Are Floods Becoming a More Expensive Hazard? A Damages Review of the Southeastern Spanish Coast (1996–2016)
Abstract
1. Introduction
2. Materials and Methods
2.1. Study Area
2.2. Legal Framework
2.3. Data and Methodology
3. Results
3.1. Flood Losses’ Evolution in the Study Area
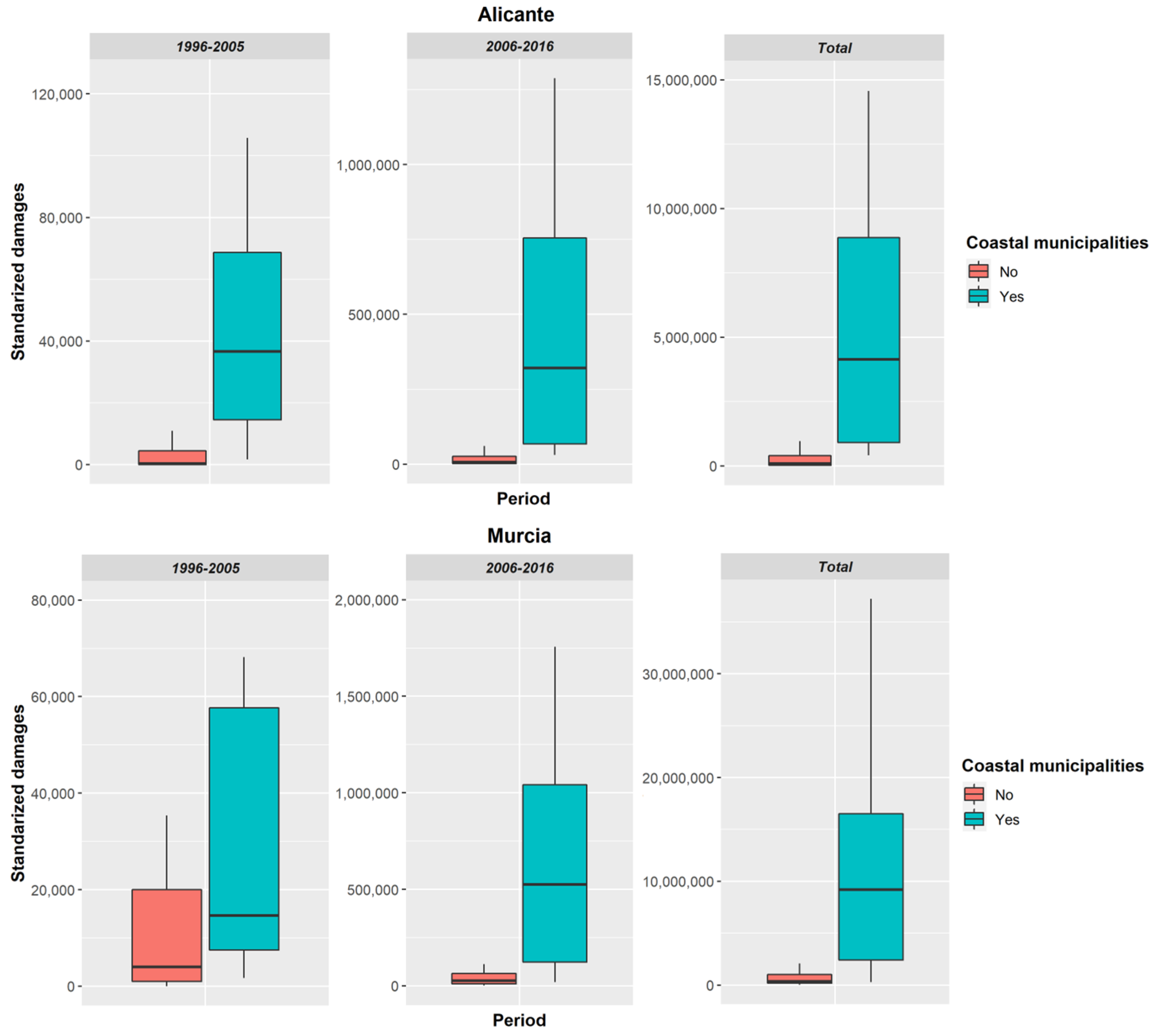
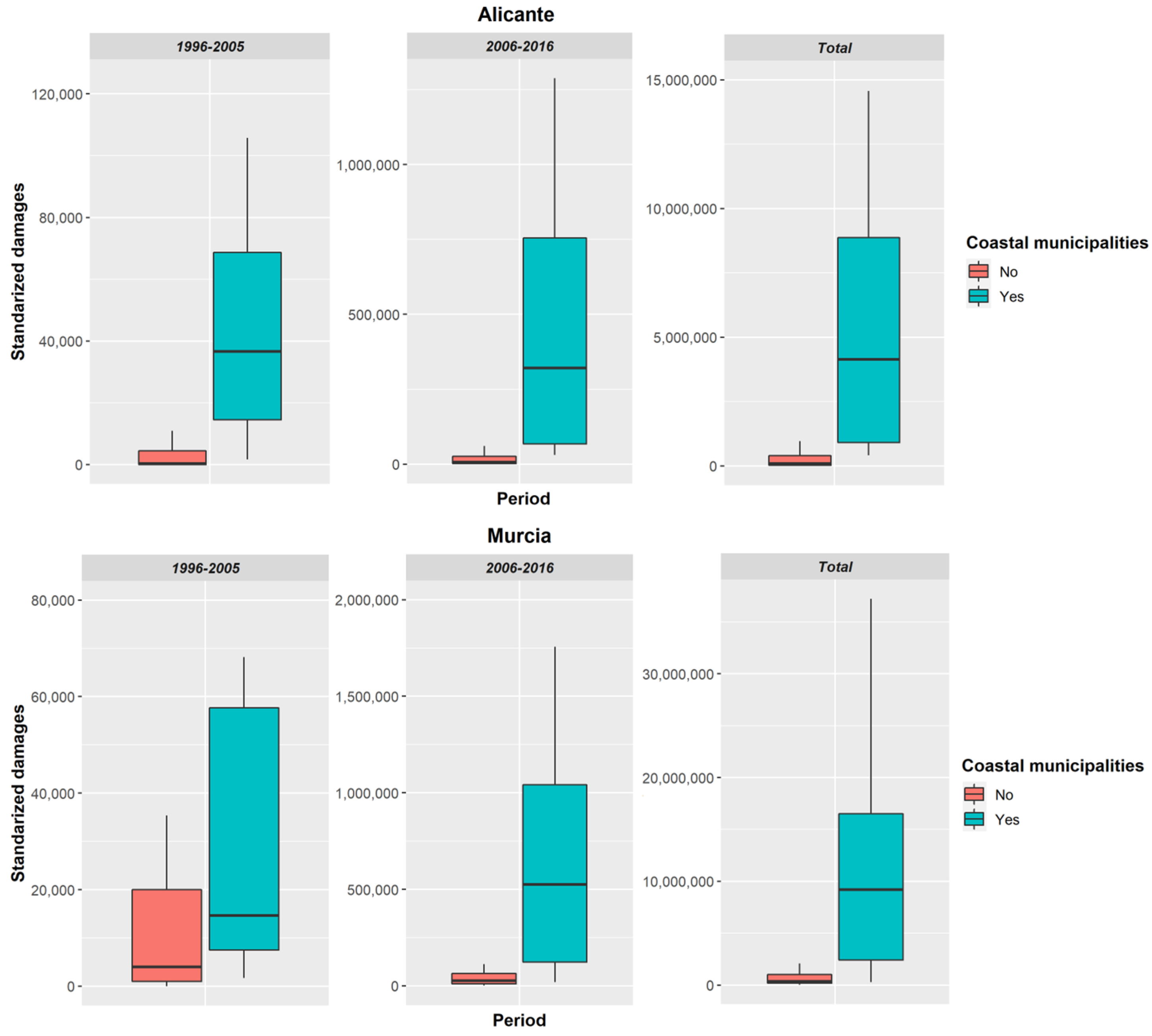
3.2. Flood Damages by Province
3.3. Spatial Distribution of Flood Events
4. Discussion
4.1. Temporal Flood Losses Evolution
4.2. Provincial Measures against Floods
4.3. Flood Events’ Spatial Distribution
5. Conclusions
Funding
Data Availability Statement
Acknowledgments
Conflicts of Interest
References
- EM-DAT. The International Disaster Database. Available online: https://www.emdat.be/ (accessed on 26 November 2021).
- Paprotny, D.; Sebastian, A.; Morales-Nápoles, O.; Jonkman, S.N. Trends in flood losses in Europe over the past 150 years. Nat. Commun. 2018, 9, 1985. [Google Scholar] [CrossRef] [PubMed]
- Munich Re. NatCatSERVICE. Available online: https://www.munichre.com/ (accessed on 10 August 2022).
- Elleder, L. Historical changes in frequency of extreme floods in Prague. Hydrol. Earth Syst. Sci. 2015, 19, 4307–4315. [Google Scholar] [CrossRef]
- Barrera-Escoda, A.; Llasat, M.C. Evolving flood patterns in a Mediterranean region (1301–2012) and climatic factors—The case of Catalonia. Hydrol. Earth Syst. Sci. 2015, 19, 465–483. [Google Scholar] [CrossRef]
- Barredo, J.I.; Saurí, D.; Llasat, M.C. Assessing trends in insured losses from floods in Spain 1971–2008. Nat. Hazards Earth Syst. Sci. 2012, 12, 1723–1729. [Google Scholar] [CrossRef]
- Bouwer, L. Have Disaster Losses Increased Due to Anthropogenic Climate Change? Bull. Am. Meteorol. Soc. 2011, 92, 36–46. [Google Scholar] [CrossRef]
- Llasat, M.C.; Llasat-Botija, M.; Barnolas, M.; López, L.; Altava-Ortiz, V. An analysis of the evolution of hydrometeorological extremes in newspapers: The case of Catalonia, 1982–2006. Nat. Hazards Earth Syst. Sci. 2009, 9, 1201–1212. [Google Scholar] [CrossRef]
- Olcina Cantos, J.; Sauri, D.; Hernández, M.; Ribas, A. Flood policy in Spain: A review for the period 1983–2013. Disaster Prev. Manag. 2016, 25, 41–58. [Google Scholar] [CrossRef]
- Pesaresi, M.; Ehrlich, D.; Kemper, T.; Siragusa, A.; Florczyk, A.; Freire, S.; Corbane, C. Atlas of the Human Planet 2017: Global Exposure to Natural Hazard; Publications Office of the European Union: Luxembourg, 2017. [Google Scholar]
- IPPC. Managing the Risks of Extreme Events and Disasters to Advance Climate Change Adaptation; Cambridge University Press: Cambridge, UK, 2012. [Google Scholar]
- Freddy, V.; Mohamed, E.S.; Douvinet, J.; Fehri, N.; Nasrallah, W.; Menad, W.; Mellas, S. Urbanization and land use as a driver of flood risk. In The Mediterranean Region under Climate Change; Moatti, J.P., Thiébault, T., Eds.; Institut de Recherche pour le Développment: Marseilles, France, 2016; pp. 563–575. [Google Scholar]
- Burriel, E. Empty urbanism: The bursting of the Spanish housing bubble. Urban Res. Pract. 2015, 9, 158–180. [Google Scholar] [CrossRef]
- López-Martínez, F.; Pérez-Morales, A.; Illán-Fernández, E.J. Are local administrations really in charge of flood risk management governance? The Spanish Mediterranean coastline and its institutional vulnerability issues. J. Environ. Plan. Manag. 2019, 63, 257–274. [Google Scholar] [CrossRef]
- Díaz Orueta, F. Turismo, urbanización y cambio social. Rev. Argent. Sociol. 2014, 2, 115–127. [Google Scholar]
- Romero, J.; Jiménez, F.; Villoria, M. (Un) sustainable territories: Causes of the speculative bubble in Spain (1996–2010) and its territorial, environmental, and sociopolitical consequences. Environ. Plan C Politics Space 2012, 30, 467–486. [Google Scholar] [CrossRef]
- Fernández Muñoz, S. La ausencia de referentes internacionales en el desarrollo del litoral español. Estud. Turísticos 2007, 172–173, 83–88. [Google Scholar]
- EMF. Hypostat 2009: A Review of Europe’s Mortgage and Housing Markets. Available online: https://hypo.org/emf/ (accessed on 17 July 2020).
- Burriel, E. La década prodigiosa del urbanismo español (1997–2006). Scr. Nova 2008, 270. [Google Scholar]
- Pérez-Morales, A.; Gil-Guirado, S.; Olcina-Cantos, J. Housing bubbles and increase of the exposure to floods. Failures in the flood management in the Spanish coast. J. Flood Risk Manag. 2015, 11, 5302–5313. [Google Scholar] [CrossRef]
- Llasat, M.C.; Marcos, R.; Llasat-Botija, M.; Gilabert, J.; Turco, M.; Quintana-Seguí, P. Flash flood evolution in North-Western Mediterranean. Atmos. Res. 2014, 149, 230–243. [Google Scholar] [CrossRef]
- Olcina Cantos, J. Cambio climático y riesgos climáticos en España. Investig. Geográficas 2009, 49, 197–220. [Google Scholar] [CrossRef]
- Iglesias, F. Urbanismo y Democracia. Alternativas Para Evitar la Corrupción; Fundación Alternativas: Madrid, Spain, 2007. [Google Scholar]
- Ministerio de Fomento. Estimación del Parque de Viviendas 2018. Available online: https://www.mitma.gob.es/ (accessed on 15 June 2020).
- Membrado Tena, J.C. Sunny Spain: Migrantes del sol y urbanismo expansivo en el litoral mediterráneo español. Ciudad. Territ. Estud. Territ. 2013, 178, 687–708. [Google Scholar]
- Romero Valiente, J.M. Migraciones. In Tendencias Demográficas Durante el Siglo XX en España; Arroyo Pérez, A., Ed.; Instituto Nacional de Estadística: Madrid, Spain, 2003; pp. 207–254. [Google Scholar]
- Serrano Martínez, J.M. Las viviendas de segunda residencia en la sociedad del “bienestar”. El caso de un país turístico: España. Cuad. Tur. 2003, 12, 53–76. [Google Scholar]
- INE. España en Cifras. 2019. Available online: https://www.ine.es/ (accessed on 7 December 2022).
- Harrison, J. Economic crisis and democratic consolidation in Spain, 1973–1982. IFCS—Work. Pap. Econ. Hist. 2006, 6, 1–33. [Google Scholar]
- Olcina Cantos, J.; Morote Seguido, Á.F.; Hernández Hernández, M. Evaluación de los riesgos naturales en las políticas de ordenación urbana de los municipios de la provincia de Alicante. Legislación y cartografía de riesgo. Cuad. Geográficos Univ. Granada 2018, 57, 152–176. [Google Scholar] [CrossRef]
- Fuchs, S.; Keiler, M.; Zischg, A.P. A spatiotemporal multi-hazard exposure assessment based on property data. Nat. Hazards Earth Syst. Sci. 2015, 15, 2127–2142. [Google Scholar] [CrossRef]
- Fuchs, S.; Röthlisberger, V.; Thaler, T.; Zischg, A.P.; Keiler, M. Natural hazard management from a coevolutionary perspective: Exposure and policy response in the European Alps. Ann. Am. Assoc. Geogr. 2017, 107, 382–392. [Google Scholar] [CrossRef] [PubMed]
- Lane, S.N.; Landström, C.; Whatmore, S.J. Imagining flood futures: Risk assessment and management in practice. Philos. Trans. R. Soc. A 2011, 369, 1784–1806. [Google Scholar] [CrossRef] [PubMed]
- Llasat, M.C.; Llasat-Botija, M.; Prat, M.A.; Porcu, F.; Price, C.; Mugnai, A.; Lagouvardos, K.; Kotroni, V.; Katsanos, D.; Michaelides, S.; et al. High-impact floods and flash floods in Mediterranean countries: The FLASH preliminary database. Adv. Geosci. 2010, 23, 47–55. [Google Scholar] [CrossRef]
- Fuchs, S. Susceptibility versus resilience to mountain hazards in Austria—Paradigms of vulnerability revisited. Nat. Hazards Earth Syst. Sci. 2009, 9, 337–352. [Google Scholar] [CrossRef]
- Parker, D.; Tapsell, S. Relations between Different Types of Social and Economic Vulnerability; ENSURE: Belgium, Brussels, 2009. [Google Scholar]
- CCS. Informe Anual 2019; Ministerio de Economía, Industria y Competitividad: Madrid, Spain, 2017. [Google Scholar]
- Barredo, J.I. Normalised flood losses in Europe: 1970–2006. Nat. Hazards Earth Syst. Sci. 2009, 9, 97–104. [Google Scholar] [CrossRef]
- Svetlana, D.; Radovan, D.; Ján, D. The economic impact of floods and their importance in different regions of the world with emphasis on Europe. Procedia Econom. Bus. Adm. 2015, 34, 649–655. [Google Scholar] [CrossRef]
- Castejón Porcel, G.; Romero Díaz, A. Inundaciones en la Región de Murcia en los inicios del siglo XXI. Biblio 3W Rev. Bibliográfica Geogr. Cienc. Soc. XIX 2014, 19, 41. [Google Scholar] [CrossRef]
- Olcina Cantos, J. El tratamiento de los riesgos naturales en la planificación territorial de escala regional. Pap. Geogr. 2010, 51–52, 223–234. [Google Scholar]
- Camarasa-Belmonte, A.M.; López-García, M.J.; Soriano-García, J. Mapping temporally-variable exposure to flooding in small Mediterranean basins using land-use indicators. Appl. Geogr. 2011, 31, 136–145. [Google Scholar] [CrossRef]
- Ruiz Álvarez, V. Estimating the Impact of Global Change on Drought Risk in Southeastern Spain: Assessment and Forecasting of Water Resources and Water Use. Ph.D. Thesis, University of Murcia, Murcia, Spain, 2020. [Google Scholar]
- Pérez-Morales, A.; Gil Guirado, S.; García Martín, F. Veinte años de protección de cauces en el litoral de la Región de Murcia (1994–2013). Evaluación de la eficiencia de las medidas de Ordenación del Territorio. An. Geogr. Univ. Complut. Madr. 2014, 35, 169–185. [Google Scholar] [CrossRef]
- Camarasa-Belmonte, A.M.; Soriano-García, J. Flood risk assessment and mapping in peri-urban Mediterranean environments using hydrogeomorphology. Application to ephemeral streams in the Valencia region (eastern Spain). Landsc. Urban Plan 2012, 104, 189–200. [Google Scholar] [CrossRef]
- Lara, A.; Saurí, D.; Ribas, A.; Pavón, D. Social perceptions of floods and flood management in a Mediterranean area (Costa Brava, Spain). Nat. Hazards Earth Syst. Sci. 2010, 10, 2081–2091. [Google Scholar] [CrossRef]
- Saurí, D.; Rivas, A.; Lara, A.; Pavón, D. La percepción del riesgo de inundación: Experiencias de aprendizaje en la Costa Brava. Pap. Geogr. 2010, 51–52, 269–278. [Google Scholar]
- Álvarez Rogel, Y.; Navarro Hervás, F.; Granell Pérez, M.C. Aproximación al riesgo de inundación en dos diputaciones de la ciudad de Cartagena (Murcia, España). Pap. Geogr. 2010, 51–52, 33–43. [Google Scholar]
- Rico Amorós, A.; Hernández Hernández, M.; Olcina Cantos, J.; Martínez Ibarra, E. Percepción del riesgo de inundaciones en municipios litorales alicantinos: ¿aumento de la vulnerabilidad? Pap. Geogr. 2010, 51–52, 245–256. [Google Scholar]
- Saurí, D.; Roset-Pagès, D.; Ribas-Palom, A.; Pujol-Caussa, P. The ‘escalator effect’ in flood policy: The case of the Costa Brava, Catalonia, Spain. Appl. Geogr. 2001, 21, 127–143. [Google Scholar] [CrossRef]
- Hartmann, T.; Driessen, P. The Flood Risk Management Plan: Towards Spatial Water Governance. J. Flood Risk Manag. 2017, 10, 145–154. [Google Scholar] [CrossRef]
- Jiménez, F. Building Boom and Political Corruption in Spain. South Eur. Soc. Politics 2009, 14, 255–272. [Google Scholar] [CrossRef]
- Olcina Cantos, J. De los mapas de zonas afectadas a las cartografías de riesgo de inundación en España. An. Geogr. Univ. Complut. 2012, 32, 91–131. [Google Scholar] [CrossRef]
- CCS. Actividad y Funciones; Ministerio de Economía, Industria y Competitividad: Madrid, Spain, 2018. [Google Scholar]
- Berz Gerhard, K.; Wolfgang, L.; Thomas, R.; Eric Schimetschek, J.; Schmieder, J.; Siebert, A.; Smolka, A.; Wirtz, A. World map of natural hazards—A global view of the distribution and intensity of significant exposures. Nat. Hazards 2001, 23, 443–465. [Google Scholar] [CrossRef]
- Jonkman, S.N. Global perspectives on loss of human life caused by floods. Nat. Hazards 2005, 34, 151–175. [Google Scholar] [CrossRef]
- RStudio Team. Integrated Development for R. Available online: https://posit.co/downloads/ (accessed on 15 July 2020).
- Barriendos, M.; Llasat, M.C. The case of the ‘Maldá’ anomaly in the western Mediterranean basin (AD 1760–1800): An example of a strong climatic variability. Clim. Change 2003, 61, 191–216. [Google Scholar] [CrossRef]
- Dünkeloh, A.; Jacobeit, J. Circulation dynamics of Mediterranean precipitation variability 1948–98. Int. J. Climatol. 2003, 23, 1843–1866. [Google Scholar] [CrossRef]
- Gallego, M.C.; Trigo, R.; Vaquero, J.; Brunet, M.; García, J.; Sigró, J.; Valente, M. Trends in frequency indices of daily precipitation over the Iberian Peninsula during the last century. J. Geophys. Res. Atmos. 2011, 116, 1–18. [Google Scholar] [CrossRef]
- Benito, G.; Machado, M. Floods in the Iberian Peninsula. In Changes in Flood Risk in Europe; Kundzewicz, Z., Ed.; CRC Press: London, UK, 2012; pp. 372–383. [Google Scholar] [CrossRef]
- Cortesi, N.; González-Hidalgo, J.C.; Brunetti, M.; Martin-Vide, J. Daily precipitation concentration across Europe 1971–2010. Nat. Hazards Earth Syst. Sci. 2012, 12, 2799–2810. [Google Scholar] [CrossRef]
- López-Martínez, F.; Gil-Guirado, S.; Pérez-Morales, A. Who can you trust? Implications of institutional vulnerability in flood exposure along the Spanish Mediterranean coast. Environ. Sci. Policy 2017, 76, 29–39. [Google Scholar] [CrossRef]
- Cutter, S.L. Vulnerability to environmental hazards. Prog. Hum. Geogr. 1996, 20, 529–539. [Google Scholar] [CrossRef]
- Cutter, S.L.; Boruff, B.J.; Shirley, W.L. Social vulnerability to environmental hazards. Soc. Sci. Q. 2003, 84, 242–261. [Google Scholar] [CrossRef]
- Martínez Ibarra, E. A geographical approach to post-flood analysis: The extreme flood event of 12 October 2007 in Calpe (Spain). Appl. Geogr. 2012, 32, 490–500. [Google Scholar] [CrossRef]
- Gil Meseguer, E.; Morales, A.; Espín, J.M. Precipitaciones y avenidas del 28 de septiembre de 2012 en el cuadrante suroccidental de la cuenca de Segura, (municipios de Lorca, Puerto Lumbreras y Pulpí). Pap. Geogr. 2012, 55–56, 75–94. [Google Scholar]
- White, G.F. Changes in Urban Occupance of Flood Plains in the United States; University of Chicago: Chicago, IL, USA, 1958. [Google Scholar]
- White, G.F. Natural hazards research. In Directions in Geography, 1st ed.; Chorley, R.J., Ed.; Routledge: London, UK, 1973; pp. 1–24. [Google Scholar]
- Martínez-Gomariz, E.; Forero-Ortiz, E.; Guerrero-Hidalga, M.; Castán, S.; Gómez, M. Flood Depth–Damage Curves for Spanish Urban Areas. Sustainability 2020, 12, 2666. [Google Scholar] [CrossRef]
- Gaume, E.; Bain, V.; Bernardara, P.; Newinger, O.; Barbuc, M.; Bateman, A.; Blaškovičová, L.; Blöschl, G.; Borga, M.; Dumitrescu, A.; et al. A compilation of data on European flash floods. J. Hydrol. 2009, 367, 70–78. [Google Scholar] [CrossRef]
- Marchi, L.; Borga, M.; Preciso, E.; Gaume, E. Characterisation of selected extreme flash floods in Europe and implications for flood risk management. J. Hydrol. 2010, 394, 118–133. [Google Scholar] [CrossRef]
- Millán, E.; Millán, M.J.; Miró, J. Rainfall components: Variability and spatial distribution in a Mediterranean Area (Valencia Region). J. Clim. 2005, 18, 2682–2705. [Google Scholar] [CrossRef]
- Martín-Vide, J.; Moreno-García, M.C.; López-Bustins, J.A. Synoptic causes of torrential rainfall in South-eastern Spain (1941–2017). Cuad. Investig. Geográfica 2021, 47, 143–162. [Google Scholar] [CrossRef]
- Pastor, F.; Gómez, I.; Estrela, M.J. Numerical study of the October 2007 flash flood in the Valencia region (Eastern Spain): The role of orography. Nat. Hazards Earth Syst. Sci. 2010, 10, 1331–1345. [Google Scholar] [CrossRef]
- Romero Díaz, A.; Maurandi Guirado, A. Las inundaciones en la cuenca del Segura en las dos últimas décadas del siglo XX: Actuaciones de prevención. Ser. Geográfica 2000, 9, 93–120. [Google Scholar]








| Year | Mean Amount | Amount | % | Accumulated Amount | Accumulated % |
|---|---|---|---|---|---|
| 1996–1997 | 29,280,875 | 58,206,804 | 15 | 58,206,804 | 15 |
| 1998–2006 | 4,723,710 | 40,298,775 | 11 | 98,505,579 | 26 |
| 2007 | 85,475,562 | 85,475,562 | 23 | 183,981,141 | 49 |
| 2008–2016 | 21,736,264 | 194,770,700 | 51 | 378,751,841 | 100 |
| Assets | Flood Damages | |||||||
|---|---|---|---|---|---|---|---|---|
| 1996 | 2016 | % Increase | Average 1996–2005 | Average 2006–2016 | % Increase | Total Amount (1996–2016) | % | |
| Businesses | 774,544 | 19,548,384 | 2524 | 3,169,579 | 5,944,748 | 188 | 97,087,905 | 26 |
| Industry | 148,066 | 3,050,219 | 2060 | 1,630,132 | 2,173,277 | 133 | 40,206,817 | 11 |
| Civil engineering | 88,001 | 1,370,144 | 1557 | 247,671 | 495,526 | 200 | 7,926,984 | 2 |
| Offices | 5318 | 608,991 | 11,452 | 103,180 | 377,875 | 366 | 5,188,011 | 1 |
| Motor vehicles | 261,495 | 6,480,502 | 2478 | 1,431,444 | 3,679,524 | 257 | 54,789,082 | 14 |
| Dwellings | 1,499,693 | 24,281,590 | 1619 | 3,102,283 | 12,957,316 | 418 | 173,553,042 | 46 |
| Total amount | 2,777,116 | 55,339,829 | 1993 | 9,684,290 | 25,628,265 | 265 | 378,751,841 | - |
| Province | Assets | Flood Damages | |||||||
|---|---|---|---|---|---|---|---|---|---|
| 1996 | 2016 | Variation (%) | Average 1996–2005 | Average 2006–2016 | Variation (%) | Total Amount (1996–2016) | % | ||
| Alicante | Businesses | 735,880 | 1,261,369 | 71 | 2,416,220 | 2,465,784 | 2 | 51,285,796 | 24 |
| Industry | 124,444 | 370,014 | 197 | 1,081,879 | 656,941 | −39 | 18,044,914 | 8 | |
| Civil engineering | 0 * | 428,652 | 42,865,200 | 151,592 | 54,390 | −64 | 2,114,003 | 1 | |
| Offices | 5318 | 20,022 | 277 | 73,581 | 156,719 | 113 | 2,459,421 | 1 | |
| Motor vehicles | 256,222 | 520,317 | 103 | 1,037,655 | 2,011,755 | 94 | 32,505,795 | 15 | |
| Dwellings | 1,485,340 | 3,422,749 | 130 | 2,495,064 | 7,514,851 | 201 | 107,613,905 | 50 | |
| Total amount | 2,607,204 | 6,023,123 | 131 | 7,255,990 | 12,860,441 | 77 | 214,023,834 | - | |
| Murcia | Businesses | 38,664 | 18,287,015 | 47,198 | 753,359 | 3,478,963 | 362 | 45,802,190 | 28 |
| Industry | 23,623 | 2,680,204 | 11,246 | 548,254 | 1,516,336 | 177 | 22,161,903 | 13 | |
| Civil engineering | 88,001 | 941,492 | 970 | 96,079 | 441,136 | 359 | 5,812,981 | 4 | |
| Offices | 0 * | 588,969 | 58,896,900 | 29,599 | 221,156 | 647 | 2,728,590 | 2 | |
| Motor vehicles | 5273 | 5,960,185 | 112,931 | 393,789 | 1,667,769 | 324 | 22,283,287 | 14 | |
| Dwellings | 14,352 | 20,858,840 | 145,235 | 607,219 | 5,442,464 | 796 | 65,939,137 | 40 | |
| Total amount | 169,913 | 49,316,706 | 28,925 | 2,428,299 | 12,767,824 | 426 | 164,728,007 | - | |
Disclaimer/Publisher’s Note: The statements, opinions and data contained in all publications are solely those of the individual author(s) and contributor(s) and not of MDPI and/or the editor(s). MDPI and/or the editor(s) disclaim responsibility for any injury to people or property resulting from any ideas, methods, instructions or products referred to in the content. |
© 2023 by the author. Licensee MDPI, Basel, Switzerland. This article is an open access article distributed under the terms and conditions of the Creative Commons Attribution (CC BY) license (https://creativecommons.org/licenses/by/4.0/).
Share and Cite
López-Martínez, F. Are Floods Becoming a More Expensive Hazard? A Damages Review of the Southeastern Spanish Coast (1996–2016). Land 2023, 12, 1035. https://doi.org/10.3390/land12051035
López-Martínez F. Are Floods Becoming a More Expensive Hazard? A Damages Review of the Southeastern Spanish Coast (1996–2016). Land. 2023; 12(5):1035. https://doi.org/10.3390/land12051035
Chicago/Turabian StyleLópez-Martínez, Francisco. 2023. "Are Floods Becoming a More Expensive Hazard? A Damages Review of the Southeastern Spanish Coast (1996–2016)" Land 12, no. 5: 1035. https://doi.org/10.3390/land12051035
APA StyleLópez-Martínez, F. (2023). Are Floods Becoming a More Expensive Hazard? A Damages Review of the Southeastern Spanish Coast (1996–2016). Land, 12(5), 1035. https://doi.org/10.3390/land12051035

