The Extension of Vegetable Production to High Altitudes Increases the Environmental Cost and Decreases Economic Benefits in Subtropical Regions
Abstract
1. Introduction
2. Materials and Methods
2.1. Study Area and Data Sources
2.2. System Boundary
2.3. Reactive Nitrogen Emissions
2.4. Greenhouse Gas Emissions
2.5. Environmental Damage Cost (EDC) and NEEB
2.6. Environmental Cost of Products and Economic Benefit Assessment
2.7. Yield Gap and Environmental Cost Analysis
2.8. Statistical Analyses
3. Results
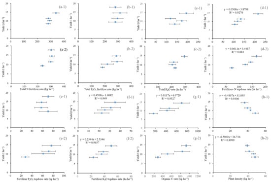
3.1. Yield and Resource Inputs
3.2. Nr Emissions, N Footprint, and NrNEEB
3.3. GHG Emissions and C Footprint
3.4. NEEB, Nr-NEEB, and GHG-NEEB
3.5. Yield Gap and Environmental Cost
4. Discussion
4.1. Environmental Cost of Pepper Production at Different Altitudes
4.2. Potential for Mitigating Environmental Costs
5. Conclusions
Supplementary Materials
Author Contributions
Funding
Data Availability Statement
Conflicts of Interest
Abbreviations
References
- Xiang, Q.; Yu, H.; Xu, X.; Huang, H. Temporal and Spatial Differentiation of Cultivated Land and Its Response to Climatic Factors in Complex Geomorphic Areas—A Case Study of Sichuan Province of China. Land 2022, 11, 271. [Google Scholar] [CrossRef]
 - Yao, Z.; Zhang, L.; Tang, S.; Li, X.; Hao, T. The basic characteristics and spatial patterns of global cultivated land change since the 1980s. J. Geogr. Sci. 2017, 27, 771–785. [Google Scholar] [CrossRef]
 - Liang, T.; Liao, D.X.; Wang, S.; Yang, B.; Zhao, J.K.; Zhu, C.F.; Zhang, T.; Shi, X.J.; Chen, X.P.; Wang, X. The nitrogen and carbon footprints of vegetable production in the subtropical high elevation mountain region. Ecol. Indic. 2020, 122, 107298. [Google Scholar] [CrossRef]
 - Yu, Z.; Liu, J.; Kattel, G. Historical nitrogen fertilizer use in China from 1952 to 2018. Earth Syst. Sci. Data 2022, 14, 5179–5194. [Google Scholar] [CrossRef]
 - Miao, T.T.; Wang, B.; Cai, A.; Ren, T.J.; Wan, Y.F.; Meng, Y.; Li, Y. Large differences in ammonia emission factors between greenhouse and open-field systems under different practices across Chinese vegetable cultivation. Sci. Total Environ. 2022, 852, 158339. [Google Scholar] [CrossRef]
 - Fan, C.H.; Li, B.; Xiong, Z.Q. Nitrification inhibitors mitigated reactive gaseous nitrogen intensity in intensive vegetable soils from China. Sci. Total Environ. 2017, 612, 480–489. [Google Scholar] [CrossRef]
 - Martínez-Blanco, J.; Muñoz, P.; Antón, A.; Rieradevall, J. Assessment of tomato Mediterranean production in open-field and standard multi-tunnel greenhouse, with compost or mineral fertilizers, from an agricultural and environmental standpoint. J. Clean. Prod. 2011, 19, 985–997. [Google Scholar] [CrossRef]
 - Payen, S.; Basset-Mens, C.; Perret, S. LCA of local and imported tomato: An energy and water trade-off. J. Clean. Prod. 2014, 87, 139–148. [Google Scholar] [CrossRef]
 - Xia, L.L.; Xia, Y.Q.; Li, B.; Wang, J.Y.; Wang, S.W.; Zhou, W.; Yan, X.Y. Integrating agronomic practices to reduce greenhouse gas emissions while increasing the economic return in a rice-based cropping system. Agric. Ecosyst. Environ. 2016, 231, 24–33. [Google Scholar] [CrossRef]
 - Stefano, M.; Alicia, L.; Reyes, T. Greenhouse gas emissions from global production and use of nitrogen synthetic fertilisers in agriculture. Sci. Rep. 2022, 12, 14490. [Google Scholar] [CrossRef]
 - Xia, L.L.; Cao, L.; Yang, Y.; Ti, C.; Liu, Y.; Smith, P.; Groenigen, K.; Lehmann, J.; Lal, R.; Butterbach-Bahl, K.; et al. Integrated biochar solutions can achieve carbon-neutral staple crop production. Nat. Food 2023. [Google Scholar] [CrossRef]
 - Kalimuthu, S. Closing rice yield gaps in Africa requires integration of good agricultural practices. Field Crops Res. 2022, 285, 108591. [Google Scholar] [CrossRef]
 - Bojaca, C.R.; Wyckhuys, K.A.G.; Schrevens, E. Life cycle assessment of Colombian greenhouse tomato production based on farmer-level survey data. J. Clean. Prod. 2014, 69, 26–33. [Google Scholar] [CrossRef]
 - Baral, R.; Kafle, B.; Panday, D.; Shrestha, J.; Min, D. Adoption of Good Agricultural Practice to Increase Yield and Profit of Ginger Farming in Nepal. J. Hortic. Res. 2021, 29, 55–66. [Google Scholar] [CrossRef]
 - Wang, X.Z.; Zou, C.Q.; Zhang, Y.; Shi, X.; Liu, Y.M.; Liu, J.Z.; Fan, S.S.; Du, Y.F.; Zhao, Q.Y.; Tan, Y.G.; et al. Environmental impacts of pepper (Capsicum annuum L.) production affected by nutrient management: A case study in southwest China. J. Clean. Prod. 2018, 171, 934–943. [Google Scholar] [CrossRef]
 - Awio, T.; Senthilkumar, K.; Dimkpa, C.O.; Otim-Nape, G.W.; Struik, P.C.; Stomph, T.J. Yields and Yield Gaps in Lowland Rice Systems and Options to Improve Smallholder Production. Agronomy 2022, 12, 552. [Google Scholar] [CrossRef]
 - Oliver, Y.; Robertson, M. Quantifying the spatial pattern of the yield gap within a farm in a low rainfall Mediterranean climate. Field Crops Res. 2013, 150, 29–41. [Google Scholar] [CrossRef]
 - Wang, X.Z.; Liu, B.; Wu, G.; Sun, Y.X.; Guo, X.S.; Jin, Z.H.; Xu, W.N.; Zhao, Y.Z.; Zhang, F.S.; Zou, C.Q.; et al. Environmental costs and mitigation potential in plastic-greenhouse pepper production system in China: A life cycle assessment. Agric. Syst. 2018, 167, 186–194. [Google Scholar] [CrossRef]
 - Xie, L.H.; Li, L.; Xie, J.H.; Wang, J.B.; Anwar, S.; Du, C.L.; Zhou, Y.J. Substituting Inorganic Fertilizers with Organic Amendment Reduced Nitrous Oxide Emissions by Affecting Nitrifiers’Microbial Community. Land 2022, 11, 1702. [Google Scholar] [CrossRef]
 - Antille, D.L.; Macdonald, B.C.T.; Uelese, A.; Webb, M.J.; Kelly, J.; Tauati, S.; Stockmann, U.; Palmer, J.; Barringer, J.R.F. Toward Soil Nutrient Security for Improved Agronomic Performance and Increased Resilience of Taro Production Systems in Samoa. Soil Syst. 2023, 7, 21. [Google Scholar] [CrossRef]
 - Cai, S.Y.; Pittelkow, C.; Zhao, X.; Wang, S.Q. Winter legume-rice rotations can reduce nitrogen pollution and carbon footprint while maintaining net ecosystem economic benefits. J. Clean. Prod. 2018, 195, 289–300. [Google Scholar] [CrossRef]
 - Lam, S.; Suter, H.; Bai, M.; Walker, C.; Mosier, A.; Grinsven, H.; Chen, D. Decreasing ammonia loss from an Australian pasture with the use of enhanced efficiency fertilizers. Agric. Ecosyst. Environ. 2019, 283, 106553. [Google Scholar] [CrossRef]
 - Mohammadi-Kashka, F.; Pirdashti, H.; Tahmasebi-Sarvestani, Z.; Motevali, A.; Nadi, M.; Aghaeipour, N. Integrating life cycle assessment (LCA) with boundary line analysis (BLA) to reduce agro-environmental risk of crop production: A case study of soybean production in Northern Iran. Clean Technol. Environ. Policy 2023. [Google Scholar] [CrossRef]
 - Félix, O.; Tapsoba, P.K. Diversity of market gardening farms in western Burkina Faso. Nexus between production environment, farm size, financial performance and environmental issues. Heliyon 2022, 8, 12408. [Google Scholar] [CrossRef]
 - Zarei, M.J.; Kazemi, N.; Marzban, A. Life cycle environmental impacts of cucumber and tomato production in open-field and greenhouse. J. Saudi Soc. Agric. Sci. 2019, 18, 249–255. [Google Scholar] [CrossRef]
 - He, X.Q.; Qiao, Y.H.; Liu, Y.X.; Dendler, L.; Yin, C.; Martin, F. Environmental impact assessment of organic and conventional tomato production in urban greenhouses of Beijing city, China. J. Clean. Prod. 2016, 134, 251–258. [Google Scholar] [CrossRef]
 - Bernesson, S.; Daniel, N.; Per-Anders, H. A limited LCA comparing large-and small-scale production of ethanol for heavy engines under Swedish conditions. Biomass Bioenergy 2006, 30, 46–57. [Google Scholar] [CrossRef]
 - Zhao, R.R.; He, P.; Xie, J.G.; Johnston, A.; Xu, X.P.; Qiu, S.J.; Zhao, S.C. Ecological intensification management of maize in northeast China: Agronomic and environmental response. Agric. Ecosys. Environ. 2016, 224, 123–130. [Google Scholar] [CrossRef]
 - Wang, X.Z.; Liu, B.; Gang, W.; Sun, Y.X.; Guo, X.S.; Jin, G.Q.; Jin, Z.H.; Zou, C.Q.; Dave, C.; Chen, X.P. Cutting carbon footprints of vegetable production with integrated soil-crop system management: A case study of greenhouse pepper production. J. Clean. Prod. 2020, 254, 120–158. [Google Scholar] [CrossRef]
 - Liang, L.; Ridoutt, B.G.; Lal, R.; Wang, D.P.; Wu, W.L.; Peng, P.; Hang, S.; Wang, L.Y.; Zhao, G.S. Nitrogen footprint and nitrogen use efficiency of greenhouse tomato production in North China. J. Clean. Prod. 2018, 208, 285–296. [Google Scholar] [CrossRef]
 - Preltl, G.; Romeo, M.; Bacchi, M.; Monti, M. Soil loss measure from Mediterranean arable cropping systems: Effects of rotation and linage system on C-factor. Soil. Till. Res. 2017, 170, 85–93. [Google Scholar] [CrossRef]
 - Zhong, X.; Zhang, L.; Yue, X.R.; Xia, Y.S. Soil N and P Loss in slope Farmland of Dianchi Watershed. J. Soil Water Conserv. 2018, 32, 42–46. (In Chinese) [Google Scholar] [CrossRef]
 - Holka, M.; Kowalska, J.; Jakubowska, M. Reducing Carbon Footprint of Agriculture—Can Organic Farming Help to Mitigate Climate Change? Agriculture 2022, 12, 1383. [Google Scholar] [CrossRef]
 - Shan, L.; He, Y.F.; Chen, J.; Huang, Q. Nitrogen surface runoff losses from a Chinese cabbage field under different nitrogen treatments in the Taihu Lake Basin, China. Agric. Water. Manag. 2015, 159, 255–263. [Google Scholar] [CrossRef]
 - Cui, Z.L.; Wang, G.; Yue, S.C.; Wu, L.; Zhang, W.F.; Zhang, F.; Chen, X. Closing the N-Use Efficiency Gap to Achieve Food and Environmental Security. Environ. Sci. Technol. 2014, 48, 5780–5787. [Google Scholar] [CrossRef] [PubMed]
 - Davies, W.; Ward, S.; Wilson, A. Can crop science really help us to produce more better-quality food while reducing the world-wide environmental footprint of agriculture. Front. Agric. Sci. Eng. 2020, 7, 28–44. [Google Scholar] [CrossRef]
 - Tanyi, C.; Ngosong, C.; Ntonifor, N. Effects of climate variability on insect pests of cabbage: Adapting alternative planting dates and cropping pattern as control measures. Chem. Biol. Technol. Agric. 2018, 5, 25. [Google Scholar] [CrossRef]
 - O’Sullivan, J.; Bouw, W.J. Pepper seed treatment for low-temperature germination. Can. J. Plant Sci. 1984, 64, 387–393. [Google Scholar] [CrossRef]
 - Coons, J.; Kuehl, R.; Oebker, N.; Simons, N. Seed germination of seven pepper cultivars at constant or alternating high temperatures. J. Hortic. Sci. 1989, 64, 705–710. [Google Scholar] [CrossRef]
 - Russo, V.M. Peppers, Botany, Production and Uses; USDA/ARS Wes Watkins Agricultural Research Laboratory: Lane, OK, USA; Wallingford, CT, USA, 2012; Available online: http://library.wur.nl/WebQuery/clc/1981465 (accessed on 11 February 2020).
 - Chen, X.; Wu, G. Protected-Land Pepper Cultivation; Golden Shield Press: Beijing, China, 2010. (In Chinese) [Google Scholar]
 - Wang, N.; Jassogne, L.; Asten, P.; Mukasa, D.; Wanyama, I.; Kagezi, G.; Giller, K. Evaluating coffee yield gaps and important biotic, abiotic, and management factors limiting coffee production in Uganda. Eur. J. Agron. 2015, 63, 1–11. [Google Scholar] [CrossRef]
 - Dhillon, J.; Eickhoff, E.; Aula, L.; Omara, P.; Weymeyer, G.; Nambi, E.; Oyebiyi, F.; Carpenter, T.; Raun, W. Nitrogen management impact on winter wheat grain yield and estimated plant nitrogen loss. Agron. J. 2020, 112, 564–577. [Google Scholar] [CrossRef]
 - Tian, S.Y.; Zhu, B.J.; Yin, R.; Wang, M.W.; Jiang, Y.J.; Zhang, C.Z.; Li, D.M.; Chen, X.Y.; Kardol, P.; Liu, M.Q. Organic fertilization promotes crop productivity through changes in soil aggregation. Soil Biol. Biochem. 2021, 165, 108533. [Google Scholar] [CrossRef]
 - Zhang, M.; Li, B.; Xiong, Z.Q. Effects of organic fertilizer on net global warming potential under an intensively managed vegetable field in southeastern China: A three years field study. Atmos. Environ. 2016, 145, 92–103. [Google Scholar] [CrossRef]
 - Casal, J.; Deregibus, V.; Sanchez, R. Variations in tiller dynamics and morphology in Lolium multiflorum Lam. Vegetative and reproductive plants as affected by differences in red/far-red irradiation. Ann. Bot. 1985, 56, 553–559. [Google Scholar] [CrossRef]
 - Chongqing Agricultural Technology Station. The Main Vegetable Fertilizer Recommended Formula. 2020. Available online: http://www.cqates.com/details.aspx?topicId=752786&ci=1673&psi=104 (accessed on 12 April 2020).
 - Fan, C.H.; Leng, Y.F.; Zhang, Q.; Zhao, X.W.; Gao, W.L.; Duan, P.P.; Li, Z.L.; Luo, G.W.; Zhang, W.; Chen, M.; et al. Synergistically mitigating nitric oxide emission by co-applications of biochar and nitrification inhibitor in a tropical agricultural soil. Environ. Res. 2022, 214, 113989. [Google Scholar] [CrossRef] [PubMed]
 - Hargreaves, P.R.; Baker, K.L.; Graceson, A.; Bonnett, S.A.F.; Ball, B.C.; Cloy, J.M. Use of a nitrification inhibitor reduces nitrous oxide (N2O) emissions from compacted grassland with different soil textures and climatic conditions. Agric. Ecosyst. Environ. 2021, 310, 107307. [Google Scholar] [CrossRef]
 - Zhang, W.-F.; Dou, Z.-X.; He, P.; Ju, X.-T.; Powlson, D.; Chadwick, D.; Norse, D.; Lu, Y.-L.; Zhang, Y.; Wu, L.; et al. New technologies reduce greenhouse gas emissions from nitrogenous fertilizer in China. Proc. Natl. Acad. Sci. USA 2013, 110, 8375–8380. [Google Scholar] [CrossRef] [PubMed]
 - Yue, S.C. Optimum Nitrogen Management for High-yielding Wheat and Maize Cropping System; China Agricultural University Press: Beijing, China, 2013; p. 80. [Google Scholar]
 - Pahlavan, R.; Omid, M.; Akram, A. Energy input–output analysis and application of artificial neural networks for predicting greenhouse basil production. Energy 2012, 37, 171–176. [Google Scholar] [CrossRef]
 - Clark, S.; Khoshnevisan, B.; Sefeedpari, P. Energy efficiency and greenhouse gas emissions during transition to organic and reduced-input practices: Student farm case study. Ecol. Eng. 2016, 88, 186–194. [Google Scholar] [CrossRef]
 - Cui, Z.; Yue, S.; Wang, G.; Zhang, F.; Chen, X. In-Season Root-Zone N Management for Mitigating Greenhouse Gas Emission and Reactive N Losses in Intensive Wheat Production. Environ. Sci. Technol. 2013, 47, 6015–6022. [Google Scholar] [CrossRef] [PubMed]
 - Pishgar-Komleh, S.H.; Omid, M.; Heidari, M.D. On the study of energy use and GHG (greenhouse gas) emissions in greenhouse cucumber production in Yazd province. Energy 2013, 59, 63–71. [Google Scholar] [CrossRef]
 - Wang, X.; Zou, C.; Gao, X.; Guan, X.; Zhang, W.; Zhang, Y.; Shi, X.; Chen, X. Nitrous oxide emissions in Chinese vegetable systems: A meta-analysis. Environ. Pollut. 2018, 239, 375–383. [Google Scholar] [CrossRef] [PubMed]
 - Ti, C.; Luo, Y.; Yan, X. Characteristics of nitrogen balance in open-air and greenhouse vegetable cropping systems of China. Environ. Sci. Pollut. Res. 2015, 22, 18508–18518. [Google Scholar] [CrossRef] [PubMed]
 - Fan, C.; Chen, H.; Li, B.; Xiong, Z. Biochar reduces yield-scaled emissions of reactive nitrogen gases from vegetable soils across China. Biogeosciences 2017, 14, 2851–2863. [Google Scholar] [CrossRef]
 - Lu, K. Optimized Management of Nitrogen Fertilizer and Strategies for Reducing Nitrogen Leaching Loss in Greenhouse Vegetable Field in Taihu Region. Ph.D. Thesis, Nanjing Agricultural University, Nanjing, China, 2011. [Google Scholar]
 - Min, J.; Zhang, H.L.; Shi, W.M. Optimizing nitrogen input to reduce nitrate leaching loss in greenhouse vegetable production. Agric. Water Manag. 2012, 111, 53–59. [Google Scholar] [CrossRef]
 - Xia, L.; Ti, C.; Li, B.; Xia, Y.; Yan, X. Greenhouse gas emissions and reactive nitrogen releases during the life-cycles of staple food production in China and their mitigation potential. Sci. Total Environ. 2016, 556, 116–125. [Google Scholar] [CrossRef]
 




| Unit | HAL | LAL | ||
|---|---|---|---|---|
| Climate during growth stage | Monthly temperature | ℃ | 18.6 | 22.7 | 
| Monthly precipitation | mm | 139.5 | 144.8 | |
| Soil property | pH | 5.3 ± 1.0 | 6.1 ± 1.3 | |
| Organic matter | g kg−1 | 21.2 ± 18.6 | 13.4 ± 5.8 | |
| Available N | mg kg−1 | 103.9 ± 28.4 | 89.2 ± 33 | |
| Available P | mg kg−1 | 11.0 ± 9.1 | 12.8 ± 11.3 | |
| Available K | mg kg−1 | 104.6 ± 43.7 | 73.1 ± 40.7 | |
| Cultivated land | Surface slope | Degree (°) | 13.1 ± 4.6 | 9.8 ± 6.4 | 
| Plant density | 103 plant ha−1 | 41.5 ± 8.4 | 43.9 ± 8.9 | |
| Inventory | HAL | LAL | ||||
|---|---|---|---|---|---|---|
| Mean | Range | SD | Mean | Range | SD | |
| Input | ||||||
| Total fertilizer (kg·ha−1) | ||||||
| N | 297.3 | 169–484 | 73 | 289.3 | 163–539 | 76 | 
| P₂O₅ | 290.7 | 72–860 | 180 | 237.9 | 83–792 | 141 | 
| K₂O | 154.7 | 0–511 | 105 | 236.9 | 0–477 | 94 | 
| Organic fertilizer (kg·ha−1) | ||||||
| Organic C | 25.5 | 0–121 | 33 | 36.6 | 0–150 | 28 | 
| N | 14.7 | 0–113 | 22 | 22.8 | 0–113 | 19 | 
| P₂O₅ | 19.0 | 0–113 | 28 | 29.0 | 0–113 | 22 | 
| K₂O | ||||||
| Inorganic fertilizers (kg·ha−1) | 271.8 | 168–484 | 73 | 252.7 | 116–438 | 76 | 
| N | 276.0 | 72–792 | 173 | 215.0 | 0–660 | 126 | 
| P₂O₅ | 135.7 | 0–477 | 100 | 208.0 | 0–432 | 85 | 
| K₂O | 1.3 | 0–2.1 | 0.5 | 1.5 | 0–3 | 0.7 | 
| Pesticide (kg·ha−1) | 52.1 | 0–120 | 13 | 53.4 | 26–109 | 13 | 
| Plastic cover (kg·ha−1) | 2.9 | 0–105 | 16 | 8.6 | 0–45 | 12 | 
| Diesel (kg·ha−1) | 0.75 | - | - | 0.75 | - | - | 
| Seed | 4.5 | - | - | 4.5 | - | - | 
| Cultivation labor | ||||||
| Output | ||||||
| Fresh yield (t ha−1) | 11.1 | 7.5–17.5 | 2.4 | 13.3 | 6.8–22.5 | 3.4 | 
| Net revenue (103 Yuan ha−1) | 36.9 | 19.4–66.3 | 10.8 | 46.7 | 16.8–88.7 | 15.5 | 
| HAL | LAL | |||||||
|---|---|---|---|---|---|---|---|---|
| 4th | 3rd | 2nd | 1st | 4th | 3rd | 2nd | 1st | |
| Total fertilizer | ||||||||
| N (kg ha−1) | 279.6 + 59.8 | 290.9 + 57.4 | 281.1 + 69.7 | 337.6 + 90.1 | 234.6 + 47.2 | 298.8 + 66 | 306.6 + 80.4 | 301.1 + 88.3 | 
| P2O5 (kg ha−1) | 278.4 + 196.1 | 293.8 + 164.7 | 312.5 + 205.5 | 278 + 165.1 | 181.4 + 52.6 | 217.1 + 180 | 290.5 + 154.2 | 285.6 + 126.4 | 
| K2O (kg ha−1) | 137.9 + 94.1 | 170.8 + 92 | 117.6 + 94.9 | 192.5 + 128.2 | 223.8 + 45.9 | 203.2 + 97.2 | 214 + 116.4 | 293.3 + 82.3 | 
| Inorganic fertilizer (kg ha−1) | ||||||||
| N | 267.3 + 57.6 | 261.6 + 57.8 | 260 + 74.7 | 298.4 + 94.8 | 208.4 + 48.8 | 268.6 + 76.8 | 277.1 + 84.8 | 256.8 + 75.6 | 
| P₂O₅ | 271.6 + 192.5 | 276.3 + 163.3 | 295.3 + 191.8 | 261 + 159.6 | 165 + 53.8 | 167.7 + 111.3 | 273.5 + 162.6 | 253.9 + 119.6 | 
| K₂O | 129.5 + 85 | 147.4 + 88.4 | 98.7 + 98.4 | 167.2 + 120.1 | 202.6 + 46.4 | 185.7 + 86.5 | 192.8 + 112.2 | 250.8 + 73.1 | 
| Organic fertilizer (kg ha−1) | ||||||||
| Organic C | 161 + 309 | 309 + 337 | 318 + 513 | 629 + 510 | 296 + 220 | 593 + 597 | 839 + 669 | 1004 + 486 | 
| N | 12.4 + 24.6 | 29.3 + 33.4 | 21.1 + 34 | 39.2 + 35.1 | 26.2 + 20.5 | 35.5 + 35.6 | 33.5 + 26.8 | 51 + 23.9 | 
| P₂O₅ | 6.9 + 14 | 17.6 + 23.1 | 17.3 + 33.1 | 17 + 13.2 | 16.4 + 9.5 | 26.2 + 26.9 | 17.1 + 16.2 | 31.7 + 16.5 | 
| K₂O | 8.5 + 16.2 | 23.4 + 30.3 | 18.9 + 35.1 | 25.3 + 25.9 | 21.9 + 15.9 | 31 + 25.6 | 21.3 + 19.7 | 41.8 + 19.9 | 
| Pesticide (kg ha−1) | 1.2 + 0.6 | 1.4 + 0.5 | 1.3 + 0.5 | 1.4 + 0.3 | 1.8 + 0.7 | 1.6 + 0.8 | 1.4 + 0.7 | 1.3 + 0.5 | 
| Plastic cover (kg ha−1) | 48 + 13.8 | 51.5 + 2.6 | 55 + 14.4 | 54 + 15.8 | 56.8 + 14.8 | 51 + 8.8 | 52.9 + 17.5 | 53 + 8.1 | 
| Diesel (kg ha−1) | 1.5 + 5.8 | 0 + 0 | 2 + 7.7 | 8 + 31 | 4.3 + 9.5 | 7.4 + 11.8 | 12.4 + 14.5 | 10.5 + 12.9 | 
| Fresh yield (kg ha−1) | 8.37 + 0.68 | 10.15 + 0.5 | 11.46 + 0.45 | 14.53 + 1.32 | 9.33 + 1.43 | 11.44 + 0.34 | 14.53 + 0.73 | 17.8 + 1.74 | 
| Net revenue (1000 ha−1) | 9.76 + 2.85 | 14.22 + 2.07 | 18.23 + 2.07 | 25.94 + 3.95 | 12.34 + 4.12 | 18.2 + 1.79 | 26.32 + 2.59 | 35.15 + 5.17 | 
Disclaimer/Publisher’s Note: The statements, opinions and data contained in all publications are solely those of the individual author(s) and contributor(s) and not of MDPI and/or the editor(s). MDPI and/or the editor(s) disclaim responsibility for any injury to people or property resulting from any ideas, methods, instructions or products referred to in the content.  | 
© 2023 by the authors. Licensee MDPI, Basel, Switzerland. This article is an open access article distributed under the terms and conditions of the Creative Commons Attribution (CC BY) license (https://creativecommons.org/licenses/by/4.0/).
Share and Cite
Liang, T.; Tao, W.; Wang, Y.; Zhou, N.; Hu, W.; Zhang, T.; Liao, D.; Chen, X.; Wang, X. The Extension of Vegetable Production to High Altitudes Increases the Environmental Cost and Decreases Economic Benefits in Subtropical Regions. Land 2023, 12, 662. https://doi.org/10.3390/land12030662
Liang T, Tao W, Wang Y, Zhou N, Hu W, Zhang T, Liao D, Chen X, Wang X. The Extension of Vegetable Production to High Altitudes Increases the Environmental Cost and Decreases Economic Benefits in Subtropical Regions. Land. 2023; 12(3):662. https://doi.org/10.3390/land12030662
Chicago/Turabian StyleLiang, Tao, Weilin Tao, Yan Wang, Na Zhou, Wei Hu, Tao Zhang, Dunxiu Liao, Xinping Chen, and Xiaozhong Wang. 2023. "The Extension of Vegetable Production to High Altitudes Increases the Environmental Cost and Decreases Economic Benefits in Subtropical Regions" Land 12, no. 3: 662. https://doi.org/10.3390/land12030662
APA StyleLiang, T., Tao, W., Wang, Y., Zhou, N., Hu, W., Zhang, T., Liao, D., Chen, X., & Wang, X. (2023). The Extension of Vegetable Production to High Altitudes Increases the Environmental Cost and Decreases Economic Benefits in Subtropical Regions. Land, 12(3), 662. https://doi.org/10.3390/land12030662
        
