern and Ecological Risk of Lanzhou–Xining Urban Agglomeration from the Perspective of Terrain Gradient" Land 12, no. 5: 996. https://doi.org/10.3390/land12050996
APA StyleWang, Z., Shi, P., Shi, J., Zhang, X., & Yao, L. (2023). Research on Land Use Pattern and Ecological Risk of Lanzhou–Xining Urban Agglomeration from the Perspective of Terrain Gradient. Land, 12(5), 996. https://doi.org/10.3390/land12050996
