Abstract
This study examined the relationships between different types of urban green and blue space (UGS/UBS) and self-reported health (SRH), and the disparities in the health benefits associated with them. Using data from a social survey in Shandong Province and multi-source data including remote sensing land use and vector polygons of parks from map service providers, we measured the proximity and coverage ratio of various UGS/UBS types. The Euclidean distance measures the proximity of homes to parks and rivers. The coverage ratio measures the total green space, forests, grassland, and freshwater. The health benefits were gauged by SRH. We found that the proximity to parks and rivers had a positive influence on the SRH of all the respondents. For the elderly, the proximity to parks and the coverage ratio of total green space and grassland within a 0.5 km circular buffer were significantly associated with SRH. The coverage ratio of the total green space and grassland both had positive relationships with the SRH of the high-income groups. The closer they were to rivers, the healthier the youth and females were. Our results suggest that urban planners should take the types of UGS/UBS into account to create a better living environment that optimally benefits residents’ SRH.
1. Introduction
Urban green space and blue space provide important ecosystem services and benefit human well-being [,]. Urban green space (UGS) is natural or artificial outdoor areas consisting of vegetation, such as community gardens, forests, street trees, and parks []. Urban blue space (UBS) is considered a hydrographic feature including waterbodies (e.g., rivers and lakes) or water drainage networks (e.g., canals and ditches) []. Urban green space improves the living environment by regulating the urban climate, mitigating air pollutants, and reducing noise levels []. Urban green space also provides places for residents to relax, exercise, and promote social interaction, which are beneficial for the physical health and mental health of residents []. Meanwhile, studies have suggested that urban blue space could enhance health by increasing physical activity levels [], improving psychological restoration, and reducing distress [,].
Various studies about “green/blue-health” relations identified the discrepancies of health benefits on different demographical and socio-economic groups of age, sex, education degree, and socio-economic status. For instance, the connection between green spaces in residential areas in the Netherlands and public health conditions was more pronounced among specific groups such as housewives, the elderly, and lower-educated populations compared to other groups. []. Another study from the Netherlands showed that the elderly, youth, and lower socioeconomic and secondary educated groups benefit more from green areas than other groups in large cities []. Green space could lower men’s mortality rates according to a UK study; however, no such effects prevailed for women []. In Utah, USA, people of lower socio-economic status and Hispanic respondents lived closer to the urban blue space, but higher socio-economic status and White respondents visited the blue space more frequently and potentially gained more health benefits from the waterbodies [].
To further explore the discrepancies of health-related benefits of UGS/UBS, emerging studies investigated how public accessibilities, various types, and different functions of UGS/UBS were associated with public health. Research from the UK indicated that parks with young-people-targeted facilities and private gardens are both important to children’s physical activity []. Exposure to forests, farmland, gardens, grassland, and the coast in Great Britain was found to have positive associations with people’s health, with the forests and grassland showing the highest effects []. Another study conducted in Scotland found that while adults’ overall health condition was related to the visitation of green spaces, frequent visits to various types of water bodies such as rivers and canals were associated with better mental health []. On the whole, studies that examined how different types of UGS/UBS matter in health outcomes noted that more comprehensive consideration of UGS/UBS types is necessary, which could avoid treating UGS/UBS as a homogenous entity [].
While precedent studies have suggested that the “green/blue space-health” relationships vary based on demographic and socioeconomic characteristics [], and have further examined different types and characteristics of UGS/UBS, these studies were mostly conducted in developed countries. Therefore, it remains unclear whether similar observations hold in China due to the limited number of relevant studies. Furthermore, research on the health effects of freshwater within urban areas is scarce [,], especially in the Chinese context. Additionally, investigations on the relationships between people’s general health and UGS/UBS in China often relied on measurements by using the centroid or boundary of residential neighborhoods, which could not fully reflect UGS/UBS conditions around the home and thus may lead to biased estimations [].
Against this background, our research expanded the current studies in the following aspects. First, we explored how different types of UGS/UBS (total green space; forests; grassland; parks; freshwater; rivers) are associated with residents’ health. Second, we further analyzed whether these relationships differed by various demographic and socioeconomic attributes of age, gender, and income levels, to find potential disparities in the health benefits. The questionnaire survey data we used involved a large sample of urban residents in Shandong Province. What is more, we measured UGS/UBS indices based on finer spatial scales of personal residential addresses to reflect actual nearby green/blue space. Our results could provide planning recommendations aiming to encourage the effective utilization of green and blue space for promoting public health.
The structure of this paper is as follows: Section 1 is the introduction to the whole article. Section 2 describes the study area. Section 3 includes three parts which are data processing, the measures of variables, and the analytical methods. Section 4 is the results of the paper including the main findings and the sensitivity analyses. Section 5 discusses the divergent effects of different types of UGS/UBS on the SRH of all residents and subgroups. Section 6 concludes the findings of this study.
2. Study Area
The study area is China’s Shandong Province and Figure 1 shows the location and sample distribution in our study. Shandong has a seasonal temperate semi-humid monsoon climate, with moderate rainfall and good photothermal conditions []. At the end of 2017, Shandong Province had a total population of 101.7 million [], making it the second most populous province. Its GDP was 7263.4 billion CNY, making it the third-largest province in China. Meanwhile, the urbanization level of Shandong Province is higher than the average, with an urbanization rate of 60.58%, although economic development is unbalanced within the province []. The urban population density was 634 people per square kilometer, ranking first in 2017. As to urban greening, Shandong also has an above-average level. The area of parks is 63,042 hectares, second only to Guangdong Province. What is more, the overall green space in urban area is 235,690 hectares, accounting for 1.5 percent of the total land area of the province [].

Figure 1.
The number of samples used in our study (n = 1208) aggregated at the prefecture city level within Shandong Province.
Shandong Province has been attaching great importance to the construction of urban green space. The provincial government emphasized that Shandong should safeguard green and blue spaces to improve the living environments of the residents []. In 2017, Shandong Province stepped up efforts to build green space in cities, issuing several related plans and policies to prioritize the comprehensive benefits and the equilibrium of the layout of UGS, highlighting the improvement of urban green space planning and relevant benefits to residents [].
3. Measures and Methods
3.1. Data Processing
The Shandong General Social Survey (SGSS) is a comprehensive and continuous large-scale social research project led by Shandong University. Since its inception in 2017, it collected comprehensive socio-economic data in Shandong Province for three consecutive years. The respondents were individuals over 18 years of age who had lived in Shandong Province for more than 6 months at the time the survey was taken. All 17 prefecture-level cities of Shandong Province were included in the sampling frame, and 52 districts/counties and 199 communities were selected by a multi-stage sampling method. The survey recorded the detailed address locations and socio-economic attributes of the residents. In this study, we used the 2017 wave SGSS with a total sample number of 4312.
Based on the detailed address location, we were able to identify the longitude and latitude by searching a mapping service provider Gaode Map. To ensure the accuracy of the data, we further manually compared the names of the addresses in the survey data with the actual names of the addresses on the Gaode Map. Given that our focus was urban areas, the samples in rural areas and those with missing information were excluded, and a total of 1208 urban samples were finally used in the analyses.
3.2. Measures
3.2.1. Dependent Variable
We used a widely implemented indicator—self-reported health (SRH)—for assessing the current health status of individuals. The respondents were asked to evaluate their current health condition, and they responded with one of the following five categories: very bad; bad; fair; good; or very good, which were coded into a five-point Likert scale. All respondents answered this question. Despite SRH being measured by a single item, it has been proven to be a robust predictor of people’s general health condition, and it is found to be highly correlated with other physical and psychological dimensions of health and is a reliable predictor of all-cause mortality, morbidity, and mortality for a range of diseases [,,,]. A one-item question is easy to implement in a survey and is favorable among urban planners to assess the health benefits of the built environment [,,].
3.2.2. Key Variables
Our study not only considered all types of urban green space and blue space but analyzed different types separately. Urban green space is gauged by total green space that includes all possible green space in the urban area and different types including forests, grassland, and park. Urban blue space was reflected by total freshwater and rivers. The data for measuring total green space, total freshwater, and green space types (forests and grassland) was extracted from the finer resolution observation and monitoring global land cover dataset (2017) with 10 m resolution []. The land cover of this dataset was classified into ten types, including cropland, forests, grassland, shrubland, wetland, water, tundra, impervious, barren, and snow/ice. We considered forests, grassland, and shrubland as urban total green space and defined water land use as total freshwater. We also measured forests and grassland separately to differentiate the types of green space. Due to the very small proportion of shrubland (0.13%) within 0.5 km, we excluded the shrubland from the measurement. The parks’ locations and boundaries were extracted from Google Maps in 2017, which included publicly accessible ones only and excluded all gardens in gated private or institutional premises or green spaces on university campuses that restrain the entry of all residents. The rivers of Shandong Province came from the Chinese watershed and the river networks dataset [].
We utilized the following indicators based on previous studies to measure UGS/UBS: (1) the proximity to parks and rivers, measured by the Euclidean distance from the respondent’s home location to the boundary of the nearest parks or rivers; (2) the coverage ratio was used to measure the quantity of total green space and freshwater, forests, grassland, and parks within a 0.5 km circular buffer around each respondent’s address; and (3) the number of parks were also counted within a 0.5 km circular buffer around each respondent’s home location. We also calculated the coverage ratio of total green space, forests, grassland, parks, freshwater, and the number of parks within 1 km, 1.5 km, and 3 km circular buffers for the sensitivity test. All indicators were treated as continuous variables except for the coverage ratio of parks and total freshwater within the 0.5 km circular buffer because of their large number of 0 values. We treated the coverage ratios of the parks and freshwater within the 0.5 km circular buffer as dummy variables according to their existence or absence.
3.2.3. Covariates
The following variables were included as covariates in our models: (1) demographical and socio-economic indicators: age; gender; marital status; children; annual total personal income level; household registration; education level; housing property; housing area level; family car; and exercise frequency; (2) neighborhood indicators: community type; and townships and urban sub-districts; and (3) a time indicator: the month in which the participants were surveyed to control for seasonal variance. There were 277 missing values for the income variable, so we treated the missing values as other classes in our analysis to include more observations, and the omissions of other covariates were low. Table 1 shows the statistical description of the dependent variable, key variables, and covariates.

Table 1.
Descriptive statistics of the variables.
3.3. Analytical Methods
We used ordinary least squares (OLS) regression models for analysis based on the following equation.
SRHi = β0 + β1Ki + β2Di +β3Ni + β4Ti + εi
More specifically, SRHi is the dependent variable, representing the level of self-rated health of respondent i. The vector Ki represents key variables including green and blue space indicators. The vector Di represents the demographic and socio-economic indicators. The vector Ni represents the neighborhood indicators, and the vector Ti represents the time indicator. We run the regression models in all samples and different subgroups defined by age, gender, and income level and confirmed that there was no obvious multicollinearity among those independent variables and the mean VIF (variance inflation factor) was lower than 10, and the distribution of the error term (εi) was accorded with normal distribution.
4. Results
4.1. Main Findings
Figure 2 and Table 2 show the regression results of all respondents and Figure 3 shows the regression results of different subgroups. The full regression results of the stratification analyses are available in the Supplementary Material Tables S1–S5.

Figure 2.
The regression results of all respondents. Note: Model 2: Distance to Parks; Model 3: Distance to Rivers; Model 4a: Coverage Ratio of Green Space; Model 4b: Coverage Ratio of Freshwater; Model 5a: Coverage Ratio of Forests; Model 5b: Coverage Ratio of Grass; Model 6a: Coverage Ratio of Parks; and Model 6b: Number of Parks.

Table 2.
Results of the regressions of all respondents.

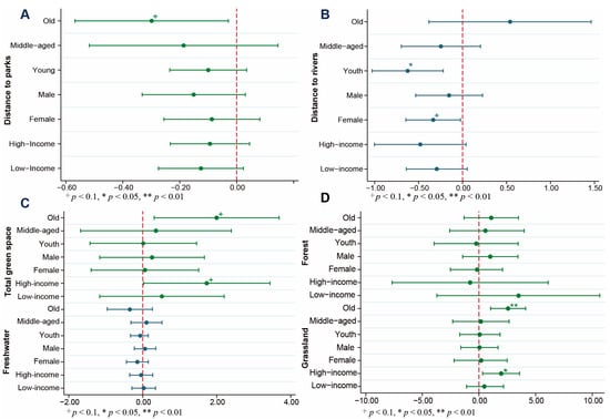
Figure 3.
The regression results of the different subgroups. Note: (A) Coefficients between SRH and park distances by subgroup. (B) Coefficients between SRH and river distances by subgroup. (C) Coefficients between SRH and the coverage ratio of green space and freshwater by subgroup. (D) Coefficients between SRH and the coverage ratio of forests and grassland by subgroup.
Base Model 1 in Table 2 showed the effects of demographic and socio-economic indicators as well as other covariates on SRH from all samples. We found that having children, earning a high income, living in a large house, and frequently exercising had positive effects on the respondents’ SRH, while age had a negative effect on the respondents’ SRH. The results of Model 2 and Model 3 showed that the distances to parks and rivers were negatively associated with the SRH of all respondents when the covariates were controlled. The results of Model 4, Model 5, and Model 6 show that the coverage ratio of total green space, freshwater, forests, grassland, and parks, as well as the number of parks, had nonsignificant effects on the SRH of all respondents. The estimated coefficients were also plotted in Figure 2.
Figure 3 presents the results of regression analyses on various subgroups regarding different types of green and blue spaces. The distance to parks was found to be negatively related to the SRH of the elderly, as shown in Figure 3A. In Figure 3B, a statistically significant relationship was observed between the distance to rivers and the SRH of the youth and females. The results in Figure 3C indicate a positive association between the coverage ratio of total green space and the SRH of the elderly population and individuals with a high income. Figure 3D shows that the coverage ratio of grassland was positively associated with the SRH of the elderly and residents with a high-income level.
Conversely, there were no associations between the distance to parks and the SRH of middle-aged, youth, male, female, high-income, or low-income individuals, as shown in Figure 3A. Similarly, Figure 3B shows no significant relationships between the distance to rivers and the SRH of the old, adults, and males nor were there any associations between the distance to rivers and the SRH of residents with different income levels. In Figure 3C, the coverage ratio of total green space tended not to be related to the SRH of middle-aged, youth, male, female, or low-income individuals. The coverage ratio of freshwater had no relationship with the SRH of any subgroups. Finally, in Figure 3D, the coverage ratio of the forests had no relationship with the SRH of any subgroups, and the coverage ratio of forests and grassland appeared not to be related to the SRH of the middle-aged, youth, male, female, and low-income individuals. Neither the coverage ratio of parks nor the number of parks had any associations with any subgroups’ SRH, so these results were not reported.
4.2. Sensitivity Analysis
We checked whether the relationships between UGS/UBS and SRH varied across the different buffer sizes. According to Tables S6–S14 in the Supplementary Material, the 1 km, 1.5 km, and 3 km circular buffers were chosen for sensitivity analysis. The analysis results showed that the relationships between UGS/UBS and SRH within the 1 km buffer were consistent with the 0.5 km circular buffer, and no significant associations were identified within the 1.5 km or 3 km circular buffer. Different distance thresholds were tested regarding the proximity to parks and rivers. This is because there were samples with very large distances to parks and rivers that might lead to biased results. In the models with total population and subgroups, we included only the samples within 5 km of parks and 5 km of rivers [,]. Following previous studies [,], we also tested 3 km, 4 km, and 10 km thresholds for parks and 10 km for rivers, and the results were largely consistent.
5. Discussion
This study has examined associations between UGS/UBS and self-reported health and how the relationships varied among different subgroups of urban residents by using a social survey in Shandong Province, China. In general, we found that different types of green/blue space had varying associations with the respondents’ SRH. Of particular interest was whether specific green/blue spaces would have different effects on the subgroups. The results indicated that the proximities to parks and rivers had positive relations with the SRH of all residents in the sample. In the stratification analyses, the SRH of the elderly was significantly associated with their proximity to parks. Living closer to rivers had significant and positive impacts on the SRH of the youth and females. Meanwhile, the SRH of the elderly and residents with a high-income level was significantly associated with the coverage ratio of total green space and grassland within a 0.5 km buffer.
5.1. Effects of Different Types of UGS/UBS on the SRH of All Residents
Closer proximity to parks was positively related to SRH in our research, and this finding is consistent with previous research [,]. Living close to parks could encourage more physical activity, which significantly contributes to residents’ health by reducing the risk for all-cause mortality and numerous chronic diseases [], as well as decreasing the probability of adult obesity []. Visiting a park could help to relieve stress and enhance contemplation, contributing to residents’ psychological well-being []. Additionally, parks often serve as places for people to socialize, and frequent social contact could effectively improve social well-being [,]. Surprisingly, the coverage of parks within the 0.5 km buffer had no significant effects on SRH, which is not consistent with studies from Beijing, China [,]. One possible explanation was that both urban areas and peri-urban areas were included in our study, and the coverage ratio of parks in peri-urban areas was small, leading to a merely 23.7% coverage ratio of parks within a 0.5 km circular buffer.
There are a few nuances compared with studies conducted in other countries. The results of our study indicated that the total green space coverage ratio and SRH did not show any significant relationship. One potential explanation might be that the total green space coverage ratio could not fully reflect specific functionalities, characteristics, and quality, such as sports facilities and species diversity [,]. Another explanation might be due to the different definitions of green space in urban land use in different countries [,]. For instance, we did not include agricultural land use in our analyses as it is not considered green space in China. However, other countries such as the Netherlands might consider agricultural green space to be a major component of UGS, which could improve health outcomes []. Furthermore, green space mainly provides aesthetic functions in many Chinese cities, while residents in Western countries could have private gardens allowing gardening activities that might play an important role in promoting physical activities for better health [,].
Specific vegetation types (i.e., forests and grassland) were not related to the SRH of all residents according to our findings, which contrasts with studies that indicated exposure to grassland or forests were associated with better health condition [,]. The minimal effects in our study might be related to the proportion of forests in our study being small, 14.31%, within the 0.5 km buffer and 20.9% within the 1 km circular buffer. Moreover, different spatial patterns of forests or grassland might be related to people’s active usage or other health-related benefits such as air pollution reduction, which could also have different effects on health [,]. This warrants a future study but is beyond the scope of our research.
Our study found that living at a closer distance to rivers was associated with better SRH, and this is similar to previous studies [,]. Rivers are known to improve residents’ health in multiple ways. First, rivers could help people relieve stress, and actively visiting rivers could make them feel refreshed and happy []. Second, the open space along rivers supports low-level physical activities, such as walking []. Moreover, rivers can serve as large open spaces to help air circulation and bring fresh air from peripheral areas to nearby residents []. The results of our study show that the freshwater coverage ratio and self-reported health were not related. This may be caused by the non-accessibility of water bodies in this study area, such as the fountains or ponds within inaccessible gated premises, which could inhibit residents’ actual use []. A lack of consideration for specific water types and water quality might also lead to this outcome.
5.2. Effects of Different Types of UGS/UBS on the Different Subgroups
Our findings indicated that the health and UGS/UBS associations differed across the subgroups. For the elderly, the proximity to parks, total green space, and grassland were positively correlated with their SRH. Having more access to parks can provide the elderly with space to conduct physical exercise, relax, and have sufficient social contact, which could promote their physical and physiological health []. In addition, it has been confirmed that exposure to green space could enhance health even if people are not actively using green space [,]. Due to physical limitations, older people may have a lower capability to frequently use green spaces. However, by living in a greener environment, they have a higher chance of viewing green spaces from their windows, which can benefit their health [].
Our results show that grassland (but not forests) could promote the SRH of the elderly, which is consistent with studies indicating grassland can bring about more health benefits to older people than forests [,]. Grassland is better maintained in terms of quality compared with other types of vegetation in northern parts of China. The higher quality can encourage older people’s usage of green space and thus bring about more health benefits []. Apart from the limited area of forests within 0.5 km of older people’s homes, the dense tree within forests hinders the use availability, especially among older people who are less active or willing to walk or gather within forests [], thus marginalizing the health benefit.
The study indicated that the health benefits of the coverage ratio of total green space were significant among the high-income group. One possible explanation was that the high-income group often lives in high-end residential communities that have high-quality internal green space proxied by total green space coverage and grassland in our study. The high-quality green space can provide greater aesthetic value and diverse functionalities for the residents which significantly promote their SRH []. For lower-income people, the overall quality of green space around their community is usually low, which discourages their active usage and subsequently brings about marginal health benefits [].
The proximity to rivers was positively associated with the SRH of the youth and females in our study, which is per the previous evidence that youth and female residents could benefit more from blue space [,]. Research has found that females could gain more health benefits from living closer to natural elements such as rivers []. Such significant benefits could be explained by the gender characteristics that moderate the health effects of rivers. Female residents tend to value blue space more than males especially when the environmental quality along rivers is high, thus gaining more restorative and stress reduction functions and resulting in higher SRH [,]. Such characteristic differences could also explain rivers’ significant health effects on younger people. Studies have found that younger people are more willing to socialize or perform physical activities along riversides than other age groups, which explains the significant health outcomes of rivers [].
6. Conclusions
We studied the relationships between urban residents’ SRH and different types of UGS/UBS in Shandong Province. We further explored the different relationships in seven subgroups defined by age, gender, and income level. We found different types of green space could generate heterogeneous effects on residents’ health. For the total samples, the proximity to parks and rivers had positive effects on residents’ SRH. Further stratification analyses identified potential disparities in the health benefits of green/blue space. A closer distance to parks and a higher coverage ratio of total green space and grassland were significantly associated with the higher SRH of the elderly. The coverage ratios of total green space and grassland were positively related to high-income residents’ SRH. Closer proximity to rivers was related to the higher SRH of the youth and females. Other green and blue spaces showed non-significant associations with SRH. The results suggest that urban planners should take into account the various types of urban green and blue spaces, as well as the diverse health benefits they provide to different individuals when optimizing residents’ self-rated health through the implementation or renewal of such spaces.
Supplementary Materials
Supplementary data associated with this article can be found in the online version at: https://www.mdpi.com/article/10.3390/land12040900/s1. Table S1: Distance to parks for subgroups; Table S2: Distance to rivers for subgroups; Table S3: Results of regressions of subgroups for SRH (coverage ratio of green space and freshwater); Table S4: Results of regressions of sub-groups for SRH (coverage ratio of forest and grassland); Table S5 Results of regressions of sub-groups for SRH (Coverage ratio and number of parks); Table S6: Sensitivity test of coverage ratio of greenspace and water within 1 km; Table S7: Sensitivity test of coverage ratio of greenspace and water within 1.5 km; Table S8: Sensitivity test of coverage ratio of greenspace and water within 3 km; Table S9: Sensitivity test of coverage ratio of grassland and forest within 1 km; Table S10: Sensitivity test of coverage ratio of grassland and forest within 1.5 km; Table S11: Sensitivity test of coverage ratio of grassland and forest within 3 km; Table S12: Sensitivity test of the coverage ratio of park within 3 km; Table S13: Sensitivity test of the coverage ratio of parks and the number of parks within 1 km; Table S14: Sensitivity test of the coverage ratio of parks and the number of parks within 1.5 km.
Author Contributions
Conceptualization, L.W., X.W. and J.L.; methodology, L.W., X.W. and J.L.; software, X.W. and X.S.; validation, L.W., X.W. and J.L.; formal analysis, L.W., X.W., J.L., X.S. and L.O.; resources, L.L., J.L. and L.W.; data curation, X.W., X.S. and L.W.; writing—original draft preparation, X.W., J.L., X.S. and Y.Z.; writing—review and editing, L.W. and J.L.; visualization, H.W., Y.Z. and L.O.; supervision, L.W. and J.L.; funding acquisition, J.L. All authors have read and agreed to the published version of the manuscript.
Funding
This research was funded by the National Natural Science Foundation project (42171247).
Data Availability Statement
The Shandong General Social Survey (SGSS) data were obtained from the Institute of Public Governance, Shandong University, and are available from Lin Liu with the permission of the Institute of Public Governance, Shandong University.
Conflicts of Interest
The authors declare no conflict of interest.
References
- Jabbar, M.; Yusoff, M.M.; Shafie, A. Assessing the role of urban green spaces for human well-being: A systematic review. Geojournal 2022, 87, 4405–4423. [Google Scholar] [CrossRef]
- White, M.P.; Elliott, L.R.; Gascon, M.; Roberts, B.; Fleming, L.E. Blue space, health and well-being: A narrative overview and synthesis of potential benefits. Environ. Res. 2020, 191, 110169. [Google Scholar] [CrossRef] [PubMed]
- Kabisch, N.; Qureshi, S.; Haase, D. Human-environment interactions in urban green spaces—A systematic review of contemporary issues and prospects for future research. Environ. Impact Assess. Rev. 2015, 50, 25–34. [Google Scholar] [CrossRef]
- Voelker, S.; Matros, J.; Classen, T. Determining urban open spaces for health-related appropriations: A qualitative analysis on the significance of blue space. Environ. Earth Sci. 2016, 75, 1067. [Google Scholar] [CrossRef]
- Andersson-Sköld, Y.; Thorsson, S.; Rayner, D.; Lindberg, F.; Janhäll, S.; Jonsson, A.; Moback, U.; Bergman, R.; Granberg, M. An integrated method for assessing climate-related risks and adaptation alternatives in urban areas. Clim. Risk Manag. 2015, 7, 31–50. [Google Scholar] [CrossRef]
- Lachowycz, K.; Jones, A.P. Towards a better understanding of the relationship between greenspace and health: Development of a theoretical framework. Landsc. Urban Plan. 2013, 118, 62–69. [Google Scholar] [CrossRef]
- White, M.P.; Wheeler, B.W.; Herbert, S.; Alcock, I.; Depledge, M.H. Coastal proximity and physical activity: Is the coast an under-appreciated public health resource? Prev. Med. 2014, 69, 135–140. [Google Scholar] [CrossRef]
- White, M.; Smith, A.; Humphryes, K.; Pahl, S.; Snelling, D.; Depledge, M. Blue space the importance of water for preference, affect, and restorativeness ratings of natural and built scenes. J. Environ. Psychol. 2010, 30, 482–493. [Google Scholar] [CrossRef]
- Nutsford, D.; Pearson, A.L.; Kingham, S.; Reitsma, F. Residential exposure to visible blue space (but not green space) associated with lower psychological distress in a capital city. Health Place 2016, 39, 70–78. [Google Scholar] [CrossRef]
- de Vries, S.; Verheij, R.A.; Groenewegen, P.P.; Spreeuwenberg, P. Natural environments—Healthy environments? An exploratory analysis of the relationship between greenspace and health. Environ. Plan. A 2003, 35, 1717–1731. [Google Scholar] [CrossRef]
- Maas, J.; Verheij, R.A.; Groenewegen, P.P.; de Vries, S.; Spreeuwenberg, P. Green space, urbanity, and health: How strong is the relation? J. Epidemiol. Community Health 2006, 60, 587–592. [Google Scholar] [CrossRef] [PubMed]
- Richardson, E.A.; Mitchell, R. Gender differences in relationships between urban green space and health in the United Kingdom. Soc. Sci. Med. 2010, 71, 568–575. [Google Scholar] [CrossRef]
- Haeffner, M.; Jackson-Smith, D.; Buchert, M.; Risley, J. Accessing blue spaces: Social and geographic factors structuring familiarity with, use of, and appreciation of urban waterways. Landsc. Urban Plan. 2017, 167, 136–146. [Google Scholar] [CrossRef]
- Lachowycz, K.; Jones, A.P.; Page, A.S.; Wheeler, B.W.; Cooper, A.R. What can global positioning systems tell us about the contribution of different types of urban greenspace to children’s physical activity? Health Place 2012, 18, 586–594. [Google Scholar] [CrossRef] [PubMed]
- Wheeler, B.W.; Lovell, R.; Higgins, S.L.; White, M.P.; Alcock, I.; Osborne, N.J.; Husk, K.; Sabel, C.E.; Depledge, M.H. Beyond greenspace: An ecological study of population general health and indicators of natural environment type and quality. Int. J. Health Geogr. 2015, 14, 17. [Google Scholar] [CrossRef]
- McDougall, C.W.; Hanley, N.; Quilliam, R.S.; Oliver, D.M. Blue space exposure, health and well-being: Does freshwater type matter? Landsc. Urban Plan. 2022, 224, 104446. [Google Scholar] [CrossRef]
- van den Berg, M.; van Poppel, M.; van Kamp, I.; Andrusaityte, S.; Balseviciene, B.; Cirach, M.; Danileviciute, A.; Ellis, N.; Hurst, G.; Masterson, D.; et al. Visiting green space is associated with mental health and vitality: A cross-sectional study in four european cities. Health Place 2016, 38, 8–15. [Google Scholar] [CrossRef] [PubMed]
- de Bell, S.; Graham, H.; Jarvis, S.; White, P. The importance of nature in mediating social and psychological benefits associated with visits to freshwater blue space. Landsc. Urban Plan. 2017, 167, 118–127. [Google Scholar] [CrossRef]
- McDougall, C.W.; Quilliam, R.S.; Hanley, N.; Oliver, D.M. Freshwater blue space and population health: An emerging research agenda. Sci. Total Environ. 2020, 737, 140196. [Google Scholar] [CrossRef]
- Labib, S.M.; Lindley, S.; Huck, J.J. Spatial dimensions of the influence of urban green-blue spaces on human health: A systematic review. Environ. Res. 2020, 180, 108869. [Google Scholar] [CrossRef]
- Central People’s Government of the People’s Republic of China. Shandong: Overview of Economic and Social Development in 2017. 2017. Available online: http://www.gov.cn/guoqing/2019-01/30/content_5362414.htm (accessed on 20 September 2022).
- Shandong Province Bureau of Statistics. Shandong Statistical Yearbook; China Statistics Press: Beijing, China, 2018. [Google Scholar]
- Zhang, Z. Analysis on Regional Differences of Economic Development in Shandong Province. In Proceedings of the 3rd International Conference on Management Science, Education Technology, Arts, Social Science and Economics (MSETASSE), Qingdao, China, 21 November 2015; pp. 709–711. [Google Scholar]
- National Statistics Bureau. China Statistical Yearbook 2018; National Statistics Bureau: Beijing, China, 2018. [Google Scholar]
- Shandong Provincial Department of Natural Resources. Urban System Planning of Shandong Province (2011–2030). Available online: http://dnr.shandong.gov.cn/zwgk_324/xxgkml/ghjh/gtkjgh/202005/t20200528_3114433.html (accessed on 22 September 2022).
- People’s Government of Shandong Province. Shandong Province Eco-Environmental Protection “13th Five-Year” Plan. Available online: http://xxgk.sdein.gov.cn/xxgkml/zhxgh/201706/t20170627_1122724.html (accessed on 22 September 2022).
- Idler, E.L.; Benyamini, Y. Self-rated health and mortality: A review of twenty-seven community studies. J. Health Soc. Behav. 1997, 38, 21–37. [Google Scholar] [CrossRef]
- DeSalvo, K.B.; Fan, V.S.; McDonell, M.B.; Fihn, S.D. Predicting Mortality and Healthcare Utilization with a Single Question. Health Serv. Res. 2005, 40, 1234–1246. [Google Scholar] [CrossRef] [PubMed]
- Mavaddat, N.; Kinmonth, A.L.; Sanderson, S.; Surtees, P.; Bingham, S.; Khaw, K.T. What determines Self-Rated Health (SRH)? A cross-sectional study of SF-36 health domains in the EPIC-Norfolk cohort. J. Epidemiol. Community Health 2011, 65, 800–806. [Google Scholar] [CrossRef]
- Froom, P.; Melamed, S.; Triber, I.; Ratson, N.Z.; Hermoni, D. Predicting self-reported health: The CORDIS study. Prev. Med. 2004, 39, 419–423. [Google Scholar] [CrossRef] [PubMed]
- Huang, B.; Liu, Y.; Feng, Z.; Pearce, J.R.; Wang, R.; Zhang, Y.; Chen, J. Residential exposure to natural outdoor environments and general health among older adults in Shanghai, China. Int. J. Equity Health 2019, 18, 178. [Google Scholar] [CrossRef]
- Lin, C.; Wu, L. Green and Blue Space Availability and Self-Rated Health among Seniors in China: Evidence from a National Survey. Int. J. Environ. Res. Public Health 2021, 18, 545. [Google Scholar] [CrossRef] [PubMed]
- Dadvand, P.; Bartoll, X.; Basagana, X.; Dalmau-Bueno, A.; Martinez, D.; Ambros, A.; Cirach, M.; Triguero-Mas, M.; Gascon, M.; Borrell, C.; et al. Green spaces and General Health: Roles of mental health status, social support, and physical activity. Environ. Int. 2016, 91, 161–167. [Google Scholar] [CrossRef] [PubMed]
- Gong, P.; Liu, H.; Zhang, M.; Li, C.; Wang, J.; Huang, H.; Clinton, N.; Ji, L.; Li, W.; Bai, Y.; et al. Stable classification with limited sample: Transferring a 30-m resolution sample set collected in 2015 to mapping 10-m resolution global land cover in 2017. Sci. Bull. 2019, 64, 370–373. [Google Scholar] [CrossRef] [PubMed]
- Liang, X.; Chinese Watershed and River Network Dataset Based on DEM Extraction. Registration and Publication System of Resources and Environmental Science Data. 2018. Available online: http://www.resdc.cn/DOI (accessed on 12 October 2022).
- Bertram, C.; Meyerhoff, J.; Rehdanz, K.; Wüstemann, H. Differences in the recreational value of urban parks between weekdays and weekends: A discrete choice analysis. Landsc. Urban Plan. 2017, 159, 5–14. [Google Scholar] [CrossRef]
- Bullock, C.H. Valuing Urban Green Space: Hypothetical Alternatives and the Status Quo. J. Environ. Plan. Manag. 2008, 51, 15–35. [Google Scholar] [CrossRef]
- Pasanen, T.P.; White, M.P.; Wheeler, B.W.; Garrett, J.K.; Elliott, L.R. Neighbourhood blue space, health and wellbeing: The mediating role of different types of physical activity. Environ. Int. 2019, 131, 105016. [Google Scholar] [CrossRef] [PubMed]
- Petrunoff, N.A.; Yi, N.X.; Dickens, B.; Sia, A.; Koo, J.; Cook, A.R.; Lin, W.H.; Ying, L.; Hsing, A.W.; van Dam, R.M.; et al. Associations of park access, park use and physical activity in parks with wellbeing in an Asian urban environment: A cross-sectional study. Int. J. Behav. Nutr. Phys. Act. 2021, 18, 87. [Google Scholar] [CrossRef]
- Sturm, R.; Cohen, D. Proximity to Urban Parks and Mental Health. J. Ment. Health Policy Econ. 2014, 17, 19–24. [Google Scholar] [PubMed]
- Freedman, D.S.; Mei, Z.G.; Srinivasan, S.R.; Berenson, G.S.; Dietz, W.H. Cardiovascular risk factors and excess adiposity among overweight children and adolescents: The Bogalusa Heart Study. J. Pediatr. 2007, 150, 12–17. [Google Scholar] [CrossRef] [PubMed]
- Wolch, J.R.; Byrne, J.; Newell, J.P. Urban green space, public health, and environmental justice: The challenge of making cities ‘just green enough’. Landsc. Urban Plan. 2014, 125, 234–244. [Google Scholar] [CrossRef]
- Maas, J.; van Dillen, S.M.E.; Verheij, R.A.; Groenewegen, P.P. Social contacts as a possible mechanism behind the relation between green space and health. Health Place 2009, 15, 586–595. [Google Scholar] [CrossRef]
- Sugiyama, T.; Leslie, E.; Giles-Corti, B.; Owen, N. Associations of neighbourhood greenness with physical and mental health: Do walking, social coherence and local social interaction explain the relationships? J. Epidemiol. Community Health 2008, 62, e9. [Google Scholar] [CrossRef]
- Liu, L.H.; Qu, H.Y.; Ma, Y.M.; Wang, K.; Qu, H.X. Restorative benefits of urban green space: Physiological, psychological restoration and eye movement analysis. J. Environ. Manag. 2022, 301, 9. [Google Scholar] [CrossRef]
- Wu, L.; Kim, S.K. Health outcomes of urban green space in China: Evidence from Beijing. Sustain. Cities Soc. 2021, 65, 102604. [Google Scholar] [CrossRef]
- Akpinar, A. How is quality of urban green spaces associated with physical activity and health? Urban For. Urban Green. 2016, 16, 76–83. [Google Scholar] [CrossRef]
- Jarvis, I.; Koehoorn, M.; Gergel, S.E.; van den Bosch, M. Different types of urban natural environments influence various dimensions of self-reported health. Environ. Res. 2020, 186, 109614. [Google Scholar] [CrossRef] [PubMed]
- Coppel, G.; Wuestemann, H. The impact of urban green space on health in Berlin, Germany: Empirical findings and implications for urban planning. Landsc. Urban Plan. 2017, 167, 410–418. [Google Scholar] [CrossRef]
- Ekkel, E.D.; de Vries, S. Nearby green space and human health: Evaluating accessibility metrics. Landsc. Urban Plan. 2017, 157, 214–220. [Google Scholar] [CrossRef]
- Mushangwe, S.; Astell-Burt, T.; Steel, D.; Feng, X. Ethnic inequalities in green space availability: Evidence from Australia. Urban For. Urban Green. 2021, 64, 127235. [Google Scholar] [CrossRef]
- Egerer, M.; Ordonez, C.; Lin, B.B.; Kendal, D. Multicultural gardeners and park users benefit from and attach diverse values to urban nature spaces. Urban For. Urban Green. 2019, 46, 126445. [Google Scholar] [CrossRef]
- Ha, J.; Kim, H.J.; With, K.A. Urban green space alone is not enough: A landscape analysis linking the spatial distribution of urban green space to mental health in the city of Chicago. Landsc. Urban Plan. 2022, 218, 104309. [Google Scholar] [CrossRef]
- Wu, L.; Chen, C. Does pattern matter? Exploring the pathways and effects of urban green space on promoting life satisfaction through reducing air pollution. Urban For. Urban Green. 2023, 82, 127890. [Google Scholar] [CrossRef]
- Vaeztavakoli, A.; Lak, A.; Yigitcanlar, T. Blue and Green Spaces as Therapeutic Landscapes: Health Effects of Urban Water Canal Areas of Isfahan. Sustainability 2018, 10, 4010. [Google Scholar] [CrossRef]
- Finlay, J.; Franke, T.; McKay, H.; Sims-Gould, J. Therapeutic landscapes and wellbeing in later life: Impacts of blue and green spaces for older adults. Health Place 2015, 34, 97–106. [Google Scholar] [CrossRef]
- Gascon, M.; Zijlema, W.; Vert, C.; White, M.P.; Nieuwenhuijsen, M.J. Outdoor blue spaces, human health and well-being: A systematic review of quantitative studies. Int. J. Hyg. Environ. Health 2017, 220, 1207–1221. [Google Scholar] [CrossRef]
- Murakawa, S.; Sekine, T.; Narita, K.I.; Nishina, D. Study of the effects of a river on the thermal environment in an urban area. Energy Build. 1991, 16, 993–1001. [Google Scholar] [CrossRef]
- Chen, C.; Luo, W.; Li, H.; Zhang, D.; Kang, N.; Yang, X.; Xia, Y. Impact of Perception of Green Space for Health Promotion on Willingness to Use Parks and Actual Use among Young Urban Residents. Int. J. Environ. Res. Public Health 2020, 17, 5560. [Google Scholar] [CrossRef] [PubMed]
- Aliyas, Z. Physical, mental, and physiological health benefits of green and blue outdoor spaces among elderly people. Int. J. Environ. Health Res. 2019, 31, 703–714. [Google Scholar] [CrossRef] [PubMed]
- Pun, V.C.; Manjourides, J.; Suh, H.H. Association of neighborhood greenness with self-perceived stress, depression and anxiety symptoms in older U.S adults. Environ. Health 2018, 17, 39. [Google Scholar] [CrossRef]
- Noordzij, J.M.; Beenackers, M.A.; Oude Groeniger, J.; Van Lenthe, F.J. Effect of changes in green spaces on mental health in older adults: A fixed effects analysis. J. Epidemiol. Community Health 2020, 74, 48–56. [Google Scholar] [CrossRef]
- de Keijzer, C.; Bauwelinck, M.; Dadvand, P. Long-term exposure to residential greenspace and healthy ageing: A systematic review. Curr. Environ. Health Rep. 2020, 7, 65–88. [Google Scholar] [CrossRef]
- Yao, Y.; Xu, C.W.; Yin, H.Y.; Shao, L.D.; Wang, R.Y. More visible greenspace, stronger heart? Evidence from ischaemic heart disease emergency department visits by middle-aged and older adults in Hubei, China. Landsc. Urban Plan. 2022, 224, 104444. [Google Scholar] [CrossRef]
- Azad, S.P.; Morinaga, R.; Kobayashi, H. Effect of Housing Layout and Open Space Morphology on Residential Environments–Applying New Density Indices for Evaluation of Residential Areas Case Study: Tehran, Iran. J. Asian Archit. Build. Eng. 2018, 17, 79–86. [Google Scholar] [CrossRef]
- Ta, N.; Li, H.; Zhu, Q.; Wu, J. Contributions of the quantity and quality of neighborhood green space to residential satisfaction in suburban Shanghai. Urban For. Urban Green. 2021, 64, 127293. [Google Scholar] [CrossRef]
- Heo, S.; Bell, M.L. Investigation on urban greenspace in relation to sociodemographic factors and health inequity based on different greenspace metrics in 3 US urban communities. J. Expo. Sci. Environ. Epidemiol. 2022, 33, 218–228. [Google Scholar] [CrossRef]
- Quynh, H.; Craig, W.; Janssen, I.; Pickett, W. Exposure to public natural space as a protective factor for emotional well-being among young people in Canada. BMC Public Health 2013, 13, 407. [Google Scholar] [CrossRef]
- Stafford, M.; Cummins, S.; Macintyre, S.; Ellaway, A.; Marmot, M. Gender differences in the associations between health and neighbourhood environment. Soc. Sci. Med. 2005, 60, 1681–1692. [Google Scholar] [CrossRef] [PubMed]
Disclaimer/Publisher’s Note: The statements, opinions and data contained in all publications are solely those of the individual author(s) and contributor(s) and not of MDPI and/or the editor(s). MDPI and/or the editor(s) disclaim responsibility for any injury to people or property resulting from any ideas, methods, instructions or products referred to in the content. |
© 2023 by the authors. Licensee MDPI, Basel, Switzerland. This article is an open access article distributed under the terms and conditions of the Creative Commons Attribution (CC BY) license (https://creativecommons.org/licenses/by/4.0/).